Abstract
Management of forest genetic resources requires experimental data related to the genetic variation of the species and populations under different climatic conditions. Foresters also demand to know how the main selective drivers will influence the adaptability of the genetic resources. To assess the inter- and intraspecific variation and plasticity in seedling drought tolerance at a relevant genetic resource management scale, we tested the changes in growth and biomass allocation of seedlings of Pinus oocarpa, P. patula and P. pseudostrobus under two contrasting watering regimes. We found general significant intraspecific variation and intraspecific differences in plasticity, since both population and watering by population interaction were significant for all three species. All the species and populations share a common general avoidance mechanism (allometric adjustment of shoot/root biomass). However, the intraspecific variation and differences in phenotypic plasticity among populations modify the adaptation strategies of the species to drought. Some of the differences are related to the climatic conditions of the location of origin. We confirmed that even at reduced geographical scales, Mexican pines present differences in the response to water stress. The differences among species and populations are relevant in afforestation programs as well as in genetic conservation activities.
1. Introduction
In the last decades, there has been an increasing concern about the consequences of climate change on the future distribution and productivity of forest species. Many forest areas have experienced a decrease in rainfall and a subsequent increase in drought severity. In particular, Mexico will experience, on average, an increase of 1.5 °C in mean annual temperature, and a decrease of 6.7% in annual precipitation by 2030 [1]. This is already posing practical problems in the management of many forest tree species, derived from the shifts in species distribution [2], and the future requirements in terms of adaptation and productivity.
We are far from having enough experimental data to address important aspects related to the adaptability, i.e., the potential or ability of a population to adapt to changes in environmental conditions through changes in its genetic structure [3]. For example we lack information about the roles of genetic variation, phenotypic plasticity [4], and of phenotype changes derived from the trade-offs among life-history traits, among others [5]. This information is essential at scales that are meaningful for forest management (i.e., at forest or forest-landscape scales), as it is necessary to make decisions when selecting the species and the basic material to use in afforestation and restoration programs (e.g., local vs. non-local), or to suggest changes in silvicultural systems (e.g., regeneration methods, selection of parent trees) to increase forest resilience. Therefore, the evaluation of local genetic resources at fine scales is essential for the management of local genetic resources, complementing information at larger scales.
Low water availability has been identified, particularly in conifers, as one of the major abiotic stressors, conducive to stomatal closure, reduced photosynthesis and death due to carbon starvation [6]. Tolerance to low water availability is an important selective factor, involving quite different traits, such as rooting depth, transpiration area of leaves and shoots, and size and number of shoots [7]. There are, therefore, important adaptive differences in the response at different levels, from species to individuals [8,9].
Intra-specific genetic variation is crucial in forest trees species, which must endure both abiotic and biotic stressors for long periods of time [10]. Particularly, it is necessary to develop management options for the genetic resources of target species, and to determine if genotypes would be able to grow efficiently under future stressful conditions. However, testing drought-tolerant genotypes amongst mature trees growing in the field is cumbersome, due to the previously mentioned complexity of plant responses to drought and the lack of control of watering treatments [11]. An alternative approach is to develop controlled experimental conditions to test genotypes at early stages [12]. Early developmental stages in plants are the most critical in the survival of forest trees, and are related to the future adaptability of the species [13] depending on the genetic intraspecific variation in these genetic traits. Evaluating morphological and physiological changes in response to low water availability at early ages is a recognized way to know their adaptive responses (i.e., leaf water potential and gas exchange [14] and changes in growth and survival [15]). Inter- and intraspecific variations among populations of different pines species, when cultivated under contrasting water availability, reveal high population divergence for phenotypic changes and marked allocational shifts, a plastic response [16]. Moreover, different works have addressed some of the features involved in the growth process that can skew the results of early testing in plants, e.g., pot size, water quality and salinity [17,18].
Pinus is the largest genus of the Pinaceae family, with 114 species widely distributed in the Northern Hemisphere [19]. Mexico presents the highest specific diversity (46 species), with contrasting geographical and intraspecific genetic patterns, as a result of adaptive responses to climate changes in the past [20]. Among them, Pinus oocarpa Schiede ex Schltdl., P. patula Schiede ex Schltdl. & Cham. and P. pseudostrobus Lindl. are three economically important Mexican pines, used in highly productive forest plantations established in the tropics and subtropics [21]. These pines occupy diverse habitats in the country, and present a variety of ecological roles and life histories. Specifically, the Trans-Mexican Volcanic Belt (TMVB) covers a wide range of environments differing in altitude, precipitation, temperature and soil. Thus, the Volcanic Belt constitutes a good model area to check for intraspecific differences in growth and performance to drought stress in Mexican pines, as a way to improve our recommendations for the management of genetic resources under climate change scenarios.
The objective of this study was to assess the inter- and intraspecific genetic variation in seedling drought tolerance in Pinus oocarpa, P. patula and P. pseudostrobus from the TMVB. We tested the seedlings under two contrasted controlled watering regimes and we measured different adaptive morphological and allocation traits. Our hypotheses were that at a fine geographical scale: (i) both seedling growth and biomass are affected by low water availability, a potential adaptive response and (ii) these responses differ due to species intraspecific variation.
This information is essential to implement breeding and conservation programs under climate change scenarios.
2. Materials and Methods
2.1. Plant Material
The natural distribution of the study species covers small and large areas throughout the north, center and south of Mexico. Pinus oocarpa (OC) and P. pseudostrobus (PS) are usually found in fragmented mixed stands, while P. patula (PA) occurs in pure stands. We sampled populations of the three species from the TMVB. The number of sampling sites (populations) was different for each species (Figure 1 and Table 1): P. oocarpa, two populations (OC01, OC02), P. patula, 10 populations (PA01, PA02, PA03, PA04, PA06, PA07, PA08, PA09, PA11, PA12), and P. pseudostrobus, five populations (PS01 to PS05). Seedlots were either samples provided by academic institutions (15 out of 17 samples) or commercial seedlots provided by a private seed supplier (two out of 17), and were composed of seeds from at least 20 mother trees per population. The sampling for P. oocarpa was limited to areas where the taxonomic identification of the species was clear, to avoid biases in the comparisons. This is particularly important in the eastern area of the study, where three new species have been recently described but assigned to P. oocarpa by the National Forest Inventory.
Figure 1.
Location of sampled populations and distribution range of the species [19] for Pinus oocarpa, P. patula and P. pseudostrobus.
