Next Article in Journal
Reducing Reforestation Costs in Lebanon: Adaptive Field Trials
Previous Article in Journal
Performance of a Mobile Star Screen to Improve Woodchip Quality of Forest Residues
 
 
Font Type:
Arial Georgia Verdana
Font Size:
Aa Aa Aa
Line Spacing:
Column Width:
Background:
Article

Optimizing the Wood Value Chain in Northern Norway Taking Into Account National and Regional Economic Trade-Offs

by
Ulf Johansen
1,2,*,†,
Adrian Werner
2,† and
Vibeke Nørstebø
2,†
1
Department of Industrial Economics and Technology Management, NTNU, 7491 Trondheim, Norway
2
Department of Applied Economics, SINTEF, 7465 Trondheim, Norway
*
Author to whom correspondence should be addressed.
All authors contributed about equally to this work.
Forests 2017, 8(5), 172; https://doi.org/10.3390/f8050172
Submission received: 10 March 2017 / Revised: 27 April 2017 / Accepted: 9 May 2017 / Published: 17 May 2017

Abstract

:
As a consequence of past decades of extensive afforestation in Norway, mature forest volumes are increasing. National forestry politics call for sustainable and efficient resource usage and for increased regional processing. Regional policies seek to provide good conditions for such industries to be competitive and to improve regional value creation. We demonstrate how methods from operations research and regional macro-economics may complement each other to support decision makers in this process. The operations research perspective is concerned with finding an optimally designed wood value chain and an aggregated planning of its operations, taking a holistic perspective on strategic-tactical level. Using Input-Output analysis methods based on statistics and survey data, regional macro-economics helps to estimate each industry actor’s value creation and impact on society beyond immediate value chain activities. Combining these approaches in a common mathematical optimization model, a balance can be struck between industry/business and regional political interests. For a realistic case study from the northern part of coastal Norway, we explore this balance from several perspectives, investigating value chain profits, economic ripple effects and regional resource usage.

1. Introduction

Historically, forestry has been an important industry in Norway, both for value creation and for employment. Back in 1845, it accounted for 10.4% of the GDP in Norway [1]. However, the rise of new industries has lead, obviously, to a decline of forestry’s importance, and one and a half centuries later, the sectors “Wood products” and “Pulp, paper and paper products” together constituted only 0.76% of the GDP [2]. On the other hand, with most resources and businesses located in or close to rather peripheral areas, forestry and related sectors still represent an important rural employer in Norway. For example, in the northern Norwegian municipality Grane, 19% of the employees work in forest-based industries.
Forestry is a long-perspective industry: today’s harvesting potential hinges upon decisions made decades ago. Extensive afforestation activities started in Norway in the 1950s created a high potential for increased value creation in the near future [3], and current logging activities are outpaced by the growth of mature forest resources. Potential harvesting volumes in coastal Norway increased from 85 million m 3 in 1925 to 300 million m 3 in 2015 with a sales potential of 60 billion NOK [4]. This is mirrored by an ever increasing demand for wood and related products world wide; EU’s demand is expected to grow by 35% by the year 2020 [5]. Official goals are to quadruple the Norwegian wood sector’s value creation by 2045, compared to 2012 values [6], for example, through more efficient and comprehensive resource usage and through more regional wood conversion and processing rather than direct export. Taking a value-chain perspective, a report to the Norwegian Parliament [7] points out the need for sustainable use of forest resources, for efficient transport from forest to industry and for a competitive processing industry. Norwegian district and regional policies seek to provide good conditions for natural-resource based industries to achieve maximal possible national value creation [8]. Rural coastal regions such as the northern part of the country where much of the afforestation activities took place are, hence, expected to play a central role with respect to the anticipated increase in value creation from forestry.
Transport infrastructure is one of many potential bottlenecks on this way. Especially in coastal areas, transportation of timber and wood products is a complex task and finding cost-efficient solutions is challenging [5,9]. Fjords, mountains and forest properties without access to infrastructure lead to long transportation distances. Still, the majority of log transportation is carried out by trucks all the way from harvest areas to customers. Even more, a considerable amount of timber used in central and northern Norwegian coastal regions today is imported from Sweden by truck. So far, the large potential of northern Norway’s long coastline to contribute to efficient transport solutions including transport by sea and the availability and efficient operation of appropriate quay facilities has not been exploited sufficiently. Consequently, optimizing and streamlining the wood value chain (VC), including investments, harvesting, transportation, demand-side operations and its impacts on the regional economy, is of outmost importance. This is a complex system, resulting in large integrated transportation and production planning problems. However, in a high-volume sector such as forestry, even small efficiency improvements can result in large economic gains [10].
Typically, VC actors seek to improve efficiency independently of each other. Combined with insufficient information sharing and coordination, this often causes inefficient overall logistics and, in turn, inefficient use of local and regional timber resources and increasing standing stock. Moreover, it will lead to lower profits for the whole VC and lower economic output in the region. To optimize this system, robust and efficient models with a holistic perspective are called for, balancing industry goals with society’s concerns such as value creation and how the wood VC affects other sectors, both regional and national, through their industrial interdependencies. These ripple effects (REs) outside the VC are measured in an Input-Output (I-O) analysis. (While the terms ripple effects and spillover effects are used synonymously in the I-O literature and have a very similar meaning, we chose the term ripple effects in this paper.)
These challenges motivated the development of a mathematical business economic model addressing aggregated harvesting plans, cost-efficient transportation, resource usage, production of wood and timber products, and industry development in combination with effects on the wider economy. The mixed-integer linear programming (MILP) model is capable of optimizing both the profit within the VC and ripple effects from logging and processing. With a holistic view on the wood value chain, it reflects regional industry structures, forest resources and infrastructure, ensuring applicability and local relevance of the found insights. Developed in close cooperation with partners from industry, business networking forums and government (Moelven Van Severen AS, Arbor AS, Statskog SF, Allskog SA, Mosjøen Havn KF, Skognæringa Kyst SA, Nordland county administration and Nordland county authority) the model helps to answer questions on how the Norwegian forestry industry may contribute to stimulating regional growth or how trade-offs between profits in the wood VC and REs outside this VC may be assessed. While, globally, the forestry business environment is quite dynamic and volatile [10], this is, by and large, not the case for the decisions and, in particular, the region considered here. Hence, our model is strategically-tactically oriented, albeit with a flexible time horizon, and disregards uncertainty. Our model constitutes one of the first approaches combining value chain optimization and regional macro-economic theory by way of I-O analysis methods. For a related approach in the bio-energy sector, see You et al. [11].
The objective of this paper is to demonstrate concepts of this approach, outlining the common mathematical optimization model. A case study shows how it may be used to support regional authorities’ decision making and help balancing between regional political and industry interests.
In the following section, we discuss relevant research from these disciplines, focussing on the forestry and wood processing sectors and on approaches taking an integrated view on the VC or bridging the gap between business and policy goals. Section 3 is dedicated to methodological aspects, outlining the wood value chain studied here, explaining details of the I-O analysis and describing the integrated VC optimization model. Some of the model’s capabilities are demonstrated by way of a case study examining a coastal region in northern Norway. Details of this case are given in Section 4 while Section 5 discusses selected results and outlines wider perspectives. This leads to summarizing and concluding remarks in Section 6.

