A Down-Scaling Inversion Strategy for Retrieving Canopy Water Content from Satellite Hyperspectral Imagery
Abstract
1. Introduction
- (1)
- Vegetation Indices Approach: Combining reflectances from visible and near-infrared (NIR) or shortwave infrared (SWIR) bands to create indices, such as the Normalized Difference Vegetation Index (NDVI) [7,9]. However, the NDVI primarily reflects chlorophyll content and tends to saturate at high vegetation coverage, limiting its suitability for water content estimation [10,11]. Other indices orientated for monitoring water content have been developed, such as the Normalized Difference Water Index (NDWI), Shortwave Angle Normalized Index (SANI), and Shortwave Angle Slope Index (SASI) [6,8,10,12,13,14].
- (2)
- Radiative Transfer Models: These models simulate radiative transfer processes within the canopy to allow the analysis of mixed signals from vegetation and its background, and from the separated vegetation signal, leaf biochemical parameters can be retrieved [15]. Accurate remote sensing inversion of the CWC needs to separate the impacts of the canopy structure and soil background. Gao and Goetz [16,17] employed a spectral matching technique based on the Beer–Lambert law and the nonlinear least squares method to derive the CWC and other parameters by simulating canopy reflectance through iterative optimization. Similarly, Zarco-Tejada et al. [18] integrated the PROSPECT leaf model with the SAILH canopy radiation transmission model, optimizing calculations iteratively to constrain the effects of the canopy structure and soil background on CWC inversion. The PROSPECT model is a widely used approach to modeling the optical properties of leaves across the visible to NIR spectral regions based on their biophysical and biochemical characteristics. The SAILH (Scattering by Arbitrarily Inclined Leaves with Hotspot effect) model is an advanced radiative transfer model used to simulate the bidirectional reflectance of vegetative canopies. Its integration with the leaf optical properties model PROSPECT makes it an essential component in remote sensing for the accurate retrieval and interpretation of vegetation characteristics. These approaches have been successfully implemented for water content estimation in remote sensing imagery, demonstrating their applicability and effectiveness (e.g., [18,19]).
- (3)
- Signal Analysis Techniques: Utilizing signal analysis, such as wavelet decomposition, to extract information pertinent to water content from hyperspectral data [5,20]. This method requires high spectral resolution data and a solid understanding of the underlying principles for effective application.
2. Materials and Methods
2.1. Study Area and Sampling
2.2. Ground Synchronous Observation Parameters
