Development and Validation of Confirmatory Foot-and-Mouth Disease Virus Antibody ELISAs to Identify Infected Animals in Vaccinated Populations
Abstract
1. Introduction
2. Materials and Methods
2.1. Serum Samples
2.2. Recombinant Proteins and Peptides Used for Development and Validation of NSP Tests
2.3. Optimisation of Antigen and Serum Concentration
2.4. 2C, 3ABC, 3D, and 3CD NS ELISAs
2.5. 2B/3B Peptide ELISA
2.6. Interpretation of Results and Statistical Analysis
3. Results
3.1. Optimisation of Antigen Concentration
3.2. Determination of Cut-Off Values to Estimate Diagnostic Sensitivity and Specificity
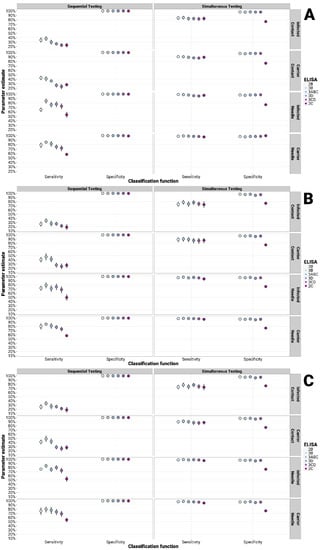
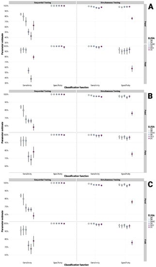
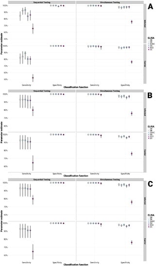
3.3. Performance of NSP ELISA Tests
3.4. Agreement between NSP ELISA Tests
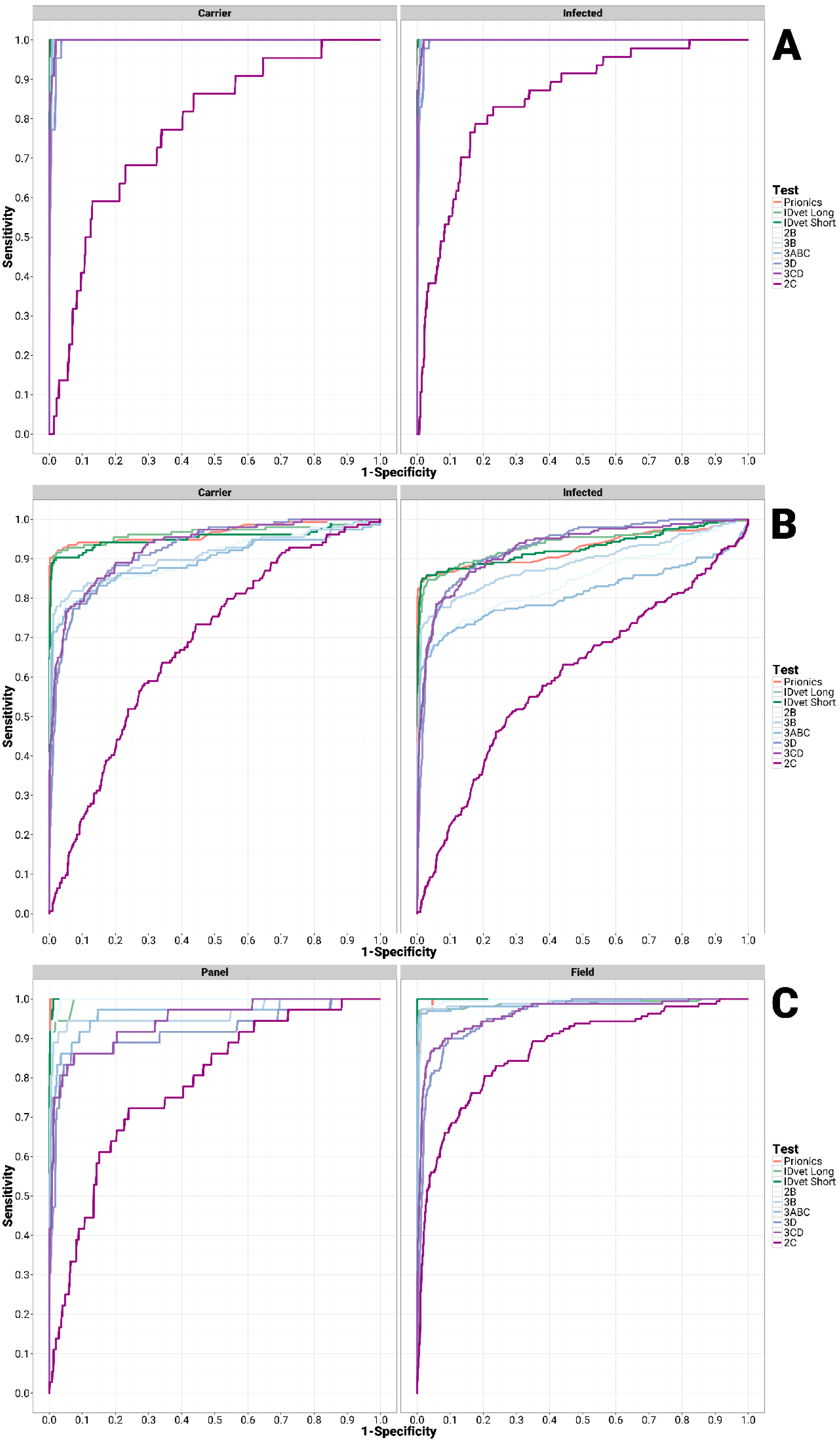
3.5. Detection of Specificity and Sensitivity of NSP Antibody Tests
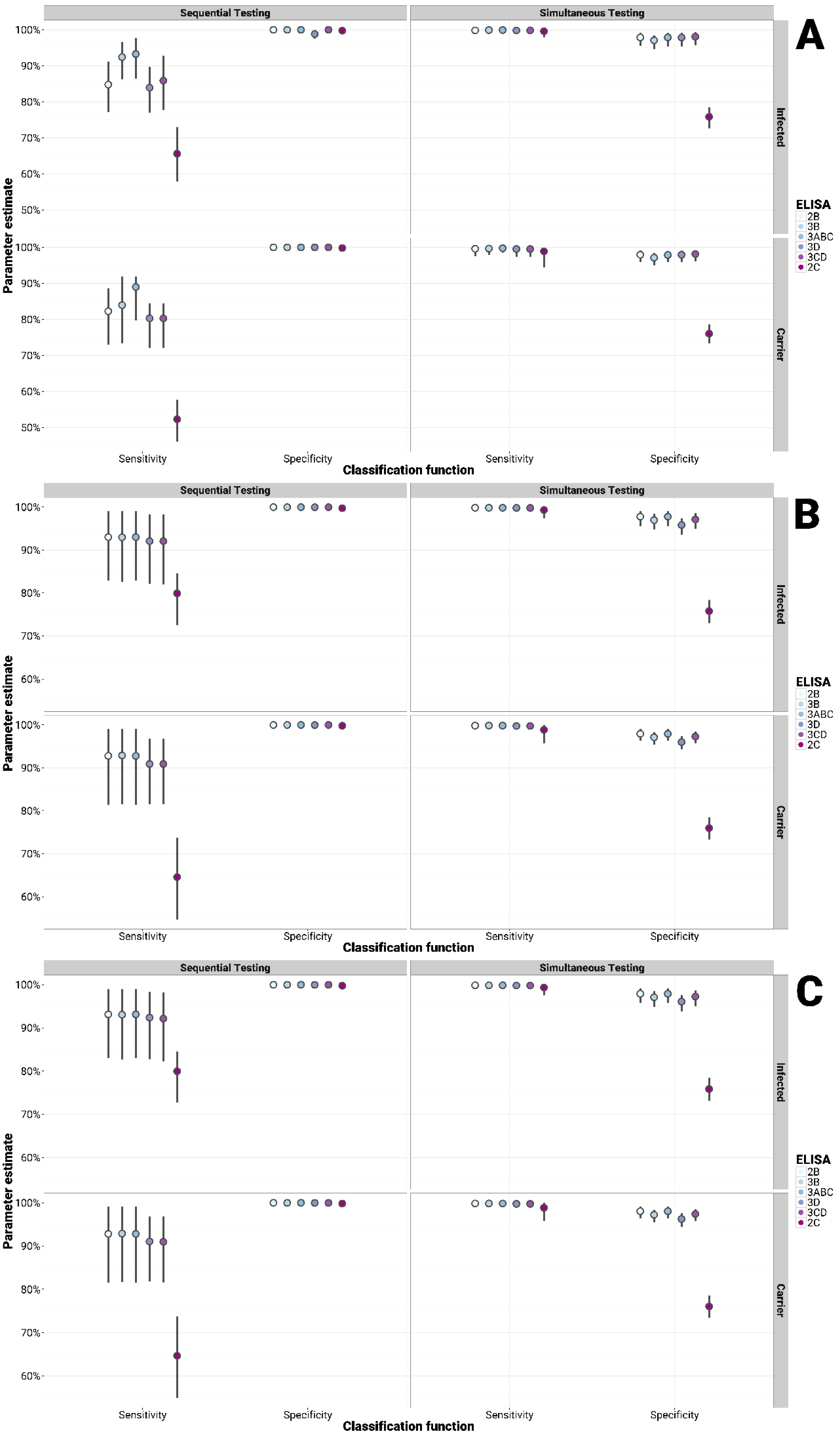
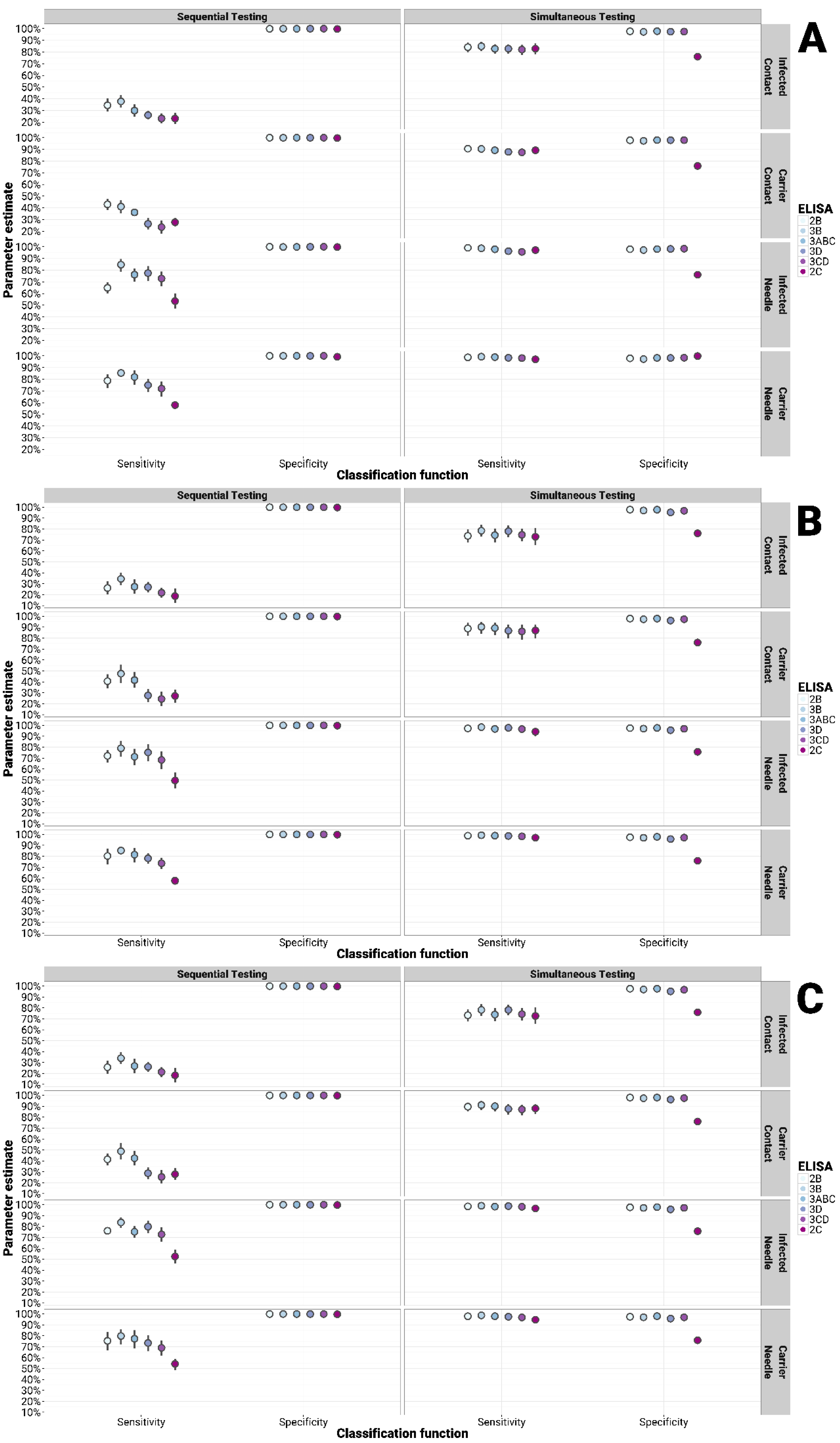
3.6. Performance of in-House Tests Employed in Multiple Testing Schemes with the PrioCHECK® and IDvet® FMDV NS Tests
4. Discussion
Supplementary Materials
Author Contributions
Funding
Acknowledgments
Conflicts of Interest
References
- OIE. Foot and mouth disease (Infection with foot and mouth disease virus). OIE Terr. Man. 2018, 433–464. [Google Scholar]
- Cox, S.J.; Voyce, C.; Parida, S.; Reid, S.M.; Hamblin, P.A.; Hutchings, G.; Paton, D.J.; Barnett, P.V. Effect of emergency FMD vaccine antigen payload on protection, sub-clinical infection and persistence following direct contact challenge of cattle. Vaccine 2006, 24, 3184–3190. [Google Scholar] [CrossRef]
- Salt, J.S. The carrier state in foot and mouth disease-an immunological review. Br. Vet. J. 1993, 149, 207–223. [Google Scholar] [CrossRef]
- Tenzin, D.A.; Vernooij, H.; Bouma, A.; Stegeman, A. Rate of foot-and-mouth disease virus transmission by carriers quantified from experimental data. Risk Anal. 2008, 28, 303–309. [Google Scholar] [PubMed]
