Differential Responses of Soil Nitrogen Forms to Climate Warming in Castanopsis hystrix and Quercus aliena Forests of China
Abstract
1. Introduction
2. Materials and Methods
2.1. Study Area Sites
2.2. Experimental Design
2.3. Soil Collection and Analysis
2.4. Fine Root Collection and Analysis
2.5. Statistical Analysis
3. Results
3.1. Soil Physicochemical Properties
3.2. Soil Microbial Biomass
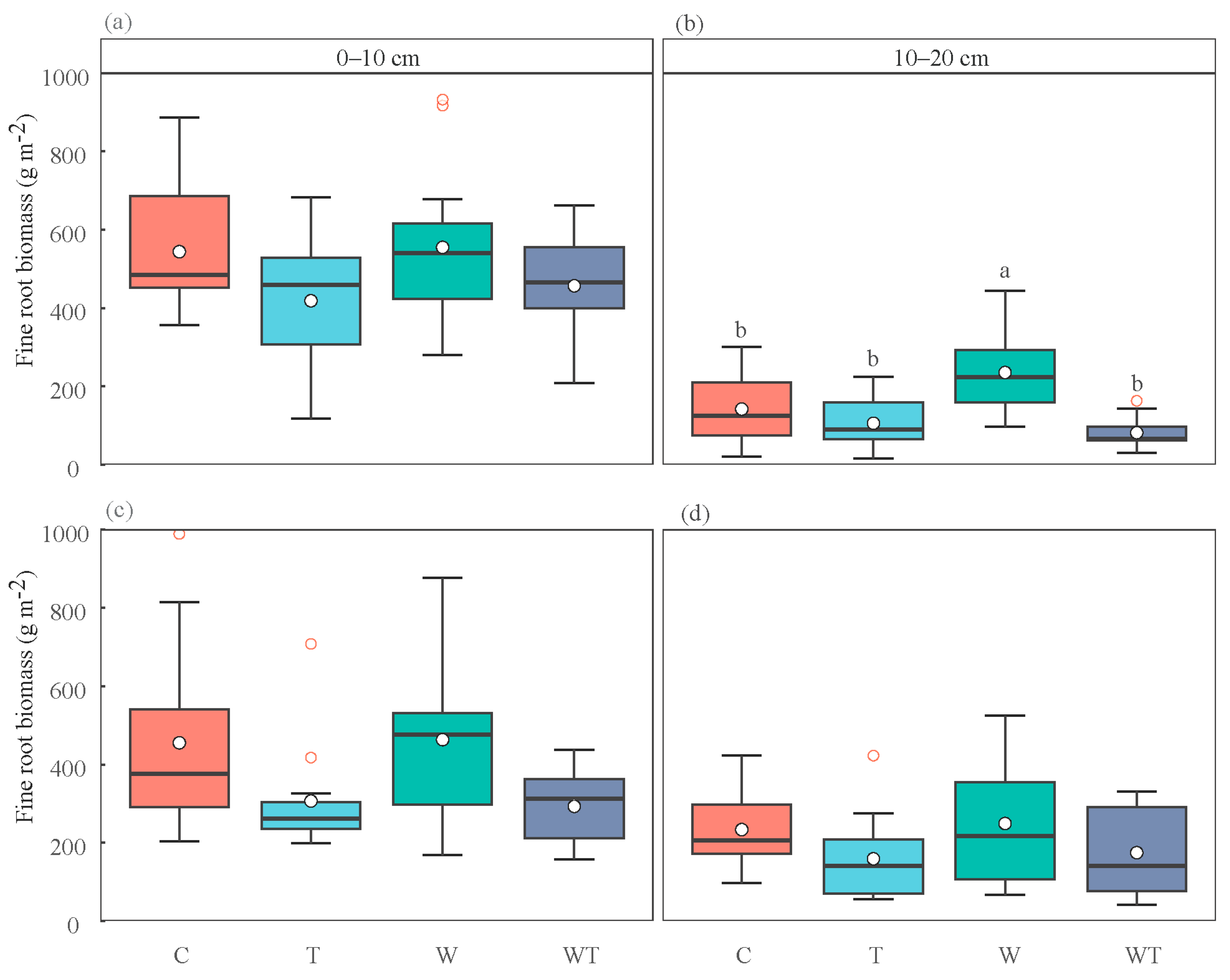
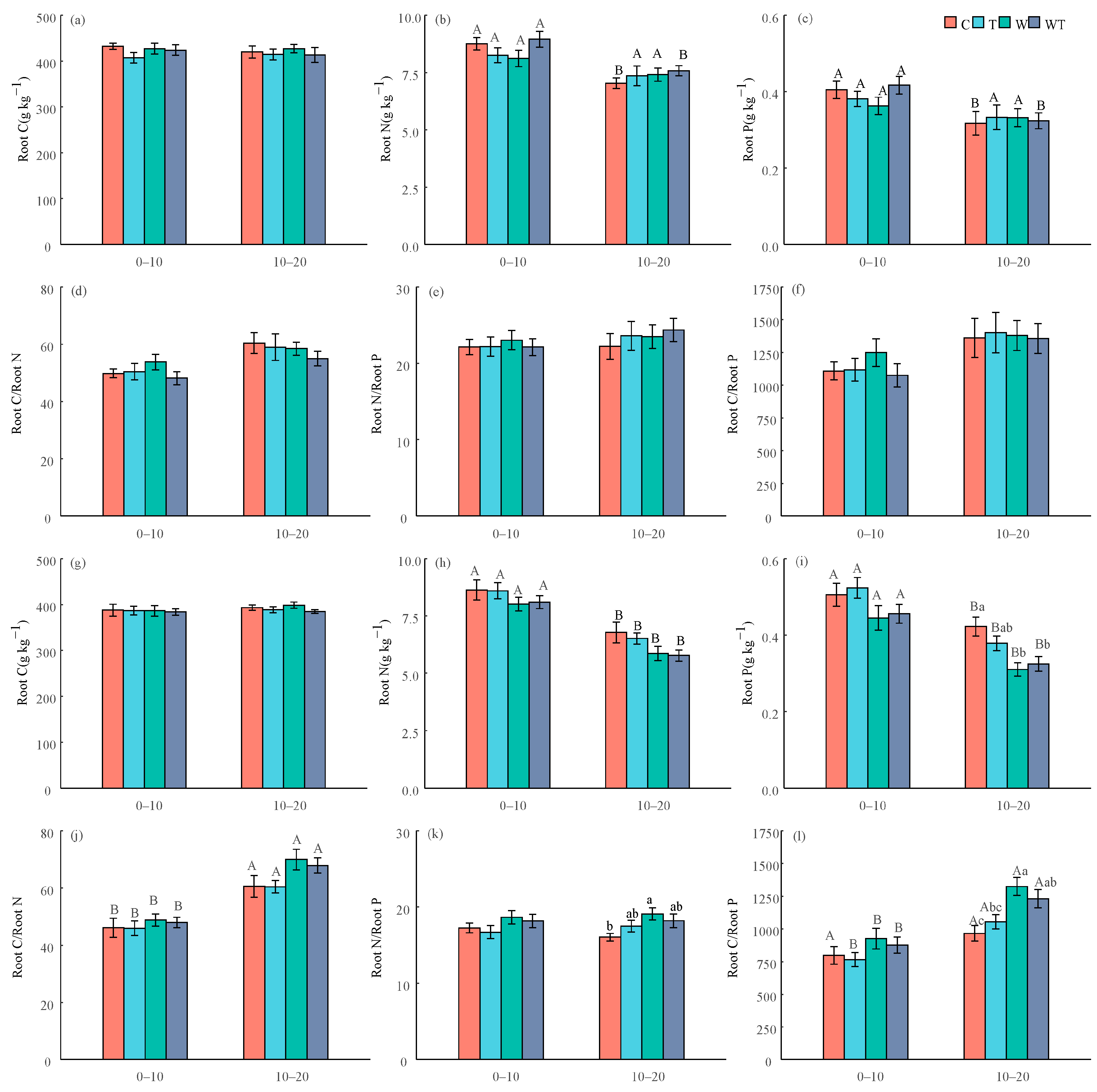
3.3. Fine Root Biomass and Nutrients
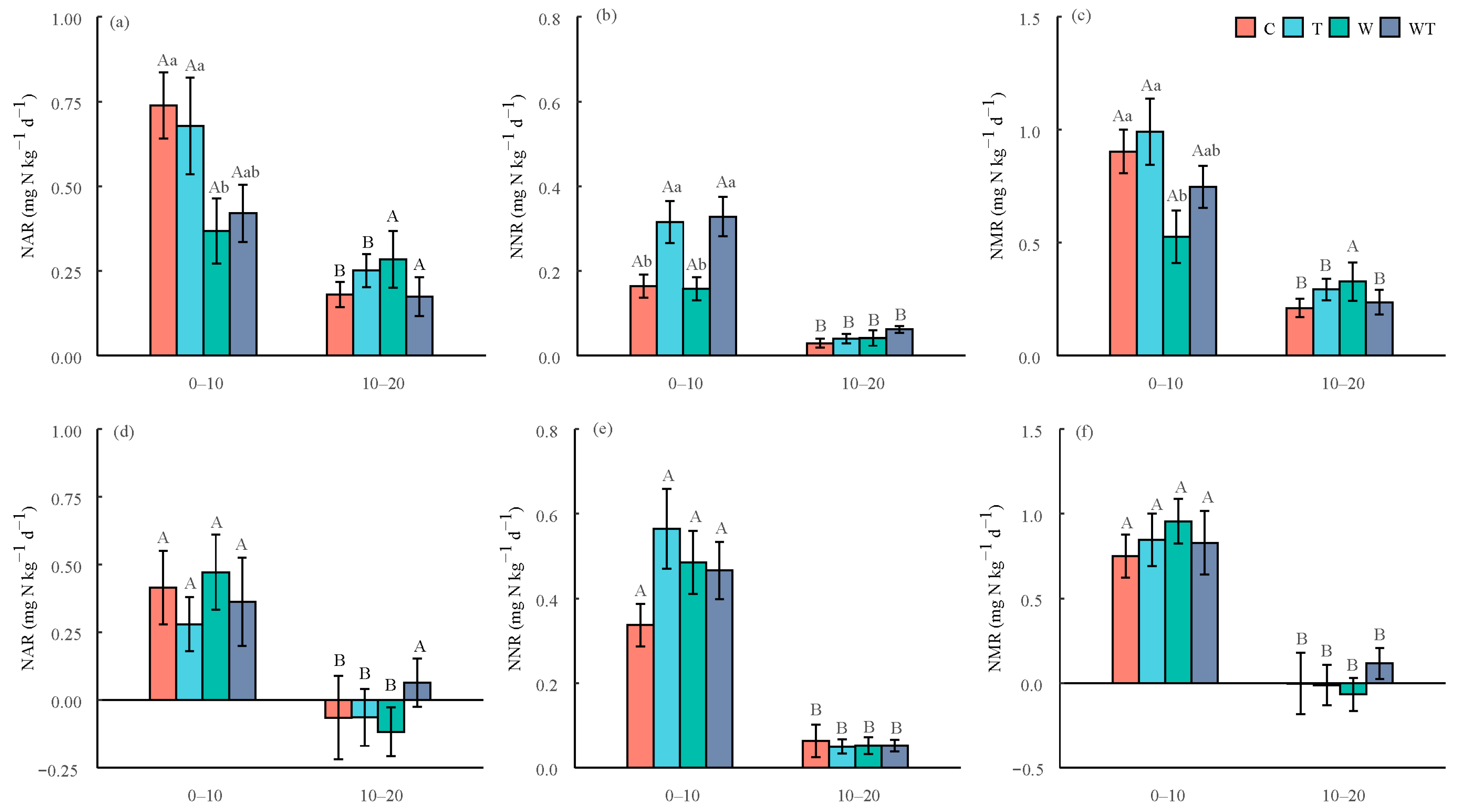
3.4. Soil Net Nitrogen Mineralization Rate
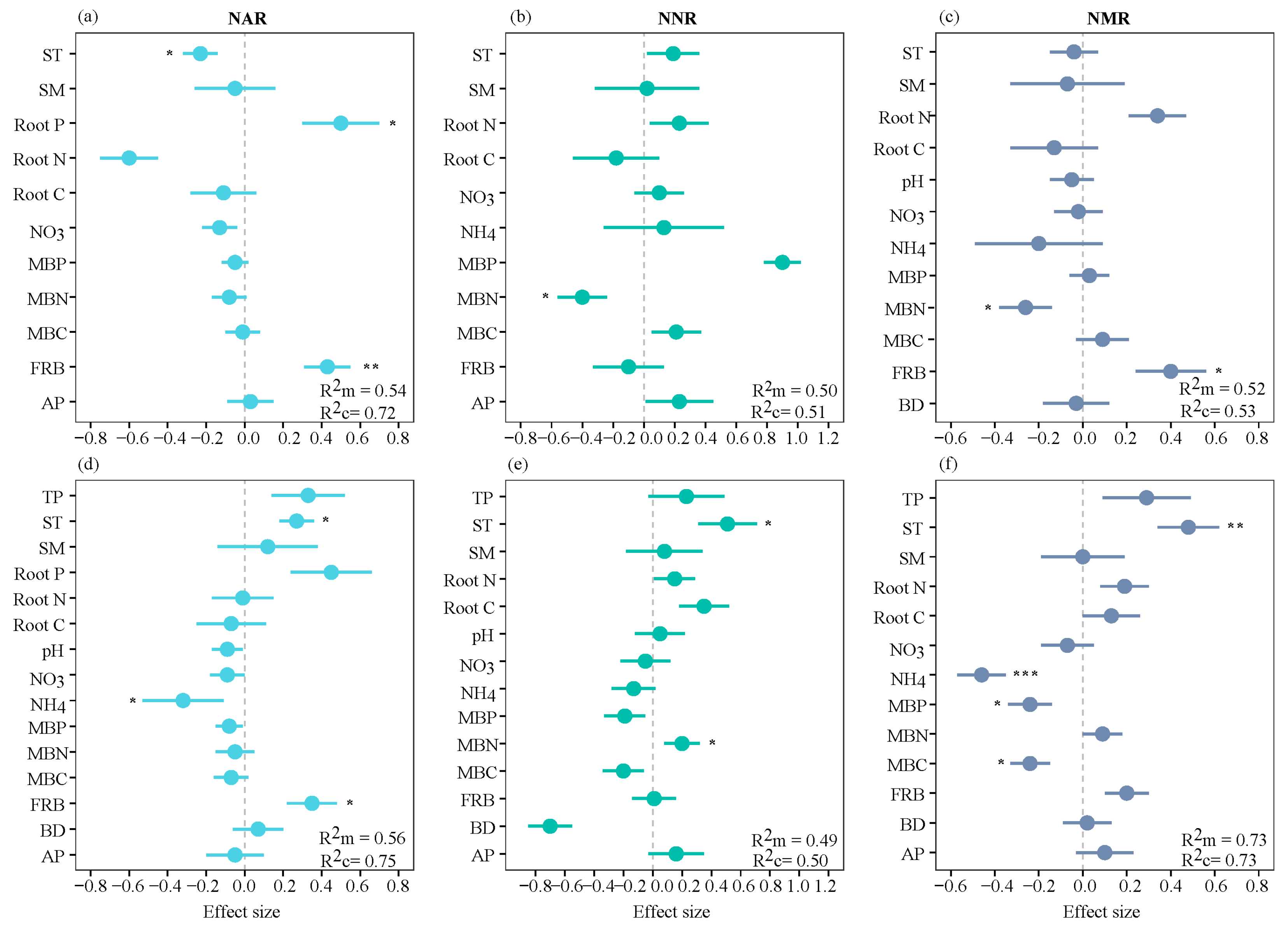
3.5. Factors Influencing the Net Nitrogen Transformation Rate
4. Discussion
4.1. Warming Decreased Soil NAR and NMR in the Castanopsis Hystrix Plantation
4.2. Warming Did Not Change the NMR of Soils in the Quercus Aliena Forest
5. Conclusions
Author Contributions
Funding
Data Availability Statement
Acknowledgments
Conflicts of Interest
References
- Jones, N. When will global warming actually hit the landmark 1.5 C limit? Nat. Geosci. 2023, 618, 20. [Google Scholar] [CrossRef]
- IPCC. Summary for policymakers. In Climate Change 2021: The Physical Science Basis. Contribution of Working Group I to the Sixth Assessment Report of the Intergovernmental Panel on Climate Change; Cambridge University Press: Cambridge, UK; New York, NY, USA, 2021. [Google Scholar]
- Fernández-Martínez, M.; Sardans, J.; Chevallier, F.; Ciais, P.; Obersteiner, M.; Vicca, S.; Canadell, J.G.; Bastos, A.; Friedlingstein, P.; Sitch, S. Global trends in carbon sinks and their relationships with CO2 and temperature. Nat. Clim. Change 2019, 9, 73–79. [Google Scholar] [CrossRef]
- Liu, T.Z.; Nan, Z.B.; Hou, F.J. Grazing intensity effects on soil nitrogen mineralization in semi-arid grassland on the Loess Plateau of northern China. Nutr. Cycl. Agroecosystems 2011, 91, 67–75. [Google Scholar] [CrossRef]
- Lebauer, D.S.; Treseder, K.K. Nitrogen limitation of net primary productivity in terrestrial ecosystems is globally distributed. Ecology 2008, 89, 371–379. [Google Scholar] [CrossRef] [PubMed]
- Dai, Z.M.; Yu, M.J.; Chen, H.H.; Zhao, H.C.; Xu, J.M. Elevated temperature shifts soil N cycling from microbial immobilization to enhanced mineralization, nitrification and denitrification across global terrestrial ecosystems. Glob. Chang. Biol. 2020, 26, 5267–5276. [Google Scholar] [CrossRef] [PubMed]
- Wu, Z.T.; Dijkstra, P.; Koch, G.W.; Peñuelas, J.; Hungate, B.A. Responses of terrestrial ecosystems to temperature and precipitation change: A meta-analysis of experimental manipulation. Glob. Chang. Biol. 2011, 17, 927–942. [Google Scholar] [CrossRef]
- Ollinger, S.V.; Richardson, A.D.; Martin, M.E.; Hollinger, D.Y.; Frolking, S.E.; Reich, P.B.; Plourde, L.C.; Katul, G.G.; Munger, J.W.; Oren, R.; et al. Canopy nitrogen, carbon assimilation, and albedo in temperate and boreal forests: Functional relations and potential climate feedbacks. Proc. Natl. Acad. Sci. USA 2008, 105, 19336–19341. [Google Scholar] [CrossRef]