2.2.1. Leaf Optical Properties, Biophysical and Biochemical Parameters
2.2.2. Canopy Structural Parameters and Soil Background Reflectance
2.3. Hyper-Spectral Remote Sensing Imagery
2.4. Methodology
2.4.1. Coupled Down-Scaling Inversion Strategy
2.4.2. Four-Scale Geometric Optical (GO) Model
2.4.3. Modified Spectral Down-Scaling Model
2.4.4. PT and PG Prediction Model
2.4.5. Leaf-Level Water Content Prediction Model
3. Results
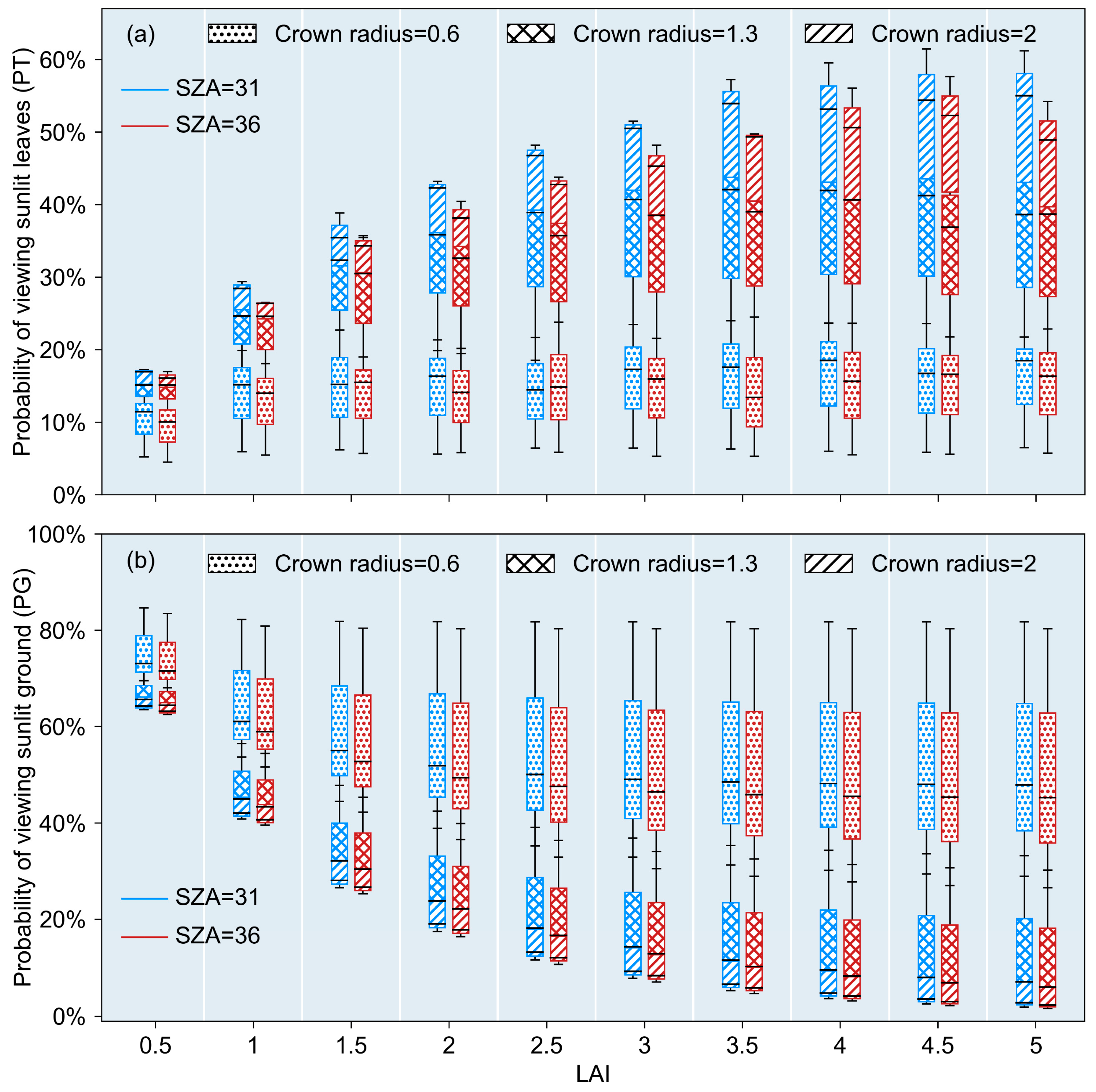
3.1. Influence of Viewing Geometry and Canopy Structural Parameters
3.2. PT and PG Estimation and Lookup Tables (LUTs) of M
3.3. Leaf Reflectance Retrieval
3.4. Leaf Water Content Retrieval
3.5. Canopy Water Content Retrieval and Mapping
4. Discussion
4.1. Comparison of Two Inversion Strategies
4.2. Effect of Canopy Structure and Background
4.3. Advantages and Disadvantages of Proposed Models
5. Conclusions
Author Contributions
Funding
Data Availability Statement
Acknowledgments
Conflicts of Interest
Appendix A


| Excluded Bands | Wavelength (nm) | Exclusion Criteria | Included Bands | Wavelength (nm) |
|---|---|---|---|---|
| VNIR 1–7 | 355–416 | Uncalibrated | VNIR 8–57 | 426–926 |
| VNIR 58–70 | 936–1058 | Uncalibrated | SWIR 79–120 | 933–1346 |
| SWIR 71–76 | 852–902 | Uncalibrated | SWIR 128–165 | 1427–1810 |
| SWIR 77–78 | 912–923 | Overlap and high noise | SWIR 180–223 | 1942–2385 |
| SWIR 121–127 | 1356–1417 | Water vapor interference | ||
| SWIR 166–179 | 1820–1931 | Water vapor interference | ||
| SWIR 224 | 2395 | Water vapor interference | ||
| SWIR 225–242 | 2405–2577 | Uncalibrated | ||
| Total: 68 | Total: 174 |
| Model | Input Parameter | Unit | Values |
|---|---|---|---|
| PROSPECT | EWT | cm or g/cm2 | 0.005–0.055 (step = 0.01) |
| Cab | μg/cm2 | 5–95 (step = 30) | |
| Cm | g/cm2 | 0.002–0.038 (step = 0.012) | |
| N | 1–3.5 (step = 0.5) | ||
| 4-Scale GO model | Tree shape | Sphere/Ellipsoid | |
| Stick height | m | 4–18 (step = 7) | |
| Crown height | m | 1.4–7 (step = 2.8) | |
| Radius of crown | m | 0.6–2 (step = 0.7) | |
| Clumping index | 0.9 | ||
| Needle-to-shoot area ratio | 1 | ||
| Soil background | Normal, wet, dry | ||
| Pixel area | m2 | 30 × 30 | |
| Number of trees per ha | 1000–6000 (step = 2500) | ||
| Leaf area index | 0.4–7.3 (step = 0.15) | ||
| Solar zenith angle | degree | 31–36 (step = 0.2) |
| NO. | nRMSE (%) | NO. | nRMSE (%) | ||
|---|---|---|---|---|---|
| 1 | 0.947 | 11.124 | 20 | 0.973 | 5.961 |
| 2 | 0.986 | 3.686 | 21 | 0.949 | 6.535 |
| 3 | 0.979 | 4.203 | 22 | 0.981 | 4.280 |
| 4 | 0.976 | 4.522 | 23 | 0.976 | 4.731 |
| 5 | 0.974 | 5.209 | 24 | 0.984 | 4.917 |
| 6 | 0.978 | 4.654 | 25 | 0.982 | 4.294 |
| 7 | 0.983 | 4.228 | 26 | 0.985 | 3.903 |
| 8 | 0.974 | 4.863 | 27 | 0.982 | 4.407 |
| 9 | 0.985 | 3.858 | 28 | 0.975 | 5.109 |
| 10 | 0.951 | 7.225 | 29 | 0.948 | 13.292 |
