Isolation and Cultivation of a New Isolate of BTV-25 and Presumptive Evidence for a Potential Persistent Infection in Healthy Goats
Abstract
1. Introduction
2. Materials and Methods
2.1. RNA Extraction and RT-qPCR
2.2. Sequence Analysis
2.3. Goat Flock in Bavaria
2.4. Experimental Inoculation of Goats
2.5. Production of Antisera in Rabbits
2.6. Isolation of BTV-25-GER2018
2.7. ELISA
2.8. Virus Neutralization Test
3. Results
3.1. Genome Analysis
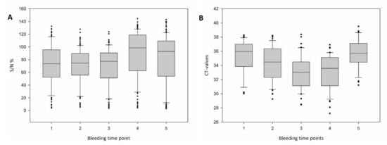
3.2. Goat Flock Monitoring
3.3. Animal Experiments
3.4. BTV-25-GER2018 Isolation in Cell Culture
3.5. Virus Neutralization
4. Discussion
Supplementary Materials
Author Contributions
Funding
Acknowledgments
Conflicts of Interest
References
- Mertens, P.P.; Diprose, J.; Maan, S.; Singh, K.P.; Attoui, H.; Samuel, A.R. Bluetongue virus replication, molecular and structural biology. Vet. Ital. 2004, 40, 426–437. [Google Scholar]
- Owen, N.C.; Du Toit, R.M.; Howell, P.G. Bluetongue in cattle: Typing of viruses isolated from cattle exposed to natural infections. Onderstepoort J. Vet. Res. 1965, 32, 3–6. [Google Scholar] [PubMed]
- Maan, S.; Maan, N.S.; Nomikou, K.; Veronesi, E.; Bachanek-Bankowska, K.; Belaganahalli, M.N.; Attoui, H.; Mertens, P.P. Complete genome characterisation of a novel 26th bluetongue virus serotype from Kuwait. PLoS ONE 2011, 6, e26147. [Google Scholar] [CrossRef] [PubMed]
- Hofmann, M.A.; Renzullo, S.; Mader, M.; Chaignat, V.; Worwa, G.; Thuer, B. Genetic characterization of toggenburg orbivirus, a new bluetongue virus, from goats, Switzerland. Emerg. Infect. Dis. 2008, 14, 1855–1861. [Google Scholar] [CrossRef] [PubMed]
- Breard, E.; Schulz, C.; Sailleau, C.; Bernelin-Cottet, C.; Viarouge, C.; Vitour, D.; Guillaume, B.; Caignard, G.; Gorlier, A.; Attoui, H.; et al. Bluetongue virus serotype 27: Experimental infection of goats, sheep and cattle with three BTV-27 variants reveal atypical characteristics and likely direct contact transmission BTV-27 between goats. Transbound Emerg. Dis. 2018, 65, e251–e263. [Google Scholar] [CrossRef] [PubMed]
- Savini, G.; Puggioni, G.; Meloni, G.; Marcacci, M.; Di Domenico, M.; Rocchigiani, A.M.; Spedicato, M.; Oggiano, A.; Manunta, D.; Teodori, L.; et al. Novel putative Bluetongue virus in healthy goats from Sardinia, Italy. Infect. Genet. Evol. 2017, 51, 108–117. [Google Scholar] [CrossRef]
- Hofmann, M.; Griot, C.; Chaignat, V.; Perler, L.; Thur, B. Bluetongue disease reaches Switzerland. Schweiz. Arch. Tierheilkd 2008, 150, 49–56. [Google Scholar] [CrossRef]
- OIE. Bluetongue (infection with bluetongue virus). In Terrestial Manual; Office Intl Des Epizooties: Paris, France, 2018; Chapter 3.1.3. [Google Scholar]
