Virus Adaptation Following Experimental Infection of Chickens with a Domestic Duck Low Pathogenic Avian Influenza Isolate from the 2017 USA H7N9 Outbreak Identifies Polymorphic Mutations in Multiple Gene Segments
Abstract
1. Introduction
2. Materials and Methods
2.1. Challenge Virus
2.2. Clinical Specimens Obtained during the H7N9 AIV Outbreak
2.3. Animals and Housing
2.4. Experimental Design and Sampling
2.5. Influenza Targeted Whole Genome Amplification
2.6. Whole Genome Sequencing
2.7. Viral RNA Quantification in Experimental Swabs
2.8. Serology
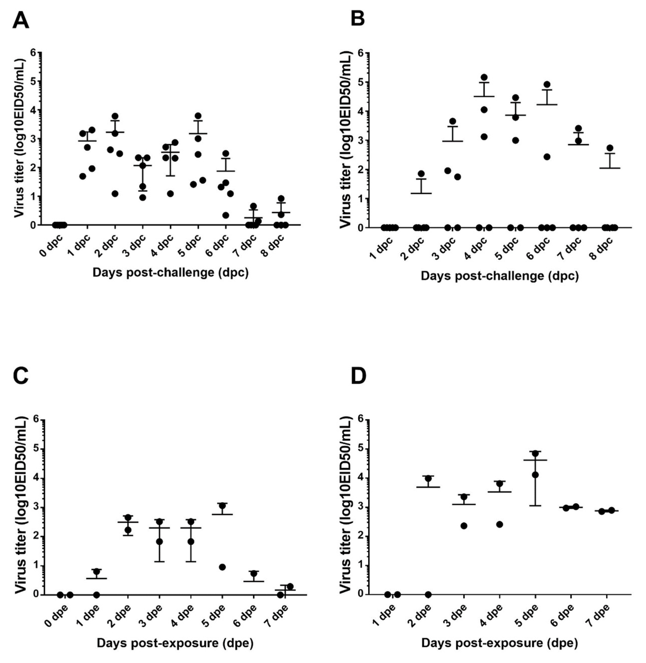
3. Results
3.1. Clinical Signs of Experimental Infection of Chickens with an H7N9 LPAIV Duck Isolate
3.2. Virus Shedding
3.3. HI Titers
3.4. Polymorphism Analysis
4. Discussion
Supplementary Materials
Author Contributions
Funding
Institutional Review Board Statement
Informed Consent Statement
Conflicts of Interest
References
- Diederich, S.; Berhane, Y.; Embury-Hyatt, C.; Hisanaga, T.; Handel, K.; Cottam-Birt, C.; Ranadheera, C.; Kobasa, D.; Pasick, J. Hemagglutinin-Neuraminidase Balance Influences the Virulence Phenotype of a Recombinant H5N3 Influenza A Virus Possessing a Polybasic HA0 Cleavage Site. J. Virol. 2015, 89, 10724–10734. [Google Scholar] [CrossRef]
- Kapczynski, D.R.; Pantin-Jackwood, M.; Guzman, S.G.; Ricardez, Y.; Spackman, E.; Bertran, K.; Suarez, D.L.; Swayne, D.E. Characterization of the 2012 highly pathogenic avian influenza H7N3 virus isolated from poultry in an outbreak in Mexico: Pathobiology and vaccine protection. J. Virol. 2013, 87, 9086–9096. [Google Scholar] [CrossRef]
- Bertran, K.; Lee, D.H.; Criado, M.F.; Smith, D.; Swayne, D.E.; Pantin-Jackwood, M.J. Pathobiology of Tennessee 2017 H7N9 low and high pathogenicity avian influenza viruses in commercial broiler breeders and specific pathogen free layer chickens. Vet. Res. 2018, 49, 82. [Google Scholar] [CrossRef] [PubMed]
- Chrzastek, K.; Lee, D.H.; Smith, D.; Sharma, P.; Suarez, D.L.; Pantin-Jackwood, M.; Kapczynski, D.R. Use of Sequence-Independent, Single-Primer-Amplification (SISPA) for rapid detection, identification, and characterization of avian RNA viruses. Virology 2017, 509, 159–166. [Google Scholar] [CrossRef] [PubMed]
- Lupiani, B.; Reddy, S.M. The history of avian influenza. Comp. Immunol. Microbiol. Infect. Dis. 2009, 32, 311–323. [Google Scholar] [CrossRef] [PubMed]
- Monne, I.; Fusaro, A.; Nelson, M.I.; Bonfanti, L.; Mulatti, P.; Hughes, J.; Murcia, P.R.; Schivo, A.; Valastro, V.; Moreno, A.; et al. Holmes, and G. Cattoli. Emergence of a highly pathogenic avian influenza virus from a low-pathogenic progenitor. J. Virol. 2014, 88, 4375–4388. [Google Scholar] [CrossRef] [PubMed]
- Swayne, D.E.; Suarez, D.L. Highly pathogenic avian influenza. Rev. Sci. Tech. 2000, 19, 463–482. [Google Scholar] [CrossRef] [PubMed]