| 11 | 0.983 | 4.044 | 30 | 0.955 | 6.651 |
| 12 | 0.973 | 6.280 | 31 | 0.972 | 4.794 |
| 14 | 0.987 | 3.406 | 32 | 0.984 | 4.069 |
| 16 | 0.955 | 6.311 | 33 | 0.974 | 5.423 |
| 17 | 0.989 | 3.268 | 34 | 0.975 | 4.848 |
| 18 | 0.969 | 5.785 | 35 | 0.975 | 4.860 |
| 19 | 0.970 | 5.024 |
| Wavelength (nm) | LAI = 0.8 | |||
|---|---|---|---|---|
| PT = 23.78% | PG = 48.56% | PT = 24.82% | PG = 50.50% | |
| 468 | 1.0282 | 1.0166 | ||
| 478 | 1.0304 | 1.0194 | ||
| 488 | 1.0332 | 1.0212 | ||
| 498 | 1.0369 | 1.0243 | ||
| 508 | 1.0434 | 1.0286 | ||
| 1003 | 1.5996 | 1.3636 | ||
| 1013 | 1.6176 | 1.3679 | ||
| 1023 | 1.6238 | 1.3751 | ||
| 1033 | 1.6260 | 1.3833 | ||
| 1044 | 1.6373 | 1.3871 | ||
| 1588 | 1.5338 | 1.4436 | ||
| 1599 | 1.5436 | 1.4530 | ||
| Wavelength (nm) | LAI = 5 | |||
| PT = 16.82% | PG = 36.33% | PT = 44.79% | PG = 1.71% | |
| 468 | 1.0185 | 1.0034 | ||
| 478 | 1.0197 | 1.0036 | ||
| 488 | 1.0214 | 1.0038 | ||
| 498 | 1.0237 | 1.0042 | ||
| 508 | 1.0282 | 1.0052 | ||
| 1003 | 1.9835 | 1.2837 | ||
| 1013 | 2.0104 | 1.2923 | ||
| 1023 | 2.0271 | 1.2979 | ||
| 1033 | 2.0468 | 1.3089 | ||
| 1044 | 2.0729 | 1.3198 | ||
| 1588 | 1.7686 | 1.0881 | ||
| 1599 | 1.7948 | 1.0921 | ||
| NO. | nRMSE (%) | NO. | nRMSE (%) | ||
|---|---|---|---|---|---|
| 1 | 0.029 | 45.377 | 20 | 0.959 | 8.917 |
| 2 | 0.959 | 7.444 | 21 | 0.388 | 32.424 |
| 3 | 0.947 | 8.065 | 22 | 0.939 | 9.944 |
| 4 | 0.961 | 7.874 | 23 | 0.957 | 8.855 |
| 5 | 0.941 | 11.867 | 24 | 0.979 | 6.987 |
| 6 | 0.952 | 8.335 | 25 | 0.961 | 7.636 |
| 7 | 0.973 | 6.394 | 26 | 0.967 | 7.209 |
| 8 | 0.922 | 10.611 | 27 | 0.958 | 7.888 |
| 9 | 0.950 | 8.739 | 28 | 0.948 | 9.005 |
| 10 | 0.851 | 14.192 | 29 | 0.921 | 17.345 |
| 11 | 0.935 | 9.790 | 30 | 0.122 | 44.586 |
| 12 | 0.963 | 8.716 | 31 | 0.675 | 24.454 |
| 14 | 0.974 | 6.394 | 32 | 0.979 | 5.388 |
| 16 | 0.808 | 17.736 | 33 | 0.807 | 17.178 |
| 17 | 0.963 | 8.036 | 34 | 0.930 | 9.868 |
| 18 | 0.952 | 8.673 | 35 | 0.918 | 11.156 |
| 19 | 0.848 | 15.213 |
References
- Bueso, D.; Piles, M.; Ciais, P.; Wigneron, J.P.; Moreno-Martinez, A.; Camps-Valls, G. Soil and vegetation water content identify the main terrestrial ecosystem changes. Natl. Sci. Rev. 2023, 10, nwad026. [Google Scholar] [CrossRef] [PubMed]
- Konings, A.G.; Saatchi, S.S.; Frankenberg, C.; Keller, M.; Leshyk, V.; Anderegg, W.R.L.; Humphrey, V.; Matheny, A.M.; Trugman, A.; Sack, L.; et al. Detecting forest response to droughts with global observations of vegetation water content. Glob. Chang. Biol. 2021, 27, 6005–6024. [Google Scholar] [CrossRef] [PubMed]
- Bernardino, P.N.; Oliveira, R.S.; Van Meerbeek, K.; Hirota, M.; Furtado, M.N.; Sanches, I.A.; Somers, B. Estimating vegetation water content from Sentinel-1 C-band SAR data over savanna and grassland ecosystems. Environ. Res. Lett. 2024, 19, 034019. [Google Scholar] [CrossRef]