2. Literature Review

In countries endowed with large forest resources, the forestry sector has a significant impact on the regional economy [12] and, obviously, policy makers or other stakeholders are interested in assessing the sectors’ contribution to, e.g., employment or gross output. Ripple effects help to quantify the value added by the sector’s activities including its interactions with the wider economy. An often used methodology is I-O models, dating back to a model by Leontief in the 1930s [13]. The model assesses the macro-economic connections between sectors in the economy (industries, households and government) and is discussed in detail in, e.g., Miller and Blair [14]. Building on Leontief’s basic model, many variants have been developed. For example, single-region I-O models capture sectoral relationships within a given regional dimension in a country. The IMPLAN model system [15], used in several US forestry analyses [16], is flexible with respect to geographical structures with corresponding regional I-O tables and multipliers. Psaltopoulos and Thomson [17] investigate the economic role of forestry in rural Scotland, finding, in general, limited backward linkages to other rural industries, with the exception of wood-processing industries. Scottish forestry is also in focus in Eiser and Roberts [18] who use disaggregated I-O tables to quantify economy-wide effects of planting strategies on industry output and employment. Rimmler et al. [19] use I-O analysis to evaluate outcomes of five national forest policies in Finland, Teischinger [20] discusses several forest-based value chains and how to estimate the gross value added by the sector while Sikanen [21] describes value-adding processes in a forest-based bioenergy value chain.
Naturally, publicly available I-O tables are limited with respect to industry detail. To obtain I-O models for several production lines in a specific sector, the tables must be disaggregated, e.g., by using additional survey data. Eiser and Roberts [18] collected survey data on outputs and financial flows differentiated by woodland type. Bösch et al. [22] show how to disaggregate physical forestry-based industry I-O data by tracking how forestry inputs are used in production processes and matching them with outputs. We construct I-O multipliers on national and regional levels, extending publicly available data for the Norwegian economy such as Regional Accounts [23] and the regional I-O model PANDA (developed by SINTEF, Trondheim, Norway, www.pandagruppen.no) by survey data gathered from the industry.
The forestry sector with its variety of activities and types of actors involved has been topic for optimization for a while. A large number of models has been developed and, partly, commercially deployed. For example, Motsa [24] focusses on forest harvesting operations and their impact on the whole value chain. Carlsson and Rönnqvist [25] discuss cases improving a forest company’s supply chain management through optimization approaches to coordinate the wood flow along the chain. Both Rönnqvist [26] and D’Amours et al. [27] give an overview of actors, value chains, typical decisions on the various planning levels and time horizons as well as challenges for modelling and optimization. Rönnqvist [26] presents examples of optimization problems, often restricted to single stages in the value chain: harvesting/afforestation, production, transportation or markets. Most problems focus on costs or profits of one or a few actors. Following up on this, D’Amours et al. [27] discuss challenges when integrating several planning levels or coordinating between independent actors. They point out that value chain design rarely studies alternative production processes (“recipes”) or the integration of various forestry value chains to utilizate raw materials more efficiently. Coining the term “supply chain network”, Shahi and Pulkki [10] shed light on the complex structure of the sector with many relations between various product chains. Being able to utilize the “complete tree” is one of the concerns of our industry partners and our optimization model allows an optimal choice of production processes and combinations of product chains.
The majority of optimization models for the wood VC is tailored to a single company, sometimes in connection with their immediate VC predecessors or successors. They can, hence, be seen as decentralized approaches, optimizing the considered company’s decisions from their point of view to gain a competitive advantage. Equilibrium models [28] may preserve this decentralized perspective, yet take a more holistic view on the VC and a region’s economics. Centralized VC planning approaches coordinate independent actors’ decisions across the whole chain to improve some common objective. Obviously, they are not sufficient for analyses of several companies in the same value chain—as also pointed out by Shahi and Pulkki [10]—in particular, when focussing on company profits or costs. They are, however, well-suited when lifting the model perspective to regional value creation and industry development, i.e., to policy aspects concerning the whole society. Few approaches take such a point of view. Frisk et al. [29] analyze models stimulating collaborative transport planning between forest companies operating in the same region. Developing an optimization problem to coordinate supply chain actors’ procurement decisions, Kong et al. [30] find a trade-off between alternative uses of forest products in an integrated market. Likewise, Kaut et al. [31] take a holistic point of view, albeit on a bioenergy supply chain, combining strategic and tactical planning under uncertainty. Also the work presented here integrates strategic and tactical decisions, finding harvesting volumes and locations, transportation and production choices and investments which are the best for the whole value chain.
Drivers for cluster formation—and, hence, value chain design—in wood-based industries are investigated by Viitamo [32], focussing on business-to-business relations, information exchange and other tangible and intangible linkages affecting transaction costs. Hagadone and Grala [33] examine the impact of transportation infrastructure and availability of raw materials or labour force on forest industry clusters. Analyzing efficient timber transport and optimal quay localisation, Nørstebø and Johansen [34] take into account co-utilization effects with other local industry in the form of economic (profitability) and non-economic (local workforce) characteristics. Clustering can also be addressed by our approach, including interrelations between companies and investments in companies and production technologies and evaluating cluster effects on the economy.
This extends the scope of typical value chain optimization by features other than macro-economic aspects. Often, sustainability is assessed along economical, social and environmental dimensions, and numerous impact indicator sets have been developed for the forestry sector. For example, Voces et al. [35] and Diaz-Balteiro et al. [36] show how to address sustainability issues with a composite index of various country-level statistical indicators. Indicators can also be combined in multi-criteria or sustainability impact analyses to compare, e.g., different policy choices or technological change [37]. Post-optimization steps to optimization models accommodate such assessments as demonstrated by, e.g., von Geibler et al. [38] for a wood usage VC in the building sector. Also the benchmark run in Section 5 includes a post-optimization evaluation of regional and national value creation. In a review of studies assessing or optimizing forest biomass supply chains with respect to sustainability, Cambero and Sowlati [39] found that they typically address either economic (through techno-economic or optimization approaches) or environmental (through assessments) aspects. The authors identified a trend towards integration, often by combining multi-objective optimization and life-cycle assessment methods, and call for further development of decision support tools incorporating all three sustainability dimensions. A full integration of sustainability aspects into an optimization model is challenging and supposes, for example, that impact factors and their relations to the model decisions can be described functionally, preferably by continuous and linear functions. Only few indicators lend themselves to this. Quantifying value creation and similar ripple effects, for example, by way of I-O tables and multipliers as demonstrated in our model, appears to be one of the most accessible options.
To integrate multiple aspects in an optimization framework, one may, for example, try to find a balanced combination of all aspects in one objective function or explore their trade-off by tracing a Pareto-efficient frontier. You et al. [11] integrate life-cycle assessment and social aspects such as local job creation due to supply chain activities in a multi-objective framework, solved by a Pareto-optimality approach. Carvalho et al. [40] present a multi-objective linear programming model based on an I-O framework, which balances gross domestic product, employment and energy use (emissions). Obviously, the various approaches will yield different insights to be used in different analyses as discussed in Section 5.

3. Methodology and Model Description

The research presented in this paper was motivated by the industry’s and authorities’ aims of increased and more efficient utilization of regional resources and support to regional development of industry and commerce. The resulting mathematical optimization model combines the design of a value chain over relevant usage options of wood resources—from forest to end-user customer—with a quantification of ensuing regional and national value creation. The model describes all relations in a generalized manner, ensuring its applicability to various situations and company constellations. We present it here only cursorily and refer to Nørstebø et al. [41] for an in-depth description. We begin by mapping the considered VC in order to identify existing and potential elements, flows and activities (Section 3.1). Then, the I-O model outlined in Section 3.2 derives value-added multipliers for the VC actors. After these preparatory steps, the optimization model is built by casting all VC activities and relations into mathematical notation: We identify objectives for optimization and decision variables to achieve them in Section 3.3.1. In Section 3.3.2, we describe operational aspects such as logging, production and transportation. Section 3.3.3 discusses how the value-added multipliers from the I-O model are included in the optimization model to quantify value creation (REs) from the VC operations. Finally, Section 3.3.4 is concerned with modeling strategic aspects such as investing in and removing companies or production lines, adding another layer to the optimization model.

3.1. The Value Chain

We consider a VC tracing the flow of raw and processed forest products. Important elements are forest owners/timber traders, various companies processing wood products, and end-user customers, connected by transportation links including harbours as outlined in Figure 1. Transport can happen by truck, ship or forklift, the latter being an option only if the company or customer is located in close proximity to a harbour. Also transport by ship is possible only between harbours or if a customer can be served by ship directly. Both raw materials (timber and pulpwood) and processed products can be stored at various stages in the VC.

