Effects of Nitrogen Addition on Nematode Communities in Northeastern Chinese Forests
Abstract
1. Introduction
2. Methods
2.1. Experimental Sites
2.2. Experimental Design
2.3. Soil Sampling and Processing
2.4. Extraction of Soil Nematodes
2.5. Analysis of Soil Nematode Communities
2.6. Data Analysis
3. Results
3.1. Changes in Soil Physicochemical Properties
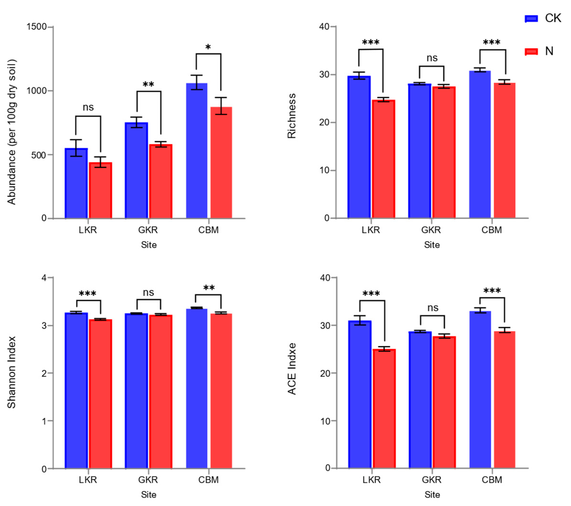
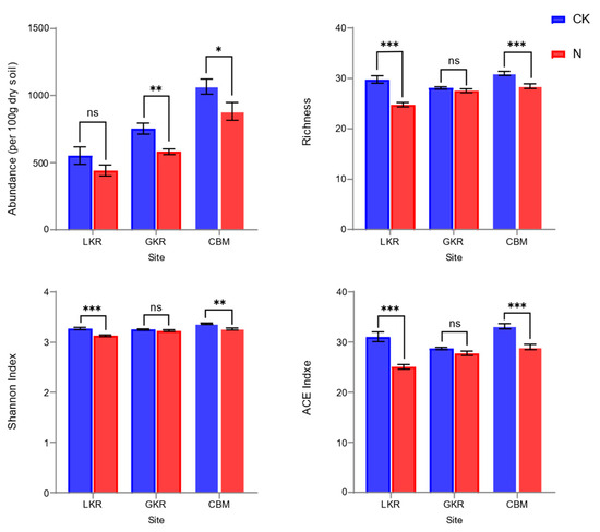
3.2. Changes in Soil Nematode Abundance and Richness
3.3. Changes in Soil Nematode Community Diversity Indices
3.4. Changes in Soil Nematode Ecological Function Indices
4. Discussion
4.1. Effects of Nitrogen Addition on Soil Nematode Abundance and Richness
4.2. Effects of Nitrogen Addition on Soil Nematode Diversity and Ecological Function Indices
5. Conclusions
Author Contributions
Funding
Data Availability Statement
Conflicts of Interest
References
- Ackerman, D.; Millet, D.B.; Chen, X. Global Estimates of Inorganic Nitrogen Deposition Across Four Decades. Glob. Biogeochem. Cycles 2019, 33, 100–107. [Google Scholar] [CrossRef]
- Mahmoud, S.H.; Gan, T.Y. Impact of anthropogenic climate change and human activities on environment and ecosystem services in arid regions. Sci. Total Environ. 2018, 633, 1329–1344. [Google Scholar] [CrossRef] [PubMed]
- Erisman, J.W.; Sutton, M.A.; Galloway, J.; Klimont, Z.; Winiwarter, W. How a century of ammonia synthesis changed the world. Nat. Geosci. 2008, 1, 636–639. [Google Scholar] [CrossRef]
- Liu, L.; Gundersen, P.; Zhang, T.; Mo, J. Effects of phosphorus addition on soil microbial biomass and community composition in three forest types in tropical China. Soil Biol. Biochem. 2012, 44, 31–38. [Google Scholar] [CrossRef]
- Yang, Y.; Ji, C.; Ma, W.; Wang, S.; Wang, S.; Han, W.; Mohammat, A.; Robinson, D.; Smith, P. Significant soil acidification across northern China’s grasslands during 1980s–2000s. Glob. Change Biol. 2012, 18, 2292–2300. [Google Scholar] [CrossRef]
- Galloway, J.N.; Townsend, A.R.; Erisman, J.W.; Bekunda, M.; Cai, Z.; Freney, J.R.; Martinelli, L.A.; Seitzinger, S.P.; Sutton, M.A. Transformation of the Nitrogen Cycle: Recent Trends, Questions, and Potential Solutions. Science 2008, 320, 889–892. [Google Scholar] [CrossRef] [PubMed]
- Kanakidou, M.; Myriokefalitakis, S.; Daskalakis, N.; Fanourgakis, G.; Nenes, A.; Baker, A.R.; Tsigaridis, K.; Mihalopoulos, N. Past, Present, and Future Atmospheric Nitrogen Deposition. J. Atmos. Sci. 2016, 73, 2039–2047. [Google Scholar] [CrossRef] [PubMed]
- Yu, G.; Jia, Y.; He, N.; Zhu, J.; Chen, Z.; Wang, Q.; Piao, S.; Liu, X.; He, H.; Guo, X.; et al. Stabilization of atmospheric nitrogen deposition in China over the past decade. Nat. Geosci. 2019, 12, 424–429. [Google Scholar] [CrossRef]
