Historical Pollution Exposure Impacts on PM2.5 Dry Deposition and Physiological Responses in Urban Trees
Abstract
1. Introduction
2. Materials and Methods
2.1. Overview of the Research Site
2.2. Experimental Materials
2.3. Experimental Design
2.4. Experimental Methods
2.4.1. Leaf Collection
2.4.2. Calculation of the Dry Deposition Velocity
2.4.3. Determination of Morphological Indicators
2.4.4. Determination of Physiological Indicators
2.4.5. Air Pollution Tolerance Index (APTI) Calculation Method
2.4.6. Data Processing and Analysis
3. Results
3.1. Changes in Plant Vd Values under the Influence of Historical Pollution Exposure
3.2. Morphological Responses of Plants under the Influence of Historical Pollution Exposure
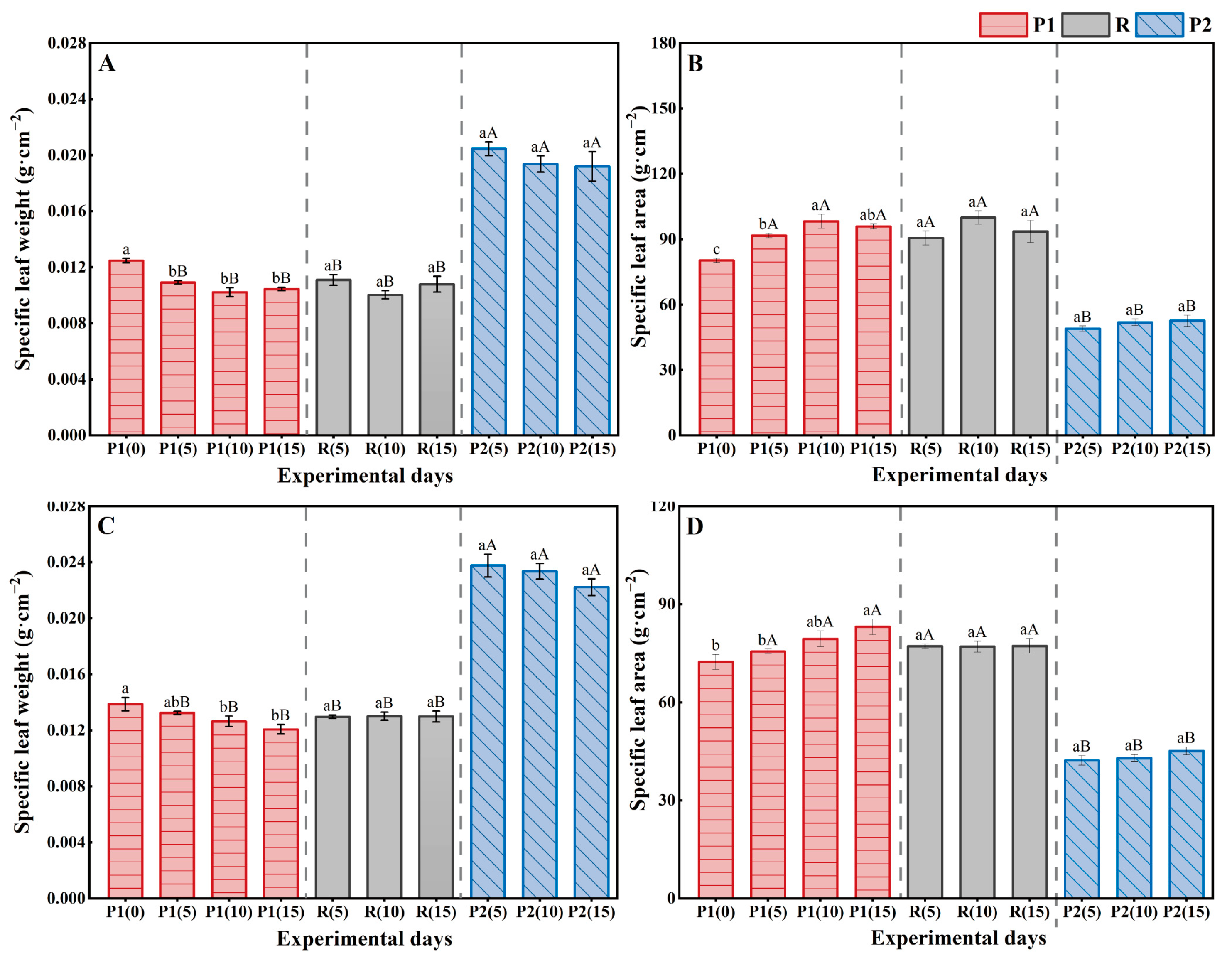
3.2.1. Specific Leaf Weight and Specific Leaf Area
3.2.2. Waxy Layer Thickness
3.2.3. Stomatal Size
3.3. Physiological Responses of Plants under the Influence of Historical Pollution Exposure
3.3.1. Photosynthetic Pigments
3.3.2. Ascorbic Acid Content
3.3.3. Air Pollution Tolerance Index (APTI)
4. Discussion
4.1. Changes in Retention Capacity
4.2. Changes in Morphological Characteristics
4.3. Physiological Changes
4.4. Limitations
5. Conclusions
Author Contributions
Funding
Data Availability Statement
Conflicts of Interest
References
- Ahmad, N.A.; Ismail, N.W.; Ahmad Sidique, S.F.; Mazlan, N.S. Air pollution effects on adult mortality rate in developing countries. Environ. Sci. Pollut. Res. 2021, 28, 8709–8721. [Google Scholar] [CrossRef] [PubMed]
- Chen, J.; Hoek, G. Long-term exposure to PM and all-cause and cause-specific mortality: A systematic review and meta-analysis. Environ. Int. 2020, 143, 105974. [Google Scholar] [CrossRef] [PubMed]
- Wang, M.; Qin, M.; Xu, P.; Huang, D.; Jin, X.; Chen, J.; Dong, D.; Ren, Y. Atmospheric particulate matter retention capacity of bark and leaves of urban tree species. Environ. Pollut. 2024, 342, 123109. [Google Scholar] [CrossRef]
- Przybysz, A.; Sæbø, A.; Hanslin, H.M.; Gawroński, S.W. Accumulation of particulate matter and trace elements on vegetation as affected by pollution level, rainfall and the passage of time. Sci. Total Environ. 2014, 481, 360–369. [Google Scholar] [CrossRef]
- Lu, T.; Lin, X.; Chen, J.; Huang, D.; Li, M. Atmospheric particle retention capacity and photosynthetic responses of three common greening plant species under different pollution levels in Hangzhou. Glob. Ecol. Conserv. 2019, 20, e00783. [Google Scholar] [CrossRef]
