Relationship between Urban Forest Fragmentation and Urban Shrinkage in China Differentiated by Moisture and Altitude
Abstract
1. Introduction
2. Materials and Methods
2.1. Study Area
2.2. Data Preprocessing
2.3. Methods
2.3.1. Population Change Rate
2.3.2. Direction Quantification of Forest Dynamics
2.3.3. Landscape Pattern Indexes
3. Results
3.1. Annual Forest Dynamics within Geographically Stratified Shrinking Cities
3.2. Directions of Urban Forest Changes in Geographically Stratified Shrinking Cities
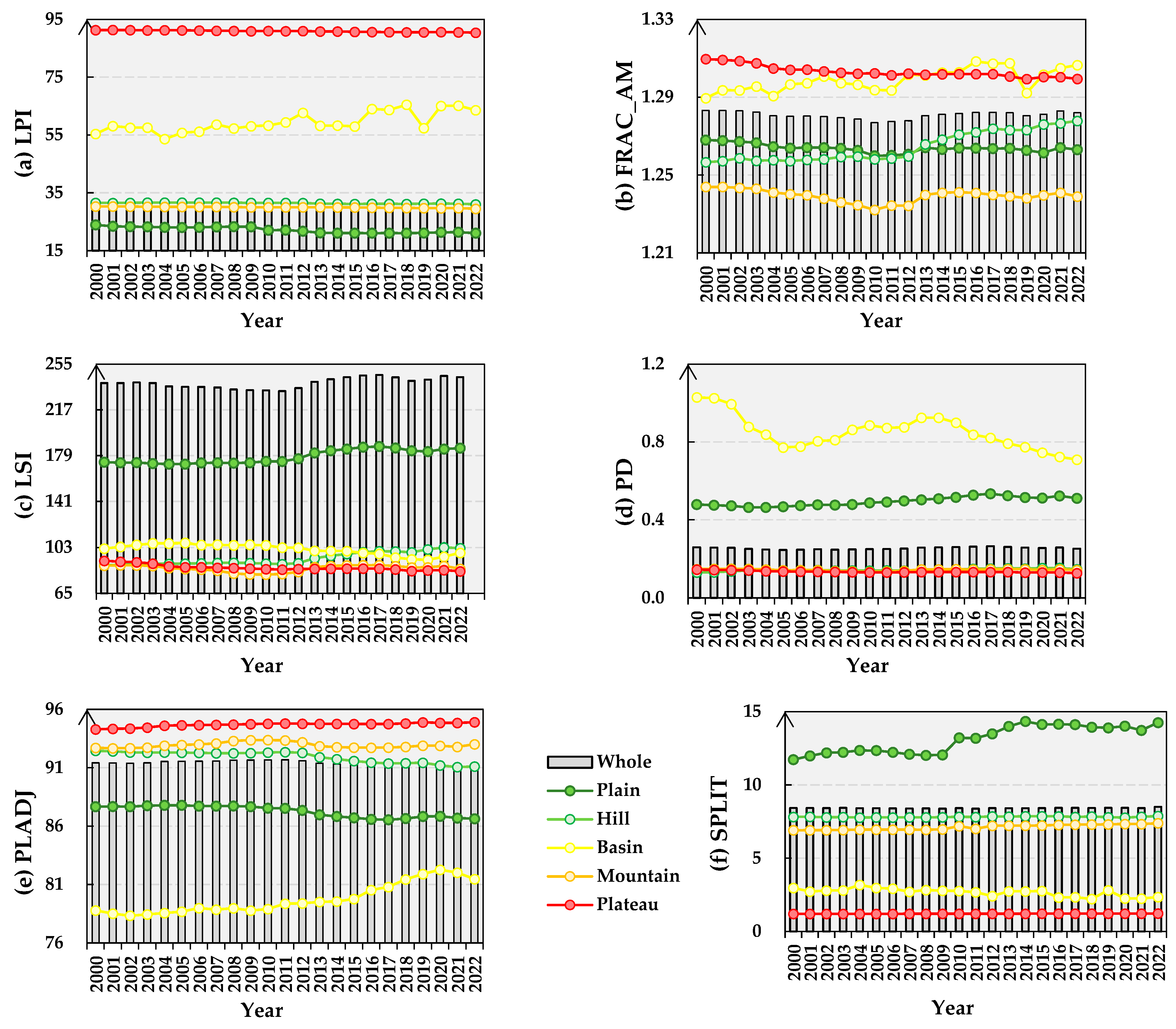
3.3. Landscape Patterns of Urban Forests in Geographically Stratified Shrinking Cities
4. Discussion
4.1. Temporal Dynamics of Urban Forest Patterns in Shrinking Cities
4.2. Geographical Variations in Urban Forest Evolutions under Population Loss
4.3. Uncertainties and Urban Management
5. Conclusions
- Between 2000 and 2022, the forest coverage rate in 195 shrinking cities of China increased from 40.05 to 40.47%, with the area increasing from 251,535.74 to 254,183.36 km2. Decreases appeared most frequently from 2010 to 2015. With the exception of one climatic sub-region in THSH and two topographical sub-regions in plains and hills, other geographical sub-regions of shrinking cities exhibited growing urban forests.
