Hepatitis E Outbreak in the Central Part of Italy Sustained by Multiple HEV Genotype 3 Strains, June–December 2019
Abstract
1. Introduction
2. Materials and Methods
2.1. Case Definition
- Confirmed cases:
- -
 - Any acute hepatitis case with onset of symptoms after 8 June 2019, with a serum sample positive for anti-HEV IgM and/or HEV RNA; a viral sequence in the ORF2 region identical to or clustering with a bootstrap value > 70 in a phylogenetic tree; with one of the following three HEV reference sequences: Accession number MN497623, MN537879, or MN737483;
 - -
 - Any transplanted patient or blood donor with a serum sample positive for HEV RNA sampled after 8 June 2019 and following a previous negative test and a viral sequence in the ORF2 region that is identical or clustering with a bootstrap value > 70 in a phylogenetic tree; with one of the following three HEV reference sequences: Accession number MN497623, MN537879, and MN737483.
 
 - Possible cases:
- -
 - Any acute hepatitis case with onset of symptoms after 8 June 2019 with a serum sample positive for anti-HEV IgM and/or HEV RNA (but no available viral sequence);
 - -
 - Any transplanted patient or blood donor with a HEV RNA positive serum sample collected after 8 June 2019, following a previous negative test (but no available viral sequence).
 
 - Non outbreak cases:
- -
 - Any acute hepatitis case with onset of symptoms after 8 June 2019 with a serum sample positive for anti-HEV IgM and/or HEV RNA and a viral sequence in the ORF2 region located in a phylogenetic tree in a different branch vs. the following three HEV reference sequences: Accession number MN497623, MN537879, and MN737483 and with no clustering with other sequences collected after 8 June 2019;
 - -
 - Any transplanted patient or blood donor with a HEV RNA positive serum sample collected after 8 June 2019 (following a previous negative test) and a viral sequence in the ORF2 region located in a phylogenetic tree in a different branch vs. the following three HEV reference sequences: Accession number MN497623, MN537879, and MN737483 and with no clustering with other sequences collected after 8 June 2019.
 
 
2.2. Epidemiological Investigation
2.3. HEV RNA and Anti-HEV IgM/anti-HEV IgG Detection
2.4. Sequencing and Sequence Analysis