Table 1.
Location and general characteristics of the Pinus spp. populations sampled in Mexico.
2.2. Experiment Description and Experimental Design
Three hundred seeds per population were sown in trays containing moistened rock wool and covered with plastic film (see Appendix A for details in the experimental set-up). Trays were placed inside a germination chamber at 25 ± 1 °C, 60 ± 5% relative humidity and an eight-hour photoperiod. The germination was recorded three times a week and then used to calculate the germination curve parameters (total germination in %, speed) based on a sample of 60 seeds per population. Germination for the three species started at three days. P. oocarpa and P. pseudostrobus had a higher germination rate than P. patula (Supplementary information Figure S1).
We transplanted 50 seedlings into individual plastic containers, except for three P. patula populations (PA02, PA07 and PA08) that had a low germination rate, for which we transplanted, respectively, 38, 26 and 35 seeds. The total number of seedlings used was 786. We used individual plastic containers with a mixture of peat moss and vermiculite substrate (3:1 v/v) whose size was big enough (250 cm3) to avoid root restriction, given the short duration of the experiment [17]. The trial was established in a greenhouse under controlled conditions (Appendix A). The trial was set up with a randomized complete block design, with five seedlings per experimental unit, and five blocks in each of the two watering treatments. Seedlings were maintained in a slow-growth phase over 135 days from November to March to allow the material to harden. Then plants were cultivated in a normal-growing phase (April to June). Fifty seedlings per population were submitted to two watering treatments during 90 days (25 seedlings per watering regime): Field Capacity (FC) and Drought-Stress (DS). For those populations with lower seed germination rate we set an equal number of seedlings per treatment (PA02, PA07 and PA08). The watering regimes were based on the mean saturation level of the substrate: 90–100% on FC and 35–45% on DS treatments. We determined the amount of water for each watering event every two days by weighing plants randomly chosen from each treatment.
2.3. Variables Measured
We periodically recorded the survival, height (mm) and ontogenetic stage of all seedlings [16]. Species were in the epicotyl elongation and formation of axillary buds phase at the beginning of the experimental phase, and had dwarf shoots by the end of it (Appendix A). We obtained the height growth increment (HG in mm) during the watering experiment as the difference between height at the beginning and the end of the watering experiment (Ht-H0). At the end of the experiment (90 days of watering treatment, 225 days old), all plants were harvested and partitioned in roots, stems, and leaves. They were dried (65 °C/72 h) and weighed (g, ±0.01) [23] to assess total dry mass (TDM in mg) and that of its components: roots, stems and needles (RDM, SDM, and NDM, respectively, in mg). The root mass fraction (RMF, root dry mass to total dry mass), stem mass fraction (SMF, stem dry mass to total dry mass) and needle mass fraction (NMF, needle dry mass to total dry mass) were also computed. The specific leaf area (SLA in cm2/g) was estimated from 10 needles randomly chosen from each plant [13].
2.4. Data Analysis
2.4.1. Seedling Survival
For seedling survival, we performed a logistic regression analysis using a maximum likelihood method:
where pik(l) is the survival probability in the ith watering regime of the kth population within the jth species; zik(j) is the logit estimation in the ith watering treatment of the kth population within the jth species; μ is the grand mean; Wi is the effect of the ith watering regime (1 to 2); Sj is the effect of the jth species (1 to 3); and Pk(j) is the effect of the kth population within the jth species (1 to 10). The WSij interaction was not included in the model due to its lack of significance.
pik(j) = 1/[1 + exp(−zik(j))]
zik(j) = log[pik(j)/(1 − pik(j))] = µ + Wi + Sj + Pk(j)
2.4.2. Mixed Model
For the other variables, we conducted an inter-species variance analysis according to the following mixed model:
where yijkl is the value of observation in the lth block of the kth population of the jth species in the ith watering treatment; μ is the general mean; Wi is the fixed effect of the ith watering treatment (1–2); Sj is the fixed effect of the jth species (1–3); WSij is the interaction fixed effect of the ith treatment with the jth species; PSk(j) is the random effect of the kth population within the jth species; BWl(i) is the random effect of the lth block (1–5) within the ith treatment; c is the lineal effect of the covariate xijkl (seedling height at the beginning of the watering regimen); and εijkl is the experimental error.
yijkl = μ + Wi + Sj + WSij + PSk(j) + BWl(i) + c xijkl + εijkl,
In order to examine the intra-species variation, a variance analysis was performed for each species, using the following model:
where yijk is the value of observation in the kth block of the jth population of the ith watering regime; μ is the general mean; Wi is the fixed effect of the ith treatment (1-2); Pj is the fixed effect of the jth population (2–10); WPij is the interaction fixed effect of ith treatment with the jth population; BWk(i) is the random effect of the kth block (1–5) within the ith treatment; c is the lineal effect of the covariate xijk (seedling height at the beginning of the watering regimen); and εijk is the experimental error.
yijk = μ + Wi + Pj + WPij + BWk(i) + c xijkl + εijk,
We analyzed the variation of dry masses and mass fractions including the initial height as a covariate to correct the bias due to differences in the initial growth [24]. Consequently, the experimental error of the models was reduced in each case.
2.4.3. Phenotypic Plasticity
For each species, we calculated the plasticity index of a trait due to drought stress effect as [25]:
where V1 is the trait mean under the FC treatment; and V2 is the trait mean under the DS treatment.
PI = (V1 − V2)/V1 × 100
In species with significant treatment x population interaction (WP), a plasticity analysis for each population was conducted, plotting the mean value trait by population on a dimensional plane where the x-axis was the drought stress treatment (DS) and the y-axis was the field capacity treatment (FC) [26].
2.4.4. Allometric Analysis
We further used allometric analysis based in log-transformed data to study the changes in root dry mass compared to the sum of stem and needle dry mass. Differences between the two watering regimes in slopes and intercepts for the three species with their populations were assessed by parallelism test using watering regimes [23,27].
2.4.5. Factor Analysis
In order to display the overall performance of the populations tested, we performed, for P. patula and P. pseudostrobus (species with more than two populations), a factor analysis using a maximum likelihood method and a Varimax rotation to maximize the variation of factor loadings and to facilitate the interpretation of the factors. We used variables with highly significant differences in the watering treatment (model 1): HG, RDM, SDM, SMF and SLA. A Biplot using the values of the factors for the FC and DS treatments was considered for each population. A correlation coefficient was computed for the mean values of the populations of the two axes, the plasticity (differences among FC/DS treatments), and the altitude and rainfall.