- Urban forests increased with a generally southwestern orientation between 2000 and 2020. Comparatively steady directional dynamics with respect to forest centroid movements and dramatic area changes in STH, THSH, and TH were observed. The urban forest centroids of shrinking cities at lower elevations exhibited more fluctuant changes in terms of direction.
- Urban forests in the shrinking cities of China slightly fragmented over 23 years, whereas a weakened condition was identified via decelerating fragmentation. The urban forests of shrinking cities in the WTHSH and basin regions exhibited the most pattern variations.
Supplementary Materials
Author Contributions
Funding
Data Availability Statement
Acknowledgments
Conflicts of Interest
References
- Ren, Q.; He, C.; Huang, Q.; Shi, P.; Zhang, D.; Güneralp, B. Impacts of urban expansion on natural habitats in global drylands. Nat. Sustain. 2022, 5, 869–878. [Google Scholar] [CrossRef]
- McDonald, R.I.; Aronson, M.F.J.; Beatley, T.; Beller, E.; Bazo, M.; Grossinger, R.; Jessup, K.; Mansur, A.V.; Puppim de Oliveira, J.A.; Panlasigui, S.; et al. Denser and greener cities: Green interventions to achieve both urban density and nature. People Nat. 2023, 5, 84–102. [Google Scholar] [CrossRef]
- Urban, M.C.; Alberti, M.; De Meester, L.; Zhou, Y.; Verrelli, B.C.; Szulkin, M.; Schmidt, C.; Savage, A.M.; Roberts, P.; Rivkin, L.R.; et al. Interactions between climate change and urbanization will shape the future of biodiversity. Nat. Clim. Chang. 2024, 14, 436–447. [Google Scholar] [CrossRef]
- Khan, N.; Jhariya, M.K.; Raj, A. Urban greening toward sustainable development and sustainability. In Biodiversity, Conservation and Sustainability in Asia; Öztürk, M., Khan, S.M., Altay, V., Efe, R., Egamberdieva, D., Khassanov, F.O., Eds.; Springer: Cham, Switzerland, 2022; Volume 3, pp. 345–373. [Google Scholar]
- Zhang, S.; Zhou, Y.; Yu, R.; Xu, X.; Xu, M.; Li, G.; Wang, W.; Yang, Y. China’s biodiversity conservation in the process of implementing the sustainable development goals (SDGs). J. Clean. Prod. 2022, 338, 130595. [Google Scholar] [CrossRef]
- Tate, C.; Wang, R.; Akaraci, S.; Burns, C.; Garcia, L.; Clarke, M.; Hunter, R. The contribution of urban green and blue spaces to the United Nation’s Sustainable Development Goals: An evidence gap map. Cities 2024, 145, 104706. [Google Scholar] [CrossRef]
- Barona, C.O.; Devisscher, T.; Dobbs, C.; Aguilar, L.O.; Baptista, M.D.; Navarro, N.M.; da Silva Filho, D.F.; Escobedo, F.J. Trends in urban forestry research in Latin America & The Caribbean: A systematic literature review and synthesis. Urban For. Urban Green. 2020, 47, 126544. [Google Scholar]
- Wang, C.; Jin, J.; Davies, C.; Chen, W.Y. Urban forests as nature-based solutions: A comprehensive overview of the national forest city action in China. Curr. For. Rep. 2024, 10, 119–132. [Google Scholar] [CrossRef]
- Yang, M.; Zhou, X.; Liu, Z.; Li, P.; Tang, J.; Xie, B.; Peng, C. A review of general methods for quantifying and estimating urban trees and biomass. Forests 2022, 13, 616. [Google Scholar] [CrossRef]
- Ocón, J.P.; Stavros, E.N.; Steinberg, S.J.; Robertson, J.; Gillespie, T.W. Remote sensing approaches to identify trees to species-level in the urban forest: A review. Prog. Phys. Geog. Earth Environ. 2024, 48, 438–453. [Google Scholar] [CrossRef]
- Baines, O.; Wilkes, P.; Disney, M. Quantifying urban forest structure with open-access remote sensing data sets. Urban For. Urban Green. 2020, 50, 126653. [Google Scholar] [CrossRef]