3. Results
3.1. Outbreak Detection
3.2. Virological Characterization
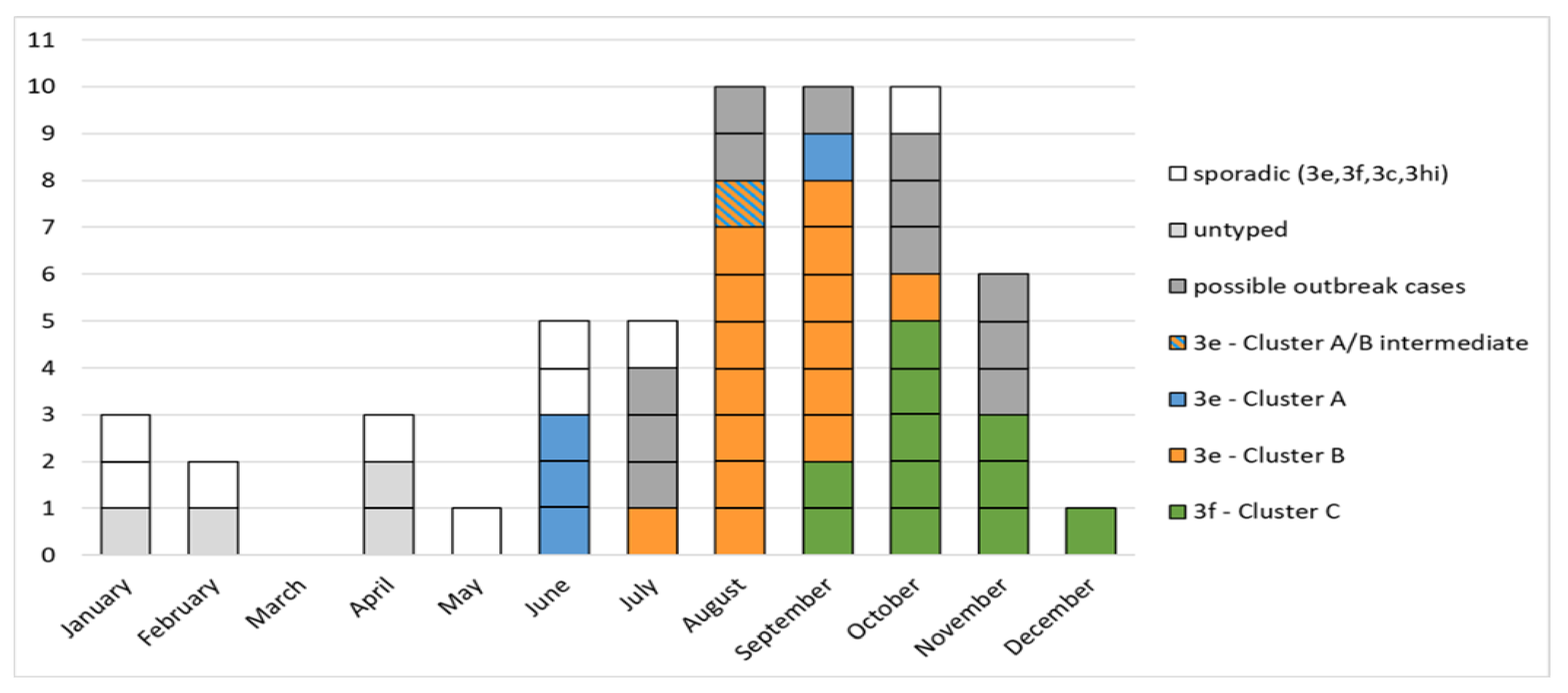
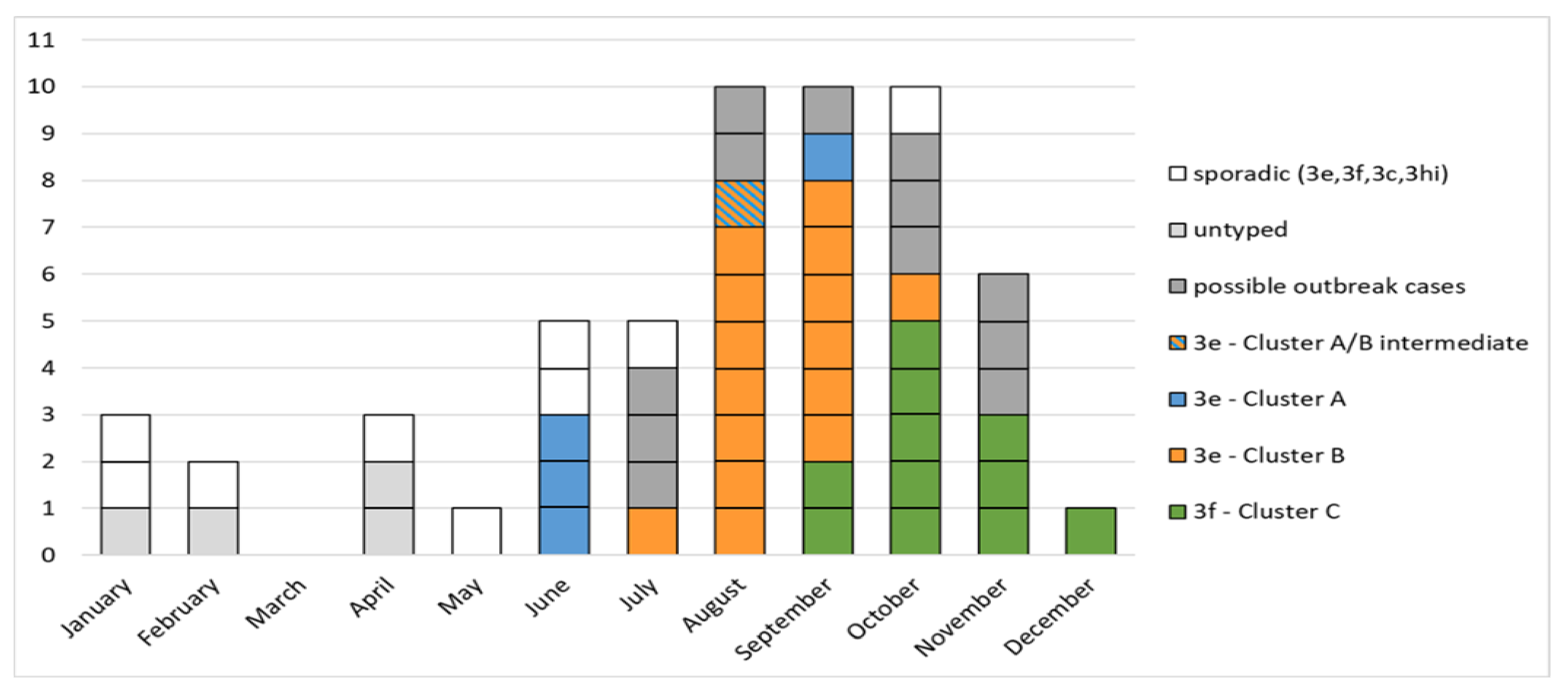
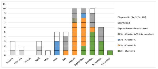
3.3. Outbreak Curve
3.4. Risk Factor Analysis and Case Interview
3.5. Food Investigation
3.6. Outbreak Control Measures
4. Discussion
Author Contributions
Funding
Institutional Review Board Statement
Informed Consent Statement
Data Availability Statement
Acknowledgments
Conflicts of Interest
References
- Smith, D.B.; Simmonds, P.; International Committee on Taxonomy of Viruses Hepeviridae Study Group; Jameel, S.; Emerson, S.U.; Harrison, T.J.; Meng, X.J.; Okamoto, H.; Van der Poel, W.H.; Purdy, M.A. Consensus proposals for classification of the family Hepeviridae. J. Gen. Virol. 2014, 95, 2223–2232. [Google Scholar] [CrossRef] [PubMed]
 - Sridhar, S.; Yip, C.C.; Wu, S.; Chew, N.F.; Leung, K.H.; Chan, J.F.; Zhao, P.S.; Chan, W.M.; Poon, R.W.; Tsoi, H.W.; et al. Transmission of Rat Hepatitis E Virus Infection to Humans in Hong Kong: A Clinical and Epidemiological Analysis. Hepatology 2020, 73, 10–22. [Google Scholar] [CrossRef]
 - Adlhoch, C.; Baylis, S.A. The emergence of zoonotic rat hepatitis E virus infection. Hepatology 2020, 72, 1155. [Google Scholar] [CrossRef] [PubMed]
 - Lee, G.H.; Tan, B.H.; Teo, E.C.; Lim, S.G.; Dan, Y.Y.; Wee, A.; Aw, P.P.K.; Zhu, Y.; Hibberd, M.L.; Tan, C.-K.; et al. Chronic infection with camelid hepatitis E virus in a liver transplant recipient who regularly consumes camel meat and milk. Gastroenterology 2016, 150, 355–357. [Google Scholar] [CrossRef]
 - Donnelly, M.C.; Scobie, L.; Crossan, C.L.; Dalton, H.; Hayes, P.C.; Simpson, K.J. Review article: Hepatitis E—A concise review of virology; epidemiology, clinical presentation and therapy. Aliment. Pharm. Ther. 2017, 46, 126–141. [Google Scholar] [CrossRef]
 - Sayed, I.M.; El-Mokhtar, M.A.; Mahmoud, M.A.R.; Elkhawaga, A.A.; Gaber, S.; Seddek, N.H.; Abdel-Wahid, L.; Ashmawy, A.M.; Alkareemy, E.A.R. Clinical Outcomes and Prevalence of Hepatitis E Virus (HEV) Among Non-A-C Hepatitis Patients in Egypt. Infect. Drug Resist. 2021, 14, 59–69. [Google Scholar] [CrossRef]