- Van Hoeven, N.; Pappas, C.; Belser, J.A.; Maines, T.R.; Zeng, H.; Garcia-Sastre, A.; Sasisekharan, R.; Katz, J.M.; Tumpey, T.M. Human HA and polymerase subunit PB2 proteins confer transmission of an avian influenza virus through the air. Proc. Natl. Acad. Sci. USA 2009, 106, 3366–3371. [Google Scholar] [CrossRef]
- Lee, D.H.; Torchetti, M.K.; Killian, M.L.; Berhane, Y.; Swayne, D.E. Highly Pathogenic Avian Influenza A(H7N9) Virus, Tennessee, USA, March 2017. Emerg. Infect. Dis. 2017, 23, 1860–1863. [Google Scholar] [CrossRef]
- Williams, S.M. A Laboratory Manual for the Isolation, Identification, and Characterization of Avian Pathogens; American Association of Avian Pathologists: Jacksonville, FL, USA, 2016. [Google Scholar]
- Chevreux, B.; Pfisterer, T.; Drescher, B.; Driesel, A.J.; Muller, W.E.; Wetter, T.; Suhai, S. Using the miraEST assembler for reliable and automated mRNA transcript assembly and SNP detection in sequenced ESTs. Genome Res. 2004, 14, 1147–1159. [Google Scholar] [CrossRef]
- Afgan, E.; Baker, D.; van den Beek, M.; Blankenberg, D.; Bouvier, D.; Cech, M.; Chilton, J.; Clements, D.; Coraor, N.; Eberhard, C.; et al. The Galaxy platform for accessible, reproducible and collaborative biomedical analyses: 2016 update. Nucleic Acids Res. 2016, 44, W3–W10. [Google Scholar] [CrossRef]
- Dimitrov, K.M.; Sharma, P.; Volkening, J.D.; Goraichuk, I.V.; Wajid, A.; Rehmani, S.F.; Basharat, A.; Shittu, I.; Joannis, T.M.; Miller, P.J.; et al. A robust and cost-effective approach to sequence and analyze complete genomes of small RNA viruses. Virol. J. 2017, 14, 72. [Google Scholar] [CrossRef] [PubMed]
- Gurevich, A.; Saveliev, V.; Vyahhi, N.; Tesler, G. QUAST: Quality assessment tool for genome assemblies. Bioinformatics 2013, 29, 1072–1075. [Google Scholar] [CrossRef] [PubMed]
- Silva, G.G.; Dutilh, B.E.; Matthews, T.D.; Elkins, K.; Schmieder, R.; Dinsdale, E.A.; Edwards, R.A. Combining de novo and reference-guided assembly with scaffold_builder. Source Code Biol. Med. 2013, 8, 23. [Google Scholar] [CrossRef]
- Li, H. Aligning sequence reads, clone sequences and assembly contigs with BWA-MEM. arXiv 2013, arXiv:1303.3997. [Google Scholar]
- Kearse, M.; Moir, R.; Wilson, A.; Stones-Havas, S.; Cheung, M.; Sturrock, S.; Buxton, S.; Cooper, A.; Markowitz, S.; Duran, C.; et al. Geneious Basic: An integrated and extendable desktop software platform for the organization and analysis of sequence data. Bioinform 2012, 28, 1647–1649. [Google Scholar] [CrossRef]
- Spackman, E.; Senne, D.A.; Myers, T.J.; Bulaga, L.L.; Garber, L.P.; Perdue, M.L.; Lohman, K.; Daum, L.T.; Suarez, D.L. Development of a real-time reverse transcriptase PCR assay for type A influenza virus and the avian H5 and H7 hemagglutinin subtypes. J. Clin. Microbiol. 2002, 40, 3256–3260. [Google Scholar] [CrossRef] [PubMed]
