Hepatocellular Carcinoma Incidences and Risk Factors in Hepatitis C Patients: Interferon versus Direct-Acting Agents
Abstract
1. Introduction
2. Materials and Methods
2.1. Patient Recruitment
2.2. Clinical Parameters and ACLD Diagnosis
2.3. Diagnosis of HCC and HCC Surveillance
2.4. Statistical Analysis
3. Results
3.1. Clinical Characteristics of DAA- and IFN-Treated Patients
3.2. HCC Incidence Stratified by ACLD Status and Age
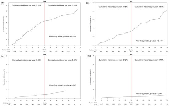
3.3. HCC Incidences in DAA and IFN-Treated Patients
3.4. Impact of Antiviral Regimens on HCC Incidence Varies by ACLD and Age Status
3.5. Predictors of HCC Occurrence in DAA- and IFN-Treated Patients
3.6. Comparison of Predictors and Incidence between Early-Onset and Late-Onset HCC
4. Discussion
5. Conclusions
Supplementary Materials
Author Contributions
Funding
Institutional Review Board Statement
Informed Consent Statement
Data Availability Statement
Acknowledgments
Conflicts of Interest
References
- Kiyosawa, K.; Umemura, T.; Ichijo, T.; Matsumoto, A.; Yoshizawa, K.; Gad, A.; Tanaka, E. Hepatocellular carcinoma: Recent trends in Japan. Gastroenterology 2004, 127 (Suppl. 1), S17–S26. [Google Scholar] [CrossRef] [PubMed]
- Hsu, C.C.; Gopalakrishna, H.; Mironova, M.; Lee, M.H.; Chen, C.J.; Yang, H.I.; Wiese, M.; Chang, K.M.; Wright, E.C.; Abijo, T.; et al. Risk of Hepatocellular Carcinoma After Spontaneous Clearance of Hepatitis C Virus and in Noncirrhosis Chronic Hepatitis C Patients with Sustained Virological Response: A Systematic Review. Clin. Infect. Dis. 2023, 77 (Suppl. 3), S245–S256. [Google Scholar] [CrossRef] [PubMed]
- Yu, M.-L.; Huang, C.-F. The unexpected high risk of occurrence or recurrence of hepatocellular carcinoma after successful antiviral therapy with interferon-free direct-acting antivirals. Transl. Cancer Res. 2016, 5, S1111–S1115. [Google Scholar] [CrossRef]
- Zignego, A.L.; Ramos-Casals, M.; Ferri, C.; Saadoun, D.; Arcaini, L.; Roccatello, D.; Antonelli, A.; Desbois, A.C.; Comarmond, C.; Gragnani, L.; et al. International therapeutic guidelines for patients with HCV-related extrahepatic disorders. A multidisciplinary expert statement. Autoimmun. Rev. 2017, 16, 523–541. [Google Scholar] [CrossRef] [PubMed]
- Mazzaro, C.; Quartuccio, L.; Adinolfi, L.E.; Roccatello, D.; Pozzato, G.; Nevola, R.; Tonizzo, M.; Gitto, S.; Andreone, P.; Gattei, V. A Review on Extrahepatic Manifestations of Chronic Hepatitis C Virus Infection and the Impact of Direct-Acting Antiviral Therapy. Viruses 2021, 13, 2249. [Google Scholar] [CrossRef]
- Androutsakos, T.; Tsantzali, I.; Karagiannakis, D.S.; Flevari, P.; Iakovou, D.; Pouliakis, A.; Kykalos, S.; Doris, S.; Xyla, V. Peripheral Neuropathy in Patients with Hepatitis C Infection-Reversibility after HCV Eradication: A Single Center Study. Viruses 2024, 16, 522. [Google Scholar] [CrossRef]
