Novel Dihydroorotate Dehydrogenase Inhibitors with Potent Interferon-Independent Antiviral Activity against Mammarenaviruses In Vitro
Abstract
1. Introduction
2. Materials and Methods
2.1. Cells and Viruses
2.2. Compounds
2.3. Cell Cytotoxicity Assay and Half-Maximal Cytotoxic Concentration (CC50) Determination
2.4. Viral Growth Kinetics and EC50 Determination
2.5. Time-of-Addition Assay
2.6. LCMV Minigenome (MG) Assay
2.7. Budding Assay
2.8. Virus Titration
2.9. Reverse Transcription Polymerase Chain Reaction (RT-PCR)
2.10. Primers
- LCMV NP-specific primers
- forward: 5′-ATGCAGTCCATGAGTGCACAGT-3′
- reverse: 5′-GGTGAAGGATGGCCATACATAG-3′
- Glyceraldehyde 3-phosphate dehydrogenase (GAPDH)-specific primers
- forward: 5′-TGACATCAAGAAGGTGGTGAAGCAG-3′
- reverse: 5′-ATTGTCATACCAGGAAATGAGCTTGAC-3′
- IFNB-specific primers
- forward: 5′-TCAGTGTCAGAAGCTCCTGT-3′
- reverse: 5′-ACAGCATCTGCTGGTTGAAG-3′
- Interferon-stimulated gene 15 (ISG15)-specific primers
- forward: 5′-TGAGAGGCAGCGAACTCATCT-3′
- reverse: 5′-AAGGTCAGCCAGAACAGGTCGT-3′
- Interferon-induced protein with tetratricopeptide repeats 1 (IFIT1)-specific primers
- forward: 5′- GCCTTGCTGAAGTGTGGAGGAA-3′
- reverse: 5′-GCTTTTCTCTGTTCTGCCCTCT-3′
- DExD/H-box helicase 58 (DDX58)-specific primers
- forward: 5′-CACCTCAGTTGCTGATGAAGGC-3′
- reverse: 5′- CGGGCACAGAATATCTTTGCTC-3′
- Signal transducer and activator of transcription 1 (STAT1)-specific primers
- forward: 5′-ATGGCAGTCTGGCGGCTGAATT-3′
- reverse: 5′-GATGCACCCATCATTCCAGAGA-3′
- Interferon alpha inducible protein 27 (IFI27)-specific primers
- forward: 5′-TAAGACGGTGAGGTCAGCTTCA-3′
- reverse: 5′-ACCCAATGGAGCCCAGGATGAA-3′
- Interferon regulatory factor 1 (IRF1)-specific primers
- forward: 5′-GAGGAGGTGAAAGACCAGAGCA-3′
- reverse: 5′-CCAGGTTCATTGAGTAGGTACC-3′
- IRF9-specific primers
- forward: 5′-TACTCACTGCTGCTCACCTTCA-3′
- reverse: 5′-AGTCTGCTCCAGCAAGTATCGG-3′
- IFIT2-specific primers
- forward: 5′-GGAGCAGATTCTGAGGCTTTGC-3′
- reverse: 5′-GCAGGACTAACCTCTATGGGAT-3′
- IRF7-specific primers
- forward: 5′-ACCATCTGCTGACAGCGTCAT-3′
- reverse: 5′-GCTGCTATCCAGGGAAGACACA-3′
- C-X-C motif chemokine 10 (CXCL10)-specific primers
- forward: 5′-GGTGAGAAGAGATGTCTGAATCC-3′
- reverse: 5′-GGCAGTGGAAGTCCATGAAGTA-3′
- Interferon-induced GTP-binding protein Mx1 (MX1)-specific primers
- forward: 5′-GGCTGTTTACCAGACTCCGACA-3′
- reverse: 5′-GATCTCCTCCATGGAAGAGTCT-3′
2.11. Animal Studies
2.12. Biosafety
3. Results
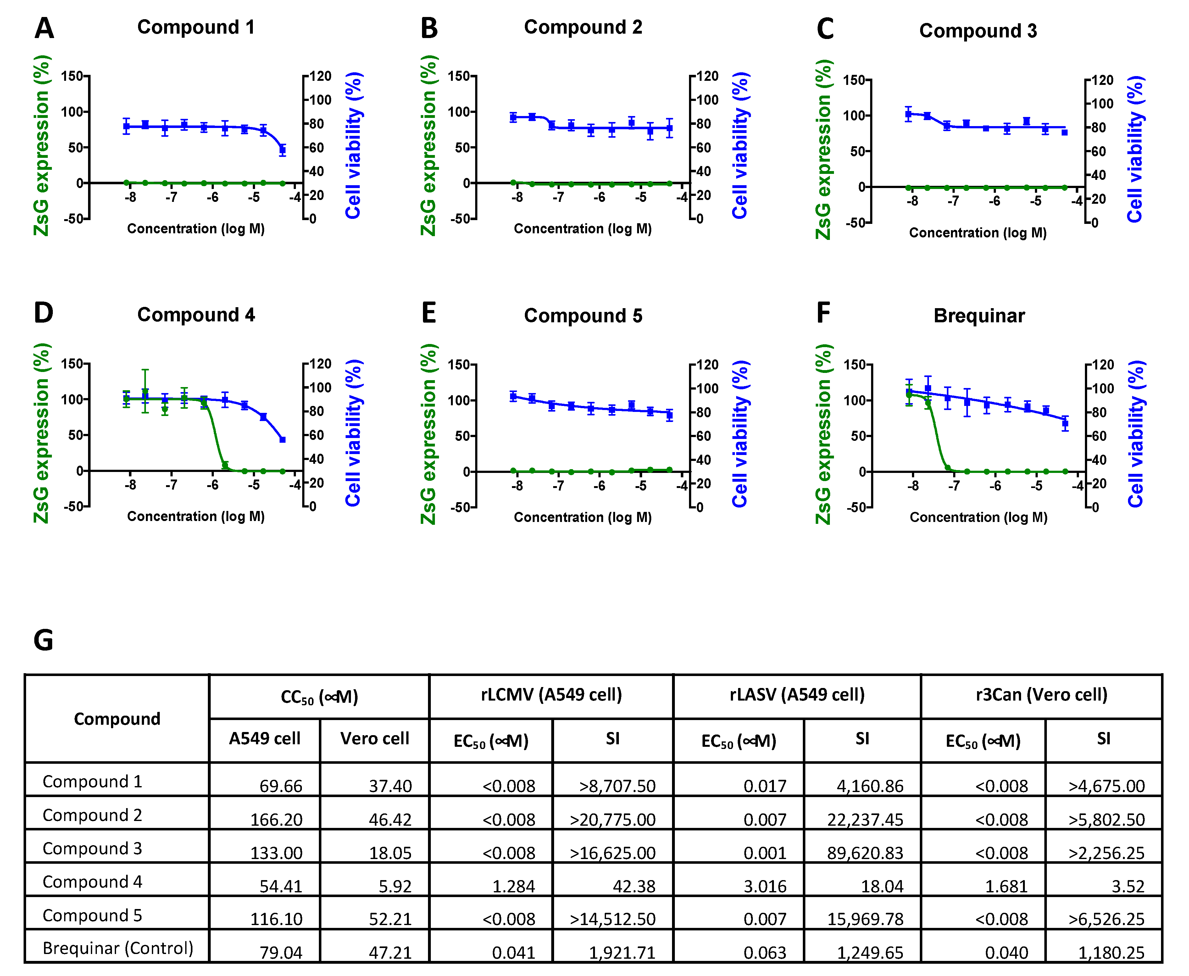
3.1. Effect of DHODH Inhibitors on Mammarenavirus Multiplication
3.2. Broad-Spectrum Antiviral Effects of DHODH Inhibitors
3.3. Effect of DHODH Inhibitors on Different Steps of LCMV Lifecycle