- Hatta, M.; Gao, P.; Halfmann, P.; Kawaoka, Y. Molecular basis for high virulence of Hong Kong H5N1 influenza A viruses. Science 2001, 293, 1840–1842. [Google Scholar] [CrossRef] [PubMed]
- Miotto, O.; Heiny, A.; Tan, T.W.; August, J.T.; Brusic, V. Identification of human-to-human transmissibility factors in PB2 proteins of influenza A by large-scale mutual information analysis. BMC Bioinform. 2008, 9, 1–18. [Google Scholar] [CrossRef] [PubMed]
- Gabriel, G.; Dauber, B.; Wolff, T.; Planz, O.; Klenk, H.D.; Stech, J. The viral polymerase mediates adaptation of an avian influenza virus to a mammalian host. Proc. Natl. Acad. Sci. USA 2005, 102, 18590–18595. [Google Scholar] [CrossRef]
- Poole, E.L.; Medcalf, L.; Elton, D.; Digard, P. Evidence that the C-terminal PB2-binding region of the influenza A virus PB1 protein is a discrete alpha-helical domain. FEBS Lett. 2007, 581, 5300–5306. [Google Scholar] [CrossRef] [PubMed]
- Sugiyama, K.; Obayashi, E.; Kawaguchi, A.; Suzuki, Y.; Tame, J.R.; Nagata, K.; Park, S.Y. Structural insight into the essential PB1-PB2 subunit contact of the influenza virus RNA polymerase. EMBO J. 2009, 28, 1803–1811. [Google Scholar] [CrossRef]
- Bussey, K.A.; Desmet, E.A.; Mattiacio, J.L.; Hamilton, A.; Bradel-Tretheway, B.; Bussey, H.E.; Kim, B.; Dewhurst, S.; Takimoto, T. PA residues in the 2009 H1N1 pandemic influenza virus enhance avian influenza virus polymerase activity in mammalian cells. J. Virol. 2011, 85, 7020–7028. [Google Scholar] [CrossRef]
- Desmet, E.A.; Bussey, K.A.; Stone, R.; Takimoto, T. Identification of the N-terminal domain of the influenza virus PA responsible for the suppression of host protein synthesis. J. Virol. 2013, 87, 3108–3118. [Google Scholar] [CrossRef] [PubMed]
- Masuda, H.; Suzuki, T.; Sugiyama, Y.; Horiike, G.; Murakami, K.; Miyamoto, D.; Hidari, K.I.J.; Ito, T.; Kida, H.; Kiso, M.; et al. Substitution of amino acid residue in influenza A virus hemagglutinin affects recognition of sialyl-oligosaccharides containing N-glycolylneuraminic acid. FEBS Lett. 1999, 464, 71–74. [Google Scholar] [CrossRef]
- Nakajima, K.; Nobusawa, E.; Nagy, A.; Nakajima, S. Accumulation of amino acid substitutions promotes irreversible structural changes in the hemagglutinin of human influenza AH3 virus during evolution. J. Virol. 2005, 79, 6472–6477. [Google Scholar] [CrossRef] [PubMed]
- Pantin-Jackwood, M.J.; Stephens, C.B.; Bertran, K.; Swayne, D.E.; Spackman, E. The pathogenesis of H7N8 low and highly pathogenic avian influenza viruses from the United States 2016 outbreak in chickens, turkeys and mallards. PLoS ONE 2017, 12, e0177265. [Google Scholar] [CrossRef]
- Schneider, W.L.; Roossinck, M.J. Genetic diversity in RNA virus quasispecies is controlled by host-virus interactions. J. Virol. 2001, 75, 6566–6571. [Google Scholar] [CrossRef]