- Shahtahmassebi, A.R.; Li, C.; Fan, Y.; Wu, Y.; Lin, Y.; Gan, M.; Wang, K.; Malik, A.; Blackburn, G.A. Remote sensing of urban green spaces: A review. Urban For. Urban Green. 2021, 57, 126946. [Google Scholar] [CrossRef]
- Kowe, P.; Mutanga, O.; Dube, T. Advancements in the remote sensing of landscape pattern of urban green spaces and vegetation fragmentation. Int. J. Remote Sens. 2021, 42, 3797–3832. [Google Scholar] [CrossRef]
- Yankovich, E.P.; Yankovich, K.S.; Baranovskiy, N.V. Dynamics of forest vegetation in an urban agglomeration based on Landsat remote sensing data for the period 1990–2022: A case study. Remote Sens. 2023, 15, 1935. [Google Scholar] [CrossRef]
- Hu, M.; Li, X.; Xu, Y.; Huang, Z.; Chen, C.; Chen, J.; Du, H. Remote sensing monitoring of the spatiotemporal dynamics of urban forest phenology and its response to climate and urbanization. Urban Clim. 2024, 53, 101810. [Google Scholar] [CrossRef]
- Kowe, P.; Mutanga, O.; Odindi, J.; Dube, T. A quantitative framework for analysing long term spatial clustering and vegetation fragmentation in an urban landscape using multi-temporal landsat data. Int. J. Appl. Earth Obs. Geoinf. 2020, 88, 102057. [Google Scholar] [CrossRef]
- Yang, K.; Sun, W.; Luo, Y.; Zhao, L. Impact of urban expansion on vegetation: The case of China (2000–2018). J. Environ. Manag. 2021, 291, 112598. [Google Scholar] [CrossRef]
- Huang, D.; Cao, S.; Zhao, W.; Zhao, P.; Chen, J.; Yu, M.; Zhu, Z. Urban greening amidst global change: A comparative study of vegetation dynamics in two urban agglomerations in China under climatic and anthropogenic pressures. Ecol. Indic. 2024, 159, 111739. [Google Scholar] [CrossRef]
- Chen, J.; Kinoshita, T.; Li, H.; Luo, S.; Su, D.; Yang, X.; Hu, Y. Toward green equity: An extensive study on urban form and green space equity for shrinking cities. Sustain. Cities Soc. 2023, 90, 104395. [Google Scholar] [CrossRef]
- Rudincová, K.Ž.; Ženka, J.; Bosák, V.; Slach, O.; Istrate, A.; Nováček, A. Perception and preferred reuse of vegetated vacant lots along main streets in a shrinking city. Urban For. Urban Green. 2023, 85, 127956. [Google Scholar] [CrossRef]
- Peng, X.; Zhou, Y.; Fu, X.; Xu, J. Study on the spatial-temporal pattern and evolution of surface urban heat island in 180 shrinking cities in China. Sustain. Cities Soc. 2022, 84, 104018. [Google Scholar] [CrossRef]
- Zhu, R.; Newman, G.; Li, D.; Song, Y.; Zou, L. Associations between vacant urban lands and public health outcomes in growing and shrinking cities. Urban For. Urban Green. 2023, 89, 128127. [Google Scholar] [CrossRef] [PubMed]
- Yao, N.; Li, Y.; Lei, T.; Peng, L. Drought evolution, severity and trends in mainland China over 1961–2013. Sci. Total Environ. 2018, 616–617, 73–89. [Google Scholar] [CrossRef]
- Ding, Y.; Lu, Z.; Wu, L.; Zhou, L.; Ao, T.; Xu, J.; Wei, R. Evaluating the spatiotemporal dynamics of driving factors for multiple drought types in different climate regions of China. J. Hydrol. 2024, 640, 131710. [Google Scholar] [CrossRef]
- Yao, N.; Li, Y.; Li, N.; Yang, D.; Ayantobo, O.O. Bias correction of precipitation data and its effects on aridity and drought assessment in China over 1961–2015. Sci. Total Environ. 2018, 639, 1015–1027. [Google Scholar] [CrossRef]
- GB/T 12343-2008; Compilation Specifications for National Fundamental Scale Maps. Institute of Surveying and Mapping Standardization of National Bureau of Surveying and Mapping: Beijing, China, 2008.
