Next Article in Journal
Response of Non-Structural Carbohydrates and Carbon, Nitrogen and Phosphorus Stoichiometric Characteristics of Ochroma lagopus Leaves to Nitrogen Addition
Previous Article in Journal
Afforestation/Reforestation and Avoided Conversion Carbon Projects in the United States
 
 
Font Type:
Arial Georgia Verdana
Font Size:
Aa Aa Aa
Line Spacing:
Column Width:
Background:
Article

Coppice and Coppice-with-Standard Stands Systems: Implications for Forest Management and Biodiversity

by
Sajad Ghanbari
1,*,
Pedro Álvarez-Álvarez
2,
Ayeshe Esmaili
3,
Samira Sasanifar
3,
Seyed Mohmmad Moein Sadeghi
4,
Kiomars Sefidi
5 and
Ivan Eastin
6
1
Department of Forestry, Ahar Faculty of Agriculture and Natural Resources, University of Tabriz, Tabriz 53548-54517, Iran
2
Department of Organisms and Systems Biology, Polytechnic School of Mieres, University of Oviedo, 33600 Mieres, Spain
3
Faculty of Natural Resources, Urmia University, Urmia 57561-51818, Iran
4
School of Forest, Fisheries, and Geomatics Sciences, University of Florida, Gainesville, FL 32611, USA
5
Faculty of Agriculture and Natural Resources Technology, University of Mohaghegh Ardabili, Ardabil 13131-56199, Iran
6
School of Environment and Sustainability, University of Michigan, Ann Arbor, MI 48109, USA
*
Author to whom correspondence should be addressed.
Forests 2025, 16(1), 116; https://doi.org/10.3390/f16010116
Submission received: 10 November 2024 / Revised: 30 November 2024 / Accepted: 8 January 2025 / Published: 10 January 2025
(This article belongs to the Section Forest Ecology and Management)

Abstract

Examining forest stand structures is crucial for effective forest management, as it provides essential insights into current conditions and informs future strategies. Coppice systems, a historic forest management practice with centuries of documented use across various regions, play a vital role in supporting unique flora and fauna, making them integral to conservation efforts. This study has two primary objectives: (i) to evaluate how various forest management approaches impact species composition and structural characteristics of forest stands, and (ii) to assess and compare diversity within these stands using a range of indices. In this research, two management systems in Iran’s Arasbaran forests were compared: the traditional coppice system and the coppice-with-standard (CWS) stands system. Fieldwork was conducted in 24 sample plots for each management system, where quantitative indicators and biodiversity indices were employed to evaluate and compare stand characteristics. The findings revealed that the CWS system exhibited higher mean values for tree height, diameter at the breast height (DBH), and basal area compared to the coppice system. Coppice stands had a sprout clump density of 546 per hectare, primarily composed of Quercus macranthera, while the CWS stands had a combined tree and sprout clump density of 421 per hectare. Diversity assessments showed that species diversity, as measured by Pielou’s index, was higher in the coppice system (1.42) than in the CWS system (1.01). However, species richness, represented by the Menhinik index, was lower in both systems, with values of 0.31 for the coppice system and 0.19 for the CWS system. These results suggest that the CWS system is more effective in promoting growth and stand development, whereas the coppice system may better support biodiversity. The findings have practical implications for forest managers and policymakers in Iran and other regions with similar forest ecosystems. For instance, if the objective is to enhance biodiversity and ecosystem resilience, the coppice system—with its higher diversity indices—may be the preferred choice. On the other hand, if the aim is to boost timber production while maintaining a baseline level of biodiversity, the CWS system could be more suitable.

1. Introduction

Analyzing forest stand structure is crucial for effective forest management, as it offers key insights for evaluating current conditions and developing future management strategies [1]. Understanding forest structure is vital not only for restoration efforts and predicting the future forest states [2] but also for maintaining ecosystem health and biodiversity [2]. The structure of forest stands is crucial for maintaining forest health and species diversity, which significantly influences the biodiversity of forest ecosystems [3]. Species diversity, an important element of forest structure, reflects changes within ecosystems and plays a vital role in overall biodiversity [4].
One traditional forest management practice that exemplifies the importance of forest stand structure is the coppice system. This method utilizes the regenerative capacity of numerous broadleaved tree species, enabling them to sprout new shoots from stumps after harvesting (coppicing), thereby promoting natural regeneration and sustained forest structure. Coppice forests are typically harvested for local needs, with surrounding households often utilizing them for purposes such as shelter, cooking, and charcoal production. This system results in the development of multi-stemmed trees and diverse forest structures. The coppice system features relatively short rotation periods, typically between 15 and 20 years, extending up to 50–60 years depending on tree species and site conditions [5]. Historically managed at the community level, coppice forests provide ecological and economic benefits such as rapid carbon sequestration, drought resilience, adaptability, and provision of diverse habitats and ecosystems [6,7]. Moreover, the structural diversity within coppice forests contributes to resilience against climate change and supports conservation efforts for threatened species, such as butterflies [8] and moths [9,10], making them invaluable for conservation efforts.
In contrast, coppice-with-standard (CWS) forests maintain a certain density of standard trees, originating either from seeds or coppicing, within the coppice system. These well-regulated, non-coetaneous forests typically feature coetaneous coppices in the understory. CWS forests promote a diverse range of wood species and provide valuable resources such as grass forage for livestock in summer and foliage in winter. They also contribute to litter production and supply various cultural and economic ecosystems due to their diverse nature [11,12]. Light availability in CWS forests creates a mosaic of habitats that enhances biodiversity [13,14] by supporting both light-demanding and shade-tolerant plant species [13,15]. Furthermore, the retention of individual trees for timber production and the prevision of habitats for old-growth and dead-wood dwelling species significantly increase the ecological value of these forests [10,16]. Coppice forests play a crucial role in conserving biodiversity, supporting threatened butterflies, moths, and declining migratory birds of high conservation interest. Their biodiversity importance stems from the following: (i) a shifting mosaic of coupes with diverse ages and structures, creating high habitat diversity at the landscape scale, and (ii) the long-term continuity of open forest stages with warm microclimates. CWS further enhances biodiversity by retaining older trees, which provide habitats for old-growth and dead-wood species, including arthropods. Abandoning coppice management reduces plant species diversity. Beyond ecological value, coppiced forests are culturally significant, reflecting centuries of traditional management practices, tools, and customs [17].
Numerous studies have examined the differences between coppice and coppice-with-standard (CWS) management systems concerning stand structure, woody species diversity, and dominant species. For instance, Kapm (2022) highlighted the significance of these systems in maintaining species diversity and stand structure in European forests [17]. The study emphasized that the future of coppice management is closely tied to energy policies, as firewood remains a vital product [17]. Similarly, research conducted in the Hyrcanian temperate forest of Golestan Province, Iran, focused on Quercus macranthera across three habitats. The results suggest that particular stand structures enhance biodiversity and economic advantages in temperate forests [2]. Vild et al. [18] studied abandoned CWS oak forests in Central Europe, observing increased dominance of semi-light-demanding and shade-demanding tree species following stand structure restoration. This was particularly evident in heavily thinned plots, which saw an increase in light-demanding oligotrophic species, indicative of enhanced biodiversity. Meanwhile, native ruderal species also expanded significantly, though the presence of alien species remained relatively unchanged. Karamshahi et al. [19] compared quantitative analysis and spatial structure models of Persian oak forests in a Mediterranean climate of Iran, finding greater Shannon (0.56 vs. 0.38) index in high forest compared to coppice systems. Aghabarati et al. [20] investigated coppice forest stands in Fandughlou Forest (northwestern Iran), identifying Fagus orientalis as the dominant species in one habitat and a combination of Carpinus betulus and Corylus avellana in another two habitats. The mean diameter at the breast height (DBH) of coppice forests was 14.3 cm, with a basal area averaging 23.5 m2/ha. Researchers assessed the structure and diversity of coniferous forests with different management systems (coppice vs. CWS) in northwestern Iran, highlighting the importance of structural heterogeneity for biodiversity conservation. Their findings showed that the mean DBH of coppice forests was 10 cm, compared to 5 cm in CWS stands, with basal areas averaging 0.08 m2/ha in coppice forests versus 0.52 m2/ha in CWS forests. Bricca et al. [21] examined how the structure of coppice forests affects understory plant diversity, emphasizing the importance of understanding the relationship between forest structure and understory diversity for sustainable forest management. In summary, understanding forest stand structure, particularly within coppice and CWS forests, is vital for successful forest management and biodiversity conservation. While coppice forests provide ecological and economic advantages, CWS forests provide a well-managed uneven-aged forest with high biodiversity value. In general, both forest systems contribute a wide range of ecosystem services. However, the differences between these systems have not been comprehensively studied in these forests. By analyzing the structure of forest stands, forest managers can make informed decisions to promote sustainable forest management and conservation efforts. However, it is crucial to recognize the impact of human activities on forest structure and other critical functions of these ecosystems, emphasizing the need for responsible management practices to protect and preserve biodiversity [22].
The management of coppice and CWS forests in the Arasbaran region represents a significant intervention implemented in recent years. These mixed temperate forests have experienced significant changes due to traditional forest harvesting practices, which have altered forest stand structure and reduced resilience [23]. Local uses of these forests include cutting trees for charcoal production, construction, cooking, and other necessities for nearby households. These activities have led to the formation of coppice forests over time, resulting in a high density of stems with small DBH, particularly at lower elevations. As a result, these forests often struggle to meet human needs sustainably. However, modern forest management practices, such as the transition to CWS forests, provide a balance between human needs and ecological benefits [24]. Investigating the relationship between the forest structure and understory diversity in these forests provides valuable guides for sustainable forest management. The results of this research can inform management practices not only in the Arasbaran forests but also in similar forest ecosystems globally, promoting ecological health and human well-being. The principal objectives of this study were as follows: (i) to investigate the impact of coppice and CWS forest management approaches on species composition and stand structure; (ii) to gain a comprehensive understanding of the natural stand structure as a basis of strategies for optimal forest management and the conserving biological diversity, ecological dynamics, and overall stability; and (iii) to assess and compare biodiversity within these forest stands using various indices. According to the purpose of the research, this study assumes that the structural and quantitative characteristics of forest stands under coppice and CWS management are not significantly different and that the type of forest management does not significantly impact species diversity indicators. The uniqueness of this research lies in its focus on regional ecological development and the distinct ecological conditions of Iranian forests, characterized by their exceptionally high species diversity.