3.2. The Input-Output Model

Our estimation of the I-O multipliers is based on the Leontief [13] model. We refer to, e.g., Miller and Blair [14] for detailed explanations. Additionally, we refer to previous own work, Richardsen and Bull-Berg [42], how to measure ripple effects in a value chain perspective.
The I-O model relates the gross output X of the sectors in an economy to the technical coefficient (input) matrix A and the final demands y for the output from each sector,
X = A x + y
The A matrix shows the proportional relationship between the sectors’ inputs and outputs, reflecting the economy’s production structure. A trivial matrix operation transforms Equation (1) to
X = ( I - A ) - 1 y = L y ,
where I is the identity matrix. Equation (2) expresses total output solely as a function of the final demands and the sectors’ production functions, also known as Leontief inverse (or multiplier) matrix L , which can be derived from statistical data. These backward linkages in the form of multipliers help to determine how a change in final demand ( Δ y ) affects total output in the economy or, alternatively, how changes in the use of intermediates ( h i , j ) affect total output. To quantify the REs of a company, we adjust the initial I-O matrix A to a new matrix A * with input coefficients a i , j * = h i , j * x j * . Here, h i , j * are the elements of a new intermediate demand matrix, derived by subtracting company j’s amount of intermediate demand from industry i from the original h i , j . Then, output ripple effects from changes of inputs ( h c , i ) for all companies are given as
Δ X = ( I - A ) - 1 y - ( I - A * ) - 1 y
We obtained data on company output ( X c ) and value added ( VA c ) from the annual accounts and collected intermediate demand vectors ( h c , i ) from the companies’ account current book. Our focus is on type I multipliers capturing direct and indirect effects of sector activity rather than type II multipliers dealing also with induced effects. The output multipliers O c I relate production in a company to economy-wide output and specify how much additional value in production will be generated proportional to an increase in company output.
O c I = X c + i Δ X i X c
Similarly, value-added multipliers show the proportional increase in generated value added from increased production. We assume a constant relationship between value added ( VA i ) and output ( X i ) in each sector i, expressed as
va ^ i = VA i X i
Based on Equations (4) and (5), value-added multipliers VA c I can be estimated. While these multipliers are often used to measure wider economic impacts of a company’s activity, we do not include them directly in the optimization model but present them only for comparison to other results in the literature. Instead, we are interested in an adjusted value-added multiplier Adj . VA c I to be used in the optimization model.
VA c I = VA c + i Δ X i · va ^ i VA c Adj . VA c I = i Δ X i · va i ^ X c
The reason for this is twofold: First, while the MILP model provides both quantities produced and product prices at each company, the value added ( VA c ) for each company is not determined directly in the model. Naturally, we estimate value added REs relative to company outputs and calculate the direct value added effect using the multiplier, since this is already measured indirectly in the MILP model. Second, compared to the output multipliers, the value added multipliers capture the value added by the sector during production, which is a more important economic indicator for authorities than production outcomes. Depending on the geographical scope of the data, the above calculations can be performed on national or regional level. For the case study in Section 4, we chose both and describe the collected data sets and the derived multipliers in Section 4.2.

3.3. The Optimization Model

3.3.1. Objective Function and Decisions

The optimization model finds the optimal design for the considered VC and how to operate it in the best possible way. This entails decisions for each time period about how much of the forest resources is harvested at each place, which companies operate which production lines, how much of each product is produced, stored or sold to which customer and how the various products are transported between the single elements of the VC. Revenues accrue from forest owners’ sales of timber and pulpwood, from companies’ sales of products to other companies and to end-user customers and, possibly, from residual values from removing production lines or closing down companies. Costs, on the other hand, arise from logging operations, from transportation (including terminal and harbour handling fees), from storage, as fixed and variable production costs including purchase of timber and other production factors and from investments into new production lines or companies. We assume that no entity in the VC dominates its market and all prices and costs are exogeneously given.
The model implementation allows us to analyze a situation from several perspectives through a selection of objective functions, thus taking the point of view of various institutions such as local/regional or national politicians or, alternatively, business and forest owners’ associations. A typical start point would be to assume central coordination of the VC, e.g., by maximizing net present value achievable for all entities combined, summing up over all revenues and costs and discounting accordingly. Focussing on socio-economic effects, one may seek to maximize ripple effects from the VC entities’ operations on either national or regional level or in combination with the VC net present value, balanced using a suitable weighting factor. Basically, this leaves us with three main categories of objectives to be optimized: 1. VC profits; 2. socio-economic effects; or 3. a weighted combination of 1. and 2. All objectives are subject to the same constraints such that the same set of variables and parameters is involved. We give an overview of the main groups of these in Table 1.

3.3.2. Operations

Our studies take a strategic-tactical perspective with typical period lengths of a year or longer. This entails that we are not concerned with finely-detailed planning of logging or processing operations such as seasonality or sequence of logging areas. Hence, our smallest geographical units for forest resources and, thus, potential logging sites are the municipalities in the considered region and we assume there is just one representative forest owner or timber trader for each municipality.
The amount of timber of each tree type that can be logged in each municipality or region is subject to resource constraints spanning the whole optimization horizon. As the given data include resources which will mature first later in the optimization horizon, and in order to achieve an even spread of logging activities over time, the volume harvestable in each time period is restricted to a certain percentage of the totally available resources. For each location, there is a given distribution of the logging product types (e.g., timber, pulpwood) which can be obtained.
Timber and pulpwood may then be transported from the logging sites to harbours or directly to processing companies, stored on site to be transported off at a later period or processed directly on site. The latter is applicable only for simple operations such as chipping and we treat this as a special type of company. The processed products may then, in turn, be transported off immediately or stored on site. Products can be stored at each part of the VC (inclusive harbours) within certain capacity limits.
Companies process products, i.e., transform one product type to another, by means of production lines or production processes defined through their respective input and output products and conversion rates. Since our focus is not on detailed production planning, we employ a rather simplified representation of products and production processes. We distinguish only between processes combining products to a new one (such as production of particle boards) and processes splitting one product into several ones (such as sawing). Companies may buy logging products from forest owners or timber traders and processed products from other companies. A company’s products can be used as input to other production processes in this company or sold to other companies or to end-user customers. Demand from customers for processed products should be satisfied but no over-deliveries are allowed. It is possible to specify a supplying company or to let the model chose the most suitable supplier among all companies the customer has agreed a price with.
All relations are subject to mass balances, no products disappear or appear. During storage, some products will be transformed to other products after a certain time due to deterioration or seasoning, possibly also shrinking in volume. These processes are taken into account in the mass balance equations carrying over inventory from one time period to the next. Specific formulations hold for the start and end of the optimization horizon. All production is subject to company-specific production capacity limits. Transportation capacity limits are described by ship size and the roads’ ability to carry trucks with a maximum weight. Due to the rather long time periods, the latter limits will not have much effect other than on the calculation of transportation costs. Apart from forest resources available for logging in each municipality, all limits are given per time period.
Matrices specify all distances for road and sea transport between municipalities in the considered region. For road transport, they also contain road classification (maximum payload), number of ferries and tolls stations to pass. Then, costs for transporting a certain volume of a product between two places consist of a distance based part, calculated with a factor which takes into account distance and time costs (assuming a typical travel speed), and a part depending on the number of trips. The latter is determined from the volume to be transported and the road classification (assuming that the largest possible truck size is used) and takes into account ferry, toll and terminal handling fees. Likewise, ship transportation costs are calculated based on travel distance, typical ship size and fixed and volume-dependent terminal handling fees. An additional cost-sharing factor reflects that, for some products, the supplier does not always pay for the whole round trip, e.g., due to freight sharing. Forklift costs depend linearly on the transported product volume.

3.3.3. Including Ripple Effects

Ripple effects can arise from all activities in the VC but, generally, only effects from production (including logging) are suitable for inclusion in an optimization model. Effects from trade and transportation are considered derived from production (without production, no trade or transport) and should, therefore, only be post-calculated from optimal values. Otherwise, irrational solutions such as excessive transportation may be chosen. Figure 2 outlines how the single activities contribute to VC profit and RE calculations and whether they may be optimized or post-calculated when studying ripple effects.
As described in Section 3.2, the effects may be estimated only for the considered region or also beyond, on a national level, leading to two sets of I-O multipliers. These multipliers are found based on the value added, and we estimate the value of the concerned activities by way of (potential) sales values, that is, produced and sold volumes and corresponding sales prices. Note that I-O models and, hence, the calculation of multipliers, build on the assumption of fixed input coefficients.
Forest owners generate REs through logging activities. For products sold directly to companies or end users, the effects are estimated by way of the sold volume and sales prices, multiplied by the corresponding multiplier for national or regional effects, cf. Table 2. For products put in storage or distributed further along the VC with still unknown recipient, the price is typically not known in the considered time period and we employ an average sales price.
For companies, REs stem from production in the considered time period. As all products are assumed to be put into storage before being used further or sold, the effects are calculated using an average price, multiplied by the produced volume and the corresponding company specific multiplier from Table 2. This way, we obtain two sets of expressions that can be optimized separately or included in the objective function alongside VC profit or other characteristics. In Section 5, we compare and discuss various approaches to optimize REs and profits separately or in combination.
Ripple effects from trade and transportation are not included in the objective function but can be calculated from the found optimal values. With respect to the considered VC, these effects arise from activities at harbours and transporters. The former are generated by all transport by ship (terminal handling fees and commodity taxes paid to harbours) and by road transport using a harbour (terminal handling fees). Transporters are not explicitly modelled and we lack a term expressing their profits. We assume, therefore, that the actors’ transportation expenses are indicative for the transporters’ revenues arising from the VC activities.