- Liu, X.; Duan, L.; Mo, J.; Du, E.; Shen, J.; Lu, X.; Zhang, Y.; Zhou, X.; He, C.; Zhang, F. Nitrogen deposition and its ecological impact in China: An overview. Environ. Pollut. 2011, 159, 2251–2264. [Google Scholar] [CrossRef] [PubMed]
- Chen, X.Y.; Mulder, J. Atmospheric deposition of nitrogen at five subtropical forested sites in South China. Sci. Total Environ. 2007, 378, 317–330. [Google Scholar] [CrossRef]
- Sala, O.E.; Stuart Chapin, F.; Armesto, J.J.; Berlow, E.; Bloomfield, J.; Dirzo, R.; Huber-Sanwald, E.; Huenneke, L.F.; Jackson, R.B.; Kinzig, A. Global biodiversity scenarios for the year 2100. Science 2000, 287, 1770–1774. [Google Scholar] [CrossRef]
- Tian, D.; Niu, S. A global analysis of soil acidification caused by nitrogen addition. Environ. Res. Lett. 2015, 10, 24019. [Google Scholar] [CrossRef]
- Zhang, T.A.; Chen, H.Y.H.; Ruan, H. Global negative effects of nitrogen deposition on soil microbes. ISME J. 2018, 12, 1817–1825. [Google Scholar] [CrossRef] [PubMed]
- Clark, C.M.; Morefield, P.E.; Gilliam, F.S.; Pardo, L.H. Estimated losses of plant biodiversity in the United States from historical N deposition (1985–2010). Ecology 2013, 94, 1441–1448. [Google Scholar] [CrossRef]
- Wang, H.; Liu, G.; Huang, B.; Wang, X.; Xing, Y.; Wang, Q. Long-term nitrogen addition and precipitation reduction decrease soil nematode community diversity in a temperate forest. Appl. Soil Ecol. 2021, 162, 103895. [Google Scholar] [CrossRef]
- Bellard, C.; Bertelsmeier, C.; Leadley, P.; Thuiller, W.; Courchamp, F. Impacts of climate change on the future of biodiversity. Ecol. Lett. 2012, 15, 365–377. [Google Scholar] [CrossRef] [PubMed]
- Hooper, D.U.; Adair, E.C.; Cardinale, B.J.; Byrnes, J.E.K.; Hungate, B.A.; Matulich, K.L.; Gonzalez, A.; Duffy, J.E.; Gamfeldt, L.; O Connor, M.I. A global synthesis reveals biodiversity loss as a major driver of ecosystem change. Nature 2012, 486, 105–108. [Google Scholar] [CrossRef]
- Bobbink, R.; Hicks, K.; Galloway, J.; Spranger, T.; Alkemade, R.; Ashmore, M.; Bustamante, M.; Cinderby, S.; Davidson, E.; Dentener, F.; et al. Global assessment of nitrogen deposition effects on terrestrial plant diversity: A synthesis. Ecol. Appl. 2010, 20, 30–59. [Google Scholar] [CrossRef]
- Neher, D.A. Role of nematodes in soil health and their use as indicators. J. Nematol. 2001, 33, 161. [Google Scholar] [PubMed]
- Xing, W.; Lu, X.; Niu, S.; Chen, D.; Wang, J.; Liu, Y.; Wang, B.; Zhang, S.; Li, Z.; Yao, X.; et al. Global patterns and drivers of soil nematodes in response to nitrogen enrichment. Catena 2022, 213, 106235. [Google Scholar] [CrossRef]
- Wilschut, R.A.; Geisen, S. Nematodes as Drivers of Plant Performance in Natural Systems. Trends Plant Sci. 2021, 26, 237–247. [Google Scholar] [CrossRef]
- Chen, D.; Lan, Z.; Hu, S.; Bai, Y. Effects of nitrogen enrichment on belowground communities in grassland: Relative role of soil nitrogen availability vs. soil acidification. Soil Biol. Biochem. 2015, 89, 99–108. [Google Scholar] [CrossRef]