- McDonald, S.A.; Pollock, K.G.; Barclay, S.T.; Goldberg, D.J.; Bathgate, A.; Bramley, P.; Dillon, J.F.; Fraser, A.; Innes, H.A.; Kennedy, N.; et al. Real-world impact following initiation of interferon-free hepatitis C regimens on liver-related outcomes and all-cause mortality among patients with compensated cirrhosis. J. Viral Hepat. 2020, 27, 270–280. [Google Scholar] [CrossRef]
- Thabut, D.; Bureau, C.; Layese, R.; Bourcier, V.; Hammouche, M.; Cagnot, C.; Marcellin, P.; Guyader, D.; Pol, S.; Larrey, D.; et al. Validation of Baveno VI Criteria for Screening and Surveillance of Esophageal Varices in Patients with Compensated Cirrhosis and a Sustained Response to Antiviral Therapy. Gastroenterology 2019, 156, 997–1009.e5. [Google Scholar] [CrossRef]
- Lv, G.J.; Ji, D.; Yu, L.; Chen, H.Y.; Chen, J.; He, M.; Wang, W.C.; Wang, H.B.; Tsang, C.; Wang, J.; et al. Risk of hepatocellular carcinoma occurrence after antiviral therapy for patients with chronic hepatitis C Infection: A systematic review and meta-analysis. Hepatol. Int. 2024. [Google Scholar] [CrossRef]
- Waziry, R.; Hajarizadeh, B.; Grebely, J.; Amin, J.; Law, M.; Danta, M.; George, J.; Dore, G.J. Hepatocellular carcinoma risk following direct-acting antiviral HCV therapy: A systematic review, meta-analyses, and meta-regression. J. Hepatol. 2017, 67, 1204–1212. [Google Scholar] [CrossRef]
- Toyoda, H.; Tada, T.; Takaguchi, K.; Senoh, T.; Shimada, N.; Hiraoka, A.; Michitaka, K.; Ishikawa, T.; Kumada, T. Differences in background characteristics of patients with chronic hepatitis C who achieved sustained virologic response with interferon-free versus interferon-based therapy and the risk of developing hepatocellular carcinoma after eradication of hepatitis C virus in Japan. J. Viral Hepat. 2017, 24, 472–476. [Google Scholar] [CrossRef] [PubMed]
- Conti, F.; Buonfiglioli, F.; Scuteri, A.; Crespi, C.; Bolondi, L.; Caraceni, P.; Foschi, F.G.; Lenzi, M.; Mazzella, G.; Verucchi, G.; et al. Early occurrence and recurrence of hepatocellular carcinoma in HCV-related cirrhosis treated with direct-acting antivirals. J. Hepatol. 2016, 65, 727–733. [Google Scholar] [CrossRef] [PubMed]
- Innes, H.; McDonald, S.A.; Hamill, V.; Yeung, A.; Dillon, J.F.; Hayes, P.C.; Went, A.; Fraser, A.; Bathgate, A.; Barclay, S.T.; et al. Declining incidence of hepatitis C related hepatocellular carcinoma in the era of interferon-free therapies: A population-based cohort study. Liver Int. 2022, 42, 561–574. [Google Scholar] [CrossRef] [PubMed]
- Lu, M.; Salgia, R.; Li, J.; Trudeau, S.; Rupp, L.B.; Wu, T.; Daida, Y.G.; Schmidt, M.A.; Gordon, S.C. Dynamic risk assessment for hepatocellular carcinoma in patients with chronic hepatitis C. J. Viral Hepat. 2023, 30, 746–755. [Google Scholar] [CrossRef]
- Innes, H.; Barclay, S.T.; Hayes, P.C.; Fraser, A.; Dillon, J.F.; Stanley, A.; Bathgate, A.; McDonald, S.A.; Goldberg, D.; Valerio, H.; et al. The risk of hepatocellular carcinoma in cirrhotic patients with hepatitis C and sustained viral response: Role of the treatment regimen. J. Hepatol. 2018, 68, 646–654. [Google Scholar] [CrossRef]