- Xue, K.S.; Bloom, J.D. Linking influenza virus evolution within and between human hosts. Virus Evol. 2020, 6, veaa010. [Google Scholar] [CrossRef]
- Youk, S.; Leyson, C.; Seibert, B.; Jadhao, S.; Perez, D.; Suarez, D.; Pantin-Jackwood, M.J. Mutations in PB1, NP, HA, and NA Contribute to Increased Virus Fitness of H5N2 Highly Pathogenic Avian Influenza Virus Clade 2.3.4.4 in Chickens. J. Virol. 2020, 95, e01675-20. [Google Scholar]
- Olsen, B.; Munster, V.J.; Wallensten, A.; Waldenstrom, J.; Osterhaus, A.D.; Fouchier, R.A. Global patterns of influenza a virus in wild birds. Science 2006, 312, 384–388. [Google Scholar] [CrossRef]
- Gu, M.; Li, Q.; Gao, R.; He, D.; Xu, Y.; Xu, H.; Xu, L.; Wang, X.; Hu, J.; Liu, X.; et al. The T160A hemagglutinin substitution affects not only receptor binding property but also transmissibility of H5N1 clade 2.3.4 avian influenza virus in guinea pigs. Vet. Res. 2017, 48, 7. [Google Scholar] [CrossRef]
- Suttie, A.; Yann, S.; Phalla, Y.; Tum, S.; Deng, Y.M.; Hul, V.; Horm, V.S.; Barr, I.; Greenhill, A.; Horwood, P.F. Detection of Low Pathogenicity Influenza A(H7N3) Virus during Duck Mortality Event, Cambodia, 2017. Emerg. Infect. Dis. 2018, 24, 1103–1107. [Google Scholar] [CrossRef]
- Rodriguez, L.; Nogales, A.; Iqbal, M.; Perez, D.R.; Martinez-Sobrido, L. Identification of Amino Acid Residues Responsible for Inhibition of Host Gene Expression by Influenza A H9N2 NS1 Targeting of CPSF30. Front. Microbiol. 2018, 9, 2546. [Google Scholar] [CrossRef] [PubMed]
- Munster, V.J.; Baas, C.; Lexmond, P.; Waldenstrom, J.; Wallensten, A.; Fransson, T.; Rimmelzwaan, G.F.; Beyer, W.E.; Schutten, M.; Olsen, B.; et al. Fouchier. Spatial, temporal, and species variation in prevalence of influenza A viruses in wild migratory birds. PLoS Pathog. 2007, 3, e61. [Google Scholar] [CrossRef]
- Wallensten, A.; Munster, V.J.; Latorre-Margalef, N.; Brytting, M.; Elmberg, J.; Fouchier, R.A.; Fransson, T.; Haemig, P.D.; Karlsson, M.; Lundkvist, A.; et al. Surveillance of influenza A virus in migratory waterfowl in northern Europe. Emerg. Infect. Dis. 2007, 13, 404–411. [Google Scholar] [CrossRef] [PubMed]
- Tada, T.; Suzuki, K.; Sakurai, Y.; Kubo, M.; Okada, H.; Itoh, T.; Tsukamoto, K. NP body domain and PB2 contribute to increased virulence of H5N1 highly pathogenic avian influenza viruses in chickens. J. Virol. 2011, 85, 1834–1846. [Google Scholar] [CrossRef] [PubMed]
- Youk, S.; Lee, D.H.; Ferreira, H.L.; Afonso, C.L.; Absalon, A.E.; Swayne, D.E.; Suarez, D.L.; Pantin-Jackwood, M.J. Rapid evolution of Mexican H7N3 highly pathogenic avian influenza viruses in poultry. PLoS ONE 2019, 14, e0222457. [Google Scholar] [CrossRef] [PubMed]

| Day Post Challenge | Segment | CDS Codon Number | Amino Acid Change | Variant Frequency | Sequencing Depth |