- Ries, C.; Beer, M.; Hoffmann, B. BlueTYPE—A low density TaqMan-RT-qPCR array for the identification of all 24 classical Bluetongue virus serotypes. J. Virol. Methods 2020, 282, 113881. [Google Scholar] [CrossRef]
- Lorusso, A.; Baba, D.; Spedicato, M.; Teodori, L.; Bonfini, B.; Marcacci, M.; Di Provvido, A.; Isselmou, K.; Marini, V.; Carmine, I.; et al. Bluetongue virus surveillance in the Islamic Republic of Mauritania: Is serotype 26 circulating among cattle and dromedaries? Infect. Genet. Evol. 2016, 40, 109–112. [Google Scholar] [CrossRef]
- Batten, C.; Darpel, K.; Henstock, M.; Fay, P.; Veronesi, E.; Gubbins, S.; Graves, S.; Frost, L.; Oura, C. Evidence for transmission of bluetongue virus serotype 26 through direct contact. PLoS ONE 2014, 9, e96049. [Google Scholar] [CrossRef]
- Batten, C.A.; Henstock, M.R.; Steedman, H.M.; Waddington, S.; Edwards, L.; Oura, C.A. Bluetongue virus serotype 26: Infection kinetics, pathogenesis and possible contact transmission in goats. Vet. Microbiol. 2013, 162, 62–67. [Google Scholar] [CrossRef] [PubMed]
- Zientara, S.; Sailleau, C.; Viarouge, C.; Hoper, D.; Beer, M.; Jenckel, M.; Hoffmann, B.; Romey, A.; Bakkali-Kassimi, L.; Fablet, A.; et al. Novel bluetongue virus in goats, Corsica, France, 2014. Emerg. Infect. Dis. 2014, 20, 2123–2125. [Google Scholar] [CrossRef] [PubMed]
- Sun, E.C.; Huang, L.P.; Xu, Q.Y.; Wang, H.X.; Xue, X.M.; Lu, P.; Li, W.J.; Liu, W.; Bu, Z.G.; Wu, D.L. Emergence of a Novel Bluetongue Virus Serotype, China 2014. Transbound. Emerg. Dis. 2016, 63, 585–589. [Google Scholar] [CrossRef] [PubMed]
- Bumbarov, V.; Golender, N.; Erster, O.; Khinich, Y. Detection and isolation of Bluetongue virus from commercial vaccine batches. Vaccine 2016, 34, 3317–3323. [Google Scholar] [CrossRef]
- Bumbarov, V.; Golender, N.; Jenckel, M.; Wernike, K.; Beer, M.; Khinich, E.; Zalesky, O.; Erster, O. Characterization of bluetongue virus serotype 28. Transbound. Emerg. Dis. 2020, 67, 171–182. [Google Scholar] [CrossRef]
- Lorusso, A.; Sghaier, S.; Di Domenico, M.; Barbria, M.E.; Zaccaria, G.; Megdich, A.; Portanti, O.; Seliman, I.B.; Spedicato, M.; Pizzurro, F.; et al. Analysis of bluetongue serotype 3 spread in Tunisia and discovery of a novel strain related to the bluetongue virus isolated from a commercial sheep pox vaccine. Infect. Genet. Evol. 2018, 59, 63–71. [Google Scholar] [CrossRef]
- Chaignat, V.; Worwa, G.; Scherrer, N.; Hilbe, M.; Ehrensperger, F.; Batten, C.; Cortyen, M.; Hofmann, M.; Thuer, B. Toggenburg Orbivirus, a new bluetongue virus: Initial detection, first observations in field and experimental infection of goats and sheep. Vet. Microbiol. 2009, 138, 11–19. [Google Scholar] [CrossRef]
- Planzer, J.; Kaufmann, C.; Worwa, G.; Gavier-Widen, D.; Hofmann, M.A.; Chaignat, V.; Thur, B. In vivo and in vitro propagation and transmission of Toggenburg orbivirus. Res. Vet. Sci. 2011, 91, e163–e168. [Google Scholar] [CrossRef]