- National Bureau of Statistics. Communiqué of the sixth National Population Census. 2011. Available online: http://www.stats.gov.cn/tjsj/ (accessed on 4 April 2023). (In Chinese)
- National Bureau of Statistics. Communiqué of the seventh National Population Census. 2021. Available online: http://www.stats.gov.cn/tjsj/ (accessed on 4 April 2023). (In Chinese)
- Zhang, X.; Liu, L.; Chen, X.; Gao, Y.; Xie, S.; Mi, J. GLC_FCS30: Global land-cover product with fine classification system at 30 m using time-series Landsat imagery. Earth Syst. Sci. Data 2021, 13, 2753–2776. [Google Scholar] [CrossRef]
- Mallach, A.; Haase, A.; Hattori, K. The shrinking city in comparative perspective: Contrasting dynamics and responses to urban shrinkage. Cities 2017, 69, 102–108. [Google Scholar] [CrossRef]
- Ma, Z.; Zhou, G.; Zhang, J.; Liu, Y.; Zhang, P.; Li, C. Urban shrinkage in the regional multiscale context: Spatial divergence and interaction. Sustain. Cities Soc. 2024, 100, 105020. [Google Scholar] [CrossRef]
- Cengiz, S.; Görmüş, S.; Oğuz, D. Analysis of the urban growth pattern through spatial metrics; Ankara City. Land Use Pol. 2022, 112, 105812. [Google Scholar] [CrossRef]
- Dennis, M.; Huck, J.J.; Holt, C.D.; da Conceição Bispo, P.; McHenry, E.; Speak, A.; James, P. Land-cover gradients determine alternate drivers of mammalian species richness in fragmented landscapes. Landsc. Ecol. 2024, 39, 146. [Google Scholar] [CrossRef]
- Borges, E.R.; Dexter, K.G.; Bueno, M.L.; Pontara, V.; Carvalho, F.A. The evolutionary diversity of urban forests depends on their land-use history. Urban Ecosyst. 2020, 23, 631–643. [Google Scholar] [CrossRef]
- Mitchell, M.G.E.; Devisscher, T. Strong relationships between urbanization, landscape structure, and ecosystem service multifunctionality in urban forest fragments. Landsc. Urban Plan. 2022, 228, 104548. [Google Scholar] [CrossRef]
- Mas, J.F.; Gao, Y.; Pacheco, J.A.N. Sensitivity of landscape pattern metrics to classification approaches. Forest Ecol. Manag. 2010, 259, 1215–1224. [Google Scholar] [CrossRef]
- Karimi, J.D.; Corstanje, R.; Harris, J.A. Understanding the importance of landscape configuration on ecosystem service bundles at a high resolution in urban landscapes in the UK. Landsc. Ecol. 2021, 36, 2007–2024. [Google Scholar] [CrossRef]
- Li, Y.; Ren, C.; Ho, J.Y.; Shi, Y. Landscape metrics in assessing how the configuration of urban green spaces affects their cooling effect: A systematic review of empirical studies. Landsc. Urban Plan. 2023, 239, 104842. [Google Scholar] [CrossRef]
- Cushman, S.A.; McGarigal, K.; Neel, M.C. Parsimony in landscape metrics: Strength, universality, and consistency. Ecol. Indic. 2008, 8, 691–703. [Google Scholar] [CrossRef]
- Hu, C.; Wu, W.; Zhou, X.; Wang, Z. Spatiotemporal changes in landscape patterns in karst mountainous regions based on the optimal landscape scale: A case study of Guiyang City in Guizhou Province, China. Ecol. Indic. 2023, 150, 110211. [Google Scholar] [CrossRef]
- Chen, C.; Park, T.; Wang, X.; Piao, S.; Xu, B.; Chaturvedi, R.K.; Fuchs, R.; Brovkin, V.; Ciais, P.; Fensholt, R.; et al. China and India lead in greening of the world through land-use management. Nat. Sustain. 2019, 2, 122–129. [Google Scholar] [CrossRef]