All the statistical analyses were performed using SAS software (SAS Institute, Cary, NC, USA) [28].
2.5. Data Access
The data are to be stored in the Zenodo repository, and DOIs are being provided for the various datasets in the Supplementary Material section.
3. Results
3.1. Response to Watering Regimes
Water stress treatment significantly affected species survival, irrespective of seed origin (Table S1). Mortality (from the beginning to the end of the drought experiment) ranged from 30% for Pinus oocarpa to 4% for P. pseudostrobus, with P. patula offering an intermediate value, 12% (Table S2).
Watering produced significant differences for all three pine species in seedling phenotypic changes (Table 2 and Table S3). Most traits, with the exception of relative biomass allocation to roots (RMF) and needle biomass (NDM), showed distinct phenotypic changes (i.e., plasticity) in response to drought, indicating the importance of the watering treatment. We also found differences in the plastic responses of the species (species by watering interactions). Moreover, data confirmed a general significant intraspecific variation and intraspecific differences in plasticity, since both population and watering x population interaction were significant for all the three species.
Table 2.
Mean squares and level of significance 1 in the inter-specific analysis estimated for all species for different functional traits in three Mexican pines.
3.2. Allocation Patterns
Overall, regression models between root dry mass with stem plus needles dry mass, representing relative allocation to roots, had a positive relationship with low watering regime. For FC and DS, regression lines did not share a common trajectory (p < 0.0001) for all three species. However, intercepts were different for P. patula and P. pseudostrobus (p < 0.0001) but not for P. oocarpa (p = 0.344) (Figure 2, Table S4).
Figure 2.
Allometric regression between RDM with SDM + NDM for field capacity (FC) and drought-stress (DS) regimes: (a) P. oocarpa, (b) P. patula and (c) P. pseudostrobus. Solid lines, filled symbols and R2 are for FC treatment while dotted lines, empty symbols and italics R2 are for DS treatment.
3.3. Intraspecific Variation
Height growth increment significantly varied with watering treatment for all study species, the extent of the change significantly varying for P. patula and P. pseudostrobus populations, but not for P. oocarpa’s (Table 3). The more plastic traits were related to height growth increment, stem and needle biomass and specific leaf area (Table 4).
Table 3.
Mean squares and level of significance 1 in the intra-specific analysis per species for different functional traits in three Mexican pines.
Table 4.
Plasticity Index of the traits under the drought stress treatment at the species level in three Mexican pines (only variables with a Watering significant effect are included).
We found differences among populations in many of the analyzed traits, especially those related to the biomass components, but not for allocation fractions: stem and total biomass in Pinus oocarpa, height growth increment, total biomass and biomass components and specific leaf area in P. patula, and all the traits except stem biomass in P. pseudostrobus. For many of those traits that showed a significant population effect, significant differences in population phenotypic plasticity were detected, indicating differences among species and populations in response to drought, e.g., population phenotypic changes in stem and needle biomass in Pinus oocarpa and P. patula, or biomass allocation and specific leaf area in P. pseudostrobus.
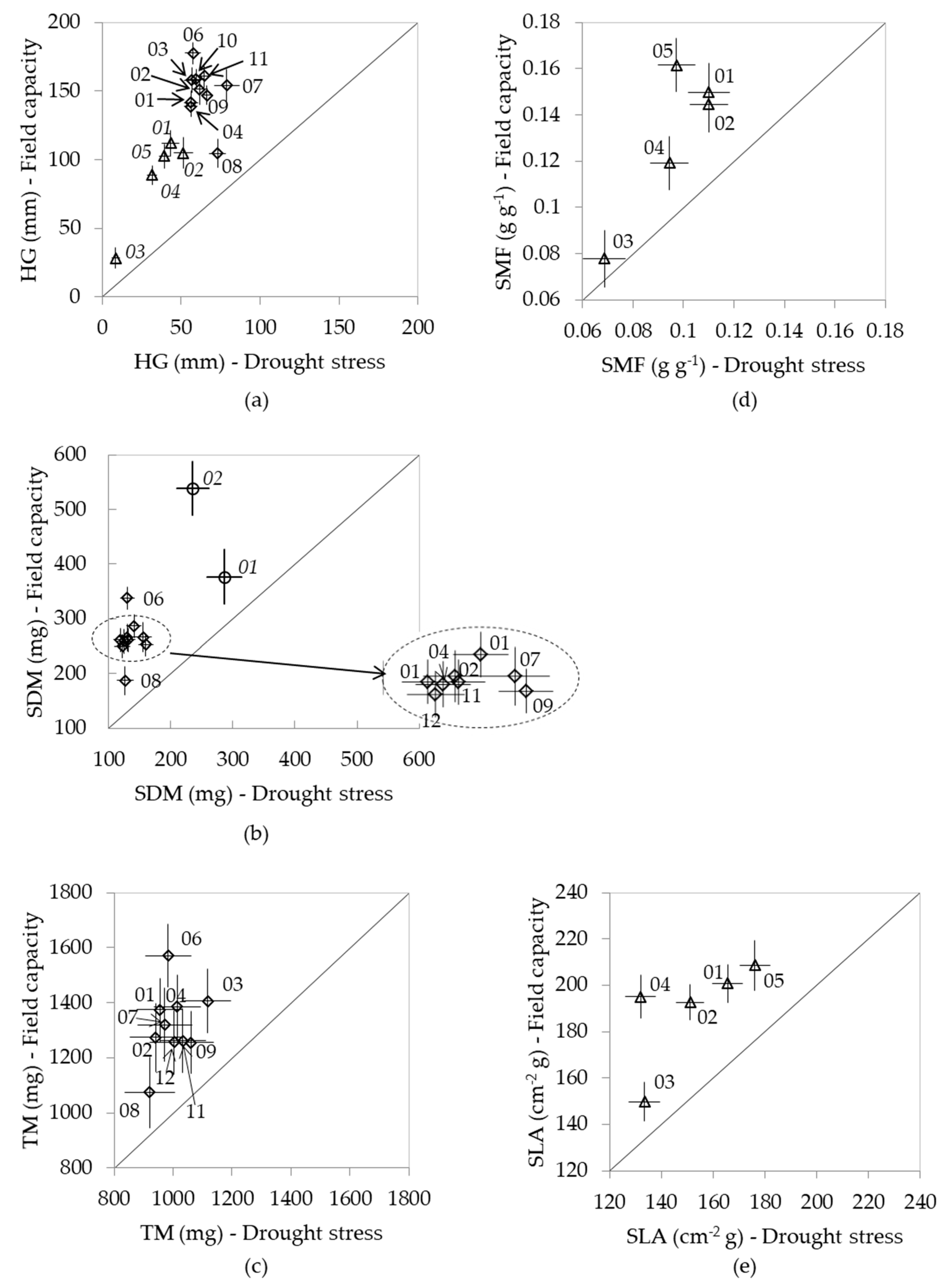
The patterns of phenotypic plasticity among populations were quite contrasting depending on the trait (Figure 3). The height growth increment showed sharp differences in phenotypic plasticity for two of the species (P. patula and P. pseudostrobus), with a higher variation for the first species. It is interesting to notice that for SDM (Figure 3b), Pinus patula populations were quite homogeneous in allocating biomass to stems despite the differences in height, while the two P. oocarpa populations had quite different patterns. P. pseudostrobus populations showed differences in phenotypic plasticity for SMF and SLA, with populations PS05 and PS04 being the most interactive for the two traits (Figure 3d,e).