3.4. Effect of Pyrimidine Supplementation on the Antiviral Activity of DHODH Inhibitors
3.5. Contribution of IFN-I to the Mammarenavirus Antiviral Activity of DHODH Inhibitors
3.6. Assessment of Cmp 4 (IM90838) Anti-LCMV Activity In Vivo
3.7. Effect of Inhibiting the Uridine/Cytidine Kinase 2 (UCK2) on the Antiviral Activity of Cmp 4 in the Presence of Unlimited Uridine Supply
4. Discussion
5. Conclusions
Author Contributions
Funding
Acknowledgments
Conflicts of Interest
References
- Grande-Pérez, A.; Martin, V.; Moreno, H.; de la Torre, J.C. Arenavirus quasispecies and their biological implications. Curr. Top. Microbiol. Immunol. 2016, 392, 231–276. [Google Scholar] [PubMed]
- Happi, A.N.; Happi, C.T.; Schoepp, R.J. Lassa fever diagnostics: Past, present, and future. Curr. Opin. Virol. 2019, 37, 132–138. [Google Scholar] [CrossRef] [PubMed]
- Freedman, D.O.; Woodall, J. Emerging infectious diseases and risk to the traveler. Med. Clin. N. Am. 1999, 83, 865–883. [Google Scholar] [PubMed]
- Isaäcson, M. Viral hemorrhagic fever hazards for travelers in Africa. Clin. Infect. Dis. 2001, 33, 1707–1712. [Google Scholar] [CrossRef] [PubMed]
- Sogoba, N.; Feldmann, H.; Safronetz, D. Lassa fever in West Africa: Evidence for an expanded region of endemicity. Zoonoses Public Health 2012, 59, 43–47. [Google Scholar] [CrossRef] [PubMed]
- Briese, T.; Paweska, J.T.; McMullan, L.K.; Hutchison, S.K.; Street, C.; Palacios, G.; Khristova, M.L.; Weyer, J.; Swanepoel, R.; Egholm, M.; et al. Genetic detection and characterization of Lujo virus, a new hemorrhagic fever-associated arenavirus from southern Africa. PLoS Pathog. 2009, 5, e1000455. [Google Scholar] [CrossRef]
- Patterson, M.; Grant, A.; Paessler, S. Epidemiology and pathogenesis of Bolivian hemorrhagic fever. Curr. Opin. Virol. 2014, 5, 82–90. [Google Scholar] [CrossRef]
- Delgado, S.; Erickson, B.R.; Agudo, R.; Blair, P.J.; Vallejo, E.; Albariño, C.G.; Vargas, J.; Comer, J.A.; Rollin, P.E.; Ksiazek, T.G.; et al. Chapare virus, a newly discovered arenavirus isolated from a fatal hemorrhagic fever case in Bolivia. PLoS Pathog. 2008, 4, e1000047. [Google Scholar] [CrossRef]
- Ellwanger, J.H.; Chies, J.A. Keeping track of hidden dangers—The short history of the Sabia virus. Rev. Soc. Bras. Med. Trop. 2017, 50, 3–8. [Google Scholar] [CrossRef]
- Escalera-Antezana, J.P.; Rodriguez-Villena, O.J.; Arancibia-Alba, A.W.; Alvarado-Arnez, L.E.; Bonilla-Aldana, D.K.; Rodríguez-Morales, A.J. Clinical features of fatal cases of Chapare virus hemorrhagic fever originating from rural La Paz, Bolivia, 2019: A cluster analysis. Travel Med. Infect. Dis. 2020, 101589. [Google Scholar] [CrossRef] [PubMed]