- Zhang, J.; Fu, B.; Stafford-Smith, M.; Wang, S.; Zhao, W. Improve forest restoration initiatives to meet Sustainable Development Goal 15. Nat. Ecol. Evol. 2021, 5, 10–13. [Google Scholar] [CrossRef]
- Ji, Y.; Jin, J.; Zhu, Q.; Zhou, S.; Wang, Y.; Wang, P.; Xiao, Y.; Guo, F.; Lin, X.; Xu, J. Unbalanced forest displacement across the coastal urban groups of eastern China in recent decades. Sci. Total Environ. 2020, 705, 135900. [Google Scholar] [CrossRef]
- Zhu, Z.; Zhu, X. Study on spatiotemporal characteristic and mechanism of forest loss in urban agglomeration in the middle reaches of the Yangtze River. Forests 2021, 12, 1242. [Google Scholar] [CrossRef]
- Shen, G. Three decades of urban forestry in China. Urban For. Urban Green. 2023, 82, 127877. [Google Scholar] [CrossRef]
- Ren, Y.; Deng, L.; Zuo, S.; Luo, Y.; Shao, G.; Wei, X.; Hua, L.; Yang, Y. Geographical modeling of spatial interaction between human activity and forest connectivity in an urban landscape of southeast China. Landsc. Ecol. 2014, 29, 1741–1758. [Google Scholar] [CrossRef]
- Duan, Q.; Tan, M. Using a geographical detector to identify the key factors that influence urban forest spatial differences within China. Urban For. Urban Green. 2020, 49, 126623. [Google Scholar] [CrossRef]
- Cheshmehzangi, A.; Tang, T. Beijing-Tianjin-Hebei city cluster: From a political center to a major industrial and innovation chain. In China’s City Cluster Development in the Race to Carbon Neutrality; Springer: Singapore, 2022; pp. 35–46. [Google Scholar]
- Chen, C.; Deng, W.; Ignatieva, M.; Bi, L.; Du, A.; Yang, L. Synergy of urban green space planning and ecosystem services provision: A longitudinal exploration of China’s development. Urban For. Urban Green. 2023, 86, 127997. [Google Scholar] [CrossRef]
- Nickel, B.A.; Suraci, J.P.; Allen, M.L.; Wilmers, C.C. Human presence and human footprint have non-equivalent effects on wildlife spatiotemporal habitat use. Biol. Conserv. 2020, 241, 108383. [Google Scholar] [CrossRef]
- Wei, Y.; Lu, H.; Wang, J.; Wang, X.; Sun, J. Dual influence of climate change and anthropogenic activities on the spatiotemporal vegetation dynamics over the Qinghai-Tibetan Plateau from 1981 to 2015. Earth’s Future 2022, 10, e2021EF002566. [Google Scholar]
- Chen, W.Y.; Li, X. Urban forests’ recreation and habitat potentials in China: A nationwide synthesis. Urban For. Urban Green. 2021, 66, 127376. [Google Scholar] [CrossRef]
- Chen, W.Y.; Wang, C.; Su, Y. Urban forest planning and policy in China. In Green Infrastructure in Chinese Cities; Springer: Berlin/Heidelberg, Germany, 2022; pp. 55–68. [Google Scholar]
- Tian, S.; Wu, W.; Shen, Z.; Wang, J.; Liu, X.; Li, L.; Li, X.; Liu, X.; Chen, H. A cross-scale study on the relationship between urban expansion and ecosystem services in China. J. Environ. Manag. 2022, 391, 115774. [Google Scholar] [CrossRef]
- Wang, G.; Yue, D.; Yu, Q.; Yang, D.; Xu, C.; Wang, F. Study on Forest and Grassland Ecological Space Structure in Eyu Mining Area and Potential Alternatives for Enhancing Carbon Sequestration. Forests 2023, 14, 1587. [Google Scholar] [CrossRef]









