Three-Year Study on Diurnal and Seasonal CO2 Sequestration of a Young Fraxinus griffithii Plantation in Southern Taiwan
Abstract
:1. Introduction
2. Materials and Methods
2.1. Plants and Growing Conditions
2.2. Measurements of Photosynthesis and Leaf Area
2.3. Estimation of CO2 Assimilation
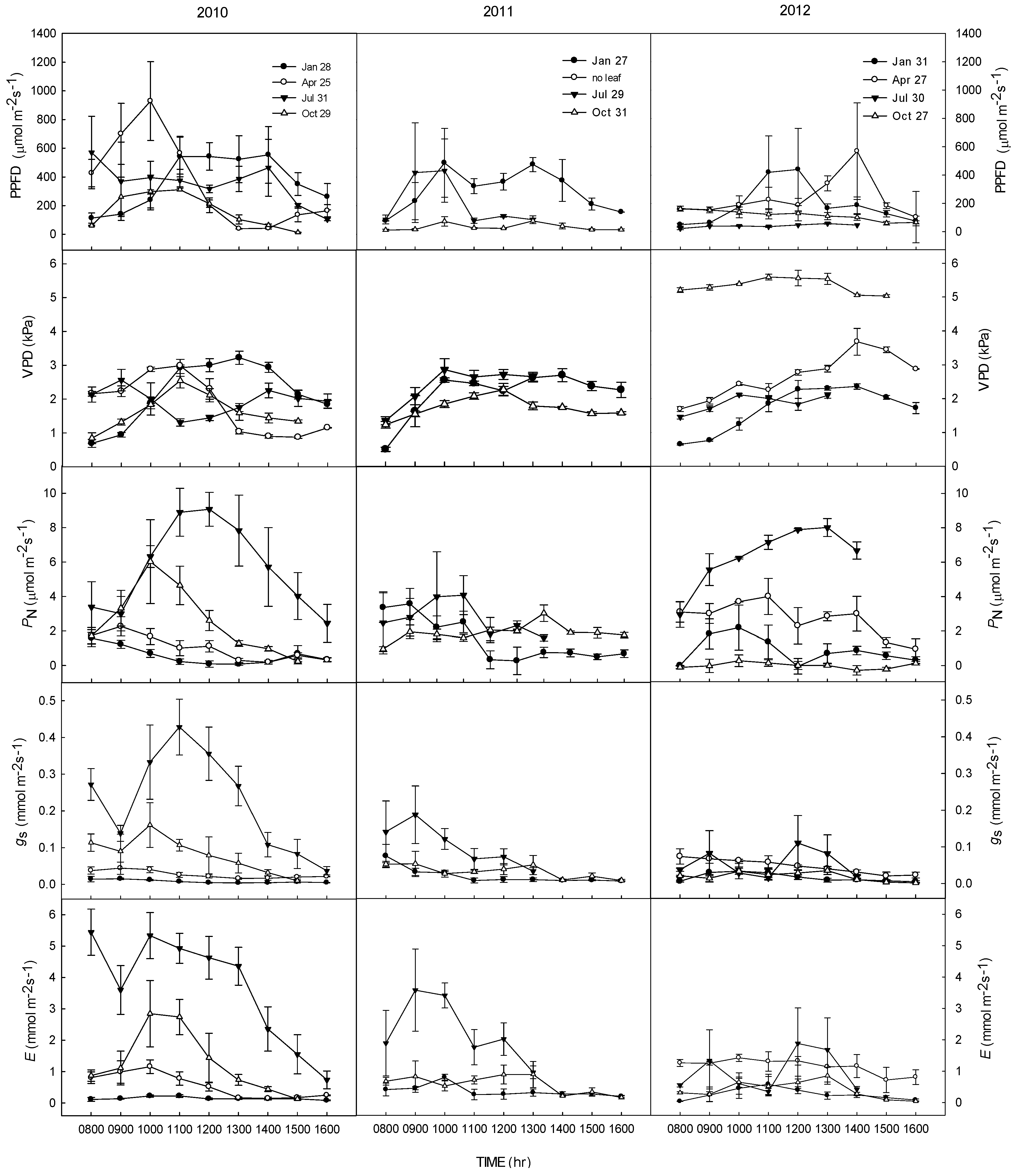
3. Results
3.1. Environmental Conditions
3.2. Photosynthesis and Related Parameters
3.3. CO2 Assimilation and Environmental Factors
4. Discussion
5. Conclusions
Acknowledgments
Author Contributions
Conflicts of Interest
References
- Chmura, D.J.; Anderson, P.D.; Howe, G.T.; Harrington, C.A.; Halofsky, J.E.; Peterson, D.L.; Shaw, D.C.; St.Clair, J.B. Forest responses to climate change in the northwestern United States: Ecophysiological foundations for adaptive management. For. Ecol. Manag. 2011, 261, 1121–1142. [Google Scholar] [CrossRef]
- Biswas, S.; Bala, S.; Mazumdar, A. Diurnal and seasonal carbon sequestration potential of seven broadleaved species in a mixed deciduous forest in India. Atmos. Environ. 2014, 89, 827–834. [Google Scholar] [CrossRef]
- Noormets, A.; McNulty, S.G.; Deforest, J.L.; Sun, G.; Li, Q.; Chen, J. Drought during canopy development has lasting effect on annual carbon balance in a deciduous temperate forest. New Phytol. 2008, 179, 818–828. [Google Scholar] [CrossRef] [PubMed]
- Schwalm, C.R.; William, C.A.; Schaefer, K.; Arneth, A.; Bonal, D.; Buchmann, N.; Chen, J.; Law, B.E.; Lindroth, A.; Luyssaert, S.; et al. Assimilation exceeds respiration sensitivity to drought: A FLUXNET synthesis. Glob. Chang. Biol. 2010, 16, 657–670. [Google Scholar] [CrossRef]
- Intergovernmental Panel on Climate Change. Climate Change 2013: Working Group I: The Physical Science Basis; Cambridge University Press: New York, NY, USA, 2013. [Google Scholar]
- Sun, O.J.; Sweet, G.B.; Whitehead, D.; Buchan, G.D. Physiological responses to water stress and waterlogging in Nothofagus species. Tree Physiol. 1995, 15, 629–638. [Google Scholar] [CrossRef] [PubMed]
- Klein, T.; Matteo, G.D.; Rotenberg, E.; Cohen, S.; Yakir, D. Differential ecophysiological response of a major Mediterranean pine species across a climatic gradient. Tree Physiol. 2013, 33, 26–36. [Google Scholar] [CrossRef] [PubMed]
- Shibata, H.; Hiura, T.; Tanaka, Y.; Takagi, K.; Koike, T. Carbon cycling and budget in a forested basin of southwestern Hokkaido, northern Japan. Ecol. Res. 2005, 20, 325–331. [Google Scholar] [CrossRef]
- Chiang, P.N.; Wang, Y.N.; Leong, C.M. Study on growth and carbon storage of Fraxinus griffithii plantation in central Taiwan. J. Exp. For. Natl. Taiwan Univ. 2010, 24, 185–194. [Google Scholar]
- Lin, K.C.; Duh, C.T.; Huang, C.M. Estimate of carbon storage and sequestration of Fraxinus griffithii plantations in Taiwan. Q. J. Chin. For. 2010, 43, 261–276. [Google Scholar]