3.3.4. Investments

Taking a longer-term perspective on efficient VC design, our optimization model also includes binary decisions on investing in or shutting down companies in each time period. Likewise, the model finds optimal ways to produce the required products through, potentially, investing in or removing production lines (processes) in companies. This helps, e.g., deciding whether or not, where and of which size new sawmills should be established in order to attain higher local REs. Investment decisions on production lines can help to determine, e.g., whether to keep some of a company’s operations in-house or to outsource.
Each company or production line can be invested in and removed at most once during the optimization horizon, and we disregard time windows for these decisions and time lags (e.g., due to construction). All connected costs or revenues accrue, hence, in the time period the decision is made. A company or production line is available for production only if existed at the start of the optimization horizon or has already been invested in and has not been shut down. Investments in a production line at a company can only be made if the respective company is available. This implies also that all lines will be removed from a company to be shut down. Operational decisions, in turn, can be positive only if a suitable line is available for production in the respective time period. These requirements are achieved by setting the corresponding storage or production capacities to zero for not available companies and lines.
In our model, products are not earmarked as input or output for a certain production line in a company, which makes it more flexible to design production processes in the VC. For example, wood chips may be produced directly at the logging sites, as by-product of other processes such as sawing (at other companies or at the company using them as input) or produced in a dedicated production process. A company may use them to produce heat, invest in a different heat generation process—or obtain heat externally. Likewise, there may be a choice of production lines producing or processing the same product but with different input or output products. This allows us to satisfy customer demand for a given product while letting the model chose one or several way(s) to manufacture it or to find the best product mix an input product can be turned into, utilizing available production and storage capacity optimally. For example, particle boards may be produced from only spruce chips or a mix of spruce and birch in various ratios.

4. Case Study—Coastal Northern Norway

We demonstrate features and capabilities of the integrated optimization model by way of a realistic case inspired by our partners from industry and government. The case region comprises counties Nord-Trøndelag and Nordland in coastal northern Norway. We study nine companies which use forest resources as raw materials for their production: three sawmills, one particle board producer, two bioenergy plants and three other processing facilities. To demonstrate effects of different optimization perspectives on investment and localization and ensuing changes in regional resource use and production, we investigate options to invest in new sawmills at 15 locations evenly distributed over the region. This case is then extended to analyze the establishment of industry clusters. Figure 3 illustrates the considered region and locations of all existing and potential new companies.
Forest resources available for logging are spread out over all 48 municipalities in the region and consist of three different types of wood (spruce, pine and birch), which may be used as saw timber or pulpwood. The resources in the region cannot satisfy all industry demand, the remainder being imported from other parts of Norway. In order to keep the problem size manageable, only few, mostly generic, product types were included, totalling 23 different products. The market for final products consists of customers in northern Norway, the rest of Norway and abroad. The region comprises 15 harbours relevant for the case and some companies and customers are located in proximity to a harbour, while others are located inland.
The VC is optimized from several points of view: only value chain profits, only national or regional ripple effects from VC activities, or a combination of both. For each model run, we examine aspects of the solution such as profits achieved for the whole VC or for selected groups of participants (e.g., regional forest owners, regional companies), created ripple effects, usage of regional resources or investment behaviour. These analyses are carried out over a 25-year horizon divided into five time periods of five years each.
The model was implemented in the Xpress-Mosel modelling language (FICO, San Jose, CA, USA). In the analyses for this case, at most two objectives were set up against each other. It was, hence, not necessary to implement specific multi-criteria methods such as heuristics exploring the solution space systematically to find all Pareto optimal solutions. A weighted combination of objective functions, the calculation of a two-dimensional Pareto front or post-optimization calculations proved sufficient. A typical problem for the considered case contained about 280 , 000 constraints and 1.4 million variables and was solved by standard MILP solvers within five to ten minutes.

4.1. Case Data

The case study depicts the current situation and we aimed at utilizing as realistic input data as possible. The location of the existing nine companies corresponds to their actual position while the fictive locations for potential sawmills and industry clusters reflect a wide range of options with respect to proximity to transportation infrastructure, resources, other industry and customers. Forest resources, transportation distances, road capacities and related costs and parameters were calculated using models developed by SINTEF (Trondheim, Norway) [3,44] and real data. Other transportation and harbour costs were collected from, mainly, Grønland [45] and other public regulations and reports. Data on company and technology investment, operations and storage are real data supplemented, where necessary, by synthetic ones. Product prices were derived from publicly available market analyses (e.g., Pøyry [46]) or fictive data while customer demand is synthetic data harmonized with actual production volumes and capacities. The multipliers estimating ripple effects from VC activities were derived from publicly available I-O tables, supplemented by empirics. National tables were obtained from Statistics Norway, covering the year 2013. Regional tables were generated using the PANDA model with base year 2010. All synthetic and fictive data were verified by our project partners to be in the correct order of magnitude.

4.2. Calculation of Input-Output Multipliers

Publicly available I-O tables often cover industry sectors in a rather aggregated way and do not distinguish between different production lines [18,19,47]. To add more detail, additional data are employed, e.g., by obtaining detailed I-O multipliers for each VC participant. We carried out a survey among the concerned companies, collecting their account current books. For each sub-supplier listed, we identified location and industry type. Double counting was controlled for by removing all intermediate demand sent as internal deliveries within the VC. Typically, this concerned raw or processed forest products. Moreover, the optimization model considers transported volumes and, hence, transportation costs as decision variables. This means that one production input factor is treated as endogenous, which is in conflict with the standard fixed input coefficient assumption for I-O models. For that reason, all intermediate demand for timber transport services was excluded and, instead, treated as an independent part of the wood VC. Adjusting the intermediate demand this way significantly reduces input volumes. For example, particle board production is left with only 28% of the initial intermediate demand, while sawmills are left with 50% and paper production with 68%.
With these adjustments, we obtained vectors h c , i r describing the intermediate demand of company c from industry i with geographical scope r (regional or national). Then, using the relations in Equations (4)–(6), national and regional type I output, value-added and adjusted value-added multipliers O c I , VA c I and Adj . VA c I were estimated as shown in Table 2. The survey data indicated that for harbours in the region only one tenth of the output was related to forestry products and we reduced the obtained multipliers accordingly. No survey data were available for timber transporters and paper producers. For these, we estimated multipliers from the comparable industries land and air transport and paper production, respectively.
Output multipliers O c I and value added multipliers VA c I are a common way to present multipliers from I-O models. Using Finnish data, Rimmler et al. [19] obtain national type I output multipliers of 1.89 for sawmilling industries and 2.04 for market pulp, paper and paper board manufacturing. For Norway, Lindberg et al. [48] show type II output multipliers for forestry and logging of 1.91 . As Table 2 indicates, we obtained lower multiplier estimates, 1.65 for timber logging, 1.32 for sawmilling and 1.69 for paper production. However, our calculations do not include induced effects. Moreover, for sawmilling and paper production, we excluded two large inputs, forest products and transportation services, such that the values are not directly comparable. Studying rural Scotland, Psaltopoulos and Thomson [17] calculated regional type I output multipliers VA c I of 1.18 and 1.25 for timber processing and paper and board production, respectively. Our corresponding multipliers are of similar magnitude with a somewhat higher value for timber producers, 1.27 , while paper production has a lower multiplier, 1.15 . Several reasons for these differences are conceivable. The multipliers refer to different economies with, obviously, different traditions and industry structures such as prevalence of larger or smaller company sizes or local business relations.

5. Results and Discussion

We will now discuss results of applying the generalized optimization model to the case described above. First, we assess the model’s validity by way of statistical data for a given year. Next, we consider a longer time horizon and optimize from different perspectives and, hence, under different objective functions. We explore investments, resource utilization, value creation and VC profitability. Taking a step further, we then investigate effects of balancing between VC profits and national or regional value creation, reflecting, partly, conflicting interests of politics and industry.