2. Materials and Methods

2.1. Study Area

The study was conducted in the Arasbaran Biosphere Reserve in northwestern Iran, near the borders of Armenia and Azerbaijan, located between latitudes 38°35′ N–39°00′ N and longitudes 45°45′ E–47°05′ E (polar coordination system; Figure 1). This reserve covers approximately 153,000 hectares of natural mixed hardwood and broad-leaved deciduous forests, with elevation ranging from 1500 to 2150 m above sea level. The climate is semi-humid, with an average annual temperature of 14 °C and an average annual precipitation of 400 mm. Dominant tree species in the reserve include Caucasian oak (Quercus macranthera Fisch. & C.A.Mey. ex Hohen.), Sessile oak (Quercus petraea (Matt.) Liebl.), common hornbeam (Carpinus betulus L.), field maple (Acer campestre L.), English yew (Taxus baccata L.), wayfaring tree (Viburnum lantana L.), reddish-black berry (Ribes petraeum Wulfen), and walnut (Juglans regia L.). Local inhabitants in the target watershed mainly work in animal husbandry, farming, carpet-weaving, beekeeping, and the cultivation or extraction of forest products [25]. The Arasbaran forests have been designated as a by UNESCO Biosphere Reserve since 1977 [24].

2.2. Sampling

To conduct this research, we systematically identified coppice and CWS stands within the Arasbaran forests through rigorous field observations. Rectangular plots were established at various locations to investigate species composition and diversity. While previous studies in this particular region used sample plots of 300 m2 for assessing species diversity [26], our study required a more detailed examination of species composition, diversity, and structural attributes, including diameter and height. We established 24 randomly selected rectangular plots within each coppice stand (total = 48 systematic randomly located plots). Each plot measured 50 m × 100 m and was situated within a grid of 400 m × 800 m. Similarly, 24 rectangular sample plots were established in the CWS stands. Within each plot, we recorded the type, height, and diameter at breast height (DBH) of woody species, with DBH measured at 1.3 m above ground level. Tree height was measured with a clinometer, and the diameter of sprouts within each sprout clump was measured using a tape measure. The average DBH of sprouts across all plots was then calculated. In this study, we considered woody plants with a DBH of 1.5 cm or greater and a height of at least 1.3 m. Data collection was conducted from May 2022 to September 2022.
A simple species count was conducted to evaluate species regeneration density by recording the number of individuals of each species identified within the plots and documenting their quantitative characteristics [27]. For each species, maximum DBH, frequency, and maximum stem height were calculated. Several indices were used to assess and compare diversity, including the Simpson and Shannon–Wiener species diversity indices, Margalef’s and Menhenick’s species richness indices, and Pielou’s and Hill’s species evenness indices. The diversity index values were computed using the PAST software (Ver. 4.09) [28].

2.3. Statistical Analysis

The Kolmogorov–Smirnov test was used to evaluate the data distribution, following the procedure outlined by Chen et al. [29]. This test examines whether the data follow a normal distribution. The homogeneity of variance was assessed using Levene’s test. This test verifies whether the variance across groups or conditions is roughly equal, a key assumption in various statistical analyses, including the unpaired t-test.
To compare the mean values of quantitative characteristics between coppice and CWS stands, an unpaired t-test was conducted. This statistical test determines whether there is a statistically significant difference between the means of two groups, thereby assessing the impact of management type (i.e., coppice or CWS) on the investigated characteristics. Regression equations were constructed to model height curves, using the least squares method (LSM) to fit these equations. This method identifies the line or curve that minimizes the sum of the squared differences between observed and predicted values. To select the most appropriate regression model, specific criteria were applied, following the guidelines established by Bihamta and Chahouki [30]. A significance level (α) of ≤0.05 was applied for all statistical tests.
The height curve models were validated by applying the developed model to an independent dataset. The goodness of fit was assessed with these metrics by thorough several key metrics. The coefficient of determination (R2) assessed how well the model explained the variation in the data. The standard deviation (SD) of the developed model indicated its precision. Principal component analysis (PCA) has been used to separate two types of CWS and coppice areas based on the type of species distribution. Also, canonical cluster analysis (CCA) has been used to determine how the species composition ordinated between the two systems. Both recent analyzes were carried out using Canoco software (Ver. 5).