Figure 3.
Analysis of plasticity by species for growth variables and biomass components with significant response to watering treatment in (a) HG: height growth increment; (b) SDM: stem dry mass; (c) TDM: total dry mass; (d) SMF: stem mass fraction; and (e) SLA: specific leaf area (P. oocarpa = ○, P. patula = ◊ and P. pseudostrobus = Δ). Bars indicate the standard errors in the two treatments.
3.4. Phenotypic Variation of the Mexican Species Under Full Capacity and Drought Stress Treatments
The two first factors explained 86.09% of the total variation, with the first factor (PC1), related to stem growth and SLA, explaining 59.85% of the total variation, and the second factor, related to root and stem dry biomass, explaining 26.24% of it (Table S5). The two treatments clearly differed, all populations analyzed showing a similar pattern, mainly due to an increment in stem mass under the full capacity treatment, although they differed either in the extent of the variation or in the allocation pattern (expressed in the two axes). The differences were higher for Pinus patula than for P. pseudostrobus. P. pseudostrobus populations showed a similar performance, PS03 and PS04 behaving similarly under the two treatments (Figure S2). Pinus patula showed a significant correlation (r = 0.634 *) between rainfall of the origin and plasticity in PC2 (Figure 4a). In the case of Pinus pseudostrobus, the value was significant (r = 0.823 *) in the case of PC2 (Figure 4b).
Figure 4.
Relationships among rainfall (MAP, data from Table 1) with (a) plasticity of Principal Component 2 for P. patula (
); and (b) mean of Principal Component 2 for P. pseudostrobus(
).
); and (b) mean of Principal Component 2 for P. pseudostrobus(
).
4. Discussion
This paper evaluates the variation in growth and biomass allocation in seedlings of three Mexican pines grown under two contrasting watering regimes. The results showed inter- and intraspecific variation in seedling drought tolerance, which confirms our hypothesis that the watering regime had a significant effect in phenotypic changes for plants of Pinus oocarpa, P. patula and P. pseudostrobus. All species and populations shared a common general avoidance mechanism (increasing water uptake and reducing water loss [29]) in relation to changes in their allocation patterns, but the intraspecific variation and differences in phenotypic plasticity among populations modified the adaptation strategies of the species to drought. The sampling scheme allowed us to detect differences among geographically close populations, with strong implications for forest management.
Our study is limited to moderately stressful experimental conditions, as we were dealing with species and populations that differ in their tolerance to water stress, but in accordance to the climatic scenarios predicted by 2030 [1]. Our results evidenced the existence of an avoidance mechanism in the face of drought stress at the seedling stage, which is the most critical in both the natural and artificial regeneration methods. The existence of watering x population interaction in many traits implies differences in the genetic responses of the populations that are important for the in situ adaptation of the species, due to the possible selection of reaction norms. Experiments under more intense water stress, that is, more stressful conditions than those predicted for the next generation, could result in hidden reaction norms, i.e., responses of the populations not described previously [30]. Another caveat of the study is that maternal environmental effects at the seedling stage significantly modulate variability in the trees growing in the stressful environment [31]. However, we minimized the impact of these effects by using the initial height as a covariate. Finally, we focused our experiment in a restricted area, using a limited number of samples (in the case of P. oocarpa, only two, to avoid biases due to taxonomic errors in the identification, see Materials and Methods). The sampled populations, however, cover the range of mean temperature and rainfall of the study area (Table 1). We addressed the level and patterns of variation of close-together populations in the same region as a means to infer genetic resources management recommendations in the study area. We are not able, however, to provide estimates of the level of genetic variation of the species, which is largely dependent on the sampling scheme.
The adjustment to drought stress treatment in the Mexican pines analyzed mainly involved allometric changes by reduction of aerial biomass, although it is interesting to point out that root allocation was not significantly affected, and neither was needle dry biomass. Seedling allometric changes, linked to low water availability in the soil [32], are associated to particular physiological processes, including changes in photosynthetic and transpirational capacities, that depend on the level of stress [6]. A reduction in SLA, an important functional trait related to leaf assimilation capacity [33], was also observed. Such reduction in SLA under water-stress conditions has been repeatedly reported in seedling experiments (e.g., P. canariensis [34], P. halepensis [35]), under similar experimental conditions. SLA changes were due to shifts in the watering regime [36], and seedlings from drought-tolerant seed sources showed greater reductions in needle size, area per needle and stomata per needle than seedlings from non-tolerant sources [37].
The three species analyzed did not behave similarly, and presented significant differences in the level of intraspecific variation and phenotypic plasticity under water stress treatment. P. oocarpa showed the highest mortality, growth reduction and needle biomass fraction increment. P. oocarpa seemed the least tolerant to water stress, while P. pseudostrobus was the most tolerant. The climatic information from the sampled populations (and from the species in the area of study) is not exactly coherent with this behavior, since P. oocarpa lives under higher annual temperatures (18.8 °C) and rainfall (1205 mm) than the other two species (14.3 °C and 982 mm for P. patula, and 12.6 °C and 1145 mm for P. pseudostrobus). Therefore, climatic data (temperature and rainfall) cannot be solely relied upon in predicting drought tolerance in forest species, especially when dealing with populations from a restricted area, where other factors and climatic variables could have shaped local adaptation, determining the behavior of each species [38,39,40].