- Sorensen, K.J.; Madsen, K.G.; Madsen, E.S.; Salt, J.S.; Nqindi, J.; Mackay, D.K.J. Differentiation of infection from vaccination in foot-and-mouth disease by the detection of antibodies to the non-structural proteins 3D, 3AB and 3ABC in ELISA using antigens expressed in baculovirus. Arch. Virol. 1998, 143, 1461–1476. [Google Scholar] [CrossRef] [PubMed]
- Moonen, P.; Jacobs, L.; Crienen, A.; Dekker, A. Detection of carriers of foot-and-mouth disease virus among vaccinated cattle. Vet. Microbiol. 2004, 103, 151–160. [Google Scholar] [CrossRef] [PubMed]
- Paton, D.J.; de Clercq, K.; Greiner, M.; Dekker, A.; Brocchi, E.; Bergmann, I.; Sammin, D.J.; Gubbins, S.; Parida, S. Application of non-structural protein antibody tests in substantiating freedom from foot-and-mouth disease virus infection after emergency vaccination of cattle. Vaccine 2006, 24, 6503–6512. [Google Scholar] [CrossRef] [PubMed]
- Brocchi, E.; Bergmann, I.E.; Dekker, A.; Paton, D.J.; Sammin, D.J.; Greiner, M.; Grazioli, S.; De Simone, F.; Yadin, H.; Haas, B.; et al. Comparative evaluation of six ELISAs for the detection of antibodies to the non-structural proteins of foot-and-mouth disease virus. Vaccine 2006, 24, 6966–6979. [Google Scholar] [CrossRef] [PubMed]
- Mackay, D.K.J.; Forsyth, M.A.; Davies, P.R.; Berlinzani, A.; Belsham, G.J.; Flint, M.; Ryan, M.D. Differentiating infection from vaccination in foot-and-mouth disease using a panel of recombinant, non-structural proteins in ELISA. Vaccine 1998, 16, 446–459. [Google Scholar] [CrossRef]
- Kweon, C.H.; Ko, Y.J.; Kim, W.; Lee, S.Y.; Nah, J.J.; Lee, K.N.; Sohn, H.J.; Choi, K.S.; Hyun, B.H.; Kang, S.W.; et al. Development of a foot-and-mouth disease NSP ELISA and its comparison with differential diagnostic methods. Vaccine 2003, 21, 1409–1414. [Google Scholar] [CrossRef]
- Malirat, V.; Neitzert, E.; Bergmann, I.E.; Maradei, E.; Beck, E. Detection of cattle exposed to foot-and-mouth disease virus by means of an indirect elisa test using bioengineered nonstructural polyprotein 3abc. Vet. Q. 1998, 20, 24–26. [Google Scholar] [CrossRef] [PubMed]
- Silberstein, E.; Kaplan, G.; Taboga, O.; Duffy, S.; Palma, E. Foot-and-mouth disease virus-infected but not vaccinated cattle develop antibodies against recombinant 3AB1 nonstructural protein. Arch. Virol. 1997, 142, 795–805. [Google Scholar] [CrossRef]