 - El-Mokhtar, M.A.; Karam-Allah Ramadan, H.; Abdel Hameed, M.R.; Kamel, M.A.; Mandour, A.S.; Ali, M.; Abdel-Malek, M.A.Y.; Abd El-Kareem, M.D.; Adel, S.; H Salama, E.; et al. Evaluation of hepatitis E antigen kinetics and its diagnostic utility for prediction of the outcomes of hepatitis E virus genotype 1 infection. Virulence 2021, 12, 1334–1344. [Google Scholar] [CrossRef]
 - Kamar, N.; Izopet, J.; Pavio, N.; Aggarwal, R.; Labrique, A.; Wedemeyer, H.; Dalton, H.R. Hepatitis E virus infection. Nat. Rev. Dis. Primers 2017, 3, 17086. [Google Scholar] [CrossRef]
 - Pérez-Gracia, M.T.; Suay, B.; Mateos-Lindemann, M.L. Hepatitis E: An emerging disease. Infect. Genet. Evol. 2014, 22, 40–59. [Google Scholar] [CrossRef]
 - Izopet, J.; Tremeaux, P.; Marion, O.; Migueres, M.; Capelli, N.; Chapuy-Regaud, S.; Mansuy, J.M.; Abravanel, F.; Kamar, N.; Lhomme, S. Hepatitis E virus infections in Europe. J. Clin. Virol. 2019, 120, 20–26. [Google Scholar] [CrossRef] [PubMed]
 - Huang, F.; Li, Y.; Yu, W.; Jing, S.; Wang, J.; Long, F.; He, Z.; Yang, C.; Bi, Y.; Cao, W.; et al. Excretion of infectious hepatitis E virus into milk in cows imposes high risks of zoonosis. Hepatology 2016, 64, 350–359. [Google Scholar] [CrossRef]
 - Demirci, M.; Yiğin, A.; Ünlü, Ö.; Kılıç Altun, S. Farklı hayvanlardan elde edilen çiğ sütlerde HEV RNA miktarının ve genotiplerinin tespiti, Detection of HEV RNA amounts and genotypes in raw milks obtained from different animals. Mikrobiyol. Bul. 2019, 53, 43–52. [Google Scholar] [CrossRef]
 - Sayed, I.M.; Elkhawaga, A.A.; El-Mokhtar, M.A. Circulation of hepatitis E virus (HEV) and/or HEV-like agent in non-mixed dairy farms could represent a potential source of infection for Egyptian people. Int. J. Food Microbiol. 2020, 317, 108479. [Google Scholar] [CrossRef] [PubMed]
 - El-Mokhtar, M.A.; Elkhawaga, A.A.; Sayed, I.M. Assessment of hepatitis E virus (HEV) in the edible goat products pointed out a risk for human infection in Upper Egypt. Int. J. Food Microbiol. 2020, 330, 108784. [Google Scholar] [CrossRef]
 - Dziedzinska, R.; Krzyzankova, M.; Bena, M.; Vasickova, P. Evidence of Hepatitis E Virus in Goat and Sheep Milk. Viruses 2020, 12, 1429. [Google Scholar] [CrossRef] [PubMed]
 - Di Martino, B.; Di Profio, F.; Melegari, I.; Sarchese, V.; Robetto, S.; Marsilio, F.; Martella, V. Detection of hepatitis E virus (HEV) in goats. Virus Res. 2016, 225, 69–72. [Google Scholar] [CrossRef] [PubMed]