5.1. Calibration and Reality Test of the MILP Model

The case described in Section 4 depicts the current forest industry structure in two northern Norwegian counties, comprising all major VC actors with their current production capacities and demands. Optimizing VC profits yields optimal flows in a centrally coordinated VC—obviously, this represents an idealistic situation. However, to compare to reality and to calibrate parameters we did not obtain realistic values for, we run the optimization model without allowing for investments and fixing logging decisions to values obtained from statistics [49]. For the year 2014, the statistics report a total of 0.758 billion m 3 timber logged in the region’s municipalities, which accounts to about half of the considered production capacity. Timber export from the region is, currently, rather negligible, and we presume that the remaining timber volume required for production had been imported from outside the region (mostly mid-Norway and Sweden).
According to public statistics for the year 2014 [23], the forestry sector in the considered region generated a gross value added VA (for the whole VC) of 1.59 billion NOK. The model run estimated national and regional gross value added REs to 0.626 and 0.164 billion NOK, respectively. With expression (4) for VA c I , an average regional value-added multiplier for the whole VC can then be determined as ( 1.59 + 0.164 ) / 1.59 = 1.10 . Taking into account that our model simplifies real world complexity, this value is comparable to the regional VA c I estimated in Table 2, affirming that the mathematical optimization model replicates statistical data for the region reasonably good.

5.2. Optimizing from Several Perspectives

We consider now a longer time horizon and investigate which effect different perspectives have on investments and operations in the value chain. In particular, we are interested in profits and REs generated in the value chain, decisions to invest in one or several sawmills and how much of local resources is used. We optimize from the point of view of the industry and forest owners, maximizing total VC profits (model run 1), of a national or regional government, maximizing, respectively, national or regional REs only (model runs 3 and 4) and a combination of VC profits and national or regional REs with equal weights (model runs 4 and 5). Main results are gathered in Table 3.
Model run 1, maximizing VC profits, reflects the traditional approach in VC optimization and we consider it as the benchmark in the following discussion. In this case, the VC is profitable with a maximum achievable total profit of 992 million USD for all companies and all forest owners combined. About 38 % of this sum is profit of regional companies, 27 % that of regional forest owners, and the remaining 35 % that of other forest owners. It is optimal to invest in two of the 15 potential sawmills. Although they both will have a negative profit, they will contribute positively to total VC profits: For example, a sawmill established in Meløy processes local timber that then can be sold to another local company. Without this sawmill, the raw timber would have been transported to buyers further away at higher transport costs while the local company would have been forced to buy sawn timber from somewhere else. This sawmill is established in all different model runs.
In all model runs, 23 million m 3 pulpwood are imported from areas just south of the case region, delivered efficiently to large-scale consuming companies in the south of the region. Replacing this volume by pulpwood logged in the case region, with more complex transportation, appears rather unreasonable. The usage of regional forest resources, however, varies with the different objectives. In the benchmark case, just over half of the resources available in the region is used, amounting to 46 % of the total resource usage of 42.7 million m 3 . Focusing on value creation alone (runs 2 and 3), usage of regional forest resources increases to 31 million m 3 . This corresponds to a regional share of 57 % of all resources used such that 86 % of the regional forest resources are logged. One reason for this rather extreme deforestation is that logging activities have a high multiplier. Logging is the primary (first) activity in our value chain and, consequently, logging intermediates are not adjusted for double accounting. Thus, logging activities will contribute heavily to REs, cf. Table 2. This leads to the establishment of a large number of sawmills, evenly spread out over the region, to process the large additional amount of timber. Also this activity creates ripple effects. However, this perspective by and large disregards (value chain) profitability. Moreover, while VC profit maximization takes into account both revenues and costs, REs are based only on revenues (value creation), resulting in distortions towards production. Consequently, many regional forest owners would face financial losses—even the profit of all forest owners in the region combined is negative. Also most sawmills produce with a deficit. Likewise, of the nine companies originally in the VC, two cease to produce while two plants end up with negative profits. Forest owners outside the region are not affected by the sector restructuring, their share of the total value chain profit soars to about 70%. Despite a gain of nearly 450 million USD in national REs and about 180 million USD in regional REs, the extensive change in industry structure leads to a value chain profit of less than half of that in the benchmark case.
Taking a more realistic point of view and compromising between the two extreme perspectives, model runs 4 and 5 maximize a combination between VC profits and REs with equal weights. As expected, the results strike a balance between the previous findings, although most considered values are closer to the benchmark run (VC profit maximization). Both regional share of forest resources and total resource usage resemble that of the industry-focused benchmark case with a more moderate logging policy. Likewise, profits earned and REs generated by the various groups of VC entities are close to those in the benchmark case. Still, also here it is optimal for the whole VC that a few of the 48 forest owners will operate with a deficit over the long run, most likely due to high transportation costs.
These findings raise questions of what may constitute a good balance between regional political and industry interests, how does it affect the actors in the VC and how stable is it with respect to changing priorities or political viewpoints. For example, a shift in focus from VC profit maximization completely over to national RE maximization will lead to a loss of nearly 600 million USD in VC profits while national REs increase by only close to 449 million USD. With a balanced focus (model run 4), VC profits will be only 18 million USD lower while national REs increase by 55 million USD. Consequently, it may even be a wise choise to subsidize some VC actors if this leads to higher combined benefits.
Obviously, central coordination of a value chain purely in order to maximize ripple effects from its activities is an unrealistic assumption. This is also evident when investigating the rather high regional resource usage in this model run: As REs from logging and production accrue with the sale of products, forest owners will sell as much timber and pulpwood as possible. The wood is stored on the companies’ premises as they do not have sufficient production capacity and/or demand to process it. Partly, this excessive logging may also contribute to several forest owners’ and companies’ deficits as it would actually not be profitable to log or buy these volumes. Shifting the focus to VC profits, a more sensible behaviour can be observed: less forest is logged—at different locations—and unused resources are kept at the logging sites. Still, large amounts of pulpwood amass at some sites, mainly due to an imbalance in the studied VC: Sawmills process only timber, but timber logging always causes also a certain share of pulpwood to be produced—which is not matched by demand in the VC to be profitable. Establishing more pulpwood-processing industries may alleviate this inefficiency. Indeed, an according extension of the case, discussed in the next section, shows some effects in this regard.
The above discussion demonstrates that different perspectives and interests may affect industry structure and flows in the value chain differently. It may, hence, be interesting to investigate whether there would exist a well-balanced prioritization of, e.g., business and regional policy interests and which impacts it may have on resource usage and other indicators.