- Ferris, H.; Bongers, T. Nematode indicators of organic enrichment. J. Nematol. 2006, 38, 3–12. [Google Scholar] [PubMed]
- Yeates, G.W. Nematodes as soil indicators: Functional and biodiversity aspects. Biol. Fertil. Soils 2003, 37, 199–210. [Google Scholar] [CrossRef]
- Cesarz, S.; Reich, P.B.; Scheu, S.; Ruess, L.; Schaefer, M.; Eisenhauer, N. Nematode functional guilds, not trophic groups, reflect shifts in soil food webs and processes in response to interacting global change factors. Pedobiologia 2015, 58, 23–32. [Google Scholar] [CrossRef]
- Mueller, K.E.; Blumenthal, D.M.; Carrillo, Y.; Cesarz, S.; Ciobanu, M.; Hines, J.; Pabst, S.; Pendall, E.; de Tomasel, C.M.; Wall, D.H.; et al. Elevated CO2 and warming shift the functional composition of soil nematode communities in a semiarid grassland. Soil Biol. Biochem. 2016, 103, 46–51. [Google Scholar] [CrossRef]
- Shaw, E.A.; Boot, C.M.; Moore, J.C.; Wall, D.H.; Baron, J.S. Long-term nitrogen addition shifts the soil nematode community to bacterivore-dominated and reduces its ecological maturity in a subalpine forest. Soil Biol. Biochem. 2019, 130, 177–184. [Google Scholar] [CrossRef]
- Sun, X.; Zhang, X.; Zhang, S.; Dai, G.; Han, S.; Liang, W. Soil Nematode Responses to Increases in Nitrogen Deposition and Precipitation in a Temperate Forest. PLoS ONE 2013, 8, e82468. [Google Scholar] [CrossRef] [PubMed]
- Ferris, H.; Bongers, T.; de Goede, R.G. A framework for soil food web diagnostics: Extension of the nematode faunal analysis concept. Appl. Soil Ecol. 2001, 18, 13–29. [Google Scholar] [CrossRef]
- Liang, W.; Lou, Y.; Li, Q.; Zhong, S.; Zhang, X.; Wang, J. Nematode faunal response to long-term application of nitrogen fertilizer and organic manure in Northeast China. Soil Biol. Biochem. 2009, 41, 883–890. [Google Scholar] [CrossRef]
- Zhao, J.; Wang, F.; Li, J.; Zou, B.; Wang, X.; Li, Z.; Fu, S. Effects of experimental nitrogen and/or phosphorus additions on soil nematode communities in a secondary tropical forest. Soil Biol. Biochem. 2014, 75, 1–10. [Google Scholar] [CrossRef]
- Forge, T.A.; Hogue, E.; Neilsen, G.; Neilsen, D. Effects of organic mulches on soil microfauna in the root zone of apple: Implications for nutrient fluxes and functional diversity of the soil food web. Appl. Soil Ecol. 2003, 22, 39–54. [Google Scholar] [CrossRef]
- Wang, J.; Zheng, Y.; Shi, X.; Lam, S.K.; Lucas-Borja, M.E.; Huang, Z. Nature restoration shifts the abundance and structure of soil nematode communities in subtropical forests. Plant Soil 2022, 471, 315–327. [Google Scholar] [CrossRef]
- Liu, W.; Jiang, L.; Hu, S.; Li, L.; Liu, L.; Wan, S. Decoupling of soil microbes and plants with increasing anthropogenic nitrogen inputs in a temperate steppe. Soil Biol. Biochem. 2014, 72, 116–122. [Google Scholar] [CrossRef]