 - Sarchese, V.; Di Profio, F.; Melegari, I.; Palombieri, A.; Sanchez, S.B.; Arbuatti, A.; Ciuffetelli, M.; Marsilio, F.; Martella, V.; Di Martino, B. Hepatitis E virus in sheep in Italy. Transbound. Emerg. Dis. 2019, 66, 1120–1125. [Google Scholar] [CrossRef]
 - Hartl, J.; Otto, B.; Madden, R.G.; Webb, G.; Woolson, K.L.; Kriston, L.; Vettorazzi, E.; Lohse, A.W.; Dalton, H.R.; Pischke, S. Hepatitis E seroprevalence in Europe: A meta-analysis. Viruses 2016, 8, 211. [Google Scholar] [CrossRef] [PubMed]
 - Spada, E.; Pupella, S.; Pisani, G.; Bruni, R.; Chionne, P.; Madonna, E.; Villano, U.; Simeoni, M.; Fabi, S.; Marano, G.; et al. A nationwide retrospective study on prevalence of hepatitis E virus infection in Italian blood donors. Blood Transfus. 2018, 16, 413–421. [Google Scholar] [CrossRef]
 - Rivero-Juarez, A.; Frias, M.; Martinez-Peinado, A.; Risalde, M.A.; Rodriguez-Cano, D.; Camacho, A.; García-Bocanegra, I.; Cuenca-Lopez, F.; Gomez-Villamandos, J.C.; Rivero, A. Familial Hepatitis E Outbreak Linked to Wild Boar Meat Consumption. Zoonoses Public Health 2017, 64, 561–565. [Google Scholar] [CrossRef]
 - Guillois, Y.; Abravanel, F.; Miura, T.; Pavio, N.; Vaillant, V.; Lhomme, S.; Le Guyader, F.S.; Rose, N.; Le Saux, J.C.; King, L.A.; et al. High Proportion of Asymptomatic Infections in an Outbreak of Hepatitis E Associated With a Spit-Roasted Piglet, France, 2013. Clin. Infect. Dis. 2016, 62, 351–357. [Google Scholar] [CrossRef]
 - Boxman, I.L.A.; Jansen, C.C.C.; Hägele, G.; Zwartkruis-Nahuis, A.; Cremer, J.; Vennema, H.; Tijsma, A.S.L. Porcine blood used as ingredient in meat productions may serve as a vehicle for hepatitis E virus transmission. Int. J. Food Microbiol. 2017, 257, 225–231. [Google Scholar] [CrossRef]
 - Bruni, R.; Villano, U.; Equestre, M.; Chionne, P.; Madonna, E.; Trandeva-Bankova, D.; Peleva-Pishmisheva, M.; Tenev, T.; Cella, E.; Ciccozzi, M.; et al. Hepatitis E virus genotypes and subgenotypes causing acute hepatitis, Bulgaria, 2013–2015. PLoS ONE 2018, 13, e0198045. [Google Scholar] [CrossRef]
 - Mizuo, H.; Suzuki, K.; Takikawa, Y.; Sugai, Y.; Tokita, H.; Akahane, Y.; Itoh, K.; Gotanda, Y.; Takahashi, M.; Nishizawa, T.; et al. Polyphyletic strains of hepatitis E virus are responsible for sporadic cases of acute hepatitis in Japan. J. Clin. Microbiol. 2002, 40, 3209–3218. [Google Scholar] [CrossRef]