| Products | Row | Column | Year | Usage |
|---|---|---|---|---|
| GLC_FCS30D | N20 | E105/110 | Every year between 2000 and 2022 | Urban forest mapping |
| N25 | E95/100/105/110/115/120/125 | |||
| N30 | E80/85/90/95/100/105/110/115/120/125 | |||
| N35 | E75/80/85/90/95/100/105/110/115/120/125 | |||
| N40 | E70/75/80/85/90/95/100/105/110/115/120/125 | |||
| N45 | E70/75/80/85/90/95/100/105/110/115/120/125/130/135 | |||
| N50 | E80/85/90/95/100/110/115/120/125/130/135/140 | |||
| N55 | E85/115/120/125/130/135 | |||
| ASTER GDEMV3 | N21 | E111 | 2019 | Topographical stratification |
| N22 | E100/101/111/112 | |||
| N23 | E99/100/108/109 | |||
| N24 | E99/100/112/113/114/117 | |||
| N25 | E105/106/107/112/113/114/117 | |||
| N26 | E103/105/106/107/112/113/117/118/119 | |||
| N27 | E103/104/105/107/111/112/113/117/118 | |||
| N28 | E105/106/109/112/113/114/119/120/121 | |||
| N29 | E108/109/112/115/117/119/120/121 | |||
| N30 | E103/104/105/106/108/109/111/112/113/114/115/118/119 | |||
| N31 | E103/104/105/106/107/108/111/112/113/114/115/118/119/120 | |||
| N32 | E104/105/106/107/108/110/111/112/113/114/117/118/119/120 | |||
| N33 | E109/110/114/115/116/117/118/119/120 | |||
| N34 | E108/109/110/111/112/114/115/117/118 | |||
| N35 | E104/105/106/107/113/114/116 | |||
| N36 | E104/105/106/111/112/113/114/116/118/119/120/121 | |||
| N37 | E93/94/95/96/102/103/105/106/110/111/115/116/119/120/121 | |||
| N38 | E93/94/95/100/102/103/105/106/115/120 | |||
| N39 | E96/97/98/100 | |||
| N40 | E96/97/98/107/112/113/118/119/121/123/124/125/126 | |||
| N41 | E107/E113/118/119/120/121/122/123/124/125/126/127/128 | |||
| N42 | E87/120/121/122/123/124/125/126/127/128/129 | |||
| N43 | E86/87/88/125/126/127/129 | |||
| N44 | E80/81/82/87/88/125/126/127/128/129/130/131 | |||
| N45 | E81/82/87/88/121/122/123/126/127/128/129/130/131/132/133 | |||
| N46 | E121/127/128/129/132/133 | |||
| N47 | E120/121/122/123/124/126/127/128/129/130 | |||
| N48 | E120/121/122/123/124/125/126/127/128/129/130 | |||
| N49 | E119/120/121/122/129 | |||
| N50 | E119/120/121/122 | |||
| N51 | E119/120/121 | |||
| N52 | E120/121 |
| Type | Indexes | Formula | Description |
|---|---|---|---|
| Area and edge | Largest Patch Index (LPI) | ; aij is the area of patch ij; n is the total patch number of class i; A is the total landscape area. | The greater LPI indicates that the dominance is more highlighted. |
| Shape | Area-Weighted Fractal Dimension Index (FRAC_AM) | ; pij is the perimeter of patch ij; the others present the same as the above; FRAC_AM is the area-weighted mean of FRAC. | It describes the shape complexity. |
| Aggregation | Landscape Shape Index (LSI) | ; E* is the total length of the edge in the landscape; the others present the same as the above. | It evaluates the overall geometric fragmentation. |
| Patch Density (PD) | ; N is the total patch number in the landscape; the others present the same as the above. | It describes the landscape fragmentation. | |