- Ullah, S.; Skidmore, A.K.; Groen, T.A.; Schlerf, M. Evaluation of three proposed indices for the retrieval of leaf water content from the mid-wave infrared (2–6 μm) spectra. Agric. For. Meteorol. 2013, 171–172, 65–71. [Google Scholar] [CrossRef]
- Ullah, S.; Skidmore, A.K.; Naeem, M.; Schlerf, M. An accurate retrieval of leaf water content from mid to thermal infrared spectra using continuous wavelet analysis. Sci. Total Environ. 2012, 437, 145–152. [Google Scholar] [CrossRef]
- Zhang, F.; Zhou, G. Estimation of vegetation water content using hyperspectral vegetation indices: A comparison of crop water indicators in response to water stress treatments for summer maize. BMC Ecol. 2019, 19, 18. [Google Scholar] [CrossRef]
- Gao, Y.; Walker, J.P.; Allahmoradi, M.; Monerris, A.; Ryu, D.; Jackson, T.J. Optical sensing of vegetation water content: A synthesis study. IEEE J. Sel. Top. Appl. Earth Obs. Remote Sens. 2015, 8, 1456–1464. [Google Scholar] [CrossRef]
- Zhang, C.; Pattey, E.; Liu, J.; Cai, H.; Shang, J.; Dong, T. Retrieving leaf and canopy water content of winter wheat using vegetation water indices. IEEE J. Sel. Top. Appl. Earth Obs. Remote Sens. 2018, 11, 112–126. [Google Scholar] [CrossRef]
- Rouse, J.W., Jr.; Haas, R.; Schell, J.; Deering, D. Monitoring vegetation systems in the Great Plains with ERTS. NASA Spec. Publ. 1974, 351, 309–317. [Google Scholar]
- Gao, B.-C. NDWI—A normalized difference water index for remote sensing of vegetation liquid water from space. Remote Sens. Environ. 1996, 58, 257–266. [Google Scholar] [CrossRef]
- Jackson, T.J.; Chen, D.; Cosh, M.; Li, F.; Anderson, M.; Walthall, C.; Doriaswamy, P.; Hunt, E.R. Vegetation water content mapping using Landsat data derived normalized difference water index for corn and soybeans. Remote Sens. Environ. 2004, 92, 475–482. [Google Scholar] [CrossRef]
- Chai, L.; Jiang, H.; Crow, W.T.; Liu, S.; Zhao, S.; Liu, J.; Yang, S. Estimating corn canopy water content from normalized difference water index (NDWI): An optimized NDWI-based scheme and its feasibility for retrieving corn VWC. IEEE Trans. Geosci. Remote Sens. 2021, 59, 8168–8181. [Google Scholar] [CrossRef]
- Khanna, S.; Palacios-Orueta, A.; Whiting, M.L.; Ustin, S.L.; Riaño, D.; Litago, J. Development of angle indexes for soil moisture estimation, dry matter detection and land-cover discrimination. Remote Sens. Environ. 2007, 109, 154–165. [Google Scholar] [CrossRef]
- Ullah, S.; Skidmore, A.K.; Ramoelo, A.; Groen, T.A.; Naeem, M.; Ali, A. Retrieval of leaf water content spanning the visible to thermal infrared spectra. ISPRS J. Photogramm. Remote Sens. 2014, 93, 56–64. [Google Scholar] [CrossRef]