- Shen, F.; Chen, P.D.; Walfield, A.M.; Ye, J.; House, J.; Brown, F.; Wang, C.Y. Differentiation of convalescent animals from those vaccinated against foot-and-mouth disease by a peptide ELISA. Vaccine 1999, 17, 3039–3049. [Google Scholar] [CrossRef]
- Inoue, T.; Parida, S.; Paton, D.J.; Linchongsubongkoch, W.; Mackay, D.; Oh, Y.; Aunpomma, D.; Gubbins, S.; Saeki, T. Development and evaluation of an indirect enzyme-linked immunosorbent assay for detection of foot-and-mouth disease virus nonstructural protein antibody using a chemically synthesized 2B peptide as antigen. J. Vet. Diagn. Investig. 2006, 18, 545–552. [Google Scholar] [CrossRef] [PubMed]
- Mahajan, S.; Mohapatra, J.K.; Pandey, L.K.; Sharma, G.K.; Pattnaik, B. Truncated recombinant non-structural protein 2C-based indirect ELISA for FMD sero-surveillance. J. Virol. Methods 2013, 193, 405–414. [Google Scholar] [CrossRef]
- Biswal, J.K.; Jena, S.; Mohapatra, J.K.; Bisht, P.; Pattnaik, B. Detection of antibodies specific for foot-and-mouth disease virus infection using indirect ELISA based on recombinant nonstructural protein 2B. Arch. Virol. 2014, 159, 1641–1650. [Google Scholar] [CrossRef]
- Dekker, A.; Sammin, D.; Greiner, M.; Bergmann, I.; Paton, D.; Grazioli, S.; de Clercq, K.; Brocchi, E. Use of continuous results to compare ELISAs for the detection of antibodies to non-structural proteins of foot-and-mouth disease virus. Vaccine 2008, 26, 2723–2732. [Google Scholar] [CrossRef] [PubMed]
- Sharma, G.K.; Mohapatra, J.K.; Pandey, L.K.; Mahajan, S.; Mathapati, B.S.; Sanyal, A.; Pattnaik, B. Immunodiagnosis of foot-and-mouth disease using mutated recombinant 3ABC polyprotein in a competitive ELISA. J. Virol. Methods 2012, 185, 52–60. [Google Scholar] [CrossRef]
- Lubroth, J.; Brown, F. Identification of native foot-and-mouth disease virus non-structural protein 2C as a serological indicator to differentiate infected from vaccinated livestock. Res. Vet. Sci. 1995, 59, 70–78. [Google Scholar] [CrossRef]