- de Mello Malta, F.; Amgarten, D.; Nastri, A.C.d.S.S.; Ho, Y.-L.; Boas Casadio, L.V.; Basqueira, M.; Selegatto, G.; Cervato, M.C.; Duarte-Neto, A.N.; Higashino, H.R.; et al. Sabiá virus-like mammarenavirus in patient with fatal hemorrhagic fever, Brazil, 2020. Emerg. Infect. Dis. 2020, 26, 1332–1334. [Google Scholar] [CrossRef] [PubMed]
- Barton, L.L.; Mets, M.B. Lymphocytic choriomeningitis virus: Pediatric pathogen and fetal teratogen. Pediatric Infect. Dis. J. 1999, 18, 540–541. [Google Scholar] [CrossRef] [PubMed]
- Barton, L.L.; Mets, M.B. Congenital lymphocytic choriomeningitis virus infection: Decade of rediscovery. Clin. Infect. Dis. 2001, 33, 370–374. [Google Scholar] [CrossRef]
- Barton, L.L.; Mets, M.B.; Beauchamp, C.L. Lymphocytic choriomeningitis virus: Emerging fetal teratogen. Am. J. Obstet. Gynecol. 2002, 187, 1715–1716. [Google Scholar] [CrossRef]
- Jahrling, P.B.; Peters, C.J. Lymphocytic choriomeningitis virus. A neglected pathogen of man. Arch. Pathol. Lab. Med. 1992, 116, 486–488. [Google Scholar]
- Peters, C.J. Lymphocytic choriomeningitis virus—An old enemy up to new tricks. N. Engl. J. Med. 2006, 354, 2208–2211. [Google Scholar] [CrossRef]
- Maiztegui, J.I.; McKee, K.T., Jr.; Barrera Oro, J.G.; Harrison, L.H.; Gibbs, P.H.; Feuillade, M.R.; Enria, D.A.; Briggiler, A.M.; Levis, S.C.; Ambrosio, A.M.; et al. AHF Study Group, Protective efficacy of a live attenuated vaccine against Argentine hemorrhagic fever. J. Infect. Dis. 1998, 177, 277–283. [Google Scholar] [CrossRef] [PubMed]
- Damonte, E.B.; Coto, C.E. Treatment of arenavirus infections: From basic studies to the challenge of antiviral therapy. Adv. Virus Res. 2002, 58, 125–155. [Google Scholar]
- Moreno, H.; Gallego, I.; Sevilla, N.; de la Torre, J.C.; Domingo, E.; Martín, V. Ribavirin can be mutagenic for arenaviruses. J. Virol. 2011, 85, 7246–7255. [Google Scholar] [CrossRef]
- Parker, W.B. Metabolism and antiviral activity of ribavirin. Virus Res. 2005, 107, 165–171. [Google Scholar] [CrossRef] [PubMed]
- Gowen, B.B.; Juelich, T.L.; Sefing, E.J.; Brasel, T.; Smith, J.K.; Zhang, L.; Tigabu, B.; Hill, T.E.; Yun, T.; Pietzsch, C.; et al. Favipiravir (T-705) inhibits Junín virus infection and reduces mortality in a guinea pig model of Argentine hemorrhagic fever. PLoS Negl. Trop. Dis. 2013, 7, e2614. [Google Scholar] [CrossRef] [PubMed]
- Mendenhall, M.; Russell, A.; Juelich, T.; Messina, E.L.; Smee, D.F.; Freiberg, A.N.; Holbrook, M.R.; Furuta, Y.; de la Torre, J.-C.; Nunberg, J.H.; et al. T-705 (favipiravir) inhibition of arenavirus replication in cell culture. Antimicrob. Agents Chemother. 2011, 55, 782–787. [Google Scholar] [CrossRef] [PubMed]