3. Results

3.1. Species Composition

A detailed overview of the species identified in both the coppice and CWS forests, along with their relative abundances, is presented in Table 1 and Figure S1 in Supplementary Materials. The species composition differed clearly between the two forest management systems. The density of sprout clumps in the coppice stands was 546 per hectare, with Quercus macranthera as the dominant species. In contrast, the CWS stands had a combined density of trees and sprout clumps of 421 per hectare. Within the CWS systems, Carpinus betulus, Acer campestre, and Viburnum lantana were among the most abundant species, with Carpinus orientalis being the dominant species, accompanied by Q. macranthera and A. campestre, which were also abundant.
The CWS forest management system exhibits higher mean values for several quantitative variables compared to the coppice system. Specifically, the number of coppice shoots, total height, DBH, and basal area (BA) are all greater in the CWS system. The unpaired t-test confirmed the statistical significance of these differences (Figure 2).
The results of the unpaired t-test indicate that the forest management system significantly influenced forest structure. Specifically, the mean number of coppice shoots, total height, DBH, and BA were all significantly higher in the CWS system compared to the coppice system (Table 2).

3.2. Diameter and Height Distribution

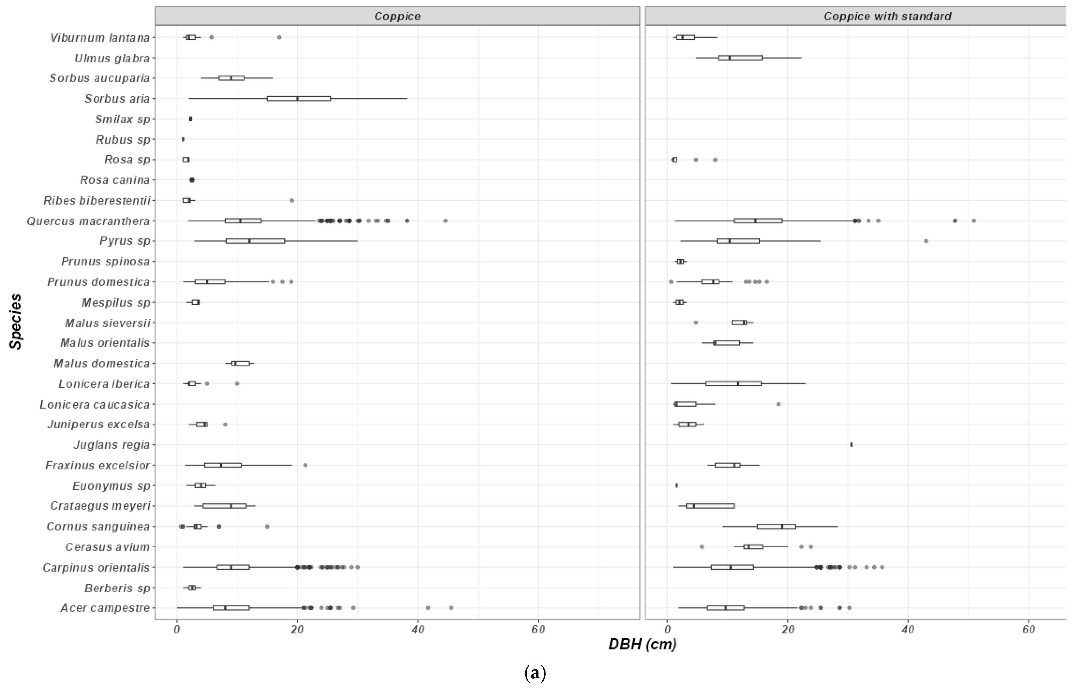
The distribution for sprout diameters for each species is presented in Figure 3a (and Figure S2 in Supplementary Materials), representing the diameter distribution in both coppice and CWS stands. The distribution shape shows that most sprouts are concentrated within the middle-height classes (Figure 3b).

3.3. Height Curves

These findings indicate that the power model provides the most accurate representation of the height curve for both forest management systems. The higher R-squared value 0.33 vs. 0.14′ (Table S1) for the CWS system highlights the stronger explanatory capacity of the model, reinforcing the observed consistency in height distribution within this forest management approach (Figure 4; see Supplementary Materials).

3.4. Stand Biodiversity

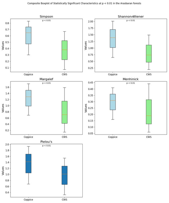
In this study, we analyzed tree diversity within coppice and CWS forest management systems, focusing on statistical parameters for species diversity indices. Pielou’s index, which reflects species evenness, was highest in the coppice system at 1.42, compared to 1.01 in the CWS system, indicating greater overall species diversity in the coppice system. In contrast, the Menhinik index, which measures species richness, was lower in both systems, with values of 0.31 in the coppice system and 0.19 in the CWS system (Figure 5). The mean values of diversity indices highlight significant differences (p < 0.05) between the coppice and CWS systems, underscoring the impact of management practices on species diversity.
The results of the PCA indicate that the distribution of different species significantly influences the separation of the two management systems (i.e., coppice and CWS). As shown in Figure 6, species vectors such as F. excelsior, S. aucuparia, C. sanguinea, S. graeca, Berberis sp., and L. iberica are more strongly associated with the coppice system, suggesting that these species thrive under the structural and ecological conditions provided by this management type. In contrast, species such as L. caucasica, U. glabra, M. sieversii, and C. orientalis show a stronger association with the CWS system. The PCA also highlights that the distribution patterns of species vectors play a key role in defining the ecological distinctions between the two systems. For example, F. excelsior and S. graeca exhibit long vector arrows toward the coppice system, indicating their dominance and stronger ecological relevance in these stands. Conversely, U. glabra and C. orientalis show pronounced vectors toward the CWS system, reflecting their ecological preferences for the conditions in this management type.
The results of the CCA for the coppice system, presented in Figure 7, identify elevation as the most significant environmental factor influencing species distribution. Species such as R. canina, S. aucuparia, S. graeca, Rubus spp., Rosa spp., and Lonicera iberica show a strong association with elevation, suggesting that higher altitudes within the coppice system provide favorable conditions for their establishment and growth. Additionally, the analysis reveals that other environmental factors, including slope and aspect, also influence species distribution to varying degrees. For instance, the orientation and inclination of the terrain may create microclimatic conditions that further shape the habitat preferences of specific species. While slope appears to have a moderate impact on species like Crataegus spp. and C. orientalis, aspect plays a lesser but observable role in determining spatial patterns.
The results of the CCA for the CWS system, shown in Figure 8, identify aspect as the most influential environmental factor affecting species distribution. Specifically, L. caucasica, U. glabra, J. regia, and Euonymus spp. were closely associated with aspect, as indicated by their alignment with the directional vector. This highlights the strong influence of aspect on the spatial distribution of species in the CWS system. In contrast, elevation and slope showed weaker associations with species distribution. For instance, elevation was primarily linked to C. avium and Crataegus spp., while slope had minor contributions to species clustering within the CWS system.