- De Diego, M.; Brocchi, E.; Mackay, D.; De Simone, F. The non-structural polyprotein 3ABC of foot-and-mouth disease virus as a diagnostic antigen in ELISA to differentiate infected from vaccinated cattle. Arch. Virol. 1997, 142, 2021–2033. [Google Scholar] [CrossRef]
- Cox, S.J.; Parida, S.; Voyce, C.; Reid, S.M.; Hamblin, P.A.; Hutchings, G.; Paton, D.J.; Barnett, P.V. Further evaluation of higher potency vaccines for early protection of cattle against FMDV direct contact challenge. Vaccine 2007, 25, 7687–7695. [Google Scholar] [CrossRef]
- Parida, S.; Anderson, J.; Cox, S.J.; Barnett, P.V.; Paton, D.J. Secretory IgA as an indicator of oro-pharyngeal foot-and-mouth disease virus replication and as a tool for post vaccination surveillance. Vaccine 2006, 24, 1107–1116. [Google Scholar] [CrossRef]
- Parida, S.; Fleming, L.; Gibson, D.; Hamblin, P.A.; Grazioli, S.; Brocchi, E.; Paton, D.J. Bovine serum panel for evaluating foot-and-mouth disease virus nonstructural protein antibody tests. J. Vet. Diagn. Investig. 2007, 19, 539–544. [Google Scholar] [CrossRef] [PubMed]
- Oh, Y.; Fleming, L.; Statham, B.; Hamblin, P.; Barnett, P.; Paton, D.J.; Park, J.H.; Joo, Y.S.; Parida, S. Interferon-γ Induced by In Vitro Re-Stimulation of CD4+ T-Cells Correlates with In Vivo FMD Vaccine Induced Protection of Cattle against Disease and Persistent Infection. PLoS ONE 2012, 7, e44365. [Google Scholar] [CrossRef] [PubMed]
- Nayak, A.; Goodfellow, I.G.; Belsham, G.J. Factors Required for the Uridylylation of the Foot-and-Mouth Disease Virus 3B1, 3B2, and 3B3 Peptides by the RNA-Dependent RNA Polymerase (3Dpol) In Vitro. J. Virol. 2005, 79, 7698–7706. [Google Scholar] [CrossRef] [PubMed][Green Version]
- DeLong, E.R.; DeLong, D.M.; Clarke-Pearson, D.L. Comparing the Areas under Two or More Correlated Receiver Operating Characteristic Curves: A Nonparametric Approach. Biometrics 1988, 44, 837. [Google Scholar] [CrossRef]
- Cicchetti, D.V.; Feinstein, A.R. High agreement but low kappa: II. Resolving the paradoxes. J. Clin. Epidemiol. 1990, 43, 551–558. [Google Scholar] [CrossRef]
- Branscum, A.J.; Gardner, I.A.; Johnson, W.O. Estimation of diagnostic-test sensitivity and specificity through Bayesian modeling. Prev. Vet. Med. 2005, 68, 145–163. [Google Scholar] [CrossRef]