- Mendenhall, M.; Russell, A.; Smee, D.F.; Hall, J.O.; Skirpstunas, R.; Furuta, Y.; Gowen, B.B. Effective oral favipiravir (T-705) therapy initiated after the onset of clinical disease in a model of arenavirus hemorrhagic Fever. PLoS Negl. Trop. Dis. 2011, 5, e1342. [Google Scholar] [CrossRef] [PubMed]
- Safronetz, D.; Rosenke, K.; Westover, J.B.; Martellaro, C.; Okumura, A.; Furuta, Y.; Geisbert, J.; Saturday, G.; Komeno, T.; Geisbert, T.W.; et al. The broad-spectrum antiviral favipiravir protects guinea pigs from lethal Lassa virus infection post-disease onset. Sci. Rep. 2015, 5, 14775. [Google Scholar] [CrossRef]
- Kim, Y.-J.; Cubitt, B.; Chen, E.; Hull, M.V.; Chatterjee, A.K.; Cai, Y.; Kuhn, J.H.; de la Torre, J.C. The ReFRAME library as a comprehensive drug repurposing library to identify mammarenavirus inhibitors. Antiviral Res. 2019, 169, 104558. [Google Scholar] [CrossRef]
- Yang, C.-F.; Gopula, B.; Liang, J.-J.; Li, J.K.; Chen, S.-Y.; Lee, Y.-L.; Chen, C.S.; Lin, Y.-L. Novel AR-12 derivatives, P12-23 and P12-34, inhibit flavivirus replication by blocking host de novo pyrimidine biosynthesis. Emerg. Microbes Infect. 2018, 7, 187. [Google Scholar] [CrossRef]
- Zhang, L.; Das, P.; Schmolke, M.; Manicassamy, B.; Wang, Y.; Deng, X.; Cai, L.; Tu, B.P.; Forst, C.V.; Roth, M.G.; et al. Inhibition of pyrimidine synthesis reverses viral virulence factor-mediated block of mRNA nuclear export. J. Cell Biol. 2012, 196, 315–326. [Google Scholar] [CrossRef]
- Luthra, P.; Naidoo, J.; Pietzsch, C.A.; De, S.; Khadka, S.; Anantpadma, M.; Williams, C.G.; Edwards, M.R.; Davey, R.A.; Bukreyev, A.; et al. Inhibiting pyrimidine biosynthesis impairs Ebola virus replication through depletion of nucleoside pools and activation of innate immune responses. Antiviral Res. 2018, 158, 288–302. [Google Scholar] [CrossRef]
- Hoffmann, H.-H.; Kunz, A.; Simon, V.A.; Palese, P.; Shaw, M.L. Broad-spectrum antiviral that interferes with de novo pyrimidine biosynthesis. Proc. Natl. Acad. Sci. USA 2011, 108, 5777–5782. [Google Scholar] [CrossRef]
- Boschi, D.; Pippione, A.C.; Sainas, S.; Lolli, M.L. Dihydroorotate dehydrogenase inhibitors in anti-infective drug research. Eur. J. Med. Chem. 2019, 183, 111681. [Google Scholar] [CrossRef]
- Muehler, A.; Kohlhof, H.; Groeppel, M.; Vitt, D. The selective oral immunomodulator vidofludimus in patients with active rheumatoid arthritis: Safety results from the COMPONENT study. Drugs R D 2019, 19, 351–366. [Google Scholar] [CrossRef] [PubMed]