- Lin, J.C.; Jeng, M.R.; Liu, S.F.; Lee, K.J. Economic benefit evaluation of the potential CO2 sequestration by the national reforestation program. Taiwan J. For. Sci. 2002, 17, 311–321. [Google Scholar]
- Yin, C.Y.; Berninger, F.; Li, C.Y. Photosynthetic responses of Populus przewalski subjected to drought stress. Photosynthetica 2006, 44, 62–68. [Google Scholar] [CrossRef]
- Sands, P.J. Modeling canopy production. II. From single-leaf photosynthetic parameters to daily canopy photosynthesis. Aust. J. Plant Physiol. 1995, 22, 603–614. [Google Scholar] [CrossRef]
- Thornley, J.H.M. Instantaneous canopy photosynthesis: Analytical expressions for sun and shade leaves based on exponential light decay down the canopy and an acclimated non-rectangular hyperbola for leaf photosynthesis. Ann. Bot. 2002, 89, 451–458. [Google Scholar] [CrossRef] [PubMed]
- Lachapelle, P.P.; Shipley, B. Interspecific prediction of photosynthetic light response curves using specific leaf mass and leaf nitrogen content: Effects of differences in soil fertility and growth irradiance. Ann. Bot. 2012, 109, 1149–1157. [Google Scholar] [CrossRef] [PubMed]
- Colom, M.R.; Vazzana, C. Photosynthesis and PSII functionality of drought-resistant and drought-sensitive weeping lovegrass plant. Environ. Exp. Bot. 2003, 49, 135–144. [Google Scholar] [CrossRef]
- Ogaya, R.; Peñuelas, J. Comparative field study of Quercus ilex and Phillyrea latifolia: Photosynthetic response to experimental drought conditions. Environ. Exp. Bot. 2003, 50, 137–148. [Google Scholar] [CrossRef]
- Gerhardt, K. Leaf defoliation of tropical dry forest tree seedlings—Implications for survival and growth. Trees 1998, 13, 88–95. [Google Scholar] [CrossRef]
- Ngugi, M.R.; Doley, D.; Hunt, M.A.; Ryan, P.; Dart, P. Physiological response to water stress in Eucalyptus cloeziana and E. argophloia seedlings. Trees 2004, 18, 381–389. [Google Scholar] [CrossRef]
- Ding, L.; Wang, K.J.; Jiang, G.M.; Li, Y.G.; Jiang, C.D.; Liu, M.Z.; Niu, S.L.; Peng, Y.M. Diurnal variation of gas exchange, chlorophyll fluorescence, and xanthophyll cycle components of maize hybrids released in different years. Photosynthetica 2006, 44, 26–31. [Google Scholar] [CrossRef]
- Li, X.W.; Chen, S.L. Diurnal changes in gas exchange and chlorophyll fluorescence parameters of Fritillaria cirrhosa and F. delavayi under field conditions. Photosynthetica 2009, 47, 191–198. [Google Scholar] [CrossRef]
- Tucci, M.L.S.; Erismann, N.M.; Machado, E.C.; Ribeiro, R.V. Diurnal and seasonal variation in photosynthesis of peach palms grown under subtropical conditions. Photosynthetica 2010, 48, 421–429. [Google Scholar] [CrossRef]
- Xu, J.Z.; Yu, Y.M.; Peng, S.Z.; Yang, S.H.; Liao, L.X. A modified nonrectangular hyperbola equation for photosynthetic light-response curves of leaves with different nitrogen status. Photosynthetica 2014, 52, 117–123. [Google Scholar] [CrossRef]