- Ren, Y.; Qu, Z.; Du, Y.; Xu, R.; Ma, D.; Yang, G.; Shi, Y.; Fan, X.; Tani, A.; Guo, P. Air quality and health effects of biogenic volatile organic compounds emissions from urban green spaces and the mitigation strategies. Environ. Pollut. 2017, 230, 849–861. [Google Scholar] [CrossRef] [PubMed]
- Giardina, M.; Buffa, P. A new approach for modeling dry deposition velocity of particles. Atmos. Environ. 2018, 180, 11–22. [Google Scholar] [CrossRef]
- Tiwari, A.; Kumar, P. Integrated dispersion-deposition modelling for air pollutant reduction via green infrastructure at an urban scale. Sci. Total Environ. 2020, 723, 138078. [Google Scholar] [CrossRef]
- Yin, S.; Zhang, X.; Yu, A.; Sun, N.; Lyu, J.; Zhu, P.; Liu, C. Determining PM2.5 dry deposition velocity on plant leaves: An indirect experimental method. Urban For. Urban Green. 2019, 46, 126467. [Google Scholar] [CrossRef]
- Han, D.; Shen, H.; Duan, W.; Chen, L. A review on particulate matter removal capacity by urban forests at different scales. Urban For. Urban Green. 2020, 48, 126565. [Google Scholar] [CrossRef]
- Hong, S.; Zheng, X.; Shen, J.; Li, J.; Qi, B.; Du, R. Analysis of pollution status under haze and non-haze weather in Hangzhou city. Adm. Technol. Environ. Monit. 2017, 29, 5. [Google Scholar] [CrossRef]
- Hilker, M.; Schmülling, T. Stress priming, memory, and signalling in plants. Plant Cell Environ. 2019, 42, 753–761. [Google Scholar] [CrossRef] [PubMed]
- Li, M.; Huang, D.; Zhou, Y.; Zhang, J.; Lin, X.; Chen, J. The legacy effects of PM2.5 depositon on Nerium Oleander L. Chemosphere 2021, 281, 130682. [Google Scholar] [CrossRef]
- Huang, H.; He, Z.; Li, M.; Zhou, Y.; Zhang, J.; Jin, X.; Chen, J. Influence of exposure history on the particle retention capacity and physiological responses of Euonymus japonicus Thunb. var. aurea-marginatus Hort. Environ. Pollut. 2023, 316, 120593. [Google Scholar] [CrossRef] [PubMed]
- World Health Organization. WHO Global Air Quality Guidelines: Particulate Matter (PM2.5 and PM10), Ozone, Nitrogen Dioxide, Sulfur Dioxide and Carbon Monoxide; World Health Organization: Geneve, Switzerland, 2021; Available online: https://www.who.int/publications/i/item/9789240034228 (accessed on 18 October 2022).