4. Discussion

4.1. Species Composition

The study findings reveal that Q. macranthera was the dominant species across the study area. In the coppice forest, C. orientalis and A. campestre were the most abundant species, whereas in the CWS forest, C. orientalis was the major species, along with Q. macranthera and A. campestre. These findings aligns with the observations made by Ghanbari et al. [31], which found that Q. macranthera dominated the oak coppice habitat, and C. orientalis was the dominant species in the CWS habitat in Kalaleh and Vaygan sites in the Arasbaran forests.
Stand density is a critical structural parameter for assessing and predicting forest conditions [32]. In this study, the coppice stand had a high density of 546 sprout clumps per hectare, indicating a dense stand structure. In contrast, the CWS habitat had a lower density of 421 sprout clumps per hectare, reflecting a semi-dense stand structure. Observations by Ghanbari et al. [31] reported only 35 sprouts per hectare in the Kuran coppice habitat within the Arasbaran forests, highlighting the relatively lower density of that habitat compared to the present study area. Furthermore, these researchers reported woody species densities of approximately 318 and 569 individuals per hectare in two CWS stands located in the Vaygan and Kalaleh regions of the Arasbaran forests. The sprout clump density determined in the present study falls between these two habitat types, with fewer sprouts per sprout clump in the coppice forest than in the CWS stands. Notably, Rostamikia and Sagheb-Talebi [33] reported an average of 3.86 sprouts per sprout clump in Hatem Meshgin-Shahr Reserve in Iran, a value comparable to the coppice stands in this study. The higher average height, DBH, and basal area observed in the CWS forest management system reflect a more mature and structurally diverse forest stand compared to the coppice system. This structural complexity holds ecological significance, as it provides a wider range of habitats for various species, particularly those reliant on vertical stratification and old-growth forest characteristics. Additionally, the increased DBH and basal area underscore the system’s enhanced carbon storage capacity, contributing to climate change mitigation efforts. From a practical standpoint, these findings illustrate how CWS systems can effectively balance biodiversity conservation with timber production, offering a flexible and sustainable approach to forest management. This balance is especially valuable in scenarios where ecological objectives must be harmonized with economic considerations, such as sustainable forestry or habitat restoration initiatives.

4.2. Diameter and Height Distribution

The average sprout diameter in the coppice (10.5 cm) and CWS (12.4 cm) stands suggests that these stands are relatively young in terms of diameter structure, indicating a uniform age class within the populations. This young diameter structure may result from traditional tree management practices, disturbances (e.g., human interventions and wildfire), and natural factors. The normal distribution of diameter dispersion curves in both the coppice and CWS stands further supports the similarity in age among sprout clumps. This contrasts with the findings from other studies that reported irregular diameter distributions in coppice stands; however, Ghanbari et al. [25] observed a normal distribution pattern similar to that of the present study. Additionally, Danilović and Pantić [34] emphasized the importance of diameter as a key characteristic in shaping the overall structure of forest stands. The absence of trees in the upper diameter classes, resulting from the lack of seed-based regeneration, presents structural challenges for these stands. The current study also showed that the average heights of trees in the coppice and CWS stands were 5.1 m and 6.4 m, respectively. These relatively low average heights likely reflect intense exploitation by local communities, which has altered the natural structure of these stands. The height distribution pattern indicates a concentration of sprouts within the central range, with fewer sprouts at both lower and upper extremes. By comparison, other researchers reported average stand heights of 4.3 m for the Kuran coppice habitat and 9.7 and 9.5 m for the Kalaleh and Vaygan CWS habitats in the Arasbaran forests [32]. These researchers noted that the coppice habitat in their study had a shorter history of protection than the two CWS habitats.

4.3. Height Curves

The scatter plot of the point cloud in the coppice stands shows a distribution range of trees with low DBH and height, with a correlation coefficient of 0.27, indicating a weak relationship. In the CWS stands, the scatter plot suggests a more appropriate distribution range, with a higher correlation coefficient of 0.57. Previous studies have noted that a greater extension of the point cloud dispersion curve, extending to the right and upward, combined with a higher correlation coefficient, indicates a more favorable habitat [2]. Accordingly, the CWS habitat appears more favorable than the coppice habitat. In both types of stands, the power model identified as the best non-linear regression model for estimating stand height, with coefficient of determination of 0.14 for coppice and 0.33 for CWS (Supplementary Materials). Pourhashemi (2015) proposed the parabolic model as the best fit for height estimation, with a coefficient of determination of 0.62. The lower coefficient of determination observed in the present study suggests a weaker correlation between height and diameter variables of the sprouts, likely due to more extensive human exploitation and interference in the region [35].

4.4. Stand Biodiversity

In this study, the average values of diversity, richness, and uniformity were higher in the coppice stands than in the CWS stands. These indices highlight the overall diversity of species within each management system, with mean diversity values notably greater for the coppice system than for the CWS system.
As Buckley and Mills [36] noted, the higher diversity in coppice forests can be attributed to factors such as shorter cutting cycles, high spatial heterogeneity, a wider range of woody species, reduced windthrow risk, increased nutrient export, and limited fallen deadwood. Transitioning from the coppice and CWS management systems to standard forest management leads to a significant decrease in plant species diversity, shifts in species composition towards desirable forest species, and the decline or disappearance of light-demanding species. Vild et al. [18] suggested that restoring CWS management could reverse these processes, supporting the survival of light-demanding species.
In recent decades, there has been increasing interest in reintroducing coppicing to protect endangered species and establish sustainable energy sources. Coppice forests are highly valued for their potential to support diverse biological communities. In regions where coppice forests have largely been converted to standard forests, reviving coppice management can enhance landscape diversity and maintain biodiversity, especially for species typically associated with coppice forests. Restoring these management systems contributes to environmental and biological stability. Numerous studies have shown that coppice and CWS management systems lead to greater species richness than in high forest with closed canopies. Consequently, these management practices facilitate high plant diversity, which, in turn, supports a variety of bird species, insects, and butterflies [37].
The Arasbaran forests, with their extensive history of local exploitation, have experienced significant alterations in their natural structure, highlighting the need for further research to assess their current condition and guide restoration efforts. The scarcity of unaffected stands due to pervasive human intervention make this task especially urgent. Considering the potential transition from coppice stands to CWS and to standard stands, based on the unique attributes of each habitat, could be beneficial. Long-term management plans informed by research findings can enhance landscape diversity, protect endangered species, and enhance the environmental and biological stability of the region. These results highlight the importance of considering management systems’ impact on biodiversity, providing valuable insights for forest management and conservation. The significant differences in diversity indices emphasize the necessity for informed, data-driven decision-making to ensure the sustainable management of these ecosystems.
The PCA results demonstrated that species distribution is a key factor in distinguishing between the coppice and CWS management systems. Species such as F. excelsior, S. aucuparia, and C. sanguinea were closely associated with the coppice system, while L. caucasica, U. glabra, M. sieversii, and C. orientalis were more strongly linked to the CWS system. These patterns suggest that species distributions are significantly influenced by the type of forest management applied. Additionally, the CCA revealed that environmental factors also play a critical role in shaping species distributions within each management system. In the coppice system, elevation emerged as the most influential factor, with species such as R. canina and S. aucuparia showing sensitivity to changes in altitude. Conversely, in the CWS system, terrain aspect had the greatest influence, shaping the distribution of species like L. caucasica and U. glabra. Together, these findings highlight the intricate interplay between species traits and environmental factors in determining the distribution and success of species under different forest management practices. The PCA results emphasize that forest management strategies influence not only species presence and distribution but also structural attributes, diversity, and quantitative indices of tree species. Similarly, the CCA underscores that specific environmental factors drive species distributions differently in each management system, with elevation being pivotal in the coppice system and aspect being central to the CWS system. These insights suggest that optimizing forest management strategies requires integrating species–environment interactions into planning processes. By considering these dynamics, forest managers can make more informed decisions regarding forest regeneration, conservation, and species selection. Such an approach has the potential to enhance the sustainability and ecological integrity of forest ecosystems, aligning management practices with both biodiversity and productivity goals across different management regimes
Based on the CCA results presented in Figure 7 and Figure 8, the study highlights the critical role of environmental factors in shaping species distribution under different forest management systems. In the coppice system (Figure 7), elevation emerged as the most influential environmental factor. Species such as R. canina, S. aucuparia, S. graeca, and Rubus sp. demonstrated a strong association with higher elevations. This finding underscores the sensitivity of these species to altitudinal gradients, which likely influences their ecological niches by affecting microclimatic conditions, soil properties, and water availability. In contrast, the CCA results for the CWS system (Figure 8) revealed that aspect played a dominant role in determining species distribution. Species such as L. caucasica, U. glabra, J. regia, and Euonymus sp. showed a clear preference for specific terrain orientations. This suggests that aspect-related factors, such as sunlight exposure and wind patterns, significantly shape the ecological requirements and competitive dynamics of these species. The differentiation in key environmental drivers between the two management systems highlights the complexity of interactions between species and their habitats. Coppice systems, with their simpler structure, appear to rely heavily on elevation-related factors, whereas the structurally diverse CWS systems exhibit a more intricate relationship with terrain orientation. These findings align with previous studies emphasizing the role of environmental heterogeneity in promoting species diversity and forest resilience. From a management perspective, these results suggest that tailoring forest practices to the dominant environmental factors in each system could enhance ecological outcomes. For instance, prioritizing conservation efforts in higher elevation zones within coppice systems could help protect elevation-sensitive species, while managing slope and aspect in CWS systems could optimize habitat conditions for species dependent on specific terrain features. This nuanced understanding of species–environment relationships provides valuable guidance for developing adaptive forest management strategies that account for environmental variability and promote ecosystem sustainability.