5.3. Finding a Trade-Off between Political and Industry Interests: Pareto Curves

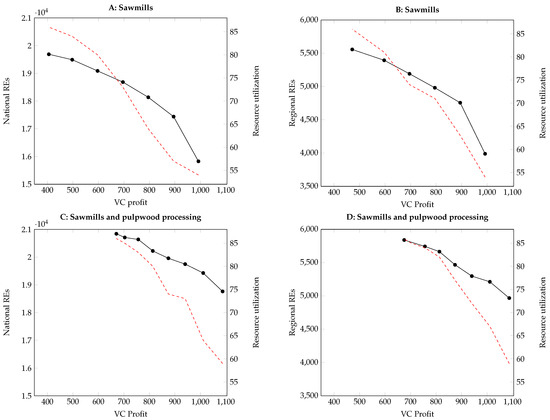
Evidently, increasing REs leads to considerably lower VC profit, suggesting the existence of an unfavourable trade-off. We investigate this more systematically by way of Pareto curves, exploring choices between the extreme points discussed in Section 5.2: The VC profit and RE solutions of model runs 1, 2 and 3 constitute the left and right end points of the graphs, respectively. Intermediate points are determined by maximizing REs achievable under given lower limits on the VC profit, e.g., at least 90 % , 80 % , ... of the value obtained in the benchmark run 1. As secondary information, we also read out the percentage of regional resources harvested. Note that the intermediate points may also be constructed by maximizing VC profits under lower limits on REs, resulting in possibly differently shaped Pareto curves. We have not explored further to which degree this may be the case here.
Figure 4 shows the resulting Pareto curves. Points below the curve are not optimal (it is possible to achieve a higher VC profit with the same REs or vice versa) while points above are infeasible. The upper pair of graphs reflects the previously discussed case study, allowing investments only in sawmills. In this situation, a change of perspective affects the results significantly: Optimizing from an industry point of view, national and regional REs can be achieved which are, respectively, 20 % and 29 % lower than what may be achieved with a socio-economic point of view. Maximizing REs, the corresponding VC profit is even only 41 % and 47 % of the optimal values. In absolute terms, a gain in VC profit by far outweighs the accompanying loss in REs nearly always. Moving along the graph with increasing lower limits on the VC profit, this imbalance decreases. Only at the national level, gains in VC profits in the last step actually are significantly lower than RE losses. But, contrary to the situation discussed by You et al. [11], we cannot identify a "good choice" solution, where a significant improvement in one objective is accompanied by a rather small decrease in the optimal value of the other objective.
Extending the case study slightly, we include options to invest in pulpwood-processing industry. Evidently, this leads to a more robust industry structure with more diverse activities and products, resulting in higher VC profits and REs. The diversity increases robustness of the results with respect to a change in optimization perspective: optimizing VC profits, we obtain national and regional REs which are only 10 % and 15 % , respectively, below maximally achievable values. Vice versa, VC profits achieved for RE maximization are about 62 % of the optimal value. This smaller range means that a shift in perspective affects solutions less severely. There is a less pronounced pattern for the trade-off between VC profits and REs throughout the value range but gains in VC profit clearly outweigh losses in REs. Also here, a “good choice” solution is not clearly discernible.
While extra-regional resource usage did not change compared to the previous case study, regional resources are now used more efficiently—as may be expected. This is evidenced by higher VC profits and REs achieved with the same resource utilization. Obviously, this gain stems from the additional capacity to process pulpwood which was put aside in the former case and to sell the resulting products. Hence, both activities across the value chain and the chain’s profitability increased. Generally, it appears counterintuitive that increasing VC profit requirements are connected with lower resource usage. However, recall that these points in the Pareto curves are constructed with RE maximization in mind. As discussed in Section 5.2, logging activities have rather high value-added multipliers and, thus, contribute heavily to REs. Consequently, higher REs are accompanied by increased logging activity although the logged resources may not be used profitably.

6. Conclusions

As a result of past decades of extensive afforestation, mature forest volumes in Norway are increasing. National forestry politics call for sustainable and efficient resource usage and increased regional processing. Regional policies seek to provide good conditions for such industries to be competitive and to improve regional value creation. Against this background, we developed a dynamic optimization model combining VC activities and aspects of regional macro-economics. The model considers the forestry VC from logging to processing to sales to end-user customers. With a strategic-tactical perspective, it helps to find optimal decisions to invest or disinvest in processing facilities and technologies, both spatially and temporally. Aggregating VC flows over larger time periods, it can also give advice on optimal logging locations and volumes, transportation and storage choices or processing. In addition, requirements such as evenly distributed logging can be taken into account. We derive regional and national output and value-added multipliers from statistics (I-O tables) complemented by survey data. This allows us to take into account ripple effects on the economy from the VC activities, either through inclusion in the model’s objective function, hence optimizing REs alone or in combination with VC profits, or through post-optimization calculations.
The model development provided new insights about integrating operations research and regional macro-economics methodology in a common modelling framework, in particular, about the creation of finer-detailed regional I-O multipliers using a combination of statistical and survey data and their application in an optimization context. Evidently, this can be extended to other quantifiable aspects that can be set in a relation to VC profits. An obvious next step would be to assess further regional macro-economic indicators such as employment multipliers or to expand the existing multipliers with income effects. Other conceivable aspects may concern a stronger inclusion of environmental considerations and sustainability (e.g., biodiversity, recreational or other values of forests), forest protection or selective logging. This sets up diverse business, political and public interests and prioritizations against each other and assesses their effects on regional development.
We apply the model to a realistic case study motivated by the interests of our partners from industry and government, investigating options for industry development. For a region in northern Norway, we examine how different focus on VC profits or REs may affect the usage of regional forest resources and the VC structure and flows. Assessing the trade-off between VC profit (industry focus) and REs (political or society focus) by way of Pareto curves, our analysis indicates an imbalance in that an increase of VC profit is accompanied by an incomparably higher loss of REs. Extending the case study to allow for a broader variety of activities to be established, we see this imbalance vanishing somewhat with a more robust industry structure. Still, a universally good choice can hardly be found. Moreover, also in the second, more balanced case, changes in perspective affect VC profits more strongly than REs. This may be a consequence of the current model set-up, following the product flows in the VC while REs are included only via multipliers in the objective function. Future research should, hence, be concerned with an even tighter integration of both methodologies, beyond the mere inclusion of more macro-economic aspects.
Today, a wide range of instruments is already in place for forest owners and businesses, such as incentives to plant and harvest more timber, transport subsidies or investment grants [2]. We did not test the sensitivity of case study results with respect to cost parameters affected by such policy instruments. For example, transport or other subsidies may lead to increased use of regional timber and increased REs while compensating for VC profit losses. Although an optimization model may help to assess effects of such instruments and thus contribute to a sound decision basis, the ultimate choice and application of instruments is a question of political prioritization. The abundance of policy instruments should motivate authorities to use them efficiently to stimulate regional resource usage and the industry’s contributions to society regionally and nationally without sacrificing profitability.
Our work assumes central VC coordination, which presupposes collaboration between the single entities, thus delivering the best results which can be attained from an overall perspective. The case study indicates that some companies may be required to operate with a deficit, enabling more efficient companies to accrue higher profits, leading to a higher total VC profit. Obviously, this is not a realistic solution. A natural extension would, therefore, be to explore the purposeful application of governmental instruments stimulating regional industry development. This may imply subsidies to establish a more robust and interconnected sector in the region or other incentives to stimulate collaboration. With respect to the latter, it may prove valuable to extend the evaluation framework with methods from social sciences such as network analysis. This aids identifying relations and information flow between important entities within and outside the wood value chain, thus determining drivers and barriers for adopting good solutions. Aspects other than profitability guiding companies’ decision processes may then be included—in particular, companies with strong local ties or in small communities may also be inclined to consider, e.g., the social benefits of their operations. In a longer-term research perspective, it may also be interesting to investigate the inclusion of equilibrium modelling approaches reflecting the VC participants’ independent decision processes or how uncertainty about future political prioritizations may be considered.

Acknowledgments

The work presented in this paper is part of the NorFor project on efficient value chains for the forest industry in Coastal Norway, funded by the Norwegian Research Council under grant No. 239093 (SMARTRANS and MAROFF programmes) and by partners from the industry, business networking forums and public administration. We thank our partners for valuable discussions and insights contributing to the practical relevance and applicability of the model and, in particular, the case studies. Part of the research has also been supported by the RegModell project under Norwegian Research Council grant No. 102001007. We thank also two anonymous reviewers for valuable comments improving the quality of this paper.

Author Contributions

U.J. carried out the Input-Output analysis including data collection. All authors contributed in equal shares to the remainder of the work: development and implementation of the optimization model and inclusion of Input-Output methodology, data collection, design and analysis of the case study, and paper writing.

Conflicts of Interest

The authors declare no conflict of interest.