For the three species, several patterns have been described for the relationship between the ecological conditions and the performance in field or in greenhouse experiments of the species, indicating that these relationships depend both on the species and the experimental conditions (sampled material and site). In many cases there is a maximum (or minimum) of the performance at a given ecological (rainfall, altitude) value. For P. oocarpa seedlings, the occurrence of a seedling stage was high whenever the rainfall at the seed origin was less than 1250 mm. The ability to form a lignotuber (storage root typical from seedling-stage pines) is probably an adaptation to dry, fire-frequented environments [41]. Height growth was related to the altitude, rainfall and dry season of the seed origin [41], and the greatest growth would occur in populations originating from 1255 m a.s.l., with populations from either lower or higher altitudes having a lower growth [42]. Pinus patula provenances from lower altitudes showed higher growth and a larger number of shoots cycles than provenances from higher altitudes [43,44]. However, in a greenhouse-provenance trial, seedlings showed slightly higher growth potential in provenances from mid-altitude (2700 m a.s.l.) than those provenances originated in altitudinal extremes (2400 and 3000 m a.s.l.) [45]. Pinus pseudostrobus populations from lower altitudes (2300–2400 m a.s.l.) presented poorer health than populations from intermediate altitudes (2700 m a.s.l.), and those populations from altitudinal extremes (2300 and 2900 m a.s.l.) presented the lowest percentages of germination, while the highest germination rate corresponded to 2700 m a.s.l. [46].
Intraspecific variation will influence the strategies of the species at two main levels: genetic variation and differences in the plastic response of the populations. The three species showed significant levels of intraspecific variation within the sampled area, with P. oocarpa, for which only two populations were sampled, having a largest level of genetic variation, the two populations differing in phenotypic plasticity in response to drought stress. It has been reported that populations from low altitudes tend to show higher growth potential than trees from populations originating at higher altitudes [42], and that populations from altitudes of origin above 1000 m a.s.l. are less drought-tolerant than those of below 1000 m a.s.l. [47]. It is quite likely that populations (and species) from low altitudes have a more conservative growth strategy, related to the avoidance of drought stress [9,48]. However, at our sampling scale, the population from the high altitude (OC02) was more tolerant to drought stress, as indicated by its lower mortality, and its better stem biomass adjustment under our two watering regimes.
Pinus patula populations showed a significant among-population variation in most of the traits related to stem growth and SLA, and they also differed in levels of phenotypic plasticity for those traits, although not for SLA. It has been reported that P. patula provenances from lower altitudes have a higher growth [43]. In our study, there is a correlation among seed origin rainfall and the mean value of the first factor (r = 0.65), related to stem mass fraction, and SLA and the plasticity in the second factor (r = 0.63), related to root and stem dry biomass, indicating that even at local scales there is an adaptive pattern to climate of the integrated phenotypes.
P. pseudostrobus also showed intraspecific differences in traits related to stem biomass, and SLA, but also significant differences in phenotypic plasticity among populations. We found a correlation of the mean value of the populations in the factor 2 (r = 0.82 *) related to root and stem dry biomass. The low sampling size (5 populations), could influence the lack of significance of the factor 1 (r = 0.65 ns) and the plasticity of the factor 2 (r = 0.68 ns). The linear relationships described in this study can also be caused by the sampling area, as we cannot discard a more complex performance (as the ones described in the studies previously mentioned), when expanding the study area. It is interesting to notice that populations from western Mexico did not have significant genotype-environment interaction [49,50], when tested in close-by test sites. Therefore, estimating intraspecific differences in terms of adaptability at local scales will require an estimate of among-population genetic differences in terms of genetic phenotypic plasticity [51] in a larger number of populations.
The implications for forest genetic resources management are related to the natural and artificial regeneration of the species and conservation of genetic resources. In the TMVB, the populations of the species differ in adaptability to drought stress, and our ability to predict the responses requires a sufficient sample size, that is, at spatial scales significant for forest management we can detect differences in genetic variation and patterns of performance related to the climate of origin. In the case of P. oocarpa, even two very close populations performed differently and, for the other two species, the existence of intraspecific variation (population and drought-by-population interaction) justifies the use of local material in afforestation programs [52]. More productive allochthonous basic materials could be used in the region, ensuring that native populations were not introgressed with this potentially non-adapted material [53]. This study also shows the importance of the area for the genetic conservation of the species, as some conservation units can be selected having differential value in terms of adaptation for the future climatic conditions [54]. Also, our results show that, at early developmental stages, genetic differences in survival are important, depending on the species, and therefore silvicultural treatments must be taken into consideration to favor different biomass allocation (e.g., by reducing competition or light) [55]. Managing the genetic resources within a region, therefore, needs not only information at the species level, but a more precise information about major variation patterns of their populations, as the effects will affect the future adaptation and performance of the species in the area considered.
5. Conclusions
We confirmed that even at reduced geographical scales, Mexican pines present differences in the response to water stress. The responses differed among species, including the allometric phenotypic changes in biomass allocation (plasticity), the genetic differences among populations, and the differences in phenotypic plasticity among populations. Testing three different species that presented differences in water stress tolerance, allowed us to detect different strategies of avoidance (mainly changes in allometry, but also changes in needle structure for some of the populations), and some patterns of species response. These differences are relevant not only in afforestation programs, but also in genetic conservation activities.
Supplementary Materials
The following are available online at http://www.mdpi.com/1999-4907/9/2/71/s1: Table S1, Analysis of survival in the drought experiment for the three species. Table S2, Values of survival and ontogenic stages recorded per population. Table S3, Mean (± standard errors) for growth variables and biomass fractions for the two watering treatments (FC/DS). Table S4, Analysis of unequal slope and intercept estimated among watering regimes by species. Table S5, Percentage of the total variance explained by components and weights obtained among their variables. Figure S1, Germination speeds for P. oocarpa (OC), P. patula (PA) and P. pseudostrobus (PS) and among their populations (OC01-02; PA01-04, 06-09, 11-12; PS01-05). Figure S2, Biplot off the variables (X) and populations on the plane defined by the two Principal Components, for P. patula (
) and P. pseudostrobus (
). Filled symbols and population’s number represent FC treatment, while empty symbols and underlined population’s number represent DS treatment. Also, the database of the four Pines species is available at: https://doi.org/10.5281/zenodo.1162044.