- Dendukuri, N.; Joseph, L. Bayesian approaches to modeling the conditional dependence between multiple diagnostic tests. Biometrics 2001, 57, 158–167. [Google Scholar] [CrossRef]
- R Core Team. R: A Language and Environment for Statistical Computing; R Foundation for Statistical Computing: Vienna, Austria, 2019. [Google Scholar]
- Sturtz, S.; Ligges, U.; Gelman, A. R2WinBUGS: A package for running WinBUGS from R. J. Stat. Softw. 2005, 12, 1–16. [Google Scholar] [CrossRef]
- Lunn, D.; Spiegelhalter, D.; Thomas, A.; Best, N. The BUGS project: Evolution, critique and future directions. Stat. Med. 2009, 28, 3049–3067. [Google Scholar] [CrossRef]
- Toft, N.; Innocent, G.T.; Gettinby, G.; Reid, S.W.J. Assessing the convergence of Markov Chain Monte Carlo methods: An example from evaluation of diagnostic tests in absence of a gold standard. Prev. Vet. Med. 2007, 79, 244–256. [Google Scholar] [CrossRef]
- Parida, S.; Cox, S.J.; Reid, S.M.; Hamblin, P.; Barnett, P.V.; Inoue, T.; Anderson, J.; Paton, D.J. The application of new techniques to the improved detection of persistently infected cattle after vaccination and contact exposure to foot-and-mouth disease. Vaccine 2005, 23, 5186–5195. [Google Scholar] [CrossRef] [PubMed]
- Sammin, D.J.; Paton, D.J.; Parida, S.; Ferris, N.P.; Hutchings, G.H.; Reid, S.M.; Shaw, A.E.; Holmes, C.; Gibson, D.; Corteyn, M.; et al. Evaluation of laboratory tests for SAT serotypes of foot-and-mouth disease virus with specimens collected from convalescent cattle in Zimbabwe. Vet. Rec. 2007, 160, 647–654. [Google Scholar] [CrossRef]
- Paton, D.J.; Ferris, N.P.; Hutchings, G.H.; Li, Y.; Swabey, K.; Keel, P.; Hamblin, P.; King, D.P.; Reid, S.M.; Ebert, K.; et al. Investigations into the cause of foot-and-mouth disease virus seropositive small ruminants in Cyprus during 2007. Transbound. Emerg. Dis. 2009, 56, 321–328. [Google Scholar] [CrossRef]