- Lucas-Hourani, M.; Dauzonne, D.; Munier-Lehmann, H.; Khiar, S.; Nisole, S.; Dairou, J.; Helynck, O.; Afonso, P.V.; Tangy, F.; Vidalain, P.-O. Original chemical series of pyrimidine biosynthesis inhibitors that boost the antiviral interferon response. Antimicrob. Agents Chemother. 2017, 61, e00383-17. [Google Scholar] [CrossRef] [PubMed]
- Emonet, S.F.; Seregin, A.V.; Yun, N.E.; Poussard, A.L.; Walker, A.G.; de la Torre, J.C.; Paessler, S. Rescue from cloned cDNAs and In Vivo characterization of recombinant pathogenic Romero and live-attenuated Candid #1 strains of Junin virus, the causative agent of Argentine hemorrhagic fever disease. J. Virol. 2011, 85, 1473–1483. [Google Scholar] [PubMed]
- Iwasaki, M.; Minder, P.; Caì, Y.; Kuhn, J.H.; Yates, J.R., III; Torbett, B.E.; de la Torre, J.C. Interactome analysis of the lymphocytic choriomeningitis virus nucleoprotein in infected cells reveals ATPase Na+/K+ transporting subunit Alpha 1 and prohibitin as host-cell factors involved in the life cycle of mammarenaviruses. PLoS Pathog. 2018, 14, e1006892. [Google Scholar] [CrossRef]
- Caì, Y.; Iwasaki, M.; Beitzel, B.F.; Yú, S.; Postnikova, E.N.; Cubitt, B.; DeWald, L.E.; Radoshitzky, S.R.; Bollinger, L.; Jahrling, P.B.; et al. Recombinant Lassa virus expressing green fluorescent protein as a tool for high-throughput drug screens and neutralizing antibody assays. Viruses 2018, 10, 655. [Google Scholar] [CrossRef]
- Baumgartner, R.; Walloschek, M.; Kralik, M.; Gotschlich, A.; Tasler, S.; Mies, J.; Leban, J. Dual binding mode of a novel series of DHODH inhibitors. J. Med. Chem. 2006, 49, 1239–1247. [Google Scholar] [CrossRef]
- Leban, J.; Kralik, M.; Mies, J.; Gassen, M.; Tentschert, K.; Baumgartner, R. SAR, species specificity, and cellular activity of cyclopentene dicarboxylic acid amides as DHODH inhibitors. Bioorganic Med. Chem. Lett. 2005, 15, 4854–4857. [Google Scholar] [CrossRef]
- Battegay, M. Quantifizierung des Lympho-Choriomeningitis-Virus mit einer immunologischen Fokustechnik in 24- oder 96-Loch-Platten. ALTEX 1993, 10, 6–14. [Google Scholar]
- Perez, M.; de la Torre, J.C. Characterization of the genomic promoter of the prototypic arenavirus lymphocytic choriomeningitis virus. J. Virol. 2003, 77, 1184–1194. [Google Scholar] [CrossRef]
- Capul, A.A.; de la Torre, J.C. A cell-based luciferase assay amenable to high-throughput screening of inhibitors of arenavirus budding. Virology 2008, 382, 107–114. [Google Scholar] [CrossRef]
- Jahrling, P.B.; Keith, L.; St Claire, M.; Johnson, R.F.; Bollinger, L.; Lackemeyer, M.G.; Hensley, L.E.; Kindrachuk, J.; Kuhn, J.H. The NIAID Integrated Research Facility at Frederick, Maryland: A unique international resource to facilitate medical countermeasure development for BSL-4 pathogens. Pathog. Dis. 2014, 71, 213–219. [Google Scholar] [CrossRef] [PubMed]