- Van Rijn, P.A.; van de Water, S.G.P.; Maris-Veldhuis, M.A.; van Gennip, R.G.P. Experimental infection of small ruminants with bluetongue virus expressing Toggenburg Orbivirus proteins. Vet. Microbiol. 2016, 192, 145–151. [Google Scholar] [CrossRef]
- Vogtlin, A.; Hofmann, M.A.; Nenniger, C.; Renzullo, S.; Steinrigl, A.; Loitsch, A.; Schwermer, H.; Kaufmann, C.; Thur, B. Long-term infection of goats with bluetongue virus serotype 25. Vet. Microbiol. 2013, 166, 165–173. [Google Scholar] [CrossRef]
- Marcacci, M.; Sant, S.; Mangone, I.; Goria, M.; Dondo, A.; Zoppi, S.; van Gennip, R.G.P.; Radaelli, M.C.; Camma, C.; van Rijn, P.A.; et al. One after the other: A novel Bluetongue virus strain related to Toggenburg virus detected in the Piedmont region (North-western Italy), extends the panel of novel atypical BTV strains. Transbound. Emerg. Dis. 2018, 65, 370–374. [Google Scholar] [CrossRef] [PubMed]
- Hofmann, M.A.; Renzullo, S.; Planzer, J.; Mader, M.; Chaignat, V.; Thuer, B. Detection of Toggenburg Orbivirus by a segment 2-specific quantitative RT-PCR. J. Virol. Methods 2010, 165, 325–329. [Google Scholar] [CrossRef]
- Maan, S.; Maan, N.S.; Belaganahalli, M.N.; Potgieter, A.C.; Kumar, V.; Batra, K.; Wright, I.M.; Kirkland, P.D.; Mertens, P.P. Development and Evaluation of Real Time RT-PCR Assays for Detection and Typing of Bluetongue Virus. PLoS ONE 2016, 11, e0163014. [Google Scholar] [CrossRef] [PubMed]
- Baetza, H.J. Eradication of bluetongue disease in Germany by vaccination. Vet. Immunol. Immunopathol. 2014, 158, 116–119. [Google Scholar] [CrossRef] [PubMed]
- OIE Bluetongue, Germany, Immediate Notification. [22.06.20]. Available online: https://www.oie.int/wahis_2/public/wahid.php/Reviewreport/Review?page_refer=MapFullEventReport&reportid=28927 (accessed on 3 July 2020).
- Hoffmann, B.; Depner, K.; Schirrmeier, H.; Beer, M. A universal heterologous internal control system for duplex real-time RT-PCR assays used in a detection system for pestiviruses. J. Virol. Methods 2006, 136, 200–209. [Google Scholar] [CrossRef] [PubMed]
- Chrzastek, K.; Lee, D.H.; Smith, D.; Sharma, P.; Suarez, D.L.; Pantin-Jackwood, M.; Kapczynski, D.R. Use of Sequence-Independent, Single-Primer-Amplification (SISPA) for rapid detection, identification, and characterization of avian RNA viruses. Virology 2017, 509, 159–166. [Google Scholar] [CrossRef]
- Tamura, K.; Stecher, G.; Peterson, D.; Filipski, A.; Kumar, S. MEGA6: Molecular Evolutionary Genetics Analysis version 6.0. Mol. Biol. Evol. 2013, 30, 2725–2729. [Google Scholar] [CrossRef]
- Rambaut, A. FigTree v1.4.4; Institute of Evolutionary Biology, University of Edinburgh: Edinburgh, UK. Available online: http://tree.bio.ed.ac.uk/software/figtree/ (accessed on 5 June 2020).