- Torioni De Echaide, S.; Knowles, D.P.; McGuire, T.C.; Palmer, G.H.; Suarez, C.E.; McElwain, T.F. Detection of cattle naturally infected with Anaplasma marginale in a region of endemicity by nested PCR and a competitive enzyme-linked immunosorbent assay using recombinant major surface protein 5. J. Clin. Microbiol. 1998, 36, 777–782. [Google Scholar] [CrossRef]
- Knowles, D.; De Echaide, S.T.; Palmer, G.; McGuire, T.; Stiller, D.; McElwain, T. Antibody against an Anaplasma marginale MSP5 epitope common to tick and erythrocyte stages identifies persistently infected cattle. J. Clin. Microbiol. 1996, 34, 2225–2230. [Google Scholar] [CrossRef] [PubMed]
- Lubroth, J.; Grubman, M.J.; Burrage, T.G.; Newman, J.F.E.; Brown, F. Absence of protein 2C from clarified foot-and-mouth disease virus vaccines provides the basis for distinguishing convalescent from vaccinated animals. Vaccine 1996, 14, 419–427. [Google Scholar] [CrossRef]
- Hohlich, B.-J.; Wiesmuller, K.-H.; Schlapp, T.; Haas, B.; Pfaff, E.; Saalmuller, A. Identification of Foot-and-Mouth Disease Virus-Specific Linear B-Cell Epitopes To Differentiate between Infected and Vaccinated Cattle. J. Virol. 2003, 77, 8633–8639. [Google Scholar] [CrossRef]
- Oem, J.K.; Kye, S.J.; Lee, K.N.; Park, J.H.; Kim, Y.J.; Song, H.J.; Yeh, M. Development of synthetic peptide ELISA based on nonstructural protein 2C of foot and mouth disease virus. J. Vet. Sci. 2005, 6, 317. [Google Scholar] [CrossRef] [PubMed]




| Group | Infection Route | Number of Animals | Number of Samples |
|---|---|---|---|
| Non-carrier | |||
| Unvaccinated infected recovered | 30 | 47 | |
| Contact | 20 | 31 | |
| Needle | 10 | 16 | |
| Vaccinated infected recovered | 185 | 261 | |
| Contact | 80 | 130 | |
| Needle | 75 | 131 | |
| Carrier | |||
| Unvaccinated | 12 | 22 | |
| Contact | 8 | 16 | |
| Needle | 4 | 6 | |
| Vaccinated | 68 | 154 | |
| Contact | 32 | 74 | |
| Needle | 36 | 80 |
| Test | n | Se | Sp | AUC [95% CI] |
|---|---|---|---|---|
| Unvaccinated Infected Recovered | ||||
| Prionics | 1038 | 100.00 | 99.39 | 1.00 [0.99–1.00] |
| IDvet Long | 1038 | 100.00 | 99.29 | 0.99 [0.99–1.00] |
| IDvet Short | 1038 | 100.00 | 99.39 | 0.99 [0.99–1.00] |
| 2B | 1038 | 100.00 | 99.10 | 0.99 [0.99–1.00] |
| 3B | 1038 | 100.00 | 98.39 | 0.99 [0.99–0.99] |