- Song, M.; Jing, S.; Zhou, Y.; Hui, Y.; Zhu, L.; Wang, F.; Hui, D.; Jiang, L.; Wan, S. Dynamics of soil nematode communities in wheat fields under different nitrogen management in Northern China Plain. Eur. J. Soil Biol. 2015, 71, 13–20. [Google Scholar] [CrossRef]
- Wang, X.; Xiao, S.; Yang, X.; Liu, Z.; Zhou, X.; Du, G.; Zhang, L.; Guo, A.; Chen, S.; Nielsen, U.N. Dominant plant species influence nematode richness by moderating understory diversity and microbial assemblages. Soil Biol. Biochem. 2019, 137, 107566. [Google Scholar] [CrossRef]
- Yeates, G.W. Effects of plants on nematode community structure. Annu. Rev. Phytopathol. 1999, 37, 127–149. [Google Scholar] [CrossRef]
- Ruan, W.; Sang, Y.; Chen, Q.; Zhu, X.; Lin, S.; Gao, Y. The Response of Soil Nematode Community to Nitrogen, Water, and Grazing History in the Inner Mongolian Steppe, China. Ecosystems 2012, 15, 1121–1133. [Google Scholar] [CrossRef]
- Nisa, R.U.; Tantray, A.Y.; Kouser, N.; Allie, K.A.; Wani, S.M.; Alamri, S.A.; Alyemeni, M.N.; Wijaya, L.; Shah, A.A. Influence of ecological and edaphic factors on biodiversity of soil nematodes. Saudi J. Biol. Sci. 2021, 28, 3049–3059. [Google Scholar] [CrossRef] [PubMed]
- Song, M.; Li, X.; Jing, S.; Lei, L.; Wang, J.; Wan, S. Responses of soil nematodes to water and nitrogen additions in an old-field grassland. Appl. Soil Ecol. 2016, 102, 53–60. [Google Scholar] [CrossRef]
- Wei, C.; Zheng, H.; Li, Q.; Lü, X.; Yu, Q.; Zhang, H.; Chen, Q.; He, N.; Kardol, P.; Liang, W.; et al. Nitrogen Addition Regulates Soil Nematode Community Composition through Ammonium Suppression. PLoS ONE 2012, 7, e43384. [Google Scholar] [CrossRef]
- Xing, W.; Lu, X.; Geng, S.; Ding, J.; Bai, Y. Mechanisms underlying the negative effects of nitrogen addition on soil nematode communities in global grassland ecosystems. Geoderma 2023, 436, 116564. [Google Scholar] [CrossRef]
- Murray, P.J.; Cook, R.; Currie, A.F.; Dawson, L.A.; Gange, A.C.; Grayston, S.J.; Treonis, A.M. Interactions between fertilizer addition, plants and the soil environment: Implications for soil faunal structure and diversity. Appl. Soil Ecol. 2006, 33, 199–207. [Google Scholar] [CrossRef]
- Demoling, F.; Ola Nilsson, L.; Bååth, E. Bacterial and fungal response to nitrogen fertilization in three coniferous forest soils. Soil Biol. Biochem. 2008, 40, 370–379. [Google Scholar] [CrossRef]
- Zhou, Q.; Xiang, Y.; Li, D.; Luo, X.; Wu, J. Global patterns and controls of soil nematode responses to nitrogen enrichment: A meta-analysis. Soil Biol. Biochem. 2021, 163, 108433. [Google Scholar] [CrossRef]
- Hu, J.; Zhou, S.; Tie, L.; Liu, X.; Liu, X.; Zhao, A.; Lai, J.; Xiao, L.; You, C.; Huang, C. Effects of nitrogen addition on soil faunal abundance: A global meta-analysis. Glob. Ecol. Biogeogr. 2022, 31, 1655–1666. [Google Scholar] [CrossRef]