- Bahnemann, H.G. Inactivation of viral antigens for vaccine preparation with particular reference to the application of binary ethylenimine. Vaccine 1990, 8, 299–303. [Google Scholar] [CrossRef]
- Maan, S.; Maan, N.S.; Samuel, A.R.; Rao, S.; Attoui, H.; Mertens, P.P. Analysis and phylogenetic comparisons of full-length VP2 genes of the 24 bluetongue virus serotypes. J. Gen. Virol. 2007, 88 Pt 2, 621–630. [Google Scholar] [CrossRef]
- Maan, S.; Maan, N.S.; Nomikou, K.; Batten, C.; Antony, F.; Belaganahalli, M.N.; Samy, A.M.; Reda, A.A.; Al-Rashid, S.A.; El Batel, M.; et al. Novel bluetongue virus serotype from Kuwait. Emerg. Infect. Dis. 2011, 17, 886–889. [Google Scholar] [CrossRef]
- Maan, S.; Maan, N.S.; van Rijn, P.A.; van Gennip, R.G.; Sanders, A.; Wright, I.M.; Batten, C.; Hoffmann, B.; Eschbaumer, M.; Oura, C.A.; et al. Full genome characterisation of bluetongue virus serotype 6 from the Netherlands 2008 and comparison to other field and vaccine strains. PLoS ONE 2010, 5, e10323. [Google Scholar] [CrossRef] [PubMed]
- Schulz, C.; Breard, E.; Sailleau, C.; Jenckel, M.; Viarouge, C.; Vitour, D.; Palmarini, M.; Gallois, M.; Hoper, D.; Hoffmann, B.; et al. Bluetongue virus serotype 27: Detection and characterization of two novel variants in Corsica, France. J. Gen. Virol. 2016, 97, 2073–2083. [Google Scholar] [CrossRef] [PubMed]
- Batten, C.A.; Henstock, M.R.; Bin-Tarif, A.; Steedman, H.M.; Waddington, S.; Edwards, L.; Oura, C.A. Bluetongue virus serotype 26: Infection kinetics and pathogenesis in Dorset Poll sheep. Vet. Microbiol. 2012, 157, 119–124. [Google Scholar] [CrossRef]
- Chaignat, V.; Schwermer, H.; Casati, S.; Planzer, J.; Worwa, G.; Vanzetti, T.; Batten, C.; Hofmann, M.; Thur, B. Occurrence and spatial distribution of Toggenburg Orbivirus in Switzerland. Small Rumin. Res. 2010, 93, 157–164. [Google Scholar] [CrossRef]
- Takamatsu, H.; Mellor, P.S.; Mertens, P.P.C.; Kirkham, P.A.; Burroughs, J.N.; Parkhouse, R.M.E. A possible overwintering mechanism for bluetongue virus in the absence of the insect vector. J. Gen. Virol. 2003, 84 Pt 1, 227–235. [Google Scholar] [CrossRef] [PubMed]
- Maclachlan, N.J.; Henderson, C.; Schwartz-Cornil, I.; Zientara, S. The immune response of ruminant livestock to bluetongue virus: From type I interferon to antibody. Virus Res. 2014, 182, 71–77. [Google Scholar] [CrossRef]
- Lunt, R.A.; Melville, L.; Hunt, N.; Davis, S.; Rootes, C.L.; Newberry, K.M.; Pritchard, L.I.; Middleton, D.; Bingham, J.; Daniels, P.W.; et al. Cultured skin fibroblast cells derived from bluetongue virus-inoculated sheep and field-infected cattle are not a source of late and protracted recoverable virus. J. Gen. Virol. 2006, 87, 3661–3666. [Google Scholar] [CrossRef]