| 3ABC | 1038 | 100.00 | 99.09 | 0.99 [0.99–1.00] |
| 3D | 1038 | 97.87 | 97.17 | 0.99 [0.99–0.99] |
| 3CD | 1038 | 97.87 | 98.59 | 0.99 [0.99–0.99] |
| 2C | 1038 | 82.98 | 76.69 | 0.85 [0.79–0.89] |
| Unvaccinated Carrier | ||||
| Prionics | 1013 | 100.00 | 99.39 | 1.00 [0.99–1.00] |
| IDvet Long | 1013 | 100.00 | 99.29 | 0.99 [0.99–1.00] |
| IDvet Short | 1013 | 100.00 | 99.39 | 0.99 [0.99–1.00] |
| 2B | 1013 | 100.00 | 99.10 | 0.99 [0.99–1.00] |
| 3B | 1013 | 100.00 | 98.39 | 0.99 [0.99–1.00] |
| 3ABC | 1013 | 100.00 | 99.09 | 0.99 [0.99–0.99] |
| 3D | 1013 | 95.45 | 97.17 | 0.99 [0.98–0.99] |
| 3CD | 1013 | 95.45 | 98.59 | 0.99 [0.99–1.00] |
| 2C | 1013 | 68.18 | 76.69 | 0.77 [0.68–0.87] |
| Vaccinated Infected Recovered | ||||
| Prionics | 1252 | 82.49 | 99.39 | 0.92 [0.90–0.95] |
| IDvet Long | 1252 | 77.33 | 99.10 | 0.93 [0.92–0.95] |
| IDvet Short | 1252 | 82.49 | 99.39 | 0.92 [0.91–0.94] |
| 2B | 1252 | 59.14 | 99.10 | 0.83 [0.80–0.87] |
| 3B | 1252 | 72.37 | 98.39 | 0.89 [0.86–0.91] |
| 3ABC | 1252 | 59.92 | 99.09 | 0.79 [0.75–0.83] |
| 3D | 1252 | 66.15 | 97.17 | 0.92 [0.90–0.94] |
| 3CD | 1252 | 57.59 | 98.59 | 0.92 [0.90–0.94] |
| 2C | 1252 | 43.19 | 76.69 | 0.59 [0.54–0.63] |
| Vaccinated Carrier | ||||
| Prionics | 1145 | 90.26 | 99.39 | 0.96 [0.94–0.98] |
| IDvet Long | 1145 | 86.36 | 99.29 | 0.96 [0.95–0.97] |
| IDvet Short | 1145 | 83.77 | 99.50 | 0.95 [0.94–0.96] |
| 2B | 1145 | 70.13 | 99.10 | 0.90 [0.87–0.93] |
| 3B | 1145 | 75.97 | 98.39 | 0.90 [0.87–0.94] |
| 3ABC | 1145 | 70.78 | 99.09 | 0.89 [0.85–0.93] |
| 3D | 1145 | 61.04 | 97.17 | 0.92 [0.90–0.94] |
| 3CD | 1145 | 56.49 | 98.59 | 0.93 [0.90–0.95] |
| 2C | 1145 | 49.35 | 76.69 | 0.68 [0.63–0.72] |
| Panel | ||||
| Prionics | 1027 | 91.67 | 99.39 | 0.99 [0.98–1.00] |
| IDvet Long | 1027 | 91.67 | 99.29 | 0.99 [0.99–1.00] |
| IDvet Short | 1027 | 91.67 | 99.50 | 0.99 [0.99–1.00] |
| 2B | 1027 | 91.67 | 99.10 | 0.99 [0.99–0.99] |
| 3B | 1027 | 88.89 | 98.39 | 0.96 [0.91–1.00] |
| 3ABC | 1027 | 75.00 | 99.09 | 0.96 [0.92–1.00] |
| 3D | 1027 | 72.20 | 97.17 | 0.91 [0.84–0.98] |
| 3CD | 1027 | 72.20 | 98.59 | 0.94 [0.89–0.98] |