) and P. pseudostrobus (
). Filled symbols and population’s number represent FC treatment, while empty symbols and underlined population’s number represent DS treatment. Also, the database of the four Pines species is available at: https://doi.org/10.5281/zenodo.1162044.Acknowledgments
We are grateful to F. del Caño and S. Sansegundo for technical support during the drought stress treatment, and to O. Trejo, J.O. Romero, A. López and H.J. Muñoz for seed supply. We acknowledge funding from the Spanish National Research Plan (RTA2017-00063-C04-01, AGL2015-68274-C3) and AEG 17-041 (financed by FEADER -75%- and MAPAMA -25%- to implement the National Program for Rural Development). A.F. was supported by a grant from the Mexico’s National Council for Science and Technology (CONACyT) and National Institute for Forestry, Agricultural and Livestock Research (INIFAP). We also thank P.C. Grant, the professional in English grammar and style, who has revised the manuscript.
Author Contributions
A.F. and R.A. conceived and designed the experiments; A.F. performed the experiments; A.F., J.C., V.P. and R.A. analyzed the data; J.L.-U. contributed materials; A.F., J.L., J.C., V.P. and R.A. wrote the paper.
Conflicts of Interest
The authors declare no conflict of interest.
Appendix A
Experimental Details
Germination: Three hundred seeds per population were soaked in hydrogen peroxide (H2O2, 1:5 v/v) for 15 min, then rinsed twice and soaked in distilled water for 24 h. Seeds were then sown in trays containing moistened rock wool and covered with plastic film. Trays were placed inside a germination chamber at 25 ± 1 °C and 60 ± 5% relative humidity and 8-h photoperiod. The germination was recorded three times a week and then used to calculate the germination curve parameters (total germination in %, speed) based on a sample of 60 seeds per population. Germination for three species started at 3 days, P. oocarpa and P. pseudostrobus having a higher germination rate than P. patula.
Container characteristics: Fifty seedlings from each population were transplanted into individual plastic containers, except from P. patula populations (PA02, PA07 and PA08), which had a low germination rate. We used 250 cm3 individual plastic containers with a mixture of peat moss and vermiculite substrate (3:1 v/v). All the containers were equally filled. This container size was big enough to avoid root restriction, given the short duration of the experiment [17].
Experiment design: The seedlings were installed in a greenhouse with temperature control (see next section for details). Plants were arranged in a randomized complete block design, with 5 seedlings per block, and 5 blocks in each of the two watering treatments (25 seedlings per treatment). Two different growing phases were established to hasten ontogenetic changes, differing in temperature and photoperiod. Seedlings were maintained in a slow-growth phase over 135 days from November to March (8 ± 2 °C and 60 ± 5% relative humidity), and then cultivated in a normal-growing phase from April to June (24 ± 2 °C and 80 ± 5% relative humidity). Both growth phases were implemented at the greenhouse. During this second growing phase, seedlings were submitted to two watering treatments during 90 days.
Greenhouse controlled conditions: See Table A1.
Table A1.
Phases and greenhouse conditions for species studied.
Table A1.
Phases and greenhouse conditions for species studied.
| Slow-Growth Phase | Normal-Growth Phase | |
|---|---|---|
| Duration | 135 days, November-March | 90 days, April to June |
| Position of the trays with respect to the solar angle | west to east | west to east |
| Temperature | 8 ± 2 °C | 24 ± 2 °C |
| Photoperiod | Short days | Long days |
| Irrigation system | misting nozzle | misting nozzle |
| Watering amount | Full capacity | Two watering regimes |
| Relative humidity | 60 ± 5% | 80 ± 5% |
| Heat shield | 40–50% reflecting radiant heat | 40–50% reflecting radiant heat |
| Fertilization | Peter’s 20-20-20 -N-P-K | Peter’s 20-20-20 -N-P-K |
Watering was determined by weighing every second day 25 pots randomly chosen from each treatment (50 in the first phase). The two watering regimes were established based on the mean saturation level of the substrate: 90–100% on FC and 35–45% on DS treatments.
References
- Sáenz-Romero, C.; Rehfeldt, G.E.; Crookston, N.L.; Duval, P.; St-Amant, R.; Beaulieu, J.; Richardson, B.A. Spline models of contemporary, 2030, 2060 and 2090 climates for Mexico and their use in understanding climate-change impacts on the vegetation. Clim. Chang. 2010, 102, 595–623. [Google Scholar] [CrossRef]
- Thuiller, W.; Lavorel, S.; Araujo, M.B.; Sykes, M.T.; Prentice, I.C. Climate change threats to plant diversity in Europe. Proc. Natl. Acad. Sci. USA 2005, 102, 8245–8250. [Google Scholar] [CrossRef] [PubMed]
- Hubert, J.; Cottrell, J. The Role of Forest Genetic Resources in Helping British Forests; Forestry Commission: Edinburgh, UK, 2007. [Google Scholar]
- Chevin, L.-M.; Lande, R.; Mace, G.M. Adaptation, plasticity, and extinction in a changing environment: Towards a predictive theory. PLoS Biol. 2010, 8, e1000357. [Google Scholar] [CrossRef] [PubMed]
- Santos-del-Blanco, L.; Alía, R.; González-Martínez, S.C.; Sampedro, L.; Lario, F.; Climent, J. Correlated genetic effects on reproduction define a domestication syndrome in a forest tree. Evol. Appl. 2015, 8, 403–410. [Google Scholar] [CrossRef] [PubMed]
- Pallardy, S.G. Physiology of Woody Plants, 3rd ed.; Academic Press: San Diego, CA, USA, 2008; ISBN 978-0-12-088765-1. [Google Scholar]