- Janjua, N.Z.; Wong, S.; Darvishian, M.; Butt, Z.A.; Yu, A.; Binka, M.; Alvarez, M.; Woods, R.; Yoshida, E.M.; Ramji, A.; et al. The impact of SVR from direct-acting antiviral- and interferon-based treatments for HCV on hepatocellular carcinoma risk. J. Viral Hepat. 2020, 27, 781–793. [Google Scholar] [CrossRef]
- Mondelli, M.U.; Ottolini, S.; Oliviero, B.; Mantovani, S.; Cerino, A.; Mele, D.; Varchetta, S. Hepatitis C Virus and the Host: A Mutual Endurance Leaving Indelible Scars in the Host’s Immunity. Int. J. Mol. Sci. 2023, 25, 268. [Google Scholar] [CrossRef]
- Lupberger, J.; Baumert, T.F. Memories of Stress: The Imprinted Cancer Risk After HCV Cure. Cell Mol. Gastroenterol. Hepatol. 2023, 16, 323–324. [Google Scholar] [CrossRef]
- Sung, P.S.; Shin, E.C. Immunological Mechanisms for Hepatocellular Carcinoma Risk after Direct-Acting Antiviral Treatment of Hepatitis C Virus Infection. J. Clin. Med. 2021, 10, 221. [Google Scholar] [CrossRef]
- Cannizzo, E.S.; Cerrone, M.; Merlini, E.; van Wilgenburg, B.; Swadling, L.; Ancona, G.; De Bona, A.; d’Arminio Monforte, A.; Klenerman, P.; Marchetti, G. Successful direct-acting antiviral therapy in HIV/HCV co-infected patients fails to restore circulating mucosal-associated invariant T cells. Eur. J. Immunol. 2019, 49, 1127–1129. [Google Scholar] [CrossRef]
- Beudeker, B.J.B.; van Oord, G.W.; Arends, J.E.; Schulze Zur Wiesch, J.; van der Heide, M.S.; de Knegt, R.J.; Verbon, A.; Boonstra, A.; Claassen, M.A.A. Mucosal-associated invariant T-cell frequency and function in blood and liver of HCV mono- and HCV/HIV co-infected patients with advanced fibrosis. Liver Int. 2018, 38, 458–468. [Google Scholar] [CrossRef] [PubMed]
- Bolte, F.J.; O’Keefe, A.C.; Webb, L.M.; Serti, E.; Rivera, E.; Liang, T.J.; Ghany, M.; Rehermann, B. Intra-Hepatic Depletion of Mucosal-Associated Invariant T Cells in Hepatitis C Virus-Induced Liver Inflammation. Gastroenterology 2017, 153, 1392–1403.e2. [Google Scholar] [CrossRef] [PubMed]
- Langhans, B.; Nischalke, H.D.; Kramer, B.; Hausen, A.; Dold, L.; van Heteren, P.; Huneburg, R.; Nattermann, J.; Strassburg, C.P.; Spengler, U. Increased peripheral CD4(+) regulatory T cells persist after successful direct-acting antiviral treatment of chronic hepatitis C. J. Hepatol. 2017, 66, 888–896. [Google Scholar] [CrossRef] [PubMed]
- Marino, Z.; Darnell, A.; Lens, S.; Sapena, V.; Diaz, A.; Belmonte, E.; Perello, C.; Calleja, J.L.; Varela, M.; Rodriguez, M.; et al. Time association between hepatitis C therapy and hepatocellular carcinoma emergence in cirrhosis: Relevance of non-characterized nodules. J. Hepatol. 2019, 70, 874–884. [Google Scholar] [CrossRef]
- Korenaga, M.; Murata, K.; Izumi, N.; Tamaki, N.; Yokosuka, O.; Takehara, T.; Sakamoto, N.; Suda, G.; Nishiguchi, S.; Enomoto, H.; et al. No increased risk of hepatocellular carcinoma after eradication of hepatitis C virus by direct-acting antivirals, compared with interferon-based therapy. Glob. Health Med. 2022, 4, 216–224. [Google Scholar] [CrossRef]