| 2C | 1027 | 63.80 | 76.69 | 0.78 [0.70–0.85] |
| Field | ||||
| Prionics | 159 | 96.86 | 99.39 | 0.99 [0.98–0.00] |
| IDvet Long | 159 | 100.00 | 99.29 | 1.00 [0.99–1.00] |
| IDvet Short | 159 | 97.48 | 99.39 | 0.99 [0.98–1.00] |
| 2B | 159 | 96.23 | 99.10 | 0.98 [0.97–1.00] |
| 3B | 159 | 97.48 | 98.39 | 0.98 [0.97–0.99] |
| 3ABC | 159 | 96.23 | 99.09 | 0.98 [0.97–0.99] |
| 3D | 159 | 75.47 | 97.17 | 0.87 [0.83–0.92] |
| 3CD | 159 | 71.07 | 98.59 | 0.84 [0.79–0.89] |
| 2C | 159 | 81.76 | 76.69 | 0.76 [0.69–0.83] |
Publisher’s Note: MDPI stays neutral with regard to jurisdictional claims in published maps and institutional affiliations. |
© 2021 by the authors. Licensee MDPI, Basel, Switzerland. This article is an open access article distributed under the terms and conditions of the Creative Commons Attribution (CC BY) license (https://creativecommons.org/licenses/by/4.0/).
Share and Cite
Tewari, A.; Ambrose, H.; Parekh, K.; Inoue, T.; Guitian, J.; Nardo, A.D.; Paton, D.J.; Parida, S. Development and Validation of Confirmatory Foot-and-Mouth Disease Virus Antibody ELISAs to Identify Infected Animals in Vaccinated Populations. Viruses 2021, 13, 914. https://doi.org/10.3390/v13050914
Tewari A, Ambrose H, Parekh K, Inoue T, Guitian J, Nardo AD, Paton DJ, Parida S. Development and Validation of Confirmatory Foot-and-Mouth Disease Virus Antibody ELISAs to Identify Infected Animals in Vaccinated Populations. Viruses. 2021; 13(5):914. https://doi.org/10.3390/v13050914
Chicago/Turabian StyleTewari, Anuj, Helen Ambrose, Krupali Parekh, Toru Inoue, Javier Guitian, Antonello Di Nardo, David James Paton, and Satya Parida. 2021. "Development and Validation of Confirmatory Foot-and-Mouth Disease Virus Antibody ELISAs to Identify Infected Animals in Vaccinated Populations" Viruses 13, no. 5: 914. https://doi.org/10.3390/v13050914
APA StyleTewari, A., Ambrose, H., Parekh, K., Inoue, T., Guitian, J., Nardo, A. D., Paton, D. J., & Parida, S. (2021). Development and Validation of Confirmatory Foot-and-Mouth Disease Virus Antibody ELISAs to Identify Infected Animals in Vaccinated Populations. Viruses, 13(5), 914. https://doi.org/10.3390/v13050914