| Percentage of Like Adjacencies (PLADJs) | ; gii is the number of like adjacencies (joins) between pixels of class i based on the double-count method; gik is the number of adjacencies (joins) between pixels of classes i and k based on the double-count method. | The greater PLADJ represents more aggregation. | |
| Splitting Index (SPLIT) | ; parameters present the same as the above. | It describes the landscape fragmentation. |
| Year | Forest Area (km2) | Change Type | Absolute Change Rate (km2/Year) | ||||
|---|---|---|---|---|---|---|---|
| Annual | Every Five Years | Total | Annual | Every Five Years | Total | ||
| 2000 | 251,535.74 | / | + | + | / | 311.94 | 120.35 |
| 2001 | 251,282.61 | − | 253.13 | ||||
| 2002 | 251,229.41 | + | 53.20 | ||||
| 2003 | 251,907.02 | + | 677.60 | ||||
| 2004 | 252,753.18 | + | 846.16 | ||||
| 2005 | 253,095.46 | + | 342.28 | ||||
| + | 60.44 | ||||||
| 2006 | 253,072.93 | − | 22.53 | ||||
| 2007 | 253,210.24 | + | 137.31 | ||||
| 2008 | 253,620.08 | + | 409.84 | ||||
| 2009 | 253,520.44 | − | 99.64 | ||||
| 2010 | 253,397.67 | − | 122.77 | ||||
| − | 250.87 | ||||||
| 2011 | 253,568.31 | + | 170.64 | ||||
| 2012 | 253,338.51 | − | 229.80 | ||||
| 2013 | 252,286.27 | − | 1052.24 | ||||
| 2014 | 252,028.70 | − | 257.57 | ||||
| 2015 | 252,143.31 | + | 114.61 | ||||
| + | 225.40 | ||||||
| 2016 | 252,388.93 | + | 245.63 | ||||
| 2017 | 252,659.38 | + | 270.45 | ||||
| 2018 | 252,925.45 | + | 266.07 | ||||
| 2019 | 253,580.98 | + | 655.53 | ||||
| 2020 | 253,270.31 | − | 310.66 | ||||
| + | 456.52 | ||||||
| 2021 | 253,615.01 | + | 344.70 | ||||
| 2022 | 254,183.36 | + | 568.35 | ||||
Disclaimer/Publisher’s Note: The statements, opinions and data contained in all publications are solely those of the individual author(s) and contributor(s) and not of MDPI and/or the editor(s). MDPI and/or the editor(s) disclaim responsibility for any injury to people or property resulting from any ideas, methods, instructions or products referred to in the content. |
© 2024 by the authors. Licensee MDPI, Basel, Switzerland. This article is an open access article distributed under the terms and conditions of the Creative Commons Attribution (CC BY) license (https://creativecommons.org/licenses/by/4.0/).
Share and Cite
Zhou, J.; Man, W.; Liu, M.; Chen, L. Relationship between Urban Forest Fragmentation and Urban Shrinkage in China Differentiated by Moisture and Altitude. Forests 2024, 15, 1522. https://doi.org/10.3390/f15091522
Zhou J, Man W, Liu M, Chen L. Relationship between Urban Forest Fragmentation and Urban Shrinkage in China Differentiated by Moisture and Altitude. Forests. 2024; 15(9):1522. https://doi.org/10.3390/f15091522
Chicago/Turabian StyleZhou, Jingchuan, Weidong Man, Mingyue Liu, and Lin Chen. 2024. "Relationship between Urban Forest Fragmentation and Urban Shrinkage in China Differentiated by Moisture and Altitude" Forests 15, no. 9: 1522. https://doi.org/10.3390/f15091522
APA StyleZhou, J., Man, W., Liu, M., & Chen, L. (2024). Relationship between Urban Forest Fragmentation and Urban Shrinkage in China Differentiated by Moisture and Altitude. Forests, 15(9), 1522. https://doi.org/10.3390/f15091522