- Hardisky, M.; Klemas, V.; Smart, M. The influence of soil salinity, growth form, and leaf moisture on the spectral radiance of Spartina alterniflora Canopies. Photogramm. Eng. Remote Sens. 1983, 49, 77–83. [Google Scholar]
- Gao, B.-C.; Goetz, A.F. Retrieval of equivalent water thickness and information related to biochemical components of vegetation canopies from AVIRIS data. Remote Sens. Environ. 1995, 52, 155–162. [Google Scholar] [CrossRef]
- Gao, B.C.; Goetz, A.F. Column atmospheric water vapor and vegetation liquid water retrievals from airborne imaging spectrometer data. J. Geophys. Res. Atmos. 1990, 95, 3549–3564. [Google Scholar] [CrossRef]
- Zarco-Tejada, P.J.; Rueda, C.A.; Ustin, S.L. Water content estimation in vegetation with MODIS reflectance data and model inversion methods. Remote Sens. Environ. 2003, 85, 109–124. [Google Scholar] [CrossRef]
- Riaño, D.; Vaughan, P.; Chuvieco, E.; Zarco-Tejada, P.J.; Ustin, S.L. Estimation of fuel moisture content by inversion of radiative transfer models to simulate equivalent water thickness and dry matter content: Analysis at leaf and canopy level. IEEE Trans. Geosci. Remote Sens. 2005, 43, 819–826. [Google Scholar] [CrossRef]
- Cheng, T.; Riaño, D.; Ustin, S.L. Detecting diurnal and seasonal variation in canopy water content of nut tree orchards from airborne imaging spectroscopy data using continuous wavelet analysis. Remote Sens. Environ. 2014, 143, 39–53. [Google Scholar] [CrossRef]
- Casas, A.; Riaño, D.; Ustin, S.; Dennison, P.; Salas, J. Estimation of water-related biochemical and biophysical vegetation properties using multitemporal airborne hyperspectral data and its comparison to MODIS spectral response. Remote Sens. Environ. 2014, 148, 28–41. [Google Scholar] [CrossRef]
- Wang, L.; Qu, J.J. NMDI: A normalized multi-band drought index for monitoring soil and vegetation moisture with satellite remote sensing. Geophys. Res. Lett. 2007, 34, L20405. [Google Scholar] [CrossRef]
- Yilmaz, M.T.; Hunt, E.R.; Jackson, T.J. Remote sensing of vegetation water content from equivalent water thickness using satellite imagery. Remote Sens. Environ. 2008, 112, 2514–2522. [Google Scholar] [CrossRef]
- Zhang, Y.; Chen, J.M.; Miller, J.R.; Noland, T.L. Leaf chlorophyll content retrieval from airborne hyperspectral remote sensing imagery. Remote Sens. Environ. 2008, 112, 3234–3247. [Google Scholar] [CrossRef]
- Fang, M.; Ju, W.; Chen, J.M.; Fan, W.; He, W.; Qiu, F.; Hu, X.; Li, J. A Normalized Spectral Angle Index for Estimating the Probability of Viewing Sunlit Leaves From Satellite Data. IEEE Trans. Geosci. Remote Sens. 2023, 61, 4401519. [Google Scholar] [CrossRef]
- Wu, C.; Han, X.; Niu, Z.; Dong, J. An evaluation of EO-1 hyperspectral Hyperion data for chlorophyll content and leaf area index estimation. Int. J. Remote Sens. 2010, 31, 1079–1086. [Google Scholar] [CrossRef]