- Hilke, J.; Strobel, H.; Woelke, S.; Stoeter, M.; Voigt, K.; Moeller, B.; Bastian, M.; Ganter, M. Presence of Antibodies against Bluetongue Virus (BTV) in Sheep 5 to 7.5 Years after Vaccination with Inactivated BTV-8 Vaccines. Viruses 2019, 11, 533. [Google Scholar] [CrossRef]
- Ries, C.; Beer, M.; Hoffmann, B. BTV antibody longevity in cattle five to eight years post BTV-8 vaccination. Vaccine 2019, 37, 2656–2660. [Google Scholar] [CrossRef]
- Meurman, O.; Lehtonen, O.P. Fluctuation of virus antibody levels in healthy adults. Eur. J. Clin. Microbiol. Infect. Dis. 1988, 7, 656–658. [Google Scholar] [CrossRef]
- Rodriguez, L.L.; Vernon, S.; Morales, A.I.; Letchworth, G.J. Serological monitoring of vesicular stomatitis New Jersey virus in enzootic regions of Costa Rica. Am. J. Trop. Med. Hyg. 1990, 42, 272–281. [Google Scholar] [CrossRef] [PubMed]
- Schwartz-Cornil, I.; Mertens, P.P.; Contreras, V.; Hemati, B.; Pascale, F.; Breard, E.; Mellor, P.S.; MacLachlan, N.J.; Zientara, S. Bluetongue virus: Virology, pathogenesis and immunity. Vet. Res. 2008, 39, 46. [Google Scholar] [CrossRef]
- Gibbs, E.P.; Greiner, E.C. The epidemiology of bluetongue. Comp. Immunol. Microbiol. Infect. Dis. 1994, 17, 207–220. [Google Scholar] [CrossRef]
- Barratt-Boyes, S.M.; MacLachlan, N.J. Dynamics of viral spread in bluetongue virus infected calves. Vet. Microbiol. 1994, 40, 361–371. [Google Scholar] [CrossRef]
- Flannery, J.; Sanz-Bernardo, B.; Ashby, M.; Brown, H.; Carpenter, S.; Cooke, L.; Corla, A.; Frost, L.; Gubbins, S.; Hicks, H.; et al. Evidence of reduced viremia, pathogenicity and vector competence in a re-emerging European strain of bluetongue virus serotype 8 in sheep. Transbound. Emerg. Dis. 2019, 66, 1177–1185. [Google Scholar] [CrossRef] [PubMed]






| BLAST Best Hits | |||||
|---|---|---|---|---|---|
| Segment/ Protein (Accesion No.) | Serotype (nt/aa) # | Strain (nt/aa) | Accession No. (nt/aa) | Identity Level % (nt/aa) | Query Cover % |
| 1/VP1 (LR798441) | BTV-25/BTV-25 | BTV-Z ITL2017/TOV | MF673720.1/ACY02806.1 | 96.55/92.17 | 88/100 |
| BTV-25/unknown | TOV/V196-XJ-2014 | GQ982522.1/ASW41946.1 | 83.77/91.01 | 99/100 | |
| BTV-27/BTV-27 | BTV-27-FRA-2014-v02/BTV-27-FRA-2014-v01 | KU760987/CEK41871.1 | 82.97/90.78 | 99/100 | |
| 2/VP2 (LR798442) | BTV-25/BTV-25 | BTV-Z ITL2017/BTV-Z ITL2017 | MF673721.1/AVA16289.1 | 92.53/88.99 | 79/79 |
| BTV-25/BTV-25 | TOV/TOV | EU839840.1/ACJ06702.1 | 83.48/82.79 | 100/100 | |
| BTV-27/unknown | BTV-27-FRA-2014-v02/BTV-XJ1407 | KU760988.1/AMM44543.1 | 74.54/75.18 | 100/100 | |
| 3/VP3 (LR798443) | BTV-25/BTV-27 | BTV-Z ITL2017/BTV-27-FRA2014-v03 | MF673722.1/AMQ36829.1 | 96.74/96.00 | 63/100 |
| BTV-27/unknown | BTV-27-FRA-2014-v02/XJ1407 | KU760989.1/AMM44545.1 | 85.18/95.89 | 100/100 | |
| BTV-27/unknown | BTV-27-FRA-2014-v01/V196-XJ-2014 | LN713672.1/ASW41948.1 | 85.18/95.89 | 100/100 | |