- Wang, C.H.; Han, X.G.; Xing, X.R. Effects of grazing exclusion on soil net nitrogen mineralization and nitrogen availability in a temperate steppe in northern China. J. Arid Environm. 2010, 74, 1287–1293. [Google Scholar] [CrossRef]
- Fanin, N.; Mooshammer, M.; Sauvadet, M.; Meng, C.; Alvarez, G.; Bernard, L.; Bertrand, I.; Blagodatskaya, E.; Bon, L.; Fontaine, S.; et al. Soil enzymes in response to climate warming: Mechanisms and feedbacks. Functi. Ecol. 2022, 36, 1378–1395. [Google Scholar] [CrossRef]
- Zuccarini, P.; Asensio, D.; Ogaya, R.; Sardans, J.; Peuelas, J. Effects of seasonal and decadal warming on soil enzymatic activity in a P-deficient Mediterranean shrubland. Glob. Chang. Biol. 2020, 26, 3698–3714. [Google Scholar] [CrossRef]
- Yin, H.J.; Chen, Z.; Liu, Q. Effects of experimental warming on soil N transformations of two coniferous species, Eastern Tibetan Plateau, China. Soil Biol. Biochem. 2012, 50, 77–84. [Google Scholar] [CrossRef]
- Butler, S.M.; Melillo, J.M.; Johnson, J.E.; Mohan, J.; Steudler, P.A.; Lux, H.; Burrows, E.; Smith, R.M.; Vario, C.L.; Scott, L. Soil warming alters nitrogen cycling in a New England forest: Implications for ecosystem function and structure. Oecologia 2011, 168, 819–828. [Google Scholar] [CrossRef]
- Li, Y.Q.; Zhang, X.P.; Ma, X.Z.; Li, C.S.; Hao, C.Y.; Tian, H.; Wu, H.; Liang, Z. Effects of short-term warming on soil nitrogen mineralization rate of Pinus tabulaeformis plantation in Daqingshan, Inner Mongolia. J. Anhui Agric. Sci. 2023, 51, 126–131+175. (In Chinese) [Google Scholar]
- Wang, X.N.; Xiong, D.C.; Zhang, Y.H.; Xi, Y.Q.; Huang, J.X.; Chen, S.D.; Liu, X.F.; Yang, Z.J. Effects of warming and nitrogen Addition on Soil Nitrogen Mineralization and N2O Emission in a Mid-subtropical Cunninghamia lanceolata Plantation. For. Res. 2023, 36, 22–31. (In Chinese) [Google Scholar]
- Bai, E.; Li, S.L.; Xu, W.H.; Li, W.; Dai, W.W.; Jiang, P. A meta-analysis of experimental warming effects on terrestrial nitrogen pools and dynamics. New Phytol. 2013, 199, 441–451. [Google Scholar] [CrossRef]
- Bai, T.S.; Wang, P.; Qiu, Y.P.; Zhang, Y.; Hu, S.J. Nitrogen availability mediates soil carbon cycling response to climate warming: A meta-analysis. Glob. Chang. Biol. 2023, 29, 2608–2626. [Google Scholar] [CrossRef]
- Wang, H.; Liu, S.R.; Wang, J.X.; Li, D.J.; Shi, Z.M.; Liu, Y.C.; Xu, J.; Hong, P.Z.; Yu, H.L.; Zhao, Z.; et al. Contrasting responses of heterotrophic and root-dependent respiration to soil warming in a subtropical plantation. Agric. For. Meteorol. 2017, 247, 221–228. [Google Scholar] [CrossRef]
- Wang, H.; Liu, S.R.; Schindlbacher, A.; Wang, J.X.; Yang, Y.J.; Song, Z.C.; You, Y.M.; Shi, Z.M.; Li, Z.Y.; Chen, L.; et al. Experimental warming reduced topsoil carbon content and increased soil bacterial diversity in a subtropical planted forest. Soil Biol. Biochem. 2019, 133, 155–164. [Google Scholar] [CrossRef]
- Liu, Y.C.; Liu, S.R.; Wan, S.Q.; Wang, J.X.; Luan, J.W.; Wang, H. Differential responses of soil respiration to soil warming and experimental throughfall reduction in a transitional oak forest in central China. Agric. Meteorol. 2016, 226, 186–198. [Google Scholar] [CrossRef]