- Viglierchio, D.R.; Schmitt, R.V. On the methodology of nematode extraction from field samples: Baermann funnel modifications. J. Nematol. 1983, 15, 438–444. [Google Scholar]
- Heip, C.; Smol, N.; Hautekiet, W. A rapid method of extracting meiobenthic nematodes and copepods from mud and detritus. Mar. Biol. 1974, 28, 79–81. [Google Scholar] [CrossRef]
- Yeates, G.W.; Bongers, T.; De Goede, R.G.; Freckman, D.W.; Georgieva, S.S. Feeding habits in soil nematode families and genera-an outline for soil ecologists. J. Nematol. 1993, 25, 315–331. [Google Scholar]
- Bongers, T. The maturity index: An ecological measure of environmental disturbance based on nematode species composition. Oecologia 1990, 83, 14–19. [Google Scholar] [CrossRef]
- Anderson, M.J.; Crist, T.O.; Chase, J.M.; Vellend, M.; Inouye, B.D.; Freestone, A.L.; Sanders, N.J.; Cornell, H.V.; Comita, L.S.; Davies, K.F. Navigating the multiple meanings of β diversity: A roadmap for the practicing ecologist. Ecol. Lett. 2011, 14, 19–28. [Google Scholar] [CrossRef] [PubMed]
- Berkelmans, R.; Ferris, H.; Tenuta, M.; van Bruggen, A.H.C. Effects of long-term crop management on nematode trophic levels other than plant feeders disappear after 1 year of disruptive soil management. Appl. Soil Ecol. 2003, 23, 223–235. [Google Scholar] [CrossRef]
- R Core Team. R: A Language and Environment for Statistical Computing; R Foundation for Statistical Computing: Vienna, Austria, 2020. [Google Scholar]
- Liu, J.; Chen, Y.; Du, C.; Liu, X.; Ma, Q.; Zhang, X.; Wang, D. Interactive effects of nitrogen addition and litter on soil nematodes in grassland. Eur. J. Soil Sci. 2019, 70, 697–706. [Google Scholar] [CrossRef]
- Hu, J.; Chen, G.; Hassan, W.M.; Chen, H.; Li, J.; Du, G. Fertilization influences the nematode community through changing the plant community in the Tibetan Plateau. Eur. J. Soil Biol. 2017, 78, 7–16. [Google Scholar] [CrossRef]
- Qi, Y.; Sun, X.; Peng, S.; Tan, X.; Zhou, S. Effects of fertilization on soil nematode communities in an alpine meadow of Qinghai-Tibet plateau. Front. Ecol. Evol. 2023, 11, 1122505. [Google Scholar] [CrossRef]
- Liu, T.; Mao, P.; Shi, L.; Wang, Z.; Wang, X.; He, X.; Tao, L.; Liu, Z.; Zhou, L.; Shao, Y.; et al. Contrasting effects of nitrogen deposition and increased precipitation on soil nematode communities in a temperate forest. Soil Biol. Biochem. 2020, 148, 107869. [Google Scholar] [CrossRef]
- Matson, P.A.; Mcdowell, W.H.; Townsend, A.R.; Vitousek, P.M. The globalization of N deposition: Ecosystem consequences in tropical environments. Biogeochemistry 1999, 46, 67–83. [Google Scholar] [CrossRef]
- Bai, Y.; Wu, J.; Clark, C.M.; Naeem, S.; Pan, Q.; Huang, J.; Zhang, L.; Han, X. Tradeoffs and thresholds in the effects of nitrogen addition on biodiversity and ecosystem functioning: Evidence from inner Mongolia Grasslands. Glob. Change Biol. 2010, 16, 358–372. [Google Scholar] [CrossRef]