- Lin, X.; Shu, D.; Zhang, J.; Chen, J.; Zhou, Y.; Chen, C. Dynamics of particle retention and physiology in Euonymus japonicus Thunb. var. aurea-marginatus Hort. with severe exhaust exposure under continuous drought. Environ. Pollut. 2021, 285, 117194. [Google Scholar] [CrossRef]
- Miao, Z.; Wang, X.; Lin, X.; Yang, S.; Zhang, J.; Chen, J. Automobile exhaust particles retention capacity assessment of two common garden plants in different seasons in the Yangtze River Delta using open-top chambers. Environ. Pollut. 2020, 263, 114560. [Google Scholar] [CrossRef]
- Fan, X.; Liu, W.; Wang, G.; Lin, J.; Fu, Q.; Gao, S.; Li, Y. Concentration and size distribution of atmospheric particulate matter in Hangzhou city. China Environ. Sci. 2011, 31, 13–18. [Google Scholar]
- Song, T.; Feng, M.; Song, D.; Liu, S.; Tan, Q.; Wang, Y.; Luo, Y.; Chen, X.; Yang, F. Comparative Analysis of Secondary Organic Aerosol Formation during PM2.5 Pollution and Complex Pollution of PM2.5 and O3 in Chengdu, China. Atmosphere 2022, 13, 1834. [Google Scholar] [CrossRef]
- Kulkarni, P.; Baron, P.A.; Willeke, K. Aerosol Measurement: Principles, Techniques, and Applications, 3rd ed.; John Wiley & Sons: New York, NY, USA, 2011; pp. 449–479. [Google Scholar]
- Jiang, J.; Chen, M.; Kuang, C.; Attoui, M.; Mcmurry, P.H. Electrical Mobility Spectrometer Using a Diethylene Glycol Condensation Particle Counter for Measurement of Aerosol Size Distributions Down to 1 nm. Aerosol Sci. 2011, 45, 510–521. [Google Scholar] [CrossRef]
- Che, H.; Zhang, X.; Li, Y.; Zhou, Z.; Qu, J.J.; Hao, X. Haze trends over the capital cities of 31 provinces in China, 1981–2005. Theor. Appl. Climatol. 2009, 97, 235–242. [Google Scholar] [CrossRef]
- Garnier, E.; Shipley, B.; Roumet, C.; Laurent, G. A standardized protocol for the determination of specific leaf area and leaf dry matter content. Funct. Ecol. 2001, 15, 688–695. [Google Scholar] [CrossRef]
- Gausman, H.W.; Schupp, M. Rapid Transectioning of Plant Leaves. Agron. J. 1971, 63, 515–516. [Google Scholar] [CrossRef]
- Russo, G.; De Angelis, P.; Mickle, J.E.; Lumaga Barone, M.R. Stomata morphological traits in two different genotypes of Populus nigra L. Iforest. 2015, 8, 547–551. [Google Scholar] [CrossRef]
- Singh, S.K.; Rao, D.N.; Agrawal, M.; Pandey, J.; Naryan, D. Air pollution tolerance index of plants. J. Environ. Manag. 1991, 32, 45–55. [Google Scholar] [CrossRef]
- Zhang, X.; Lyu, J.; Chen, W.Y.; Chen, D.; Yan, J.; Yin, S. Quantifying the capacity of tree branches for retaining airborne submicron particles. Environ. Pollut. 2022, 310, 119873. [Google Scholar] [CrossRef]
- Beckett, K.P.; Freer-Smith, P.H.; Taylor, G. Particulate pollution capture by urban trees: Effect of species and windspeed. Glob. Chang. Biol. 2010, 6, 995–1003. [Google Scholar] [CrossRef]
- Huang, C.W.; Lin, M.Y.; Khlystov, A.; Katul, G.G. The effects of leaf size and microroughness on the branch-scale collection efficiency of ultrafine particles. J. Geophys. Res.-Atmos. 2015, 120, 3370–3385. [Google Scholar] [CrossRef]
- Zhang, X.; Lyu, J.; Han, Y.; Sun, N.; Sun, W.; Li, J.; Liu, C.; Yin, S. Effects of the leaf functional traits of coniferous and broadleaved trees in subtropical monsoon regions on PM2.5 dry deposition velocities. Environ. Pollut. 2020, 265, 114845. [Google Scholar] [CrossRef] [PubMed]
- Kawai, K.; Okada, N. Roles of major and minor vein in leaf water deficit tolerance and structural properties in 11 temperate deciduous woody species. Trees-Struct. Funct. 2019, 33, 1573–1582. [Google Scholar] [CrossRef]