- Lang, Y.; Wang, M.; Zhang, G.C.; Zhao, Q.K. Experimental and simulated light responses of photosynthesis in leaves of three tree species under different soil water conditions. Photosynthetica 2013, 51, 370–378. [Google Scholar] [CrossRef]
- Kuo, Y.L.; Fan, K.S.; Hwang, C.W.; Lee, Y.P.; Wu, H.L.; Tsay, R.F. Gas exchange potential in sun-exposed leaves of 30 broadleaf trees in Taiwan. Taiwan J. For. Sci. 2004, 19, 375–386. [Google Scholar]
- Bonan, G.B. Importance of leaf area index and forest type when estimating photosynthesis in boreal forests. Remote Sens. Environ. 1993, 43, 303–314. [Google Scholar] [CrossRef]
- Gond, V.; de Pury, D.G.G.; Veroustraete, F.; Ceulemans, R. Seasonal variations in leaf area index, leaf chlorophyll, and water content; scaling-up to estimate fAPAR and carbon balance in a multispecies temperate forest. Tree Physiol. 1999, 19, 673–679. [Google Scholar] [CrossRef] [PubMed]
- Leuzinger, S.; Zotz, G.; Asshoff, R.; Körner, C. Responses of deciduous forest trees to severe drought in Central Europe. Tree Physiol. 2005, 25, 641–650. [Google Scholar] [CrossRef] [PubMed]
- Hassan, I.A. Effects of water stress and high temperature on gas exchange and chlorophyll fluorescence in Triticum aestivum L. Photosynthetica 2006, 44, 312–315. [Google Scholar] [CrossRef]
- Guerfel, M.; Ouni, Y.; Boujnah, D.; Zarrouk, M. Photosynthesis parameters and activities of enzymes of oxidative stress in two young ‘Chemlali’ and ‘Chetoui’ olive trees under water deficit. Photosynthetica 2009, 47, 340–346. [Google Scholar] [CrossRef]
- Taiz, L.; Zeiger, E. Plant Physiology, 3rd ed.; Sinauer Associates: Sunderland, MA, USA, 2002; pp. 592–606. [Google Scholar]
- Guan, X.; Gu, S. Photorespiration and photoprotection of grapevine (Vitis vinifera L. cv. Cabernet Sauvignon) under water stress. Photosynthetica 2009, 47, 437–444. [Google Scholar] [CrossRef]
- Monson, R.K.; Turnipseed, A.A.; Sparks, J.; Harley, P.C.; Scottdenton, L.E.; Sparks, K.; Huxman, T.E. Carbon sequestration in a high-elevation, subalpine forest. Glob. Chang. Biol. 2002, 8, 459–478. [Google Scholar] [CrossRef]
- Black, T.A.; Chen, W.J.; Barr, A.G.; Arain, M.A.; Chen, Z.; Nesic, Z.; Hogg, E.H.; Neumann, H.H.; Yang, P.C. Increased carbon sequestration by a boreal deciduous forest in years with a warm spring. Geophys. Res. Lett. 2000, 27, 1271–1274. [Google Scholar] [CrossRef]
- Barford, C.C.; Wofsy, S.C.; Goulden, M.L.; Munger, J.W.; Pyle, E.H.; Urbanski, S.P.; Hutyra, L.; Saleska, S.R.; Fitzjarrald, D.; Moore, K. Factors controlling long- and short-term sequestration of atmospheric CO2 in a mid-latitude forest. Science 2001, 294, 1688–1690. [Google Scholar] [CrossRef] [PubMed]