- Jiang, Y.; Sun, B.; Li, H.; Liu, M.; Chen, L.; Zhou, S. Aggregate-related changes in network patterns of nematodes and ammonia oxidizers in an acidic soil. Soil Biol. Biochem. 2015, 88, 101–109. [Google Scholar] [CrossRef]
- Wang, J.; Shi, X.; Li, L.; Zhang, X. Changes in soil nematodes in rhizosphere and non-rhizosphere soils following combined elevated [CO2] and canopy warming in a winter wheat field. Geoderma 2021, 386, 114907. [Google Scholar] [CrossRef]
- Zhang, Z.; Zhang, X.; Mahamood, M.; Zhang, S.; Huang, S.; Liang, W. Effect of long-term combined application of organic and inorganic fertilizers on soil nematode communities within aggregates. Sci. Rep. 2016, 6, 31118. [Google Scholar] [CrossRef]
- Landesman, W.J.; Treonis, A.M.; Dighton, J. Effects of a one-year rainfall manipulation on soil nematode abundances and community composition. Pedobiologia 2011, 54, 87–91. [Google Scholar] [CrossRef]
- Liu, W.; Zhang, Z.; Wan, S. Predominant role of water in regulating soil and microbial respiration and their responses to climate change in a semiarid grassland. Glob. Change Biol. 2009, 15, 184–195. [Google Scholar] [CrossRef]
- Mao, Q.; Lu, X.; Zhou, K.; Chen, H.; Zhu, X.; Mori, T.; Mo, J. Effects of long-term nitrogen and phosphorus additions on soil acidification in an N-rich tropical forest. Geoderma 2017, 285, 57–63. [Google Scholar] [CrossRef]
- Peng, Y.; Chen, G.; Chen, G.; Li, S.; Peng, T.; Qiu, X.; Luo, J.; Yang, S.; Hu, T.; Hu, H.; et al. Soil biochemical responses to nitrogen addition in a secondary evergreen broad-leaved forest ecosystem. Sci. Rep. 2017, 7, 2783. [Google Scholar] [CrossRef] [PubMed]
- Peng, Y.; Peñuelas, J.; Vesterdal, L.; Yue, K.; Peguero, G.; Fornara, D.A.; Heděnec, P.; Steffens, C.; Wu, F. Responses of soil fauna communities to the individual and combined effects of multiple global change factors. Ecol. Lett. 2022, 25, 1961–1973. [Google Scholar] [CrossRef] [PubMed]
- Wang, K.H.; McSorley, R.; Marshall, A.; Gallaher, R.N. Influence of organic Crotalaria juncea hay and ammonium nitrate fertilizers on soil nematode communities. Appl. Soil Ecol. 2006, 31, 186–198. [Google Scholar] [CrossRef]
- Tenuta, M.; Ferris, H. Sensitivity of nematode life-history groups to ions and osmotic tensions of nitrogenous solutions. J. Nematol. 2004, 36, 85–94. [Google Scholar]
- Kronzucker, H.J.; Britto, D.T.; Davenport, R.J.; Tester, M. Ammonium toxicity and the real cost of transport. Trends Plant Sci. 2001, 6, 335–337. [Google Scholar] [CrossRef]
- Chen, D.; Lan, Z.; Bai, X.; Grace, J.B.; Bai, Y. Evidence that acidification-induced declines in plant diversity and productivity are mediated by changes in below-ground communities and soil properties in a semi-arid steppe. J. Ecol. 2013, 101, 1322–1334. [Google Scholar] [CrossRef]