- Wang, Y.; Liu, S.R.; Wang, J.X.; Chang, S.X.; Luan, J.W.; Liu, Y.C.; Lu, H.B.; Liu, X.J. Microbe-mediated attenuation of soil respiration in response to soil warming in a temperate oak forest—Science Direct. Sci. Total Environ. 2020, 711, 134563. [Google Scholar] [CrossRef]
- Tsui, C.C.; Chen, Z.S. Net nitrogen mineralization and nitrification of different landscape positions in a lowland subtropical rainforest in Taiwan. Soil Sci. Plant Nutr. 2010, 56, 319–331. [Google Scholar] [CrossRef]
- Huang, C.Y.; Vance, E.D.; Brookes, P.C.; Jenkinson, D.S. An extraction method for measuring soil microbial biomass C. Soil Biol. Biochem. 1987, 19, 703–707. [Google Scholar]
- Ruiz, R.; Nickel, B.; Koch, N.; Feldman, L.C.; Haglund, R.F.; Kahn, A.; Family, F.; Scoles, G. Dynamic scaling, island size distribution, and morphology in the aggregation regime of submonolayer pentacene films. Phys. Rev. Lett. 2003, 91, 136102. [Google Scholar] [CrossRef]
- Yang, J.J.; Wu, A.C.; Li, J.H.; Wei, H.H.; Qin, J.; Tian, H.D.; Fan, D.H.; Wu, W.D.; Chen, S.; Tong, X.; et al. Structured and unstructured intraspecific propagule trait variation across environmental gradients in a widespread mangrove. Ecol. Evol. 2024, 14, e10835. [Google Scholar] [CrossRef]
- Markesteijn, L.; Poorter, L. Seedling root morphology and biomass allocation of 62 tropical tree species in relation to drought- and shade-tolerance. J. Ecol. 2009, 97, 311–325. [Google Scholar] [CrossRef]
- Wang, J.S.; Defrenne, C.; McCormack, M.L.; Yang, L.; Tian, D.S.; Luo, Y.Q.; Hou, E.Q.; Yan, T.; Li, Z.L.; Bu, W.S.; et al. Fine-root functional trait responses to experimental warming: A global meta-analysis. New Phytol. 2021, 230, 1856–1867. [Google Scholar] [CrossRef] [PubMed]
- Zhao, X.X.; Tian, Q.X.; Michelsen, A.; Lu, M.Z.; Ren, B.S.; Huang, L.; Zhao, R.D. The effect of experimental warming on fine root functional traits of woody plants: Data synthesis. Sci. Total Environ. 2023, 894, 165003. [Google Scholar] [CrossRef]
- Leppälammi-Kujansuu, J.; Ostonen, I.; Strömgren, M.; Nilsson, L.O.; Kleja, D.B.; Sah, S.P.; Helmisaari, H.S. Effects of long-term temperature and nutrient manipulation on Norway spruce fine roots and mycelia production. Plant Soil 2013, 366, 287–303. [Google Scholar] [CrossRef]
- Parts, K.; Tedersoo, L.; Schindlbacher, A.; Sigurdsson, B.D.; Leblans, N.I.W.; Oddsdóttir, E.S.; Borken, W.; Ostonen, I. Acclimation of Fine Root Systems to Soil Warming: Comparison of an Experimental Setup and a Natural Soil Temperature Gradient. Ecosystems 2019, 22, 457–472. [Google Scholar] [CrossRef]
- Xu, Z.F.; Hu, R.; Xiong, P.; Wan, C.A.; Cao, G.; Liu, Q. Initial soil responses to experimental warming in two contrasting forest ecosystems, Eastern Tibetan Plateau, China: Nutrient availabilities, microbial properties and enzyme activities. Appl. Soil Ecol. 2010, 46, 291–299. [Google Scholar] [CrossRef]
- Biasi, C.; Meyer, H.; Rusalimova, O.; Hämmerle, R.; Kaiser, C.; Baranyi, C.; Daims, H.; Lashchinsky, N.; Barsukov, P.; Richter, A. Initial effects of experimental warming on carbon exchange rates, plant growth and microbial dynamics of a lichen-rich dwarf shrub tundra in Siberia. Plant Soil 2008, 307, 191–205. [Google Scholar] [CrossRef]