- Janosko, K.; Holbrook, M.R.; Adams, R.; Barr, J.; Bollinger, L.; Newton, J.T.; Ntiforo, C.; Coe, L.; Wada, J.; Pusl, D.; et al. Safety precautions and operating procedures in an (A)BSL-4 laboratory: 1. biosafety level 4 suit laboratory suite entry and exit procedures. J. Vis. Exp. 2016, 116, e52317. [Google Scholar] [CrossRef]
- Mazur, S.; Holbrook, M.R.; Burdette, T.; Joselyn, N.; Barr, J.; Pusl, D.; Bollinger, L.; Coe, L.; Jahrling, P.B.; Lackemeyer, M.G.; et al. Safety precautions and operating procedures in an (A)BSL-4 laboratory: 2. general practices. J. Vis. Exp. 2016, 116, e53600. [Google Scholar] [CrossRef] [PubMed]
- Chen, S.-F.; Ruben, R.L.; Dexter, D.L. Mechanism of action of the novel anticancer agent 6-fluoro-2-(2′-fluoro-1,1′-biphenyl-4-yl)-3-methyl-4-quinolinecarbo xylic acid sodium salt (NSC 368390): Inhibition of De Novo pyrimidine nucleotide biosynthesis. Cancer Res. 1986, 46, 5014–5019. [Google Scholar] [PubMed]
- Peters, G.J.; Schwartsmann, G.; Nadal, J.C.; Laurensse, E.J.; van Groeningen, C.J.; van der Vijgh, W.J.F.; Pinedo, H.M. In Vivo inhibition of the pyrimidine De Novo enzyme dihydroorotic acid dehydrogenase by brequinar sodium (DUP-785; NSC 368390) in mice and patients. Cancer Res. 1990, 50, 4644–4649. [Google Scholar] [PubMed]
- Peters, G.J. Re-evaluation of brequinar sodium, a dihydroorotate dehydrogenase inhibitor. Nucleosides Nucleotides Nucleic Acids 2018, 37, 666–678. [Google Scholar] [CrossRef]
- Ngo, N.; Henthorn, K.S.; Cisneros, M.I.; Cubitt, B.; Iwasaki, M.; de la Torre, J.C.; Lama, J. Identification and mechanism of action of a novel small-molecule inhibitor of arenavirus multiplication. J. Virol. 2015, 89, 10924–10933. [Google Scholar] [CrossRef]
- Lucas-Hourani, M.; Dauzonne, D.; Jorda, P.; Cousin, G.; Lupan, A.; Helynck, O.; Caignard, G.; Janvier, G.; André-Leroux, G.; Khiar, S.; et al. Inhibition of pyrimidine biosynthesis pathway suppresses viral growth through innate immunity. PLoS Pathog. 2013, 9, e1003678. [Google Scholar] [CrossRef]
- Chung, D.-H.; Golden, J.E.; Adcock, R.S.; Schroeder, C.E.; Chu, Y.-K.; Sotsky, J.B.; Cramer, D.E.; Chilton, P.M.; Song, C.; Anantpadma, M.; et al. Discovery of a broad-spectrum antiviral compound that inhibits pyrimidine biosynthesis and establishes a type 1 interferon-independent antiviral state. Antimicrob. Agents Chemother. 2016, 60, 4552–4562. [Google Scholar] [CrossRef]
- Sullivan, B.M.; Emonet, S.F.; Welch, M.J.; Lee, A.M.; Campbell, K.P.; de la Torre, J.C.; Oldstone, M.B. Point mutation in the glycoprotein of lymphocytic choriomeningitis virus is necessary for receptor binding, dendritic cell infection, and long-term persistence. Proc. Natl. Acad. Sci. USA 2011, 108, 2969–2974. [Google Scholar] [CrossRef]