 - Minosse, C.; Biliotti, E.; Lapa, D.; Rianda, A.; Marchili, M.; Luzzitelli, I.; Capobianchi, M.R.; McPhee, F.; Garbuglia, A.R.; D’Offizi, G. Clinical characteristics of acute hepatitis E and their correlation with HEV genotype 3 subtypes in Italy. Pathogens 2020, 9, 832. [Google Scholar] [CrossRef]
 - Tamura, K.; Stecher, G.; Peterson, D.; Filipski, A.; Kumar, S. MEGA6: Molecular Evolutionary Genetics Analysis Version 6.0. Mol. Biol. Evol. 2013, 30, 2725–2729. [Google Scholar] [CrossRef]
 - Kumar, S.; Stecher, G.; Li, M.; Knyaz, C.; Tamura, K. MEGA X: Molecular Evolutionary Genetics Analysis across computing platforms. Mol. Biol. Evol. 2018, 35, 1547–1549. [Google Scholar] [CrossRef]
 - Kamar, N.; Bendall, R.; Legrand-Abravanel, F.; Xia, N.S.; Ijaz, S.; Izopet, J.; Dalton, H.R. Hepatitis E. Lancet 2012, 379, 2477–2488. [Google Scholar] [CrossRef]
 - Smith, D.B.; Simmonds, P.; Izopet, J.; Oliveira-Filho, E.F.; Ulrich, R.G.; Johne, R.; Koenig, M.; Jameel, S.; Harrison, T.J.; Meng, X.-J.; et al. Proposed reference sequences for hepatitis E virus subtypes. J. Gen. Virol. 2016, 97, 537–542. [Google Scholar] [CrossRef]
 - Smith, D.B.; Izopet, J.; Nicot, F.; Simmonds, P.; Jameel, S.; Meng, X.J.; Norder, H.; Okamoto, H.; van der Poel, W.H.M.; Reuter, G.; et al. Update: Proposed reference sequences for subtypes of hepatitis E virus (species Orthohepevirus A). J. Gen. Virol. 2020, 101, 692–698. [Google Scholar] [CrossRef]
 - Lucarelli, C.; Spada, E.; Taliani, G.; Chionne, P.; Madonna, E.; Marcantonio, C.; Pezzotti, P.; Bruni, R.; La Rosa, G.; Pisani, G.; et al. High prevalence of anti-hepatitis E virus antibodies among blood donors in central Italy; February to March 2014. Eur. Surveill. 2016, 21, 30299. [Google Scholar] [CrossRef] [PubMed]
 


| Cluster A (n = 4)  | Cluster B (n = 15)  | Cluster C (n = 11)  | Total (n = 47)  | |
|---|---|---|---|---|
| Male/Female ratio | 3/1 | 11/4 | 10/1 | 34/10 | 
| Male % | 75% | 73.3% | 90.9% | 77.3% | 
| Median age (range) | 59 (53–72) | 61 (46–85) | 66 (38–74) | 63 (28–85) | 
| Consumption of raw or undercooked pork meat | 1/3 (33.3%) | 8/13 (61.5%) | 2/10 (20%) | 15/39 (38.5%) | 
| Consumption of pig sausage | 3/3 (100%) | 6/13 (46.1%) | 8/10 (80%) | 28/39 (71.8%) | 