References

  1. Grytten, O.H. The gross domestic product for Norway 1830–2003. In Historical Monetary Statistics for Norway 1819–2003; Eitrheim, Ø., Klovland, J.T., Qvigstad, J.F., Eds.; Occasional Papers 35; Norges Bank: Oslo, Norway, 2004; Chapter 6; Available online: http://www.norges-bank.no/Upload/import/publikasjoner/skriftserie/35/chapter6.pdf (accessed on 12 May 2017).
  2. Bergseng, E.; Solberg, B. Evaluating Financing of Forestry in Europe (EFFE). Country Report—Norway; Technical Report INA Fagrapport 8; Institutt for Naturforvaltning, Universitetet for Miljø- og Biovitenskap: Ås, Norway, 2007; Available online: http://citeseerx.ist.psu.edu/viewdoc/download?doi=10.1.1.511.2632&rep=rep1&type=pdf (accessed on 12 May 2017).
  3. Nørstebø, V.S.; Flatberg, T.; Bjørkelo, K.; Kårstad, H.; Olsen, J. Infrastrukturprogrammet; Rapport 001-2015; Skogkurs: Biri, Norway, 2015; Available online: https://www.fylkesmannen.no/Documents/Dokument%20FMRO/Landbruk/Rapportar/Infrastrukturprogrammet.pdf (accessed on 12 May 2017). (In Norwegian)
  4. Kystskogbruket. Melding om Kystskogbruket 2015. Official Report. 2015. Available online: http://www.kystskogbruket.no/userfiles/files/Dokumenter/Melding%20om%20Kystskogbruket%202015%20.pdf (accessed on 12 May 2017). (In Norwegian).
  5. Tronstad, G. Skognæringas Rammevilkår. In Fagdag for Tømmertransport i Trøndelag; Skognæringa i Trøndelag: Stjørdal, Norway, 2014; (In Norwegian). Available online: http://www.kystskogbruket.no/userfiles/files/Gisle%20Tronstad.pdf (accessed on 12 May 2017).
  6. Landbruks- og Matdepartementet (LMD). SKOG22. Nasjonal Strategi for Skog- og Trenæringen; Official Report; Strategigruppen skog22: Oslo, Norway, 2015. (In Norwegian) [Google Scholar]
  7. Landbruks- og Matdepartementet (LMD). Verdier i Vekst—Konkurransedyktig Skog- og Trenæring; Report: Meld. St. 6 (2016–2017); LMD: Oslo, Norway, 2016; Available online: https://www.regjeringen.no/no/dokumenter/meld.-st.-6-20162017/id2515774/ (accessed on 12 May 2017). (In Norwegian)
  8. Kommunal- og Moderniseringsdepartementet (KMD). Ta Heile Noreg i Bruk; Report: Meld. st. 13; KMD: Oslo, Norway, 2013. (In Norwegian) [Google Scholar]
  9. DAMWAD. Hvordan Avvirke Lønnsomt? Official Report; Official Report; DAMWAD: Oslo, Norway, 2014; Available online: http://www.mef.no/Content/121590/Damvad%20-%20Hvordan%20avvirke%20l%C3%B8nnsomt.pdf (accessed on 12 May 2017). (In Norwegian)
  10. Shahi, S.; Pulkki, R. Supply chain network optimization of the Canadian forest products industry: A critical review. Am. J. Ind. Bus. Manag. 2013, 3, 631–643. [Google Scholar] [CrossRef]
  11. You, F.; Tao, L.; Graziano, D.J.; Snyder, S.W. Optimal design of sustainable cellulosic biofuel supply chains: Multiobjective optimization coupled with life cycle assessment and input–output analysis. AIChE J. 2012, 58, 1157–1180. [Google Scholar] [CrossRef]
  12. Dahal, R.P.; Henderson, J.E.; Munn, I.A. Forest products industry size and economic multipliers in the US South. For. Prod. J. 2015, 65, 372–380. [Google Scholar] [CrossRef]
  13. Leontief, W.W. Quantitative input and output relations in the economic systems of the united states. Rev. Econ. Stat. 1936, 18, 105–125. [Google Scholar] [CrossRef]
  14. Miller, R.E.; Blair, P.D. Input-Output Analysis: Foundations and Extensions; Cambridge University Press: Cambridge, UK, 2009; ISBN 9780521517133. [Google Scholar]
  15. Olson, J. Micro IMPLAN Software Manual; Regents of the University of Minnesota: Minneapolis, MN, USA, 1989. [Google Scholar]
  16. Munn, I.A. A comparison of two input-output based approaches for investigating regional economic impacts of the forest products industry in the PNW and South. For. Prod. J. 2001, 51, 39–46. [Google Scholar]
  17. Psaltopoulos, D.; Thomson, K. Input-output evaluation of rural development: A forestry-centred application. J. Rural Stud. 1993, 9, 351–358. [Google Scholar] [CrossRef]
  18. Eiser, D.; Roberts, D. The employment and output effects of changing patterns of afforestation in Scotland. J. Agric. Econ. 2002, 53, 65–81. [Google Scholar] [CrossRef]
  19. Rimmler, T.; Kurttila, M.; Pesonena, M.; Koljonen, K. Economic impacts of alternative timber-cutting scenarios in Finland: An input-output analysis. For. Policy Econ. 2000, 1, 301–313. [Google Scholar] [CrossRef]
  20. Teischinger, A. The forest-based sector value chain—A tentative survey. Lenzing. Ber. 2009, 87, 1–10. [Google Scholar]
  21. Sikanen, L. BioPAD: Value Chain of Bioenergy and Socio-Economic Contributions. Technical Report. 2014. Available online: http://www.biopad.eu/wp-content/uploads/Value-chain-of-bioenergy-and-socio-economic-contributions-1.0.pdf (accessed on 12 May 2017).
  22. Bösch, M.; Jochem, D.; Weimar, H.; Dieter, M. Physical input-output accounting of the wood and paper flow in Germany. Resour. Conserv. Recycl. 2015, 94, 99–109. [Google Scholar] [CrossRef]
  23. Statistics Norway. Table 09390: Regional Accounts by Industry (C). 2014. Available online: https://www.ssb.no/statistikkbanken/selectvarval/Define.asp?subjectcode=&ProductId=&MainTable=FNRnaering&nvl=&PLanguage=1&nyTmpVar=true&CMSSubjectArea=nasjonalregnskap-og-konjunkturer&KortNavnWeb=fnr&StatVariant=&checked=true (accessed on 12 May 2017).
  24. Motsa, C. Timber Harvesting within a Supply and Value Chain Optimization Context; Report FRST 497; Faculty of Forestry, University of British Columbia: Vancouver, BC, Canada, 2011; Available online: https://open.library.ubc.ca/cIRcle/collections/undergraduateresearch/52966/items/1.0075506 (accessed on 12 May 2017).
  25. Carlsson, D.; Rönnqvist, M. Supply chain management in forestry—Case studies at Södra Cell AB. Eur. J. Oper. Res. 2005, 163, 589–616. [Google Scholar] [CrossRef]
  26. Rönnqvist, M. Optimization in forestry. Math. Program. Ser. B 2003, 97, 267–284. [Google Scholar]
  27. D’Amours, S.; Rönnqvist, M.; Weintraub, A. Using operational research for supply chain planning in the forest products industry. INFOR 2008, 46, 265–281. [Google Scholar] [CrossRef]
  28. Latta, G.S.; Sjølie, H.K.; Solberg, B. A review of recent developments and applications of partial equlibirum models of the forest sector. J. For. Econ. 2013, 19, 350–360. [Google Scholar] [CrossRef]
  29. Frisk, M.; Göthe-Lundgren, M.; Jörnsten, K.; Rönnqvist, M. Cost allocation in collaborative forest transportation. Eur. J. Oper. Res. 2010, 205, 448–458. [Google Scholar] [CrossRef]
  30. Kong, J.; Rönnqvist, M.; Frisk, M. Modeling an Integrated Market for Sawlogs, Pulpwood and Forest Bioenergy; Discussion Paper No. 2011/11; Norwegian School of Economics and Business Administration: Bergen, Norway, 2011; Available online: http://dx.doi.org/10.2139/ssrn.1935884 (accessed on 12 May 2017).
  31. Kaut, M.; Egging, R.; Flatberg, T.; Uggen, K.T. BLOMST—An optimization model for the bioenergy supply chain. In Handbook of Bioenergy; Eksioglu, S.D., Rebennack, S., Pardalos, P., Eds.; Energy Systems; Springer: New York, NY, USA, 2015; pp. 37–66. ISBN 978-3-319-20091-0. [Google Scholar]
  32. Viitamo, E. Cluster Analysis and the Forest Sector—Where Are We Now; Interim Report IR-01-016; IIASA: Laxenburg, Austria, 2001. [Google Scholar]
  33. Hagadone, T.A.; Grala, R.K. Business clusters in Mississippi’s forest products industry. For. Policy Econ. 2012, 20, 16–24. [Google Scholar] [CrossRef]
  34. Nørstebø, V.S.; Johansen, U. Optimal transportation of logs and location of quay facilities in coastal regions of Norway. For. Policy Econ. 2013, 26, 71–81. [Google Scholar] [CrossRef]
  35. Voces, R.; Diaz-Balteiro, L.; Romero, C. Characterization and Explanation of the Sustainability of the European Wood Manufacturing Industries: A Quantitative Approach. Expert Syst. Appl. 2012, 39, 6618–6627. [Google Scholar] [CrossRef]
  36. Diaz-Balteiro, L.; Voces González, R.; Romero, C. Making sustainability rankings using compromise programming. An application to European paper industry. Silva Fenn. 2011, 45, 761–773. [Google Scholar] [CrossRef]