- Pythoud, C.; Rodrigo, W.W.; Pasqual, G.; Rothenberger, S.; Martínez-Sobrido, L.; de la Torre, J.C.; Kunz, S. Arenavirus nucleoprotein targets interferon regulatory factor-activating kinase IKKε. J. Virol. 2012, 86, 7728–7738. [Google Scholar] [CrossRef] [PubMed]
- Cheung, N.N.; Lai, K.K.; Dai, J.; Kok, K.H.; Chen, H.; Chan, K.-H.; Yuen, K.-Y.; Kao, R.Y.T. Broad-spectrum inhibition of common respiratory RNA viruses by a pyrimidine synthesis inhibitor with involvement of the host antiviral response. J. Gen. Virol. 2017, 98, 946–954. [Google Scholar] [CrossRef] [PubMed]
- Davis, I.C.; Lazarowski, E.R.; Chen, F.-P.; Hickman-Davis, J.M.; Sullender, W.M.; Matalon, S. Post-infection A77-1726 blocks pathophysiologic sequelae of respiratory syncytial virus infection. Am. J. Respir. Cell Mol. Biol. 2007, 37, 379–386. [Google Scholar] [CrossRef] [PubMed]
- Deans, R.M.; Morgens, D.W.; Ökesli, A.; Pillay, S.; Horlbeck, M.A.; Kampmann, M.; Gilbert, L.A.; Li, A.; Mateo, R.; Smith, M.; et al. Parallel shRNA and CRISPR-Cas9 screens enable antiviral drug target identification. Nat. Chem. Biol. 2016, 12, 361–366. [Google Scholar] [CrossRef]









© 2020 by the authors. Licensee MDPI, Basel, Switzerland. This article is an open access article distributed under the terms and conditions of the Creative Commons Attribution (CC BY) license (http://creativecommons.org/licenses/by/4.0/).
Share and Cite
Kim, Y.-J.; Cubitt, B.; Cai, Y.; Kuhn, J.H.; Vitt, D.; Kohlhof, H.; de la Torre, J.C. Novel Dihydroorotate Dehydrogenase Inhibitors with Potent Interferon-Independent Antiviral Activity against Mammarenaviruses In Vitro. Viruses 2020, 12, 821. https://doi.org/10.3390/v12080821
Kim Y-J, Cubitt B, Cai Y, Kuhn JH, Vitt D, Kohlhof H, de la Torre JC. Novel Dihydroorotate Dehydrogenase Inhibitors with Potent Interferon-Independent Antiviral Activity against Mammarenaviruses In Vitro. Viruses. 2020; 12(8):821. https://doi.org/10.3390/v12080821
Chicago/Turabian StyleKim, Yu-Jin, Beatrice Cubitt, Yingyun Cai, Jens H. Kuhn, Daniel Vitt, Hella Kohlhof, and Juan C. de la Torre. 2020. "Novel Dihydroorotate Dehydrogenase Inhibitors with Potent Interferon-Independent Antiviral Activity against Mammarenaviruses In Vitro" Viruses 12, no. 8: 821. https://doi.org/10.3390/v12080821
APA StyleKim, Y.-J., Cubitt, B., Cai, Y., Kuhn, J. H., Vitt, D., Kohlhof, H., & de la Torre, J. C. (2020). Novel Dihydroorotate Dehydrogenase Inhibitors with Potent Interferon-Independent Antiviral Activity against Mammarenaviruses In Vitro. Viruses, 12(8), 821. https://doi.org/10.3390/v12080821