- Zhang, W.; Parker, K.M.; Luo, Y.; Wan, S.; Wallace, L.L.; Hu, S. Soil microbial responses to experimental warming and clipping in a tallgrass prairie. Glob. Change Biol. 2005, 11, 266–277. [Google Scholar] [CrossRef]
- Xu, W.F.; Yuan, W. Responses of microbial biomass carbon and nitrogen to experimental warming: A meta-analysis. Soil Biol. Biochem. 2017, 15, 265–274. [Google Scholar] [CrossRef]
- Fu, W.; Wang, X.; Wei, X.R. No response of soil N mineralization to experimental warming in a northern middle-high latitude agro-ecosystem. Sci. Total Environ. 2019, 659, 240–248. [Google Scholar] [CrossRef] [PubMed]
- Chantigny, M.H.; Curtin, D.; Beare, M.H.; Greenfield, L.G. Influence of temperature on water-extractable organic matter and ammonium production in mineral soils. Soil Sci. Soc. Am. J. 2010, 74, 517–524. [Google Scholar] [CrossRef]
- Gao, Y.; Ding, J.J.; Yuan, M.T.; Chiariello, N.; Yang, Y.F. Long-term warming in a Mediterranean-type grassland affects soil bacterial functional potential but not bacterial taxonomic composition. NPJ Biofilms Microbi. 2021, 7, 17. [Google Scholar] [CrossRef] [PubMed]
- Heinzle, J.; Liu, X.; Tian, Y.; Kengdo, S.; Heinze, B.; Nirschi, A.; Borken, W.; Inselsbacher, E.; Wanek, W.; Schindlbacher, A. Increase in fine root biomass enhances root exudation by long-term soil warming in a temperate forest. Front. For. Glob. Chang. 2023, 6, 1152142. [Google Scholar] [CrossRef]
- Dijkstra, F.A.; Cheng, W.X. Moisture modulates rhizosphere effects on C decomposition in two different soil types. Soil Biol. Bioch. 2007, 39, 2264–2274. [Google Scholar] [CrossRef]
- Huang, Z.Q.; Wan, X.H.; He, Z.M.; Yu, Z.P.; Wang, M.H.; Hu, Z.H.; Yang, Y.S. Soil microbial biomass, community composition and soil nitrogen cycling in relation to tree species in subtropical China. Soil Biol. Biochem. 2013, 62, 68–75. [Google Scholar] [CrossRef]
- Drake, J.E.; Oishi, A.C.; Giasson, M.A.; Oren, R.; Johnsen, K.H.; Finzi, A.C. Trenching reduces soil heterotrophic activity in a loblolly pine (Pinus taeda) forest exposed to elevated atmospheric [CO2] and N fertilization. Agric. For. Meteorol. 2012, 165, 43–52. [Google Scholar] [CrossRef]
- Wilson, L. Characterization of Soil Carbon and Nitrogen Pools Following a Decade of Detritus Manipulation in a Temperate Coniferous Forest. Bachelor’s Thesis, Oregon State University, Eugene, OR, USA, 2008. [Google Scholar]
- Matsushima, M.; Chang, S.X. Effects of understory removal, N fertilization, and litter layer removal on soil N cycling in a 13-year-old white spruce plantation infested with Canada bluejoint grass. Plant Soil 2007, 292, 243–258. [Google Scholar] [CrossRef]
- Fang, X.M.; Wang, G.G.; Xu, Z.J.; Zong, Y.Y.; Zhang, X.L.; Li, J.J.; Wang, H.M.; Chen, F.S. Litter addition and understory removal influenced soil organic carbon quality and mineral nitrogen supply in a subtropical plantation forest. Plant Soil 2021, 460, 527–540. [Google Scholar] [CrossRef]
- Salazar, A.; Rousk, K.; Jónsdóttir, I.S.; Bellenger, J.P.; Andrésson, O.S. Faster nitrogen cycling and more fungal and root biomass in cold ecosystems under experimental warming: A meta-analysis. Ecology 2020, 101, e02938. [Google Scholar] [CrossRef]