| 4/VP4 (LR798444) | BTV-25/BTV-25 | BTV-Z ITL2017/BTV-Z ITL2017 | MF673723.2/AVA16291.2 | 96.13/99.66 | 90/91 |
| BTV-25/BTV-25 | TOV/TOV | GQ982524.1/ACY02808.1 | 90.81/96.58 | 100/100 | |
| Unknown/unknown | V196-XJ-2014/XJ1407 | KX695173.1/AMM44546.1 | 80.88/93.79 | 100/100 | |
| 5/NS1 (LR798445) | BTV-25/BTV-25 | BTV-Z ITL2017/TOV | MF673724.1/ACJ06703.1 | 94.63/82.58 | 58/99 |
| BTV-25/BTV-28 | TOV/ SPvvvv-02 | EU839841.1/QGW56799.1 | 78.36/80.80 | 99/100 | |
| BTV-8/BTV-28 | CYP2016-04/BTV-28-1537-14 | MN710167.1/QDH76488.1 | 75.12/80.62 | 99/100 | |
| 6/VP5 (LR798446) | BTV-25/BTV-25 | BTV-Z ITL2017/TOV | MF673725.1/ACJ06704.1 | 96.53/91.83 | 32/100 |
| BTV-25/BTV-27 | TOV/BTV-27-FRA-2014-v01 | EU839842.1/CEK41875.1 | 82.92/86.12 | 100/100 | |
| BTV-27/BTV-28 | BTV-27-FRA-2014-v01/BTV-28-1537-14 | LN713675.1/QDH76491.1 | 78.24/82.70 | 100/100 | |
| 7/VP7 (LR798447) | Unknown/unknown | V196-XJ-2014/V196-XJ-2014 | KX695176.1/ASW41952.1 | 84.76/97.71 | 100/100 |
| Unknown/unknown | BTV-XJ1407/BTV-XJ1407 | KR085416.1/AMM44548.1 | 83.90/97.42 | 100/100 | |
| BTV-27/BTV-28 | BTV-27-FRA-2014-v01/SPvvvv-02 | LN713676.1/QGW56801.1 | 81.71/97.13 | 100/100 | |
| 8/NS2 (LR798448) | BTV-25/BTV-25 | TOV/TOV | EU839844.1/ACJ06706.1 | 98.21/98.30 | 100/100 |
| BTV-25/BTV-27 | BTV-Z ITL2017/BTV-27-FRA-2014-v01 | MF673726.1/CEK41877.1 | 97.28/86.69 | 58/100 | |
| BTV-27/BTV-27 | BTV-27-FRA-2014-v03/BTV-27-FRA-2014-v03 | KU761004.1/AMQ36834.1 | 82.86/86.69 | 100/100 | |
| 9/VP6 (LR798449) | BTV-25/BTV-25 | TOV/TOV | EU839845.1/ACJ06707.1 | 85.35/82.37 | 100/100 |
| Unknown/unknown | BTV-XJ1407/V196-XJ-2014 | KR085418.1/ASW41954.1 | 80.34/75.76 | 100/100 | |
| Unknown/unknown | V196-XJ-2014/BTV-XJ1407 | KX695178.1/AMM44550.1 | 79.16/75.68 | 100/100 | |
| 10/NS3 (LR798450) | BTV-27/BTV-27 | BTV-27-FRA-2014-v02/ BTV-27-FRA-2014-v02 | KU760996.1/AMQ36826.1 | 88.84/95.63 | 100/100 |
| BTV-25/BTV-25 | TOV/TOV | EU839846.1/ ACJ06708.1 | 87.97/94.32 | 100/100 | |
| Unknown/unknown | BTV-X ITL2015/ BTV-X ITL2015 | KX234087.2/ APC23697.2 | 82.87/93.89 | 99/100 | |
| Bleeding 1 07/08/2018 | Bleeding 2 04/09/2018 | Bleeding 3 03/12/2018 | Bleeding 4 16/05/2019 | Bleeding 5 08/10/2019 | |
|---|---|---|---|---|---|
| N° goats (EDTA/Serum) | 118 (118/118) | 117 (117/117) | 116 (116/115) | 121 (120/120) | 115 (115/115) |
| New introduced | - | - | 2 | 13 | 5 |
| Removed | - | 1 | 3 | 8 | 11 |
| N° goats | 118 | 117 | 115 | 120 | 115 |
| PCR positiv | 37 (31%) | 45 (38%) | 43 (37%) | 44 (37%) | 39 (34%) |
| cELISA positiv | 27 (23%) | 26 (22%) | 27 (23%) | 21 (18%) | 24 (21%) |
| Bleeding 3 03/12/2018 | Bleeding 4 16/05/2019 | Bleeding 5 08/10/2019 | ||||
|---|---|---|---|---|---|---|
| Goat ID | RT-qPCR | cELISA | RT-qPCR | cELISA | RT-qPCR | cELISA |
| Cq-Value | S/N% | Cq-Value | S/N% | Cq-Value | S/N% | |