- Sun, Y.; Lin, W.; Li, Y.; Xu, D. Dust deposition on vegetation leaves in Shanghai, China. Int. J. Environ. Health Res. 2021, 31, 1001–1014. [Google Scholar] [CrossRef]
- Liu, L.; Guan, D.; Peart, M.R. The morphological structure of leaves and the dust-retaining capability of afforested plants in urban Guangzhou, South China. Environ. Sci. Pollut. Res. 2012, 19, 3440–3449. [Google Scholar] [CrossRef] [PubMed]
- Ram, S.S.; Majumder, S.; Chaudhuri, P.; Chanda, S.; Santra, S.C.; Chakraborty, A.; Sudarshan, M. A Review on Air Pollution Monitoring and Management Using Plants With Special Reference to Foliar Dust Adsorption and Physiological Stress Responses. Crit. Rev. Environ. Sci. Technol. 2015, 45, 2489–2522. [Google Scholar] [CrossRef]
- Bruce, T.J.A.; Matthes, M.C.; Napier, J.A.; Pickett, J.A. Stressful “memories” of plants: Evidence and possible mechanisms. Plant Sci. 2007, 173, 603–608. [Google Scholar] [CrossRef]
- Klein, I.; DeJong, T.M.; Weinbaum, S.A.; Muraoka, T.T. Specific Leaf Weight and Nitrogen Allocation Responses to Light Exposure within Walnut Trees. Hortic. Sci. 1991, 26, 183–185. [Google Scholar] [CrossRef]
- Wright, I.J.; Reich, P.B.; Westoby, M.; Ackerly, D.D.; Baruch, Z.; Bongers, F.; Cavender-Bares, J.; Chapin, T.; Cornelissen, J.H.C.; Diemer, M. The worldwide leaf economics spectrum. Nature 2004, 428, 821. [Google Scholar] [CrossRef]
- Chaudhary, I.J.; Rathore, D. Suspended particulate matter deposition and its impact on urban trees. Atmos. Pollut. Res. 2018, 9, 1072–1082. [Google Scholar] [CrossRef]
- Pavlík, M.; Pavlíková, D.; Zemanová, V.; Hnilička, F.; Urbanová, V.; Száková, J. Trace elements present in airborne particulate matter—Stressors of plant metabolism. Ecotoxicol. Environ. Saf. 2012, 79, 101–107. [Google Scholar] [CrossRef] [PubMed]
- Weraduwage, S.M.; Jin, C.; Anozie, F.C.; Alejandro, M.; Weise, S.E.; Sharkey, T.D. The relationship between leaf area growth and biomass accumulation in Arabidopsis thaliana. Front. Plant Sci. 2015, 6, 167. [Google Scholar] [CrossRef]
- Koyro, H.W. Effect of salinity on growth, photosynthesis, water relations and solute composition of the potential cash crop halophyte Plantago coronopus (L.). Environ. Exp. Bot. 2006, 56, 136–146. [Google Scholar] [CrossRef]
- Muhammad, S.; Wuyts, K.; Nuyts, G.; De Wael, K.; Samson, R. Characterization of epicuticular wax structures on leaves of urban plant species and its association with leaf wettability. Urban For. Urban Green. 2020, 47, 126557. [Google Scholar] [CrossRef]
- Xu, P.; Qian, Q.; Lin, X.; Zhang, J.; Chen, J. Effects of moderate drought on particles retention and physiology of three evergreen shrubs. Urban For. Urban Green. 2022, 70, 127547. [Google Scholar] [CrossRef]
- Garcia-Mata, C.; Lamattina, L. Gasotransmitters are emerging as new guard cell signaling molecules and regulators of leaf gas exchange. Plant Sci. 2013, 201–202, 66–73. [Google Scholar] [CrossRef] [PubMed]
- Shao, F.; Wang, L.; Sun, F.; Li, G.; Yu, L.; Wang, Y.; Zeng, X.; Yan, H.; Dong, L.; Bao, Z. Study on different particulate matter retention capacities of the leaf surfaces of eight common garden plants in Hangzhou, China. Sci. Total Environ. 2019, 652, 939–951. [Google Scholar] [CrossRef]
- Rai, P.K. Impacts of particulate matter pollution on plants: Implications for environmental biomonitoring. Ecotoxicol. Environ. Saf. 2016, 129, 120–136. [Google Scholar] [CrossRef]