|---|---|---|---|---|---|
| Day 4 | PB2 | 74 | G −> E | 20 | 5767 |
| 77 | L −> P | 14.7 | 4496 | ||
| 647 | I −> R | 5.7 | 3797 | ||
| 649 | V −> G | 25.7 | 4433 | ||
| 653 | S −> T | 5.6 | 5385 | ||
| 656 | F −> L | 5.1 | 6358 | ||
| 657 | N −> K | 7.5 | 6864 | ||
| 659 | N −> K | 5.9 | 7711 | ||
| 661 | A −> T | 7.5 | 8439 | ||
| 702 | K −> E | 5.1 | 22,021 | ||
| 703 | R −> K | 5.5 | 23,430 | ||
| 717 | A −> T | 10.3 | 31,662 | ||
| PB1 | 695 | L −> I | 33.3 | 1627 | |
| PA | 89 | T −> P | 10 | 3243 | |
| 91 | V −> G | 8.9 | 2719 | ||
| 569 | G −> R | 43.4 | 1410 | ||
| 701 | L −> S | 8.1 | 5705 | ||
| NS | 79 | M −> I | 17.6 | 17,973 | |
| Day 6 | PB2 | 66 | M −> L | 6 | 2393 |
| 94 | L −> V | 34.1 | 1026 | ||
| 518 | V −> I | 9.8 | 1585 | ||
| 686 | V −> E | 5.5 | 9359 | ||
| PB1 | 625 | C −> G | 33 | 2676 | |
| 631 | F −> S | 7.2 | 2757 | ||
| 656 | E −> K | 5.1 | 4535 | ||
| 678 | S −> R | 5.3 | 7818 | ||
| 679 | Q −> K | 6.6 | 8010 | ||
| 680 | R −> K | 7.2 | 8109 | ||
| PA | 23 | E −> G | 5.1 | 9793 | |
| 25 | G −> W | 6.5 | 10,646 | ||
| 84 | R −> H | 5.6 | 12,405 | ||
| 85 | T −> N | 5.2 | 12,364 | ||
| 116 | R −> H | 5.5 | 4283 | ||
| 142 | K −> T | 13.6 | 1059 | ||
| 142 | K −> R | 6.4 | 1059 | ||
| 548 | M −> I | 7.1 | 1010 | ||
| 554 | I −> R | 5 | 1608 | ||
| 556 | Q −> H | 6.9 | 2004 | ||
| 559 | R −> G | 7.5 | 2226 | ||
| 561 | M −> L | 9.1 | 2519 | ||
| 581 | M −> I | 7.1 | 5204 | ||
| 616 | S −> A | 5.6 | 12,713 | ||
| 652 | S −> F | 5.3 | 26,340 | ||
| NP | 336 | A −> T | 49 | 18,924 | |
| 450 | N −> D | 11.9 | 11,794 | ||
| NS | 27 | L −> M | 9.4 | 20,652 | |
| 79 | M −> I | 17.6 | 17,973 |
| Gene | Position | Variant Frequency (%) | Depth of Coverage | Category 1 | Description |
|---|---|---|---|---|---|
| PB2 | K702E | 5.1 | 22,021 | S, F | The presence of K702R substitution enhances viral transmission to humans [8,19,20] |
| R703K | 5.5 | 23,430 | S | ||
| PB1 | S678R | 5.3 | 7818 | F | A determinant of host range. The PB1 13P and 678N, together with PB2 701N and 714R, PA 615N, and NP 319K cause a dramatic increase in polymerase activity and confer adaptation of AIV to mammalian hosts [21] |
| L695I | 33.3 | 1627 | F | PB2 binding site. This interface is crucial for the regulation of overall enzyme activity. The C-terminal three helix bundle of PB1 binds to 1–37 and 1–86 fragments on the N-terminus of PB2 [22,23] | |
| PA | T85N | 5.2 | 12,364 | F | Residues responsible for enhanced polymerase activity in mammalian cells [24,25] |
| V91G | 8.9 | 2719 | |||
| M548I | 7.1 | 1010 | F | PB1 binding side | |
| I554R | 5 | 1608 | |||
| Q556H | 6.9 | 2004 | |||
| R559G | 7.5 | 2226 | |||
| M561L | 9.1 | 2519 | |||
| G569R | 43.4 | 1410 | |||
| M581I | 7.1 | 5204 | |||
| S616A | 5.6 | 12,713 | |||
| S652F | 5.3 | 26,340 | |||