| Consumption of wild boar sausage | 0/3 (0%) | 2/12 (16.7%) | 1/9 (11.1%) | 7/37 (18.9%) | 
| Consumption of liver sausage (pig or wild boar) | 2/3 (66.7%) | 7/13 (53.8%) | 3/10 (30%) | 17/39 (43.6%) | 
| Consumption of any (raw/undercooked meat and/or sausage and/or liver sausage from pig or wild boar) | 3/3 (100%) | 13/13 (100%) | 10/10 (100%) | 38/39 (97.4%) | 
Publisher’s Note: MDPI stays neutral with regard to jurisdictional claims in published maps and institutional affiliations.  | 
© 2021 by the authors. Licensee MDPI, Basel, Switzerland. This article is an open access article distributed under the terms and conditions of the Creative Commons Attribution (CC BY) license (https://creativecommons.org/licenses/by/4.0/).
Share and Cite
Garbuglia, A.R.; Bruni, R.; Villano, U.; Vairo, F.; Lapa, D.; Madonna, E.; Picchi, G.; Binda, B.; Mariani, R.; De Paulis, F.; et al. Hepatitis E Outbreak in the Central Part of Italy Sustained by Multiple HEV Genotype 3 Strains, June–December 2019. Viruses 2021, 13, 1159. https://doi.org/10.3390/v13061159
Garbuglia AR, Bruni R, Villano U, Vairo F, Lapa D, Madonna E, Picchi G, Binda B, Mariani R, De Paulis F, et al. Hepatitis E Outbreak in the Central Part of Italy Sustained by Multiple HEV Genotype 3 Strains, June–December 2019. Viruses. 2021; 13(6):1159. https://doi.org/10.3390/v13061159
Chicago/Turabian StyleGarbuglia, Anna Rosa, Roberto Bruni, Umbertina Villano, Francesco Vairo, Daniele Lapa, Elisabetta Madonna, Giovanna Picchi, Barbara Binda, Rinalda Mariani, Francesca De Paulis, and et al. 2021. "Hepatitis E Outbreak in the Central Part of Italy Sustained by Multiple HEV Genotype 3 Strains, June–December 2019" Viruses 13, no. 6: 1159. https://doi.org/10.3390/v13061159
APA StyleGarbuglia, A. R., Bruni, R., Villano, U., Vairo, F., Lapa, D., Madonna, E., Picchi, G., Binda, B., Mariani, R., De Paulis, F., D’Amato, S., Grimaldi, A., Scognamiglio, P., Capobianchi, M. R., Ciccaglione, A. R., & the other members of the HEV Outbreak Working Group. (2021). Hepatitis E Outbreak in the Central Part of Italy Sustained by Multiple HEV Genotype 3 Strains, June–December 2019. Viruses, 13(6), 1159. https://doi.org/10.3390/v13061159
        
                                                