- Hong, H.; Choi, W.M.; Lee, D.; Shim, J.H.; Kim, K.M.; Lim, Y.S.; Lee, H.C.; Choi, J. Prediction of Hepatocellular Carcinoma Development in Korean Patients after Hepatitis C Cure with Direct-Acting Antivirals. Gut Liver 2024, 18, 147–155. [Google Scholar] [CrossRef]
- Kramer, J.R.; Cao, Y.; Li, L.; Smith, D.; Chhatwal, J.; El-Serag, H.B.; Kanwal, F. Longitudinal Associations of Risk Factors and Hepatocellular Carcinoma in Patients with Cured Hepatitis C Virus Infection. Am. J. Gastroenterol. 2022, 117, 1834–1844. [Google Scholar] [CrossRef]
- Azzi, J.; Dorival, C.; Cagnot, C.; Fontaine, H.; Lusivika-Nzinga, C.; Leroy, V.; De Ledinghen, V.; Tran, A.; Zoulim, F.; Alric, L.; et al. Prediction of hepatocellular carcinoma in Hepatitis C patients with advanced fibrosis after sustained virologic response. Clin. Res. Hepatol. Gastroenterol. 2022, 46, 101923. [Google Scholar] [CrossRef]
- Lockart, I.; Yeo, M.G.H.; Hajarizadeh, B.; Dore, G.J.; Danta, M. HCC incidence after hepatitis C cure among patients with advanced fibrosis or cirrhosis: A meta-analysis. Hepatology 2022, 76, 139–154. [Google Scholar] [CrossRef]
- Lok, A.S.; Seeff, L.B.; Morgan, T.R.; di Bisceglie, A.M.; Sterling, R.K.; Curto, T.M.; Everson, G.T.; Lindsay, K.L.; Lee, W.M.; Bonkovsky, H.L.; et al. Incidence of hepatocellular carcinoma and associated risk factors in hepatitis C-related advanced liver disease. Gastroenterology 2009, 136, 138–148. [Google Scholar] [CrossRef]
- Rocha, C.; Doyle, E.H.; Bowman, C.A.; Fiel, M.I.; Stueck, A.E.; Goossens, N.; Bichoupan, K.; Patel, N.; Crismale, J.F.; Makkar, J.; et al. Hepatocellular carcinoma in patients cured of chronic hepatitis C: Minimal steatosis. Cancer Med. 2023, 12, 10175–10186. [Google Scholar] [CrossRef] [PubMed]
- Nahon, P.; Bamba-Funck, J.; Layese, R.; Trepo, E.; Zucman-Rossi, J.; Cagnot, C.; Ganne-Carrie, N.; Chaffaut, C.; Guyot, E.; Ziol, M.; et al. Integrating genetic variants into clinical models for hepatocellular carcinoma risk stratification in cirrhosis. J. Hepatol. 2023, 78, 584–595. [Google Scholar] [CrossRef] [PubMed]
- da Costa, B.R.; Gahl, B.; Jüni, P. Tools & techniques--statistics: Propensity score techniques. EuroIntervention 2014, 10, 761–767. [Google Scholar] [CrossRef] [PubMed]




| All, N = 4806 | DAA N = 2825 | IFN-Based N = 1981 | p Value | |
|---|---|---|---|---|
| Age, years (SD) | 58 (13) | 62 (12) | 52 (12) | <0.001 |
| ≥60, n (%) | 2141 (45) | 1648 (58) | 493 (25) | <0.001 |
| Male, n (%) | 2330 (48) | 1204 (43) | 1126 (57) | <0.001 |
| BMI, kg/m2 (IQR) | 24 (22–27) | 24 (22–27) | 24 (22–26) | 0.119 |
| HCV RNA, log10IU/mL (IQR) | 6.1 (5.4–6.6) | 6.2 (5.5–6.6) | 5.9 (5.2–6.5) | <0.001 |
| Genotype 1, n (%) | 2610 (56) | 1674 (60) | 936 (49) | <0.001 |
| 2 | 1893 (40) | 989 (35) | 904 (48) | |
| 3 | 40 (1) | 23 (1) | 17 (1) | |
| others | 140 (3) | 109 (4) | 31 (2) | |
| ALT, U/L (IQR) | 66 (38–123) | 51 (30–96) | 92 (57–153) | <0.001 |
| AST, U/L (IQR) | 52 (34–87) | 46 (32–76) | 63 (40–101) | <0.001 |