- Sun, Z.; Bu, Z.; Lu, S.; Omasa, K. A general algorithm of leaf chlorophyll content estimation for a wide range of plant species. IEEE Trans. Geosci. Remote Sens. 2022, 60, 4406814. [Google Scholar] [CrossRef]
- Pisek, J.; Ryu, Y.; Sprintsin, M.; He, L.; Oliphant, A.J.; Korhonen, L.; Kuusk, J.; Kuusk, A.; Bergstrom, R.; Verrelst, J.; et al. Retrieving vegetation clumping index from Multi-angle Imaging SpectroRadiometer (MISR) data at 275m resolution. Remote Sens. Environ. 2013, 138, 126–133. [Google Scholar] [CrossRef]
- Chen, J.M.; Leblanc, S.G. A four-scale bidirectional reflectance model based on canopy architecture. IEEE Trans. Geosci. Remote Sens. 1997, 35, 1316–1337. [Google Scholar] [CrossRef]
- Fan, W.; Li, J.; Liu, Q. GOST2: The Improvement of the Canopy Reflectance Model GOST in Separating the Sunlit and Shaded Leaves. IEEE J. Sel. Top. Appl. Earth Obs. Remote Sens. 2015, 8, 1423–1431. [Google Scholar] [CrossRef]
- Widlowski, J.L.; Pinty, B.; Gobron, N.; Verstraete, M.M.; Diner, D.J.; Davis, A.B. Canopy Structure Parameters Derived from Multi-Angular Remote Sensing Data for Terrestrial Carbon Studies. Clim. Chang. 2004, 67, 403–415. [Google Scholar] [CrossRef]
- Fang, M.; Ju, W.; Zhan, W.; Cheng, T.; Qiu, F.; Wang, J. A new spectral similarity water index for the estimation of leaf water content from hyperspectral data of leaves. Remote Sens. Environ. 2017, 196, 13–27. [Google Scholar] [CrossRef]
- Fang, H.; Wei, S.; Jiang, C.; Scipal, K. Theoretical uncertainty analysis of global MODIS, CYCLOPES, and GLOBCARBON LAI products using a triple collocation method. Remote Sens. Environ. 2012, 124, 610–621. [Google Scholar] [CrossRef]
- Fang, H.; Baret, F.; Plummer, S.; Schaepman-Strub, G. An overview of global leaf area index (LAI): Methods, products, validation, and applications. Rev. Geophys. 2019, 57, 739–799. [Google Scholar] [CrossRef]
- Xu, B.; Li, J.; Park, T.; Liu, Q.; Zeng, Y.; Yin, G.; Zhao, J.; Fan, W.; Yang, L.; Knyazikhin, Y.; et al. An integrated method for validating long-term leaf area index products using global networks of site-based measurements. Remote Sens. Environ. 2018, 209, 134–151. [Google Scholar] [CrossRef]
- Baret, F.; Hagolle, O.; Geiger, B.; Bicheron, P.; Miras, B.; Huc, M.; Berthelot, B.; Niño, F.; Weiss, M.; Samain, O. LAI, fAPAR and fCover CYCLOPES global products derived from VEGETATION: Part 1: Principles of the algorithm. Remote Sens. Environ. 2007, 110, 275–286. [Google Scholar] [CrossRef]
- Pisek, J.; Rautiainen, M.; Heiskanen, J.; Mõttus, M. Retrieval of seasonal dynamics of forest understory reflectance in a Northern European boreal forest from MODIS BRDF data. Remote Sens. Environ. 2012, 117, 464–468. [Google Scholar] [CrossRef]