- Zhao, J.X.; Li, R.C.; Li, X.; Tian, L.H. Environmental controls on soil respiration in alpine meadow along a large altitudinal gradient on the central Tibetan Plateau. Catena 2017, 159, 84–92. [Google Scholar] [CrossRef]
- Smithwick, E.A.; Eissenstat, D.M.; Lovett, G.M.; Bowden, R.D.; Rustad, L.E.; Driscoll, C.T. Root stress and nitrogen deposition: Consequences and research priorities. New Phytol. 2013, 197, 712–719. [Google Scholar] [CrossRef] [PubMed]
- Liu, Q.; Yin, H.; Chen, J.; Zhao, C.; Cheng, X.; Wei, Y.; Lin, B. Belowground responses of Picea asperata seedlings to warming and nitrogen fertilization in the eastern Tibetan Plateau. Ecol. Res. 2011, 26, 637–648. [Google Scholar] [CrossRef]
- Allison, S.D.; Treseder, K.K. Warming and drying suppress microbial activity and carbon cycling in boreal forest soils. Glob. Chang. Biol. 2008, 14, 2898–2909. [Google Scholar] [CrossRef]
- Pietri, J.C.A.; Brookes, P.C. Relationships between soil pH and microbial properties in a UK arable soil. Soil Biol. Biochem. 2008, 40, 1856–1861. [Google Scholar] [CrossRef]
- Gao, W.L.; Yan, D.H. Warming suppresses microbial biomass but enhances N recycling. Soil Biol. Biochem. 2019, 131, 111–118. [Google Scholar] [CrossRef]
- Li, Z.L.; Zeng, Z.Q.; Song, Z.P.; Wang, F.Q.; Tian, D.S.; Mi, W.H.; Huang, X.; Wang, J.S.; Song, L.; Yang, Z.K.; et al. Vital roles of soil microbes in driving terrestrial nitrogen immobilization. Glob. Chang. Biol. 2021, 27, 1848–1858. [Google Scholar] [CrossRef]
- Tian, Y.; Shi, C.P.; Malo, C.U.; Kengdo, S.K.; Heinzle, J.; Inselsbacher, E.; Ottner, F.; Borken, W.; Michel, K.; Schindlbacher, A.; et al. Long-term soil warming decreases microbial phosphorus utilization by increasing abiotic phosphorus sorption and phosphorus losses. Nat. Commun. 2023, 14, 864. [Google Scholar] [CrossRef] [PubMed]
- Jia, L.Q.; Jiang, Q.; Sun, J.; Robinson, D.; Yang, Z.J.; Yao, X.D.; Wang, X.H.; Dai, X.L.; Chen, T.T.; Wu, D.M.; et al. Contrasting depth-related fine root plastic responses to soil warming in a subtropical Chinese fir plantation. J. Ecol. 2024, 112, 1058–1073. [Google Scholar] [CrossRef]
- Wang, Y.; Mao, C.; Lin, W.S.; Yang, Z.J.; Xiong, D.C.; Xu, C.; Liu, X.F.; Chen, S.D. Effects of warming on soil nitrogen transformations in subtropical Chinese-fir plantations. Chin. J. Appl. Environ. Biol. 2024, 30, 537–543. (In Chinese) [Google Scholar]
- Msimbira, L.A.; Smith, D.L. The roles of plant growth promoting microbes in enhancing plant tolerance to acidity and alkalinity stresses. Front. Sustain. Food Syst. 2020, 4, 160. [Google Scholar] [CrossRef]
- Saad, O.A.L.O.; Conrad, R. Temperature dependence of nitrification, denitrification, and turnover of nitric oxide in different soils. Biol. Fertil. Soils 1993, 15, 21–27. [Google Scholar] [CrossRef]





| Forest | Source of Variation | ST | SM | BD | pH | SOC | TN | AN | NN | TP | AP | C/N | C/P | N/P |
|---|---|---|---|---|---|---|---|---|---|---|---|---|---|---|
| CH | W | 0.000 ** | 0.758 | 0.987 | 0.367 | 0.670 | 0.730 | 0.851 | 0.344 | 0.007 ** | 0.055 | 0.331 | 0.395 | 0.131 |