| Total bilirubin, mg/dL (IQR) | 0.7 (0.5–0.9) | 0.7 (0.5–0.9) | 0.8 (0.6–1.0) | <0.001 |
| Albumin, g/dL (IQR) | 4.4 (4.1–4.6) | 4.3 (4.0–4.5) | 4.5 (4.3–4.7) | <0.001 |
| Platelet, 103/uL (IQR) | 178 (136–221) | 181 (135–227) | 173 (137–213) | <0.001 |
| AFP, ng/mL (IQR) | 4 (3–8) | 4 (3–7) | 5 (3–9) | <0.001 |
| HbA1c (IQR) | 5.7 (5.4–6.2) | 5.8 (5.4–6.4) | 5.5 (5.3–5.9) | <0.001 |
| Diabetic mellitus, n (%) | 691 (14) | 505 (18) | 186 (9) | <0.001 |
| Fatty liver, n (%) | 2290 (48) | 1313 (47) | 977 (49) | 0.074 |
| FIB-4 (IQR) | 2.24 (1.41–3.57) | 2.34 (1.51–3.87) | 2.07 (1.26–3.20) | <0.001 |
| ≥3.25, n (%) | 1405 (29) | 923 (33) | 482 (24) | <0.001 |
| ACLD, n (%) | 1738 (36) | 1075 (38) | 663 (33) | 0.001 |
| MELD score (IQR) | 8.6 (7.3–10.2) | 8.5 (7.2–10.2) | 8.8 (7.7–10.1) | <0.001 |
| Hepatic decompensation * (%) | 15 (0.3) | 15 (0.5) | 0 | <0.001 |
| Follow-up, months (IQR) | 54 (36–137) | 42 (30–51) | 152 (111–191) | <0.001 |
| Fibrotic Stage | Age, Years | Early HCC (0–3 y)/Late HCC (3–6 y) | Annual Incidence, % | |
|---|---|---|---|---|
| All | ACLD | <60 | - | 1.12 |
| ≥60 | - | 1.89 | ||
| Non-ACLD | <60 | - | 0.09 | |
| ≥60 | - | 0.43 | ||
| DAA | ACLD | - | Early | 3.26 * |
| - | Late | 1.39 * | ||
| <60 | - | 2.26 | ||
| ≥60 | - | 2.37 | ||
| Non-ACLD | - | Early | 0.30 * | |
| - | Late | 0.52 * | ||
| <60 | - | 0.11 | ||
| ≥60 | - | 0.45 | ||
| IFN | ACLD | - | Early | 1.15 * |
| - | Late | 0.87 * | ||
| <60 | - | 0.84 | ||
| ≥60 | - | 1.45 | ||
| Non-ACLD | - | Early | 0.12 * | |
| - | Late | 0.14 * | ||
| <60 | - | 0.09 | ||
| ≥60 | - | 0.40 |
| Univariate | Multivariate | ||||||
|---|---|---|---|---|---|---|---|
| N | Event | IR per 102 py | HR (95%CI) | p Value | HR (95%CI) | p Value | |
| Age <60 years | 2665 | 74 | 0.34 | Referent | |||
| ≥60 | 2141 | 134 | 1.25 | 3.382 (2.523–4.532) | <0.001 | 1.888 (1.263–2.778) | 0.001 |
| Female | 2476 | 82 | 0.54 | Referent | |||
| Male | 2330 | 126 | 0.73 | 1.472 (1.113–1.945) | 0.007 | 2.481 (1.770–3.476) | <0.001 |
| BMI, kg/m2 | 3917 | 171 | 1.058 (1.019–1.099) | 0.003 | 1.056 (1.012–1.102) | 0.013 | |
| HCV RNA, log10IU/ml | 4456 | 182 | 1.021 (0.881–1.183) | 0.784 | |||
| Genotype 1 | 2610 | 131 | 0.78 | Referent | |||
| 2 | 1893 | 65 | 0.48 | 0.638 (0.474–0.859) | 0.003 | 0.799 (0.559–1.143) | 0.220 |
| 3 | 40 | 1 | 0.46 | 0.569 (0.080–4.067) | 0.574 | 0.718 (0.099–5.189) | 0.743 |
| others | 140 | 4 | 0.69 | 0.782 (0.289–2.118) | 0.629 | 0.503 (0.123–2.053) | 0.339 |
| Antiviral agents | |||||||
| IFN-based | 1981 | 102 | 0.44 | Referent | |||
| DAA | 2825 | 106 | 1.14 | 2.264 (1.607–3.191) | <0.001 | 1.434 (0.875–2.351) | 0.152 |
| ALT, U/L | 4806 | 208 | 1.000 (0.998–1.001) | 0.779 | |||
| Total bilirubin, mg/dL | 4526 | 197 | 1.266 (1.167–1.373) | <0.001 | 1.054 (0.860–1.290) | 0.613 | |
| Albumin, g/dL | 4311 | 187 | 0.291 (0.236–0.358) | <0.001 | 0.631 (0.429–0.927) | 0.019 | |
| Platelet, 103/uL | 4806 | 208 | 0.986 (0.983–0.989) | <0.001 | |||
| AFP <6, ng/mL | 3019 | 52 | 0.29 | Referent | |||