- Canisius, F.; Chen, J.M. Retrieving forest background reflectance in a boreal region from Multi-angle Imaging SpectroRadiometer (MISR) data. Remote Sens. Environ. 2007, 107, 312–321. [Google Scholar] [CrossRef]








| Index | EWT (cm) | nRMSE (%) | |
|---|---|---|---|
| MSI | 0.0645 − 0.0674 × MSI | 0.32 ** | 20.02 |
| NDWI | 0.0163 + 0.2127 × NDWI | 0.11 * | 22.98 |
| NDII | 0.0013 + 0.0898 × NDII | 0.34 ** | 19.73 |
| MDWI | −0.0054 + 0.1126 × MDWI | 0.34 ** | 19.84 |
| SANI | 0.0035 − 0.0323 × SANI | 0.25 ** | 21.08 |
| SASI | 0.0031 + 0.0422 × SASI | 0.34 ** | 19.84 |
| SWI | 1.4091 − 1.6914 × SWI | 0.64 *** | 15.64 |
| Index | Direct Inversion (NO. = 28) | Down-Scale Inversion (NO. = 28) | ||
|---|---|---|---|---|
| Correlation to Leaf Water Content | Correlation to Canopy Water Content | Correlation to Leaf Water Content | Correlation to Canopy Water Content | |
| R2 | R2 | R2 | R2 | |
| MSI | 0.0298 | 0.1209 | 0.0299 | 0.3685 ** |
| NDWI | 0.0176 | 0.1517 | 0.0273 | 0.2990 * |
| NDII | 0.0396 | 0.1031 | 0.0385 | 0.3985 ** |
| MDWI | 0.0285 | 0.1782 | 0.0491 | 0.3223 * |
| SANI | 0.0490 | 0.0313 | 0.0325 | 0.5424 *** |
| SASI | 0.0479 | 0.1971 | 0.0376 | 0.3682 ** |
| SWI | 0.0322 | 0.1063 | 0.0543 | 0.7869 *** |
Disclaimer/Publisher’s Note: The statements, opinions and data contained in all publications are solely those of the individual author(s) and contributor(s) and not of MDPI and/or the editor(s). MDPI and/or the editor(s) disclaim responsibility for any injury to people or property resulting from any ideas, methods, instructions or products referred to in the content. |
© 2024 by the authors. Licensee MDPI, Basel, Switzerland. This article is an open access article distributed under the terms and conditions of the Creative Commons Attribution (CC BY) license (https://creativecommons.org/licenses/by/4.0/).
Share and Cite
Fang, M.; Hu, X.; Chen, J.M.; Zhao, X.; Tang, X.; Liu, H.; Xu, M.; Ju, W. A Down-Scaling Inversion Strategy for Retrieving Canopy Water Content from Satellite Hyperspectral Imagery. Forests 2024, 15, 1463. https://doi.org/10.3390/f15081463
Fang M, Hu X, Chen JM, Zhao X, Tang X, Liu H, Xu M, Ju W. A Down-Scaling Inversion Strategy for Retrieving Canopy Water Content from Satellite Hyperspectral Imagery. Forests. 2024; 15(8):1463. https://doi.org/10.3390/f15081463
Chicago/Turabian StyleFang, Meihong, Xiangyan Hu, Jing M. Chen, Xueshiyi Zhao, Xuguang Tang, Haijian Liu, Mingzhu Xu, and Weimin Ju. 2024. "A Down-Scaling Inversion Strategy for Retrieving Canopy Water Content from Satellite Hyperspectral Imagery" Forests 15, no. 8: 1463. https://doi.org/10.3390/f15081463
APA StyleFang, M., Hu, X., Chen, J. M., Zhao, X., Tang, X., Liu, H., Xu, M., & Ju, W. (2024). A Down-Scaling Inversion Strategy for Retrieving Canopy Water Content from Satellite Hyperspectral Imagery. Forests, 15(8), 1463. https://doi.org/10.3390/f15081463