4.5. Broader Implications for Forest Management in Other Regions

The findings from the Arasbaran forests provide valuable insights into the potential application and adaptability of CWS and coppice systems in other regions. The structural complexity observed in the Arasbaran CWS stands—characterized by higher basal area, greater DBH, and taller tree heights—mirrors the attributes desired for sustainable forest management in Mediterranean and temperate ecosystems. These systems are not only effective for timber production [38] but also support essential ecological functions, such as carbon storage and soil stabilization. Similarly, the higher tree and shrub species diversity observed in the coppice system aligns with the conservation priorities of Mediterranean and temperate forests, where species-rich ecosystems are vital for resilience against climatic and anthropogenic pressures. The observed trade-offs between biodiversity and timber production in the Arasbaran study underscore the need for region-specific modifications to optimize these systems for both ecological and economic goals. By contextualizing the Arasbaran findings within global forest management practices, this study highlights the relevance of coppice and CWS systems in addressing diverse ecological and socio-economic needs. Future research should explore how these systems perform under varying climatic and management conditions in regions like the Mediterranean and European temperate zones. Such investigations will enhance understanding of their long-term ecological and economic benefits, supporting more informed and sustainable forestry practices globally.

5. Conclusions

This study underscores the significant impact of forest management systems on the structural characteristics and biodiversity of forest stands in the Arasbaran forests, Iran. The findings reveal that the CWS system is more effective in promoting forest growth and development, as evidenced by greater average height, DBH, and basal area. However, certain diversity indices were higher in coppice stands, highlighting trade-offs between structural complexity and species diversity under different management approaches. In the coppice system, the high stand density (546 sprout clumps per hectare) reflects a dense stand structure, while the CWS system exhibited a semi-dense structure with 421 sprout clumps per hectare. The average sprout diameters of 10.5 cm in the coppice system and 12.4 cm in the CWS system indicate relatively young and uniform stands across both systems. Statistical analyses confirmed significant differences between the systems in key parameters, including coppice shoot density, total height, DBH, and basal area. Furthermore, all species diversity indices, except Pielou’s evenness index, differed significantly between the two systems. These findings led to the rejection of the initial research hypothesis, emphasizing the distinct structural and biodiversity dynamics in coppice and CWS systems.
The results provide valuable insights for natural resource management and policymaking, particularly in balancing ecosystem services. Coppice forests, with higher tree and shrub species diversity, support essential ecosystem services such as water and soil protection, air purification, and water regulation. Conversely, CWS forests are better suited for wood production while maintaining conditions favorable for standard forest management. These differences highlight the need for management strategies tailored to specific ecological and economic goals.
Environmental factors, particularly elevation and aspect, emerged as critical determinants influencing species composition and habitat preferences within each management system. In the coppice system, elevation played a dominant role, shaping the distribution of species such as R. canina and S. aucuparia. In the CWS system, aspect significantly affected species like L. caucasica and U. glabra. These findings underscore the importance of incorporating species–environment interactions into forest management to enhance biodiversity, ecological sustainability, and regeneration practices.
The long-term effects of coppice and CWS management systems differ in terms of biodiversity, soil health, and carbon storage. Coppice systems, with periodic cutting and sprouting, enhance species diversity and regeneration but may lead to soil degradation and reduced organic matter over time if poorly managed [39]. In contrast, CWS systems, characterized by continuous tree and shrub cover, create stable microclimatic conditions and improve soil structure, offering higher carbon sequestration potential. However, CWS systems can lead to the over-dominance of certain shrub species, suppressing tree regeneration and reducing long-term tree diversity. These dynamics emphasize the importance of adaptive management to balance ecosystem services and forest resilience.
Future research should explore the long-term impacts of these management systems on forest structure, diversity, and ecosystem services. Studies across different geographical regions and management histories can provide deeper insights into how coppice and CWS systems respond to varying conditions. Such research is crucial for designing sustainable forest management practices that optimize growth, diversity, and ecological integrity.

Supplementary Materials

The following supporting information can be downloaded at: https://www.mdpi.com/article/10.3390/f16010116/s1, Figure S1: Relationship between species and frequency (number of individuals per plot) and basal area; Table S1: Regression between height and DBH variables; independent t-test for biodiversity indices in different management systems.

Author Contributions

Conceptualization, S.G., K.S. and P.Á.-Á.; methodology, S.G., K.S. and P.Á.-Á.; software, S.G., A.E. and P.Á.-Á.; formal analysis, K.S., A.E. and S.S.; investigation, S.G.; resources, S.G.; data curation, S.G.; writing—original draft preparation, S.G., A.E., S.S. and P.Á.-Á.; writing—review and editing, P.Á.-Á., I.E. and S.M.M.S.; funding acquisition, S.G. and S.M.M.S. All authors have read and agreed to the published version of the manuscript.

Funding

The Article Processing Charge was provided by Sajad Ghanbari and Seyed Mohammad Moein Sadeghi.

Data Availability Statement

The data presented in this study are available on request from the corresponding author.

Acknowledgments

This research was supported financially by the University of Tabriz.

Conflicts of Interest

The authors declare no conflicts of interest.