  37. Wolfslehner, B.; Brüchert, F.; Fischbach, J.; Rammer, W.; Becker, G.; Lindner, M.; Lexer, M.J. Exploratory multi-criteria analysis in sustainability impact assessment of forest-wood chains: The example of a regional case study in Baden-Württemberg. Eur. J. For. Res. 2012, 131, 47–56. [Google Scholar] [CrossRef]
  38. Von Geibler, J.; Kristof, K.; Bienge, K. Sustainability assessment of entire forest-value chains: Integrating stakeholder perspectives and indicators in decision support tools. Ecol. Model. 2010, 221, 2206–2214. [Google Scholar] [CrossRef]
  39. Cambero, C.; Sowlati, T. Assessment and optimization of forest biomass supply chains from economic, social and environmental perspectives—A review of literature. Renew. Sustain. Energy Rev. 2014, 36, 62–73. [Google Scholar] [CrossRef]
  40. Carvalho, A.L.D.; Antunes, C.H.; Freire, F.; Henriquesyou, C.O. A hybrid input-output multi-objective model to assess economic-energy-environment trade-offs in Brazil. Energy 2015, 82, 769–785. [Google Scholar] [CrossRef]
  41. Nørstebø, V.S.; Werner, A.; Johansen, U.; Uggen, K.T. Norfor—Effektive Verdikjeder for Skognæringen i Kyst-Norge. Dokumentasjon av Optimeringsmodell; SINTEF Report; SINTEF: Trondheim, Norway, 2017. (In Norwegian) [Google Scholar]
  42. Richardsen, R.; Bull-Berg, H. Nasjonal Betydning av Sjømatnæringen; Technical Report A 27705; SINTEF: Trondheim, Norway, 2016. (In Norwegian) [Google Scholar]
  43. QGIS Development Team. QGIS Geographic Information System. Open Source Geospatial Foundation. 2009. Available online: http://qgis.osgeo.org (accessed on 12 May 2017).
  44. Nørstebø, V.S.; Johansen, U.; Gabriel, H.M.; Talbot, B.; Nilsen, J. E. Transport av Skogsvirke i Kyststrøk; SINTEF Report A20874; SINTEF: Trondheim, Norway, 2011. (In Norwegian) [Google Scholar]
  45. Grønland, S.E. Kostnadsmodeller for Transport og Logistikk; Technical Report 1127/2011; Transportøkonomisk Institutt (TØI): Oslo, Norway, 2011. (In Norwegian) [Google Scholar]
  46. Pøyry. Markedsanalyse Skogsnæring i Norge. 2014. Available online: http://www.innovasjonnorge.no/contentassets/fcfad50d7475464bb341f58dc770d368/markedsanalyse-skogsnaring-i-norge1610.pdf (accessed on 12 May 2017). (In Norwegian).
  47. Johnson, T.G.; Kulshreshtha, S.N. Exogenizing agriculture in an input-output model to estimate relative impacts of different farm types. West. J. Agric. Econ. 1982, 7, 187–198. [Google Scholar]
  48. Lindberg, G.; Teräs, J.; Berlina, A.; Mikkola, N.; Kristjánsdóttir, S. Regional Economic Impact and Potential of Nordic Bioeconomy; Technical Report; Nordic Centre for Spatial Development: Stockholm, Sweden, 2015. [Google Scholar]
  49. Statistics Norway. Table 07412: Commercial Roundwood Removals. Final Figures. 2014. Available online: https://www.ssb.no/statistikkbanken/SelectVarVal/Define.asp?MainTable=AvvirkSalg13&KortNavnWeb=skogav&PLanguage=1&checked=true (accessed on 12 May 2017).
Figure 1. Value chain (VC) elements, transportation links and storage considered in the model (H: harbours).
Figure 1. Value chain (VC) elements, transportation links and storage considered in the model (H: harbours).
Forests 08 00172 g001
Figure 2. Activities included in VC profit and RE optimization or post calculation.
Figure 2. Activities included in VC profit and RE optimization or post calculation.
Forests 08 00172 g002
Figure 3. The northern Norwegian region considered in the case, with municipality borders. Map drawn using QGIS Geographic Information System [43].
Figure 3. The northern Norwegian region considered in the case, with municipality borders. Map drawn using QGIS Geographic Information System [43].
Forests 08 00172 g003
Figure 4. Trade-off between VC profit and REs (black line, left axis) in million USD with national (A and C) and regional focus (B and D), respectively. Corresponding regional resource utilization in percent shown as red dotted line (right axis). A and B show investment options in sawmills only; C and D show investment options in both sawmills and pulpwood processing industry.
Figure 4. Trade-off between VC profit and REs (black line, left axis) in million USD with national (A and C) and regional focus (B and D), respectively. Corresponding regional resource utilization in percent shown as red dotted line (right axis). A and B show investment options in sawmills only; C and D show investment options in both sawmills and pulpwood processing industry.
Forests 08 00172 g004
Table 1. Main model parameters and variables (VC: value chain, RE: ripple effects).
Table 1. Main model parameters and variables (VC: value chain, RE: ripple effects).
Objective Parameters and Variables
1. VC profitParametersSales prices (raw materials, processed products), costs (company and production line investments, logging and production, transportation, storage), capacities (production, storage, transportation), forest resources (volumes, tree types, timber/pulpwood ratios), production process recipes (combination and splitting ratios), distances (sea, land) and customer demands
VariablesInvestments, logging, transport, production and storage
2. REsParametersAdditionally to 1.: value added multipliers
VariablesSame as 1.
3. VC profitParameters:Additionally to 2.: weighting factor for objective function
and REsVariablesSame as 1. and 2.
Table 2. Multipliers to estimate REs from the single participants’ activities.
Table 2. Multipliers to estimate REs from the single participants’ activities.
GeograpicalMultipliersTimber LoggingTimberParticle BoardPaperSawmillBioenergyHarbour/
Scopeand TradeTransportProductionProductionExport
O c I 1.6571.5451.3351.6931.3291.2081.039
National VA c I 1.7561.6202.0192.6521.2821.4581.032
Adj . VA c I 0.3570.2490.1680.3480.1610.1270.032
O c I 1.2721.2131.0591.1541.0801.1141.021
Regional VA c I 1.3711.3181.2581.2771.0661.2561.019
Adj . VA c I 0.1750.1010.0430.0740.0660.0710.014
Note: O c I : output multiplier, VA c I : value-added multiplier, Adj . VA c I : adjusted value-added multiplier.
Table 3. Selected model results under five different objectives (all economic values in million USD).
Table 3. Selected model results under five different objectives (all economic values in million USD).
1. VC2. National3. Regional REs4. VC Profitand5. VC Profit and
ProfitREsREsNational REsRegional REs
VC profit992405471975990
Regional companies’ profit375165195354378
Regional forest owners’ profit267 - 54 - 34 272280
Forest owners’ profit (outside region)351295310349332
National RE18402289223018951847
Regional RE464647646484485
Use of regional forest resources (million m 3 )19.531.031.019.720.4
Use of available regional forest resources54%86%86%55%56%
New sawmills2121241
(Original) companies with negative profit01100
Forest owners with negative profit0141452

Share and Cite

MDPI and ACS Style

Johansen, U.; Werner, A.; Nørstebø, V. Optimizing the Wood Value Chain in Northern Norway Taking Into Account National and Regional Economic Trade-Offs. Forests 2017, 8, 172. https://doi.org/10.3390/f8050172

AMA Style

Johansen U, Werner A, Nørstebø V. Optimizing the Wood Value Chain in Northern Norway Taking Into Account National and Regional Economic Trade-Offs. Forests. 2017; 8(5):172. https://doi.org/10.3390/f8050172

Chicago/Turabian Style

Johansen, Ulf, Adrian Werner, and Vibeke Nørstebø. 2017. "Optimizing the Wood Value Chain in Northern Norway Taking Into Account National and Regional Economic Trade-Offs" Forests 8, no. 5: 172. https://doi.org/10.3390/f8050172

APA Style

Johansen, U., Werner, A., & Nørstebø, V. (2017). Optimizing the Wood Value Chain in Northern Norway Taking Into Account National and Regional Economic Trade-Offs. Forests, 8(5), 172. https://doi.org/10.3390/f8050172

Note that from the first issue of 2016, this journal uses article numbers instead of page numbers. See further details here.

Article Metrics

Back to TopTop