- Grayston, S.J.; Griffith, G.S.; Mawdsley, J.L.; Campbell, C.D.; Bardgett, R.D. Accounting for variability in soil microbial communities of temperate upland grassland ecosystems. Soil Biol. Biochem. 2001, 33, 533–551. [Google Scholar] [CrossRef]
- Keith, A.M.; Brooker, R.W.; Osler, G.H.R.; Chapman, S.J.; Burslem, D.F.R.P.; van der Wal, R. Strong impacts of belowground tree inputs on soil nematode trophic composition. Soil Biol. Biochem. 2009, 41, 1060–1065. [Google Scholar] [CrossRef]
- Cortois, R.; Veen, G.F.; Duyts, H.; Abbas, M.; Strecker, T.; Kostenko, O.; Eisenhauer, N.; Scheu, S.; Gleixner, G.; De Deyn, G.B.; et al. Possible mechanisms underlying abundance and diversity responses of nematode communities to plant diversity. Ecosphere 2017, 8, e01719. [Google Scholar] [CrossRef]
- Bardgett, R.D.; Chan, K.F. Experimental evidence that soil fauna enhance nutrient mineralization and plant nutrient uptake in montane grassland ecosystems. Soil Biol. Biochem. 1999, 31, 1007–1014. [Google Scholar] [CrossRef]
- Socolar, J.B.; Gilroy, J.J.; Kunin, W.E.; Edwards, D.P. How Should Beta-Diversity Inform Biodiversity Conservation? Trends Ecol. Evol. 2016, 31, 67–80. [Google Scholar] [CrossRef]
- Leduc, D.; Rowden, A.A.; Bowden, D.A.; Nodder, S.D.; Probert, P.K.; Pilditch, C.A.; Duineveld, G.C.; Witbaard, R. Nematode beta diversity on the continental slope of New Zealand: Spatial patterns and environmental drivers. Mar. Ecol. Prog. Ser. 2012, 454, 37–52. [Google Scholar] [CrossRef]
- Ellingsen, K.E.; Gray, J.S. Spatial Patterns of Benthic Diversity: Is There a Latitudinal Gradient along the Norwegian Continental Shelf? J. Anim. Ecol. 2002, 71, 373–389. [Google Scholar] [CrossRef]
- Thrush, S.F.; Hewitt, J.E.; Cummings, V.J.; Norkko, A.; Chiantore, M. β-Diversity and Species Accumulation in Antarctic Coastal Benthos: Influence of Habitat, Distance and Productivity on Ecological Connectivity. PLoS ONE 2010, 5, e11899. [Google Scholar] [CrossRef] [PubMed]
- Thrush, S.F.; Hewitt, J.E.; Dayton, P.K.; Coco, G.; Lohrer, A.M.; Norkko, A.; Norkko, J.; Chiantore, M. Forecasting the limits of resilience: Integrating empirical research with theory. Proc. R. Soc. B Biol. Sci. 2009, 276, 3209–3217. [Google Scholar] [CrossRef]
- Mori, A.S.; Isbell, F.; Seidl, R. β-Diversity, Community Assembly, and Ecosystem Functioning. Trends Ecol. Evol. 2018, 33, 549–564. [Google Scholar] [CrossRef] [PubMed]
- Holtkamp, R.; Van der Wal, A.; Kardol, P.; Van der Putten, W.H.; De Ruiter, P.C.; Dekker, S.C. Modelling C and N mineralisation in soil food webs during secondary succession on ex-arable land. Soil Biol. Biochem. 2011, 43, 251–260. [Google Scholar] [CrossRef]





| Site | Nitrogen Treatment | SWC (%) | pH | NH4+ (mg/kg) | NO3− (mg/kg) | TN (mg/g) | TP (mg/g) | TC (mg/g) | SOC (mg/g) | MBC (mg/g) |
|---|---|---|---|---|---|---|---|---|---|---|