| T | 0.477 | 0.943 | 0.963 | 0.679 | 0.657 | 0.825 | 0.728 | 0.678 | 0.845 | 0.631 | 0.149 | 0.563 | 0.859 | |
| D | 0.000 ** | 0.008 ** | 0.000 ** | 0.000 ** | 0.000 ** | 0.000 ** | 0.001 ** | 0.217 | 0.000 ** | 0.000 ** | 0.185 | 0.000 ** | 0.000 ** | |
| T × D | 0.733 | 0.777 | 0.549 | 0.371 | 0.569 | 0.422 | 0.955 | 0.867 | 0.651 | 0.907 | 0.517 | 0.727 | 0.474 | |
| W × D | 0.144 | 0.762 | 0.665 | 0.546 | 0.738 | 0.302 | 0.978 | 0.684 | 0.470 | 0.684 | 0.592 | 0.255 | 0.085 | |
| W × T | 0.516 | 0.944 | 0.395 | 0.332 | 0.785 | 0.584 | 0.725 | 0.302 | 0.242 | 0.274 | 0.934 | 0.387 | 0.285 | |
| W × T × D | 0.814 | 0.907 | 0.412 | 0.815 | 0.534 | 0.868 | 0.944 | 0.510 | 0.335 | 0.721 | 0.539 | 0.853 | 0.795 | |
| QA | W | 0.000 ** | 0.644 | 0.560 | 0.000 ** | 0.736 | 0.599 | 0.055 | 0.550 | 0.291 | 0.338 | 0.783 | 0.846 | 0.878 |
| T | 0.192 | 0.684 | 0.054 | 0.567 | 0.068 | 0.147 | 0.080 | 0.813 | 0.908 | 0.382 | 0.445 | 0.220 | 0.329 | |
| D | 0.001 ** | 0.140 | 0.000** | 0.000 ** | 0.000 ** | 0.000 ** | 0.023 * | 0.598 | 0.011 * | 0.000 ** | 0.000 ** | 0.000 ** | 0.000 ** | |
| T × D | 0.943 | 0.704 | 0.414 | 0.946 | 0.968 | 0.597 | 0.231 | 0.100 | 0.411 | 0.306 | 0.221 | 0.598 | 0.945 | |
| W × D | 0.830 | 0.194 | 0.407 | 0.267 | 0.557 | 0.352 | 0.026 * | 0.046 * | 0.373 | 0.038 * | 0.458 | 0.412 | 0.225 | |
| W × T | 0.245 | 0.068 | 0.393 | 0.457 | 0.210 | 0.091 | 0.369 | 0.174 | 0.781 | 0.529 | 0.212 | 0.327 | 0.101 | |
| W × T × D | 0.793 | 0.357 | 0.386 | 0.305 | 0.717 | 0.895 | 0.394 | 0.190 | 0.689 | 0.991 | 0.460 | 0.727 | 0.910 |
| Forest | Source of Variation | MBC | MBN | MBP | MBC/ MBN | MBC/ MBP | MBN/ MBP |
|---|---|---|---|---|---|---|---|
| CH | W | 0.019 * | 0.152 | 0.860 | 0.741 | 0.244 | 0.353 |
| T | 0.706 | 0.855 | 0.488 | 0.718 | 0.353 | 0.365 | |
| D | 0.067 | 0.853 | 0.886 | 0.264 | 0.266 | 0.385 | |
| T × D | 0.346 | 0.680 | 0.121 | 0.581 | 0.521 | 0.377 | |
| W × D | 0.233 | 0.302 | 0.377 | 0.303 | 0.284 | 0.329 | |
| W × T | 0.349 | 0.201 | 0.550 | 0.042 * | 0.495 | 0.348 | |
| W × T × D | 0.418 | 0.530 | 0.654 | 0.976 | 0.498 | 0.380 | |
| QA | W | 0.089 | 0.001 ** | 0.816 | 0.008 ** | 0.759 | 0.049 * |
| T | 0.167 | 0.921 | 0.078 | 0.435 | 0.157 | 0.960 | |
| D | 0.000 ** | 0.218 | 0.008 ** | 0.200 | 0.507 | 0.368 | |
| T × D | 0.004 ** | 0.168 | 0.293 | 0.615 | 0.011 * | 0.157 | |
| W × D | 0.000 ** | 0.097 | 0.292 | 0.059 | 0.357 | 0.615 | |
| W × T | 0.858 | 0.849 | 0.122 | 0.479 | 0.383 | 0.297 | |
| W× T × D | 0.210 | 0.005 ** | 0.040 * | 0.362 | 0.358 | 0.061 |
| Forest | Source of Variation | FRB | Root C | Root N | Root P | Root C/N | Root C/P | Root N/P |
|---|---|---|---|---|---|---|---|---|
| CH | W | 0.335 | 0.568 | 0.468 | 0.777 | 0.608 | 0.825 | 0.479 |
| T | 0.000 ** | 0.179 | 0.357 | 0.787 | 0.231 | 0.648 | 0.736 | |
| D | 0.000 ** | 0.608 | 0.000 ** | 0.001 ** | 0.000 ** | 0.004 ** | 0.299 | |
| T × D | 0.840 | 0.752 | 0.863 | 0.552 | 0.995 | 0.570 | 0.442 | |
| W × D | 0.936 | 0.905 | 0.547 | 0.928 | 0.361 | 0.693 | 0.766 | |
| W × T | 0.476 | 0.727 | 0.192 | 0.294 | 0.320 | 0.445 | 0.721 | |
| W ×T × D | 0.231 | 0.355 | 0.099 | 0.229 | 0.604 | 0.706 | 0.908 | |