- Stebbins, G.L. Variation and Evolution in Plants, 2nd ed.; Columbia University Press: New York, NY, USA, 1950; ISBN 0069-6285. [Google Scholar]
- Valladares, F.; Sánchez-Gómez, D. Ecophysiological traits associated with drought in Mediterranean tree seedlings: Individual responses versus interspecific trends in eleven species. Plant Biol. 2006, 8, 688–697. [Google Scholar] [CrossRef] [PubMed]
- Barton, A.M.; Teeri, J.A. The ecology of elevational positions in plants: Drought resistance in five montane pine species in Southeastern Arizona. Am. J. Bot. 1993, 80, 15–25. [Google Scholar] [CrossRef]
- Holt, R.D. The microevolutionary consequences of climate change. Trends Ecol. Evol. 1990, 5, 311–315. [Google Scholar] [CrossRef]
- Jones, H.G. Monitoring plant and soil water status: Established and novel methods revisited and their relevance to studies of drought tolerance. J. Exp. Bot. 2007, 58, 119–130. [Google Scholar] [CrossRef] [PubMed]
- López, R.; Rodríguez-Calcerrada, J.; Gil, L. Physiological and morphological response to water deficit in seedlings of five provenances of Pinus canariensis: Potential to detect variation in drought-tolerance. Trees Struct. Funct. 2009, 23, 509–519. [Google Scholar] [CrossRef]
- Alía, R.; Chambel, R.; Notivol, E.; Climent, J.; González-Martínez, S.C. Environment-dependent microevolution in a Mediterranean pine (Pinus pinaster Aiton). BMC Evol. Biol. 2014, 14, 200. [Google Scholar] [CrossRef] [PubMed]
- Wright, S.J.; Machado, J.L.; Mulkey, S.S.; Smith, A.P. Drought acclimation among tropical forest shrubs (Psychotria, Rubiaceae). Oecologia 1992, 89, 457–463. [Google Scholar] [CrossRef] [PubMed]
- Engelbrecht, B.M.J.; Kursar, T.A. Comparative drought-resistance of seedlings of 28 species of co-occurring tropical woody plants. Oecologia 2003, 136, 383–393. [Google Scholar] [CrossRef] [PubMed]
- Chambel, M.R.; Climent, J.; Alía, R. Divergence among species and populations of Mediterranean pines in biomass allocation of seedlings grown under two watering regimes. Ann. For. Sci. 2007, 64, 87–97. [Google Scholar] [CrossRef]
- Poorter, H.; Bühler, J.; van Dusschoten, D.; Climent, J.; Postma, J.A. Pot size matters: A meta-analysis of the effects of rooting volume on plant growth. Funct. Plant Biol. 2012, 39, 839–850. [Google Scholar] [CrossRef]
- Levy, Y.; Syvertsen, J. Irrigation water quality and salinity effects in citrus trees. In Horticultural Reviews; Janick, J., Ed.; John Wiley & Sons, Inc.: Hoboken, NJ, USA, 2004; Volume 30, pp. 37–82. ISBN 0-471-35420-1. [Google Scholar]
- Farjon, A.; Filer, D. An Atlas of the World’s Conifers: An Analysis of Their Distribution, Biogeography, Diversity and Conservation Status; Brill: Leiden, The Netherlands, 2013; ISBN 978-90-04-21180-3. [Google Scholar]
- Perry, J.P. The Pines of Mexico and Central America; Timber Press, Inc.: Portland, OR, USA, 1991; ISBN 0881921742. [Google Scholar]
- Cambrón-Sandoval, V.H.; Sánchez-Vargas, N.M.; Sáenz-Romero, C.; Vargas-Hernández, J.J.; España-Boquera, M.L.; Herrerías-Diego, Y. Genetic parameters for seedling growth in Pinus pseudostrobus families under different competitive environments. New For. 2012, 44, 219–232. [Google Scholar] [CrossRef]
- Crookston, N.L. Research on Forest Climate Change: Potential Effects of Global Warming on Forests and Plant Climate Relationships in Western North America and Mexico. Available online: http://www.webcitation.org/6uJ6DepQ9 (accessed on 18 October 2017).
- Poorter, H.; Nagel, O. The role of biomass allocation in the growth response of plants to different levels of light, CO2, nutrients and water: A quantitative review. Aust. J. Plant Physiol. 2000, 27, 595–607. [Google Scholar] [CrossRef]
- South, D.; Larsen, H.S. Use of seedling size as a covariate for root growth potential studies. In 5th Biennial Southern Silvicultural Research Conference; USDA Forest Service: Memphis, TN, USA, 1988; pp. 89–93. [Google Scholar]
- Hernández-Pérez, C.; Vargas-Hernández, J.J.; Ramírez-Herrera, C.; Muñoz-Orozco, A. Variación geográfica en la respuesta a la sequía en plántulas de Pinus greggii Engelm. Rev. Cienc. For. México 2001, 26, 61–79. [Google Scholar]
- Pigliucci, M.; Schlichting, C.D. Reaction norms of Arabidopsis. IV. Relationships between plasticity and fitness. Heredity 1996, 76, 427–436. [Google Scholar] [CrossRef] [PubMed]
- Poorter, H.; Niklas, K.J.; Reich, P.B.; Oleksyn, J.; Poot, P.; Mommer, L. Biomass allocation to leaves, stems and roots: Meta-analyses of interspecific variation and environmental control. New Phytol. 2012, 193, 30–50. [Google Scholar] [CrossRef] [PubMed]
- Institute, S.A.S. SAS/GRAPH 9.1 Reference; SAS Institute: Cary, NC, USA, 2004; ISBN 1590471954. [Google Scholar]
- Poorter, L.; Markesteijn, L. Seedling traits determine drought tolerance of tropical tree species. Biotropica 2008, 40, 321–331. [Google Scholar] [CrossRef]
- Schlichting, C.D. Hidden reaction norms, cryptic variation and evolvability. Ann. N. Y. Acad. Sci. 2008, 1133, 187–203. [Google Scholar] [CrossRef] [PubMed]
- Zas, R.; Cendán, C.; Sampedro, L. Mediation of seed provisioning in the transmission of environmental maternal effects in Maritime pine (Pinus pinaster Aiton). Heredity 2013, 111, 248–255. [Google Scholar] [CrossRef] [PubMed]
- Sáenz-Romero, C.; Rehfeldt, G.E.; Soto-Correa, J.C.; Aguilar-Aguilar, S.; Zamarripa-Morales, V.; López-Upton, J. Altitudinal genetic variation among Pinus pseudostrobus populations from Michoacán, México. Two location shadehouse test results. Rev. Fitotec. Mex. 2012, 35, 111–120. [Google Scholar]