| #119 | no Cq | 74 | no Cq | 115 | 32.8 | 93 |
| #120 | no Cq | 106 | no Cq | 122 | 36.3 | 70 |
| #121 | − | − | no Cq | 123 | 35.2 | 67 |
| #122 | − | − | no Cq | 114 | 36.5 | 95 |
| #123 | − | − | no Cq | 133 | 31.2 | 118 |
| #124 | − | − | no Cq | 134 | 35.6 | 93 |
| #125 | − | − | no Cq | 135 | 34.0 | 110 |
| #126 | − | − | no Cq | 123 | 31.8 | 61 |
| #127 | − | − | 32.1 | 28 | no Cq | 77 |
| #128 | − | − | no Cq | 98 | 32.3 | 99 |
| #129 | − | − | 30.8 | 84 | 31.7 | 102 |
| #130 | − | − | no Cq | 132 | 34.4 | 70 |
| #131 | − | − | no Cq | 98 | no Cq | 100 |
| #132 | − | − | no Cq | 114 | 36.7 | 80 |
| #133 | − | − | no Cq | 92 | no Cq | 79 |
| #134 | − | − | − | − | no Cq | 68 |
| #135 | − | − | − | − | no Cq | 92 |
| #136 | − | − | − | − | no Cq | 107 |
| #137 | − | − | − | − | no Cq | 16 |
| #138 | − | − | − | − | no Cq | 20 |
| Goat | dpi | 0 | 3 | 5 | 7 | 10 | 11 | 12 | 14 | 17 | 18 | 21 | 24 | 31 | |
|---|---|---|---|---|---|---|---|---|---|---|---|---|---|---|---|
| #19 | RT-qPCR | noCq | noCq | noCq | 36.1 | 33.5 | 30.9 | 28.7 | 27.7 | 25.1 | 26.4 | 27.3 | 28.4 | 28.6 | |
| #19 | cELISA | 108 | 93 | 79 | 70 | ||||||||||
| #20 | RT-qPCR | noCq | noCq | noCq | noCq | noCq | noCq | noCq | noCq | noCq | noCq | noCq | noCq | noCq | |
| #20 | cELISA | 101 | 107 | 106 | 108 |
© 2020 by the authors. Licensee MDPI, Basel, Switzerland. This article is an open access article distributed under the terms and conditions of the Creative Commons Attribution (CC BY) license (http://creativecommons.org/licenses/by/4.0/).
Share and Cite
Ries, C.; Domes, U.; Janowetz, B.; Böttcher, J.; Burkhardt, K.; Miller, T.; Beer, M.; Hoffmann, B. Isolation and Cultivation of a New Isolate of BTV-25 and Presumptive Evidence for a Potential Persistent Infection in Healthy Goats. Viruses 2020, 12, 983. https://doi.org/10.3390/v12090983
Ries C, Domes U, Janowetz B, Böttcher J, Burkhardt K, Miller T, Beer M, Hoffmann B. Isolation and Cultivation of a New Isolate of BTV-25 and Presumptive Evidence for a Potential Persistent Infection in Healthy Goats. Viruses. 2020; 12(9):983. https://doi.org/10.3390/v12090983
Chicago/Turabian StyleRies, Christina, Ursula Domes, Britta Janowetz, Jens Böttcher, Katinka Burkhardt, Thomas Miller, Martin Beer, and Bernd Hoffmann. 2020. "Isolation and Cultivation of a New Isolate of BTV-25 and Presumptive Evidence for a Potential Persistent Infection in Healthy Goats" Viruses 12, no. 9: 983. https://doi.org/10.3390/v12090983
APA StyleRies, C., Domes, U., Janowetz, B., Böttcher, J., Burkhardt, K., Miller, T., Beer, M., & Hoffmann, B. (2020). Isolation and Cultivation of a New Isolate of BTV-25 and Presumptive Evidence for a Potential Persistent Infection in Healthy Goats. Viruses, 12(9), 983. https://doi.org/10.3390/v12090983