| L701S | 8.1 | 5705 | F | The C-terminus of PA interacts with the N-terminal region of PB1 (residues 1–25). This subunit interface complex is essential for initiation of transcription | |
| HA | S150L (S143L) | 30.5 | 3470 | F | A receptor-binding side [26,27] |
| Sample 1 | AIV Gene Segment | |||||||
|---|---|---|---|---|---|---|---|---|
| PB2 | PB1 | PA | HA | NP | NA | M | NS | |
| D1-OP | T530A (12.6) 3 | NC 2 | L42F (7.1) | M12V (6.4), T321A (16.9), F409Y (9.7) | G356E (7.5) | NC | S22P M2/F251S M1 (41.3) | NC |
| D3-CL | V109A (9.2), V203I (100), N639S (25.9) | NC | E457K (10.5) | A169V (13.3), K337N (39.8) | V67A (5.2) | NC | NC | NC |
| D4-OP | N/A 4 | N/A | N/A | N/A | F39V (9.2) | N/A | N/A | NC |
| D4-CL | N/A | N/A | N/A | N/A | NC | N/A | NC | T90A (9.8) NEP |
| D6-CL | N/A | N/A | N/A | N/A | N/A | N/A | N/A | V111M (99.9) NS1 |
| D7-CL | N/A | N/A | N/A | L537P (5.3) | A337T (99.1), E454G (8.7) | N/A | G89S M2 (18.0) | N/A |
Publisher’s Note: MDPI stays neutral with regard to jurisdictional claims in published maps and institutional affiliations. |
© 2021 by the authors. Licensee MDPI, Basel, Switzerland. This article is an open access article distributed under the terms and conditions of the Creative Commons Attribution (CC BY) license (https://creativecommons.org/licenses/by/4.0/).
Share and Cite
Chrzastek, K.; Segovia, K.; Torchetti, M.; Killian, M.L.; Pantin-Jackwood, M.; Kapczynski, D.R. Virus Adaptation Following Experimental Infection of Chickens with a Domestic Duck Low Pathogenic Avian Influenza Isolate from the 2017 USA H7N9 Outbreak Identifies Polymorphic Mutations in Multiple Gene Segments. Viruses 2021, 13, 1166. https://doi.org/10.3390/v13061166
Chrzastek K, Segovia K, Torchetti M, Killian ML, Pantin-Jackwood M, Kapczynski DR. Virus Adaptation Following Experimental Infection of Chickens with a Domestic Duck Low Pathogenic Avian Influenza Isolate from the 2017 USA H7N9 Outbreak Identifies Polymorphic Mutations in Multiple Gene Segments. Viruses. 2021; 13(6):1166. https://doi.org/10.3390/v13061166
Chicago/Turabian StyleChrzastek, Klaudia, Karen Segovia, Mia Torchetti, Mary Lee Killian, Mary Pantin-Jackwood, and Darrell R. Kapczynski. 2021. "Virus Adaptation Following Experimental Infection of Chickens with a Domestic Duck Low Pathogenic Avian Influenza Isolate from the 2017 USA H7N9 Outbreak Identifies Polymorphic Mutations in Multiple Gene Segments" Viruses 13, no. 6: 1166. https://doi.org/10.3390/v13061166
APA StyleChrzastek, K., Segovia, K., Torchetti, M., Killian, M. L., Pantin-Jackwood, M., & Kapczynski, D. R. (2021). Virus Adaptation Following Experimental Infection of Chickens with a Domestic Duck Low Pathogenic Avian Influenza Isolate from the 2017 USA H7N9 Outbreak Identifies Polymorphic Mutations in Multiple Gene Segments. Viruses, 13(6), 1166. https://doi.org/10.3390/v13061166