References

  1. Sefidi, K.; Copenheaver, C.A.; Sadeghi, S.M.M. Anthropogenic pressures decrease structural complexity in Caucasian forests of Iran. Ecoscience 2022, 29, 199–209. [Google Scholar] [CrossRef]
  2. Mahdiani, A.; Heydari, H.; Rahmani, R.; Azadfar, D. Structure of oak (Quercus macranthera) forest stands in the Golestan province. J. Wood For. Sci. Technol. 2012, 19, 23–42. [Google Scholar]
  3. Trumbore, S.; Brando, P.; Hartmann, H. Forest health and global change. Science 2015, 349, 814–818. [Google Scholar] [CrossRef] [PubMed]
  4. Mohammad-Dustar-Sharaf, M.; Mirfakhraei, S.; Zargaran, M.R.; Azimi, N. Species diversity of edaphic mesostigmatid mites (Acari: Mesostigmata) of Arasbaran Forest. For. Res. Dev. 2016, 2, 85–96. [Google Scholar]
  5. Unrau, A.; Becker, G.; Spinelli, R.; Lazdina, D.; Magagnotti, N.; Nicolescu, V.-N.; Buckley, P.; Bartlett, D.; Kofman, P. Coppice forests in Europe; Albert Ludwig University of Freiburg: Freiburg, Germany, 2018; pp. 110–134. [Google Scholar]
  6. Bisi, F.; Chirichella, R.; Chianucci, F.; Von Hardenberg, J.; Cutini, A.; Martinoli, A.; Apollonio, M. Climate, tree masting and spatial behaviour in wild boar (Sus scrofa L.): Insight from a long-term study. Ann. For. Sci. 2018, 75, 1–9. [Google Scholar] [CrossRef]
  7. Pietras, J.; Stojanović, M.; Knott, R.; Pokorný, R. Oak sprouts grow better than seedlings under drought stress. IForest 2016, 9, 529. [Google Scholar] [CrossRef]
  8. Fartmann, T.; Müller, C.; Poniatowski, D. Effects of coppicing on butterfly communities of woodlands. Biol. Conserv. 2013, 159, 396–404. [Google Scholar] [CrossRef]
  9. Dolek, M.; Kőrösi, Á.; Freese-Hager, A. Successful maintenance of Lepidoptera by government-funded management of coppiced forests. J. Nat. Conserv. 2018, 43, 75–84. [Google Scholar] [CrossRef]
  10. Weiss, M.; Kozel, P.; Zapletal, M.; Hauck, D.; Prochazka, J.; Benes, J.; Cizek, L.; Sebek, P. The effect of coppicing on insect biodiversity. Small-scale mosaics of successional stages drive community turnover. For. Ecol. Manag. 2021, 483, 118774. [Google Scholar] [CrossRef]
  11. Groß, P.; Konold, W. Mittelwald als Agroforstsystem zwischen geordneter Nachhaltigkeit und Gestaltungsvielfalt—Eine historische Studie: (“The “Mittelwald” an agroforestry system between rigid sustainability and creative options. A historical study”). AFJZ 2010, 181, 64–71. [Google Scholar]
  12. Vollmuth, D. The changing perception of coppice with standards in German forestry literature up to the present day-From a universal solution to a defamed and overcome evil-and back? Trees For. People 2022, 10, 100338. [Google Scholar] [CrossRef]
  13. Ellenberg, H.; Leuschner, C. Vegetation Mitteleuropas mit den Alpen: In ökologischer, dynamischer und historischer Sicht; Utb: Saint-Laurent-Blangy, France, 2010; Volume 8104. [Google Scholar]
  14. Strubelt, I.; Diekmann, M.; Zacharias, D. Changes in species composition and richness in an alluvial hardwood forest over 52 yrs. J. Veg. Sci. 2017, 28, 401–412. [Google Scholar] [CrossRef]
  15. Kirby, K.; Buckley, G.; Mills, J. Biodiversity implications of coppice decline, transformations to high forest and coppice restoration in British woodland. Folia Geobot 2017, 52, 5–13. [Google Scholar] [CrossRef]
  16. Mölder, A.; Meyer, P.; Nagel, R.-V. Integrative management to sustain biodiversity and ecological continuity in Central European temperate oak (Quercus robur, Q. petraea) forests: An overview. For. Ecol. Manag. 2019, 437, 324–339. [Google Scholar] [CrossRef]
  17. Kamp, J. Coppice loss and persistence in Germany. Trees For. People 2022, 8, 100227. [Google Scholar] [CrossRef]
  18. Vild, O.; Roleček, J.; Hédl, R.; Kopecký, M.; Utinek, D. Experimental restoration of coppice-with-standards: Response of understorey vegetation from the conservation perspective. For. Ecol. Manag. 2013, 310, 234–241. [Google Scholar] [CrossRef]
  19. Karamshahi, A.; Karami, A.; Mohammadi, G. Offering structure quantitative spatial analysis model of Persian oak species in two types of high forest and coppice of West oak forests (Case study: Karzan forests, Ilam province). For. Res. Dev. 2016, 2, 205–218. [Google Scholar]
  20. Aghabarati, A.; Marvie Mohajer, M.R.; Etemad, V.; Sefidi, K. Structural characteristics of coppice forest stands in Fandoghloo Forest, Ardebil Province Province. For. Res. Dev. 2018, 4, 223–239. [Google Scholar]
  21. Bricca, A.; Chelli, S.; Canullo, R.; Cutini, M. The legacy of the past logging: How forest structure affects different facets of understory plant diversity in abandoned coppice forests. Diversity 2020, 12, 109. [Google Scholar] [CrossRef]
  22. Kaufmann, S.; Hauck, M.; Leuschner, C. Comparing the plant diversity of paired beech primeval and production forests: Management reduces cryptogam, but not vascular plant species richness. For. Ecol. Manag. 2017, 400, 58–67. [Google Scholar] [CrossRef]
  23. Wikle, J.L.; D’Amato, A.W.; Palik, B.J.; Woodall, C.W.; Evans, K.S.; Nagel, L.M. Structural outcomes of climate adaptation treatments in two contrasting northern temperate forests. For. Ecol. Manag. 2024, 562, 121932. [Google Scholar] [CrossRef]
  24. Sagheb-Talebi, K.; Pourhashemi, M.; Sajedi, T. Forests of Iran: A Treasure from the Past, a Hope for the Future; Springer: Berlin/Heidelberg, Germany, 2014. [Google Scholar]
  25. Ghanbari, S.; Sefidi, K.; Aghai, M. Impact of long and short-term conservation periods on structure of English yew (Taxus baccata L.) in Arasbaran forests, Iran. J. For. Sci. 2019, 65, 272–282. [Google Scholar] [CrossRef]
  26. Mohammadzadeh, A.; Basiri, R.; Tarahi, A.A.; Dadashian, R.; Elahiyan, M.R. Evaluation of biodiversity of plant species in Arasbaran area using non-parametric measures with respect to topographic factor of slope: A case study of aquiferous land of Ilgina and Kaleibar rivers. J. Plant Res. 2015, 27, 728–741. [Google Scholar]
  27. Mozaffarian, V. A dictionary of Iranian Plant Names: Latin, English, Persian; Farhang Mo’aser: Tehran, Iran, 1996; 756p. [Google Scholar]
  28. Bayat, M.; Masteali, H. Evaluation and comparison of biodiversity indexes of tree species in Hyrcanian forests (case study: Kheyroud, Ramsar and Neka forests). J. Plant Res. 2020, 44, 311–324. [Google Scholar]
  29. Chen, X.; Wang, X.; Li, J.; Kang, D. Species diversity of primary and secondary forests in Wanglang Nature Reserve. Glob. Ecol. Conserv. 2020, 22, e01022. [Google Scholar] [CrossRef]
  30. Bihamta, M.; Chahouki, Z. Principles of statistics for the natural resources science. University of Tehran Press: Tehran, Iran, 2008; p. 300. [Google Scholar]
  31. Ghanbari, S.; Sefidi, K.; Fathizadeh, O. Composition and structure of English yew forest stands (Taxus baccata L.) in different conservation systems of Arasbaran forests, Iran. J. Wood For. Sci. Technol. 2019, 26, 31–49. [Google Scholar]
  32. Pato, M. A Study on Natural and Disturbed Forest Stands Structure at West Azarbayijan Province Oak Forests. Master’s Thesis, Gorgan University of Agriculture Sciences and Natural Resources, Gorgan, Iran, 2007; 84p. [Google Scholar]
  33. Rostamikia, Y.; Sagheb-Talebi, K. Effect of landform and edaphic characteristics on the presence and vegetative traits of rowan (Sorbus aucuparia L.) in Andabil forest, Khalkhal region. For. Wood Prod. 2019, 72, 111–121. [Google Scholar]
  34. Danilović, M.; Pantić, D. Assortment structure in beech coppice stands in Boljevac region. Glas. Šumarskog Fak. 2004, 2004, 91–102. [Google Scholar] [CrossRef]
  35. Pourhashemi, M. Structural characteristics of oak coppice stands of Marivan Forests. J. Plant Res. (Iran. J. Biol.) 2015, 27, 766–776. [Google Scholar]
  36. Buckley, P.; Mills, J. Conservation of Coppice and High Forest Management within the Natura 2000 Network–A Review. 2018. Available online: https://www.eurocoppice.uni-freiburg.de/intern/coppiceineurope-volume/coppiceforestsineurope-4-1-buckleymills-natura2000-review-sept2018.pdf (accessed on 9 November 2024).
  37. Fatimata, N.; Philippe, M.; Bienvenu, S.; Nicole, F. Exploring the effects of forest management on tree diversity, community composition, population structure and carbon stocks in sudanian domain of Senegal, West Africa. For. Ecol. Manag. 2024, 559, 121821. [Google Scholar]
  38. Oldeman, R.A. Forests: Elements of Silvology; Springer: Berlin/Heidelberg, Germany, 2012. [Google Scholar]
  39. Santi, I.; Carrari, E.; Gasperini, C.; Cabrucci, M.; Selvi, F. Impact of active coppice management on microclimate and understorey vegetation in a Mediterranean oak forest. In Proceedings of the 118° Congresso della Società Botanica Italiana IX International Plant Science Conference (IPSC) Pisa, Pisa, Italy, 13–16 September 2023; pp. 1–252. [Google Scholar]
Figure 1. Location of the Arasbaran forests, shown on a world map (upper left), within Iran (country map, lower right), and in East Azerbaijan province (provincial map, upper right).