- Goulden, M.L.; Munger, J.W.; Fan, S.M.; Daube, B.C.; Wofsy, S.C. Exchange of carbon dioxide by a deciduous forest: Response to interannual climate variability. Science 1996, 271, 1576–1578. [Google Scholar] [CrossRef]
- Grünzweig, J.M.; Lin, T.; Rotenberg, E.; Schwartz, A.; Yakir, D. Carbon sequestration in arid-land forest. Glob. Chang. Biol. 2003, 9, 791–799. [Google Scholar] [CrossRef]
- Lin, K.C.; Duh, C.T.; Huang, C.M. Estimate of carbon storage of Acacia confusa and Liquidambar formosana plantations in Taitung area. Q. J. For. Res. 2009, 31, 55–68. [Google Scholar]




| Winter | Spring | Summer | Autumn | |
|---|---|---|---|---|
| α (mol·mol−1) | 0.040 ± 0.011 a,* | 0.051 ± 0.007 a | 0.056 ± 0.004 a | 0.050 ± 0.001 a |
| θ | 0.003 ± 0.001 b | 0.004 ± 0.001 b | 0.006 ± 0.001 b | 0.013 ± 0.001 a |
| LCP (μmol·m−2·s−1) | 30.20 ± 4.67 a,b | 41.86 ± 2.28 a | 21.46 ± 4.78 b | 21.88 ± 2.57 b |
| Amax (μmol·m−2·s−1) | 2.69 ± 1.33 b | 1.57 ± 0.41 b | 13.49 ± 2.26 a | 16.66 ± 3.19 a |
| RD (μmol·m−2·s−1) | 1.29 ± 0.56 a | 2.16 ± 0.36 a | 1.22 ± 0.35 a | 1.10 ± 0.14 a |
| LAI (m2·m−2) | 1.02 ± 0.26 c | 2.31 ± 0.03 a,b | 2.73 ± 0.49 a | 1.44 ± 0.15 b,c |
| Ta | Ts | Precipitation | SWC | CO2 | PPFD | VPD | |
|---|---|---|---|---|---|---|---|
| Am | 0.405 * | 0.241 | 0.316 | 0.472 ** | 0.267 | 0.240 | 0.133 |
| Ta | - | 0.827 ** | 0.538 ** | 0.672 ** | −0.081 | 0.632 ** | 0.135 |
| Ts | - | 0.400 * | 0.346 * | −0.037 | 0.654 ** | −0.097 | |
| Precipitation | - | 0.670 ** | 0.079 | 0.087 | −0.026 | ||
| SWC | - | 0.327 | 0.157 | 0.047 | |||
| CO2 | - | −0.112 | −0.428 * | ||||
| PPFD | - | −0.031 |
© 2016 by the authors; licensee MDPI, Basel, Switzerland. This article is an open access article distributed under the terms and conditions of the Creative Commons Attribution (CC-BY) license (http://creativecommons.org/licenses/by/4.0/).
Share and Cite
Chen, C.-I.; Wang, Y.-N.; Lih, H.-W.; Yu, J.-C. Three-Year Study on Diurnal and Seasonal CO2 Sequestration of a Young Fraxinus griffithii Plantation in Southern Taiwan. Forests 2016, 7, 230. https://doi.org/10.3390/f7100230
Chen C-I, Wang Y-N, Lih H-W, Yu J-C. Three-Year Study on Diurnal and Seasonal CO2 Sequestration of a Young Fraxinus griffithii Plantation in Southern Taiwan. Forests. 2016; 7(10):230. https://doi.org/10.3390/f7100230
Chicago/Turabian StyleChen, Chung-I, Ya-Nan Wang, Hsueh-Wen Lih, and Jui-Chu Yu. 2016. "Three-Year Study on Diurnal and Seasonal CO2 Sequestration of a Young Fraxinus griffithii Plantation in Southern Taiwan" Forests 7, no. 10: 230. https://doi.org/10.3390/f7100230
APA StyleChen, C.-I., Wang, Y.-N., Lih, H.-W., & Yu, J.-C. (2016). Three-Year Study on Diurnal and Seasonal CO2 Sequestration of a Young Fraxinus griffithii Plantation in Southern Taiwan. Forests, 7(10), 230. https://doi.org/10.3390/f7100230