| QA | W | 0.536 | 0.971 | 0.004 ** | 0.000 ** | 0.009 ** | 0.000 ** | 0.004 ** |
| T | 0.001 ** | 0.418 | 0.748 | 0.985 | 0.687 | 0.640 | 0.828 | |
| D | 0.000 ** | 0.355 | 0.000 ** | 0.000 ** | 0.000 ** | 0.000 ** | 0.975 | |
| T × D | 0.312 | 0.488 | 0.662 | 0.403 | 0.879 | 0.679 | 0.487 | |
| W × D | 0.924 | 0.861 | 0.565 | 0.581 | 0.137 | 0.111 | 0.695 | |
| W × T | 0.560 | 0.592 | 0.770 | 0.465 | 0.741 | 0.276 | 0.316 | |
| W × T × D | 0.560 | 0.822 | 0.954 | 0.352 | 0.873 | 0.372 | 0.283 |
| Forest | Source of Variation | NAR | NNR | NMR |
|---|---|---|---|---|
| CH | W | 0.015 * | 0.604 | 0.030 * |
| T | 0.846 | 0.000 ** | 0.244 | |
| D | 0.000 ** | 0.000 ** | 0.000 ** | |
| T × D | 0.900 | 0.000 ** | 0.216 | |
| W × D | 0.008 ** | 0.736 | 0.009 ** | |
| W × T | 0.783 | 0.731 | 0.875 | |
| W × T × D | 0.227 | 0.912 | 0.232 | |
| QA | W | 0.538 | 0.795 | 0.528 |
| T | 0.860 | 0.203 | 0.723 | |
| D | 0.000 ** | 0.000 ** | 0.000 ** | |
| T × D | 0.225 | 0.151 | 0.607 | |
| W × D | 0.855 | 0.706 | 0.757 | |
| W × T | 0.555 | 0.132 | 0.945 | |
| W × T × D | 0.659 | 0.092 | 0.304 |
| Forest | Index | Depth | ST (℃) | SM (%) | BD (g cm−3) | pH | SOC (g kg−1) | TN (g kg−1) | AN (mg kg−1) | NN (mg kg−1) | TP (g kg−1) | AP (mg kg−1) | C/N | C/P | N/P |
|---|---|---|---|---|---|---|---|---|---|---|---|---|---|---|---|
| CH | C | 0–10 | 25.2 ± 0.1 Aa | 29.2 ± 1.6 A | 1.7 ± 0.1 B | 4.1 ± 0.0 B | 44.6 ± 2.8 A | 2.8 ± 0.2 A | 11.6 ± 1.7 | 1.1 ± 0.5 | 0.4 ± 0.0 A | 1.8 ± 0.1 Aa | 16.1 ± 0.3 | 130.0 ± 8.2 A | 8.1 ± 0.6 A |
| 10–20 | 24.8 ± 0.1 Bb | 25.3 ± 0.9 B | 2.2 ± 0.1 A | 4.2 ± 0.0 A | 23.2 ± 1.9 B | 1.5 ± 0.0 B | 7.2 ± 1.1 | 0.9 ± 0.3 | 0.3 ± 0.0 B | 0.8 ± 0.0 Bb | 15.0 ± 0.5 | 79.1 ± 5.6 B | 5.2 ± 0.3 B | ||
| W | 0–10 | 25.9 ± 0.1 Aa | 29.5 ± 2.1 A | 1.7 ± 0.1 B | 4.1 ± 0.0 B | 46.8 ± 3.0 A | 2.8 ± 0.2 A | 11.0 ± 1.4 | 1.8 ± 0.6 | 0.4 ± 0.0 A | 2.0 ± 0.2 Aa | 16.6 ± 0.5 | 129.9 ± 5.3 A | 7.9 ± 0.3 A | |
| 10–20 | 25.4 ± 0.1 Ba | 26.1 ± 1.1 A | 2.4 ± 0.1 A | 4.2 ± 0.0 A | 25.6 ± 1.3 B | 1.7 ± 0.1 B | 7.0 ± 0.7 | 1.5 ± 0.4 | 0.3 ± 0.0 B | 0.9 ± 0.0 Ba | 15.5 ± 0.6 | 84.7 ± 2.9 B | 5.5 ± 0.2 B | ||
| T | 0–10 | 25.2 ± 0.1 Aa | 29.0 ± 2.2 A | 1.7 ± 0.1 B | 4.1 ± 0.0 B | 46.1 ± 2.3 A | 2.9 ± 0.2 A | 11.5 ± 1.6 | 1.6 ± 0.6 | 0.3 ± 0.0 A | 1.8 ± 0.1 Aa | 16.5 ± 0.7 | 136.4 ± 5.2 A | 8.5 ± 0.5 A | |
| 10–20 | 24.8 ± 0.1 Bb | 25.6 ± 1.3 A | 2.3 ± 0.1 A | 4.2 ± 0.0 A | 24.3 ± 2.3 B | 1.5 ± 0.1 B | 6.6 ± 0.6 | 1.1 ± 0.3 | 0.3 ± 0.0 B | 0.8 ± 0.1 Bab | 16.2 ± 0.8 | 84.9 ± 6.9 B | 5.2 ± 0.4 B | ||
| WT | 0–10 | 25.8 ± 0.1 Aa | 28.8 ± 2.3 A | 1.7 ± 0.1 B | 4.1 ± 0.0 A | 45.9 ± 1.9 A | 2.7 ± 0.1 A | 10.8 ± 1.4 | 1.8 ± 0.4 | 0.4 ± 0.0 A | 1.9 ± 0.1 Aa | 17.0 ± 0.6 | 127.9 ± 5.1 A | 7.6 ± 0.3 A | |
| 10–20 | 25.3 ± 0.1 Bab | 26.3 ± 1.1 A | 2.3 ± 0.1 A | 4.2 ± 0.0 A | 24.3 ± 1.1 B | 1.5 ± 0.1 B | 7.0 ± 0.8 | 1.4 ± 0.3 | 0.3 ± 0.0 B | 0.8 ± 0.0 Bab | 16.1 ± 0.4 | 80.8 ± 3.9 B | 5.0 ± 0.2 B | ||
| QA | C | 0–10 | 19.7 ± 0.4 b | 27.8 ± 0.5 | 1.9 ± 0.1 B | 5.0 ± 0.1 Aa | 37.7 ± 2.0 A | 3.1 ± 0.2 A | 30.3 ± 4.8 Ab | 1.1 ± 0.2 A | 0.5 ± 0.0 A | 3.5 ± 0.4 A | 12.5 ± 0.4 A | 78.8 ± 5.0 A | 6.4 ± 0.4 A |