Figure 1. Location of the Arasbaran forests, shown on a world map (upper left), within Iran (country map, lower right), and in East Azerbaijan province (provincial map, upper right).
Forests 16 00116 g001
Figure 2. Descriptive statistics of quantitative variables in the Arasbaran forests under two management systems: coppice and coppice-with-standards (CWS). Different colors represent significant differences in the means between the management systems (p < 0.05). The red line in the boxes of Figure 2 represents the mean.
Figure 2. Descriptive statistics of quantitative variables in the Arasbaran forests under two management systems: coppice and coppice-with-standards (CWS). Different colors represent significant differences in the means between the management systems (p < 0.05). The red line in the boxes of Figure 2 represents the mean.
Forests 16 00116 g002
Figure 3. Relationship between species and tree characteristics—(a) diameter at breast height (DBH) and (b) total height—in coppice and coppice-with-standard (CWS) systems within the Arasbaran forests.
Figure 3. Relationship between species and tree characteristics—(a) diameter at breast height (DBH) and (b) total height—in coppice and coppice-with-standard (CWS) systems within the Arasbaran forests.
Forests 16 00116 g003aForests 16 00116 g003b
Figure 4. Power model relationship between DBH and height for both forest management systems.
Figure 4. Power model relationship between DBH and height for both forest management systems.
Forests 16 00116 g004
Figure 5. Statistical parameters of species diversity indices for both management systems in the Arasbaran forests under two management systems: coppice and coppice-with-standards (CWS). Different colors represent significant differences in the means between the management systems (p < 0.05). The red line in the boxes of Figure 5 represents the mean.
Figure 5. Statistical parameters of species diversity indices for both management systems in the Arasbaran forests under two management systems: coppice and coppice-with-standards (CWS). Different colors represent significant differences in the means between the management systems (p < 0.05). The red line in the boxes of Figure 5 represents the mean.
Forests 16 00116 g005
Figure 6. Bi-plot of principal component analysis (PCA) illustrating species distribution (arrows) between two management systems: coppice-with-standards (CWS, represented by ‘m’ points) and coppice (represented by ‘u’ points). Species abbreviations include RO (Rosa spp.), Ru (Rubus spp.), Sogr (Sorbus graeca), Be (Berberis spp.), Ri (Ribes biberestentii), Vi (Viburnum lantana), Qu (Quercus macranthera), Py (Pyrus spp.), Juex (Juniperus excelsa), Ac (Acer campestre), Pr (Prunus domestica), Fr (Fraxinus excelsiour), Roca (Rosa canina), Mada (Malus domestica), Soau (Sorbus aucuparia), Co (Cornus sanguinea), Sm (Smilax spp.), Cr (Crataegus meyeri), Eu (Euonymus spp.). Jure (Juglans regia), Maor (Malus oriantalis), Me (Mespilus spp.), Loib (Lonicera iberica), Ce (Cerasus avium), Caor (Carpinus orientalis), Masi (Malus sieversii), Loca (lonicera caucasica), and Ul (Ulmus glabra).
Figure 6. Bi-plot of principal component analysis (PCA) illustrating species distribution (arrows) between two management systems: coppice-with-standards (CWS, represented by ‘m’ points) and coppice (represented by ‘u’ points). Species abbreviations include RO (Rosa spp.), Ru (Rubus spp.), Sogr (Sorbus graeca), Be (Berberis spp.), Ri (Ribes biberestentii), Vi (Viburnum lantana), Qu (Quercus macranthera), Py (Pyrus spp.), Juex (Juniperus excelsa), Ac (Acer campestre), Pr (Prunus domestica), Fr (Fraxinus excelsiour), Roca (Rosa canina), Mada (Malus domestica), Soau (Sorbus aucuparia), Co (Cornus sanguinea), Sm (Smilax spp.), Cr (Crataegus meyeri), Eu (Euonymus spp.). Jure (Juglans regia), Maor (Malus oriantalis), Me (Mespilus spp.), Loib (Lonicera iberica), Ce (Cerasus avium), Caor (Carpinus orientalis), Masi (Malus sieversii), Loca (lonicera caucasica), and Ul (Ulmus glabra).
Forests 16 00116 g006
Figure 7. Results of canonical correspondence analysis (CCA) illustrating the most influential environmental factors (aspect, elevation, and slope) in determining the distribution of species within the coppice system. The red arrows represent the direction and strength of each environmental variable’s influence on species distribution. For species abbreviations, refer to the caption of Figure 6.
Figure 7. Results of canonical correspondence analysis (CCA) illustrating the most influential environmental factors (aspect, elevation, and slope) in determining the distribution of species within the coppice system. The red arrows represent the direction and strength of each environmental variable’s influence on species distribution. For species abbreviations, refer to the caption of Figure 6.
Forests 16 00116 g007
Figure 8. Results of canonical correspondence analysis (CCA) illustrating the most influential environmental factors (aspect, elevation, and slope) in determining the distribution of species within the coppice-with-standard (CWS) system. The red arrows represent the direction and strength of each environmental variable’s influence on species distribution. For species abbreviations, refer to the caption of Figure 6.
Figure 8. Results of canonical correspondence analysis (CCA) illustrating the most influential environmental factors (aspect, elevation, and slope) in determining the distribution of species within the coppice-with-standard (CWS) system. The red arrows represent the direction and strength of each environmental variable’s influence on species distribution. For species abbreviations, refer to the caption of Figure 6.
Forests 16 00116 g008
Table 1. Species frequency percent (per ha) DBH, height, BA in coppice and coppice-with-standard (CWS) stands within the Arasbaran forests.
Table 1. Species frequency percent (per ha) DBH, height, BA in coppice and coppice-with-standard (CWS) stands within the Arasbaran forests.
Management TypeCoppice Coppice with Standard
SpeciesFrequency %DBH (Mean ± SD)Height (Mean ± SD)BA (Sum ± SD)SpeciesFrequency %DBH (Mean ± SD)Height (Mean ± SD)BA (Sum ± SD)
Quercus macranthera51.2111.5 ± 5.15.0 ± 2.270.73 ± 0.05C. orientalis71.8311.0 ± 5.86.4 ± 2.9203.92 ± 0.09
Carpinus orientalis15.519.9 ± 5.36.5 ± 3.714.24 ± 0.06Q.macranthera21.7913.2 ± 7.86.4 ± 2.8169.19 ± 0.29
Viburnum lantana8.652.3 ± 1.72.2 ± 0.50.57 ± 0.01A. campestre2.159.2 ± 4.85.5 ± 310.40 ± 0.03
Acer campestre7.979.7 ± 5.95.0 ± 2.98.48 ± 0.04V. lantana1.032.9 ± 1.72.5 ± 1.40.18 ± 0.001
Rosa spp.3.352.5 ± 0.72.0 ± 0.10.00 ± 0.001C. sanguinea0.6611.8 ± 8.67.1 ± 4.65.71 ± 0.3
Lonicera iberica2.123.0 ± 1.22.2 ± 0.30.01 ± 0.001Rosa spp.0.592.2 ± 2.52.0 ± 0.90.06 ± 0.02
Cornus sanguinea1.873.7 ± 2.52.4 ± 1.10.32 ± 0.02P. spinosa0.346.1 ± 3.63.2 ± 1.40.66 ± 0.02
Prunus spinosa1.856.1 ± 4.32.6 ± 0.60.86 ± 0.02L. iberica0.312.6 ± 1.32.0 ± 0.40.01 ± 0.001
Fraxinus excelsior1.78.2 ± 4.55.1 ± 2.81.03 ± 0.03Pyrus spp.0.2612.1 ± 6.86.6 ± 5.11.42 ± 0.02
Sorbus graeca1.4420.6 ± 94.5 ± 1.45.09 ± 0.1L. caucasica0.254.4 ± 5.83.2 ± 2.70.11 ± 0.03
Berberis spp.1.072.4 ± 12.2 ± 0.40.05 ± 0.001U. glabra0.1512.3 ± 5.95.2 ± 3.60.29 ± 0.04
Ribes biberestentii1.073.2 ± 52.5 ± 1.20.32 ± 0.08F. excelsior0.118.9 ± 4.37.3 ± 3.90.55 ± 0.02
Pyrus spp.0.6913.3 ± 6.56.4 ± 4.31.23 ± 0.03J. excelsa0.14.8 ± 0.012.0 ± 0.010.01 ± 0.001
Euonymus spp.0.273.9 ± 1.33.7 ± 1.60.05 ± 0.001C. meyeri0.048.5 ± 4.63.5 ± 30.03 ± 0.01
Juniperus excelsa0.264.4 ± 1.62.1 ± 0.40.05 ± 0.001Euonymus spp.0.011.6 ± 0.012.0 ± 0.010.2 ± 0.01
Crataegus meyeri0.238.2 ± 3.64.0 ± 2.70.25 ± 0.02Berberis spp.02.3 ± 1.52.0 ± 0.010.01 ± 0.001
Lonicera caucasica02.6 ± 1.82.3 ± 0.50.19 ± 0.01R. biberestentii0000
Ulmus glabra0000S. graeca04.5 ± 0.014.5 ± 0.010.12 ± 0.2
All species10010.5 ± 5.94.9 ± 2.7104.13 ± 0.05All species10011.5 ± 6.86.2 ± 3395.53 ± 0.19
Table 2. Results of unpaired t-test for quantitative variables under different stand management systems in the Arasbaran forests.
Table 2. Results of unpaired t-test for quantitative variables under different stand management systems in the Arasbaran forests.
Characteristictd.f.p
Coppice shoots (n) −15.809 7781.910 0.00 **
Total height (m) −21.600 8322 0.00 **
DBH (cm) −12.129 6979.294 0.00 **
Basal area (BA, m2/ha−1) −22.048 7516.071 0.00 **
** Significant at p < 0.01.
Disclaimer/Publisher’s Note: The statements, opinions and data contained in all publications are solely those of the individual author(s) and contributor(s) and not of MDPI and/or the editor(s). MDPI and/or the editor(s) disclaim responsibility for any injury to people or property resulting from any ideas, methods, instructions or products referred to in the content.