| LKR | CK | 62.58% ± 4.76 | 5.31 ± 0.06 *** | 28.37 ± 6.41 | 4.24 ± 1.18 | 4.96 ± 0.27 * | 1.77 ± 0.17 | 95.53 ± 12.06 | 92.03 ± 9.49 | 1.51 ± 0.12 ** |
| N | 57.46% ± 4.76 | 4.97 ± 0.06 *** | 35.95 ± 6.41 | 6.23 ± 1.18 | 5.61 ± 0.27 * | 1.60 ± 0.17 | 114 ± 12.06 | 97.69 ± 9.49 | 1.10 ± 0.12 ** | |
| GKR | CK | 29.39% ± 2.68 | 4.92 ± 0.05 | 15.71 ± 4.36 | 1.61 ± 1.14 * | 1.43 ± 0.08 * | 0.62 ± 0.062 ** | 42.81 ± 5.18 * | 34.74 ± 4.04 | 0.50 ± 0.11 |
| N | 24.35% ± 2.68 | 4.84 ± 0.05 | 22.06 ± 4.36 | 5.22 ± 1.14 * | 1.63 ± 0.08 * | 0.41 ± 0.062 ** | 30.67 ± 5.18 * | 27.18 ± 4.04 | 0.38 ± 0.11 | |
| CBM | CK | 46.78% ± 4.04 | 5.06 ± 0.05 ** | 21.68 ± 2.20 *** | 14.35 ± 3.93 | 3.10 ± 0.37 ** | 0.90 ± 0.09 *** | 50.83 ± 6.58 ** | 50.43 ± 7.20 ** | 1.42 ± 0.12 *** |
| N | 52.34% ± 4.04 | 4.88 ± 0.05 ** | 34.16 ± 2.20 *** | 21.23 ± 3.93 | 4.40 ± 0.37 ** | 1.30 ± 0.09 *** | 76.23 ± 6.58 ** | 74.43 ± 7.20 ** | 0.87 ± 0.12 *** |
| Parameters | Ab | R | H′ | ACE | Bray–Curtis |
|---|---|---|---|---|---|
| Site | *** | *** | *** | *** | ** |
| Nitrogen treatment | * | *** | *** | *** | ** |
| Site × treatment | ns | ** | * | ** | ns |
| Parameters | Site | Nitrogen Treatment | Site × Treatment |
|---|---|---|---|
| F Value | F Value | F Value | |
| TD | 13.00 ** | 15.28 ** | 0.46 |
| MI | 29.76 ** | 4.36 * | 3.90 * |
| NCR | 11.5 ** | 150.8 ** | 8.77 ** |
| EI | 9.71 ** | 0.96 | 4.08 * |
| SI | 8.39 ** | 16.43 ** | 1.84 |
| BI | 3.98 * | 10.06 ** | 0.29 |
Disclaimer/Publisher’s Note: The statements, opinions and data contained in all publications are solely those of the individual author(s) and contributor(s) and not of MDPI and/or the editor(s). MDPI and/or the editor(s) disclaim responsibility for any injury to people or property resulting from any ideas, methods, instructions or products referred to in the content. |
© 2024 by the authors. Licensee MDPI, Basel, Switzerland. This article is an open access article distributed under the terms and conditions of the Creative Commons Attribution (CC BY) license (https://creativecommons.org/licenses/by/4.0/).
Share and Cite
Yang, H.; Yan, G.; Xing, Y.; Wang, Q. Effects of Nitrogen Addition on Nematode Communities in Northeastern Chinese Forests. Forests 2025, 16, 18. https://doi.org/10.3390/f16010018
Yang H, Yan G, Xing Y, Wang Q. Effects of Nitrogen Addition on Nematode Communities in Northeastern Chinese Forests. Forests. 2025; 16(1):18. https://doi.org/10.3390/f16010018
Chicago/Turabian StyleYang, Hongbin, Guoyong Yan, Yajuan Xing, and Qinggui Wang. 2025. "Effects of Nitrogen Addition on Nematode Communities in Northeastern Chinese Forests" Forests 16, no. 1: 18. https://doi.org/10.3390/f16010018
APA StyleYang, H., Yan, G., Xing, Y., & Wang, Q. (2025). Effects of Nitrogen Addition on Nematode Communities in Northeastern Chinese Forests. Forests, 16(1), 18. https://doi.org/10.3390/f16010018