- Niinemets, Ü. Components of leaf dry mass per area—Thickness and density—Alter leaf photosynthetic capacity in reverse directions in woody plants. New Phytol. 1999, 144, 35–47. [Google Scholar] [CrossRef]
- Climent, J.M.; Aranda, I.; Alonso, J.; Pardos, J.A.; Gil, L. Developmental constraints limit the response of Canary Island pine seedlings to combined shade and drought. For. Ecol. Manag. 2006, 231, 164–168. [Google Scholar] [CrossRef]
- Baquedano, F.J.; Castillo, F.J. Comparative ecophysiological effects of drought on seedlings of the Mediterranean water-saver Pinus halepensis and water-spenders Quercus coccifera and Quercus ilex. Trees Struct. Funct. 2006, 20, 689–700. [Google Scholar] [CrossRef]
- Reich, P.B.; Wright, I.J.; Cavender-Bares, J.; Craine, J.M.; Oleksyn, J.; Westoby, M.; Walters, M.B. The evolution of plant functional variation: Traits, spectra, and strategies. Int. J. Plant Sci. 2003, 164, S143–S164. [Google Scholar] [CrossRef]
- Cregg, B.M. Carbon allocation, gas exchange, and needle morphology of Pinus ponderosa genotypes known to differ in growth and survival under imposed drought. Tree Physiol. 1994, 14, 883–898. [Google Scholar] [CrossRef] [PubMed]
- Leimu, R.; Fischer, M. A meta-analysis of local adaptation in plants. PLoS ONE 2008, 3, e4010. [Google Scholar] [CrossRef] [PubMed]
- Bansal, S.; Harrington, C.A.; Gould, P.J.; St.Clair, J.B. Climate-related genetic variation in drought-resistance of Douglas-fir (Pseudotsuga menziesii). Glob. Chang. Biol. 2015, 21, 947–958. [Google Scholar] [CrossRef] [PubMed]
- Warwell, M.V.; Shaw, R.G. Climate-related genetic variation in a threatened tree species, Pinus albicaulis. Am. J. Bot. 2017, 104, 1205–1218. [Google Scholar] [CrossRef]
- Greaves, A. Review of the Pinus caribaea Mor. and Pinus oocarpa Schiede International Provenance; CFI Occasional Papers; University of Oxford: Oxford, UK, 1980. [Google Scholar]
- Sáenz-Romero, C.; Guzmán-Reyna, R.R.; Rehfeldt, G.E. Altitudinal genetic variation among Pinus oocarpa populations in Michoacán, Mexico. For. Ecol. Manag. 2006, 229, 340–350. [Google Scholar] [CrossRef]
- Salazar-García, J.G.; Vargas-Hernández, J.J.; Jasso-Mata, J.; Molina-Galán, J.D.; Ramírez-Herrera, C.; López-Upton, J. Variación en el patrón de crecimiento en altura de cuatro especies de Pinus en edades tempranas. Madera Bosques 1999, 5, 19–34. [Google Scholar] [CrossRef]
- Sáenz-Romero, C.; Beaulieu, J.; Rehfeldt, G.E. Altitudinal genetic variation among Pinus patula populations from Oaxaca, México, in growth chambers simulating global warming temperatures. Agrociencia 2011, 45, 399–411. [Google Scholar]
- Sáenz-Romero, C.; Ruiz-Talonia, L.F.; Beaulieu, J.; Sánchez-Vargas, N.M.; Rehfeldt, G.E. Genetic variation among Pinus patula populations along an altitudinal gradient. Two environment nursery tests. Rev. Fitotec. Mex. 2011, 34, 19–25. [Google Scholar]
- Lopez-Toledo, L.; Heredia-Hernández, M.; Castellanos-Acuña, D.; Blanco-García, A.; Saénz-Romero, C. Reproductive investment of Pinus pseudostrobus along an altitudinal gradient in Western Mexico: Implications of climate change. New For. 2017, 48, 867. [Google Scholar] [CrossRef]
- Masuka, A.J.; Gumbie, C.M. Susceptibility of Pinus oocarpa to Armillaria root disease in Zimbabwe. J. Appl. Sci. S. Afr. 1998, 4, 43–48. [Google Scholar]
- Poulos, H.M.M.; Berlyn, G.P.P. Variability in needle morphology and water status of Pinus cembroides across an elevational gradient in the Davis Mountains of west Texas, USA. J. Torrey Bot. Soc. 2007, 134, 281–288. [Google Scholar] [CrossRef]
- Viveros-Viveros, H.; Sáenz-Romero, C.; López-Upton, J.; Vargas-Hernández, J.J. Variación genética altitudinal en el crecimiento de plantas de Pinus pseudostrobus Lindl. en campo. Agrociencia 2005, 39, 575–587. [Google Scholar]
- Castellanos-Acuña, D.; Sáenz-Romero, C.; Lindig-Cisneros, R.A.; Sánchez-Vargas, N.M.; Lobbit, P.; Montero-Castro, J.C. Variación altitudinal entre especies y procedencias de Pinus pseudostrobus, P. devoniana y P. leiophylla. Ensayo de vivero. Rev. Chapingo Serie Cienc. For. Ambient. 2013, 19, 399–411. [Google Scholar] [CrossRef]
- Chambel, M.R.; Climent, J.; Alía, R.; Valladares, F. Phenotypic plasticity: A useful framework for understanding adaptation in forest species. Investig. Agrar. Sist. Recur. For. 2005, 14, 334–344. [Google Scholar] [CrossRef]
- McKay, J.K.; Christian, C.E.; Harrison, S.; Rice, K.J. “How local is local?”—A review of practical and conceptual issues in the genetics of restoration. Restor. Ecol. 2005, 13, 432–440. [Google Scholar] [CrossRef]
- IUCN. Afforestation and Reforestation for Climate Change Mitigation: Potentials for Pan-European Action; IUCN Programme Office for Central Europe: Warsaw, Poland, 2004; ISBN 2-8317-0723-4. [Google Scholar]
- Rodriguez-Quilon, I.; Santos-del-Blanco, L.; Serra-Varela, M.J.; Koskela, J.; Gonzalez-Martiınez, S.C.; Alia, R. Capturing neutral and adaptive genetic diversity for conservation in a highly structured tree species. Ecol. Appl. 2016, 26, 2254–2266. [Google Scholar] [CrossRef] [PubMed]
- Nocentini, S.; Buttoud, G.; Ciancio, O.; Corona, P. Managing forests in a changing world: The need for a systemic approach. A review. For. Syst. 2017, 26, 1–15. [Google Scholar] [CrossRef]
© 2018 by the authors. Licensee MDPI, Basel, Switzerland. This article is an open access article distributed under the terms and conditions of the Creative Commons Attribution (CC BY) license (http://creativecommons.org/licenses/by/4.0/).