Share and Cite

MDPI and ACS Style

Ghanbari, S.; Álvarez-Álvarez, P.; Esmaili, A.; Sasanifar, S.; Sadeghi, S.M.M.; Sefidi, K.; Eastin, I. Coppice and Coppice-with-Standard Stands Systems: Implications for Forest Management and Biodiversity. Forests 2025, 16, 116. https://doi.org/10.3390/f16010116

AMA Style

Ghanbari S, Álvarez-Álvarez P, Esmaili A, Sasanifar S, Sadeghi SMM, Sefidi K, Eastin I. Coppice and Coppice-with-Standard Stands Systems: Implications for Forest Management and Biodiversity. Forests. 2025; 16(1):116. https://doi.org/10.3390/f16010116

Chicago/Turabian Style

Ghanbari, Sajad, Pedro Álvarez-Álvarez, Ayeshe Esmaili, Samira Sasanifar, Seyed Mohmmad Moein Sadeghi, Kiomars Sefidi, and Ivan Eastin. 2025. "Coppice and Coppice-with-Standard Stands Systems: Implications for Forest Management and Biodiversity" Forests 16, no. 1: 116. https://doi.org/10.3390/f16010116

APA Style

Ghanbari, S., Álvarez-Álvarez, P., Esmaili, A., Sasanifar, S., Sadeghi, S. M. M., Sefidi, K., & Eastin, I. (2025). Coppice and Coppice-with-Standard Stands Systems: Implications for Forest Management and Biodiversity. Forests, 16(1), 116. https://doi.org/10.3390/f16010116

Note that from the first issue of 2016, this journal uses article numbers instead of page numbers. See further details here.

Article Metrics

Back to TopTop