- Ogunkunle, C.O.; Suleiman, L.B.; Oyedeji, S.; Awotoye, O.O.; Fatoba, P.O. Assessing the air pollution tolerance index and anticipated performance index of some tree species for biomonitoring environmental health. Agrofor. Syst. 2015, 89, 447–454. [Google Scholar] [CrossRef]
- Karmakar, D.; Padhy, P.K. Air pollution tolerance, anticipated performance, and metal accumulation indices of plant species for greenbelt development in urban industrial area. Chemosphere 2019, 237, 124522. [Google Scholar] [CrossRef] [PubMed]
- Bharti, S.K.; Trivedi, A.; Kumar, N. Air pollution tolerance index of plants growing near an industrial site. Urban Clim. 2018, 24, 820–829. [Google Scholar] [CrossRef]
- Saini, Y.; Bhardwaj, N.; Gautam, R. Effect of marble dust on plants around Vishwakarma Industrial Area (VKIA) in Jaipur, India. J. Environ. Biol. 2011, 32, 209. [Google Scholar] [CrossRef]







| Group | Pollution Gradient | Explanation | Note |
|---|---|---|---|
| CK | Natural level | Clean air outside the shed; the average daily PM2.5 concentration is 55 ± 10 μg·m−3 | Regular watering is employed, thus maintaining the volumetric soil moisture content of the potting soil of the test plants between 35% and 40% |
| P | Elevated particulate pollution | Exposure to PM2.5 pollution for 5 h per day, the real-time PM2.5 concentration at the time of pollution is 300 ± 50 μg·m−3, and the average daily PM2.5 concentration is 150 ± 50 μg·m−3 |
| Period | Explanation | Instruction | Time | |
|---|---|---|---|---|
| P1 | 15 days | First pollution treatment period | The day before this period began, all plant leaves were washed with deionized water, dried for a day, and then moved into the air chamber | 12–27 June 2023 |
| R | 15 days | Recovery period | Contamination is stopped, and all leaves are washed with deionized water | 28 June–13 July 2023 |
| P2 | 15 days | Second pollution treatment period | The blades are cleaned with deionized water, and the second pollution treatment is conducted after the recovery period | 14–29 July 2023 |
Disclaimer/Publisher’s Note: The statements, opinions and data contained in all publications are solely those of the individual author(s) and contributor(s) and not of MDPI and/or the editor(s). MDPI and/or the editor(s) disclaim responsibility for any injury to people or property resulting from any ideas, methods, instructions or products referred to in the content. |
© 2024 by the authors. Licensee MDPI, Basel, Switzerland. This article is an open access article distributed under the terms and conditions of the Creative Commons Attribution (CC BY) license (https://creativecommons.org/licenses/by/4.0/).
Share and Cite
Liu, R.; Wang, M.; Chen, S.; Zhang, J.; Jin, X.; Ren, Y.; Chen, J. Historical Pollution Exposure Impacts on PM2.5 Dry Deposition and Physiological Responses in Urban Trees. Forests 2024, 15, 1614. https://doi.org/10.3390/f15091614
Liu R, Wang M, Chen S, Zhang J, Jin X, Ren Y, Chen J. Historical Pollution Exposure Impacts on PM2.5 Dry Deposition and Physiological Responses in Urban Trees. Forests. 2024; 15(9):1614. https://doi.org/10.3390/f15091614
Chicago/Turabian StyleLiu, Ruiyu, Manli Wang, Shuyu Chen, Jing Zhang, Xiaoai Jin, Yuan Ren, and Jian Chen. 2024. "Historical Pollution Exposure Impacts on PM2.5 Dry Deposition and Physiological Responses in Urban Trees" Forests 15, no. 9: 1614. https://doi.org/10.3390/f15091614
APA StyleLiu, R., Wang, M., Chen, S., Zhang, J., Jin, X., Ren, Y., & Chen, J. (2024). Historical Pollution Exposure Impacts on PM2.5 Dry Deposition and Physiological Responses in Urban Trees. Forests, 15(9), 1614. https://doi.org/10.3390/f15091614