| 10–20 | 18.8 ± 0.4 b | 27.3 ± 0.5 | 2.1 ± 0.1 A | 5.1 ± 0.0 Aa | 22.8 ± 2.0 B | 1.9 ± 0.1 B | 26.1 ± 1.3 Aa | 1.4 ± 0.4 A | 0.4 ± 0.0 B | 2.1 ± 0.3 B | 11.7 ± 0.3 A | 57.3 ± 3.7 B | 4.9 ± 0.3 B | ||
| W | 0–10 | 21.0 ± 0.4 ab | 29.9 ± 1.4 | 1.9 ± 0.1 B | 4.8 ± 0.0 Ab | 41.2 ± 2.3 A | 3.4 ± 0.2 A | 38.7 ± 3.1 Aa | 0.8 ± 0.2 A | 0.5 ± 0.0 A | 3.2 ± 0.2 A | 12.1 ± 0.3 A | 84.4 ± 4.5 A | 7.0 ± 0.4 A | |
| 10–20 | 20.0 ± 0.4 ab | 29.7 ± 0.9 | 2.1 ± 0.1 A | 4.9 ± 0.1 Ab | 23.7 ± 2.0 B | 2.1 ± 0.1 B | 29.7 ± 2.8 Ba | 0.9 ± 0.3 A | 0.4 ± 0.0 B | 2.5 ± 0.2 B | 11.4 ± 0.3 A | 56.2 ± 2.2 B | 5.0 ± 0.2 B | ||
| T | 0–10 | 19.9 ± 0.4 b | 28.5 ± 1.0 | 1.9 ± 0.1 A | 5.0 ± 0.0 Ba | 37.3 ± 2.7 A | 3.0 ± 0.2 A | 28.6 ± 1.7 Ab | 0.9 ± 0.2 A | 0.5 ± 0.0 A | 3.0 ± 0.2 A | 12.5 ± 0.3 A | 80.6 ± 4.9 A | 6.5 ± 0.4 A | |
| 10–20 | 18.8 ± 0.4 b | 28.8 ± 1.3 | 2.2 ± 0.1 A | 5.2 ± 0.0 Aa | 21.5 ± 1.9 B | 2.0 ± 0.2 B | 24.1 ± 3.4 Aa | 1.1 ± 0.3 A | 0.4 ± 0.0 B | 2.0 ± 0.1 B | 10.8 ± 0.3 B | 54.1 ± 3.3 B | 5.1 ± 0.3 B | ||
| WT | 0–10 | 21.6 ± 0.3 a | 29.2 ± 1.1 | 1.9 ± 0.1 B | 4.9 ± 0.1 Bab | 36.3 ± 2.0 A | 3.0 ± 0.2 A | 33.8 ± 2.6 Aab | 1.7 ± 0.3 A | 0.5 ± 0.0 A | 2.9 ± 0.2 A | 12.4 ± 0.4 A | 78.6 ± 3.8 A | 6.4 ± 0.3 A | |
| 10–20 | 20.7 ± 0.4 a | 26.1 ± 1.5 | 2.4 ± 0.1 A | 5.1 ± 0.1 Aab | 19.9 ± 1.6 B | 1.8 ± 0.1 B | 23.3 ± 2.8 Ba | 0.7 ± 0.1 B | 0.5 ± 0.1 A | 2.7 ± 0.4 A | 11.4 ± 0.4 A | 49.4 ± 4.3 B | 4.3 ± 0.3 B |
Disclaimer/Publisher’s Note: The statements, opinions and data contained in all publications are solely those of the individual author(s) and contributor(s) and not of MDPI and/or the editor(s). MDPI and/or the editor(s) disclaim responsibility for any injury to people or property resulting from any ideas, methods, instructions or products referred to in the content. |
© 2024 by the authors. Licensee MDPI, Basel, Switzerland. This article is an open access article distributed under the terms and conditions of the Creative Commons Attribution (CC BY) license (https://creativecommons.org/licenses/by/4.0/).
Share and Cite
Shu, W.; Wang, H.; Liu, S.; Liu, Y.; Min, H.; Li, Z.; Dell, B.; Chen, L. Differential Responses of Soil Nitrogen Forms to Climate Warming in Castanopsis hystrix and Quercus aliena Forests of China. Forests 2024, 15, 1570. https://doi.org/10.3390/f15091570
Shu W, Wang H, Liu S, Liu Y, Min H, Li Z, Dell B, Chen L. Differential Responses of Soil Nitrogen Forms to Climate Warming in Castanopsis hystrix and Quercus aliena Forests of China. Forests. 2024; 15(9):1570. https://doi.org/10.3390/f15091570
Chicago/Turabian StyleShu, Weiwei, Hui Wang, Shirong Liu, Yanchun Liu, Huilin Min, Zhaoying Li, Bernard Dell, and Lin Chen. 2024. "Differential Responses of Soil Nitrogen Forms to Climate Warming in Castanopsis hystrix and Quercus aliena Forests of China" Forests 15, no. 9: 1570. https://doi.org/10.3390/f15091570
APA StyleShu, W., Wang, H., Liu, S., Liu, Y., Min, H., Li, Z., Dell, B., & Chen, L. (2024). Differential Responses of Soil Nitrogen Forms to Climate Warming in Castanopsis hystrix and Quercus aliena Forests of China. Forests, 15(9), 1570. https://doi.org/10.3390/f15091570