| ≥6 | 1736 | 155 | 1.13 | 4.471 (3.262–6.128) | <0.001 | 3.034 (2.005–4.591) | <0.001 |
| Diabetic mellitus, no | 4115 | 171 | 0.59 | Referent | |||
| yes | 691 | 37 | 1.01 | 1.547 (1.083–2.210) | 0.017 | 0.996 (0.653–1.531) | 0.987 |
| Fatty liver, no | 2488 | 129 | 0.75 | Referent | |||
| yes | 2290 | 79 | 0.52 | 0.657 (0.497–0.870) | 0.003 | 0.767 (0.539–1.091) | 0.140 |
| FIB-4 | 4806 | 208 | 1.142 (1.123–1.161) | <0.001 | 1.056 (1.020–1.093) | 0.002 | |
| Non-ACLD | 3068 | 35 | 0.17 | Referent | |||
| ACLD | 1738 | 173 | 1.53 | 9.379 (6.518–13.495) | <0.001 | 3.297 (2.012–5.403) | <0.001 |
| IFN | DAA | |||
|---|---|---|---|---|
| Multivariate | Multivariate | |||
| HR (95%CI) | p Value | HR (95%CI) | p Value | |
| Age ≥ 60 years | 3.247 (1.354–3.730) | 0.002 | ||
| Male | 2.447 (1.640–3.651) | <0.001 | ||
| AFP ≥ 6 ng/mL | 1.962 (1.086–3.542) | 0.025 | 3.086 (1.915–4.974) | <0.001 |
| FIB-4 | 1.056 (1.019–1.095) | 0.003 | ||
| ACLD | 3.806 (1.928–7.512) | <0.001 | 3.434 (1.813–6.506) | <0.001 |
Disclaimer/Publisher’s Note: The statements, opinions and data contained in all publications are solely those of the individual author(s) and contributor(s) and not of MDPI and/or the editor(s). MDPI and/or the editor(s) disclaim responsibility for any injury to people or property resulting from any ideas, methods, instructions or products referred to in the content. |
© 2024 by the authors. Licensee MDPI, Basel, Switzerland. This article is an open access article distributed under the terms and conditions of the Creative Commons Attribution (CC BY) license (https://creativecommons.org/licenses/by/4.0/).
Share and Cite
Kao, Y.-T.; Liu, Y.-C.; Cheng, Y.-T.; Wen, Y.-W.; Hsieh, Y.-C.; Hsu, C.-E.; Su, C.-W.; Tai, J.C.-H.; Chen, Y.-C.; Jeng, W.-J.; et al. Hepatocellular Carcinoma Incidences and Risk Factors in Hepatitis C Patients: Interferon versus Direct-Acting Agents. Viruses 2024, 16, 1485. https://doi.org/10.3390/v16091485
Kao Y-T, Liu Y-C, Cheng Y-T, Wen Y-W, Hsieh Y-C, Hsu C-E, Su C-W, Tai JC-H, Chen Y-C, Jeng W-J, et al. Hepatocellular Carcinoma Incidences and Risk Factors in Hepatitis C Patients: Interferon versus Direct-Acting Agents. Viruses. 2024; 16(9):1485. https://doi.org/10.3390/v16091485
Chicago/Turabian StyleKao, Yu-Ting, Yen-Chun Liu, Ya-Ting Cheng, Yu-Wen Wen, Yi-Chung Hsieh, Cheng-Er Hsu, Chung-Wei Su, Jennifer Chia-Hung Tai, Yi-Cheng Chen, Wen-Juei Jeng, and et al. 2024. "Hepatocellular Carcinoma Incidences and Risk Factors in Hepatitis C Patients: Interferon versus Direct-Acting Agents" Viruses 16, no. 9: 1485. https://doi.org/10.3390/v16091485
APA StyleKao, Y.-T., Liu, Y.-C., Cheng, Y.-T., Wen, Y.-W., Hsieh, Y.-C., Hsu, C.-E., Su, C.-W., Tai, J. C.-H., Chen, Y.-C., Jeng, W.-J., Lin, C.-Y., Chien, R.-N., Tai, D.-I., & Sheen, I.-S. (2024). Hepatocellular Carcinoma Incidences and Risk Factors in Hepatitis C Patients: Interferon versus Direct-Acting Agents. Viruses, 16(9), 1485. https://doi.org/10.3390/v16091485

