The Impact of Forest Management Inventory Factors on the Ecological Service Value of Forest Water Conservation Based on Machine Learning Algorithms
Abstract
1. Introduction
2. Materials and Methods
2.1. Study Area
2.2. Indicator Selection and Data Sources
- (1)
- The InVEST water conservation module includes the following main parameter inputs: terrain, annual precipitation, annual potential evapotranspiration, vegetation distribution, soil depth, root depth, available water content in plants, evaporation coefficient, and the Zhang coefficient. Vegetation data were acquired from secondary land-use divisions based on the natural attributes of forest resources derived from forest management inventories [37,38]. Rainfall data were obtained from meteorological stations and converted into raster format using the Kriging interpolation method; potential evapotranspiration was calculated using the Modified–Hargreaves method [39]. The Zhang coefficient, representing rainfall characteristic constants, used default values; the available water content in plants was calculated using a nonlinear fitting model for soil AWC estimation based on established soil texture and soil organic matter data [40]. The soil depth was interpolated based on forest inventory data, while the saturated hydraulic conductivity of the soil was calculated based on the soil particle composition data model [41]. Biophysical parameters were referenced from relevant domestic and international literature, as well as specific studies focused on the research area [42].
- (2)
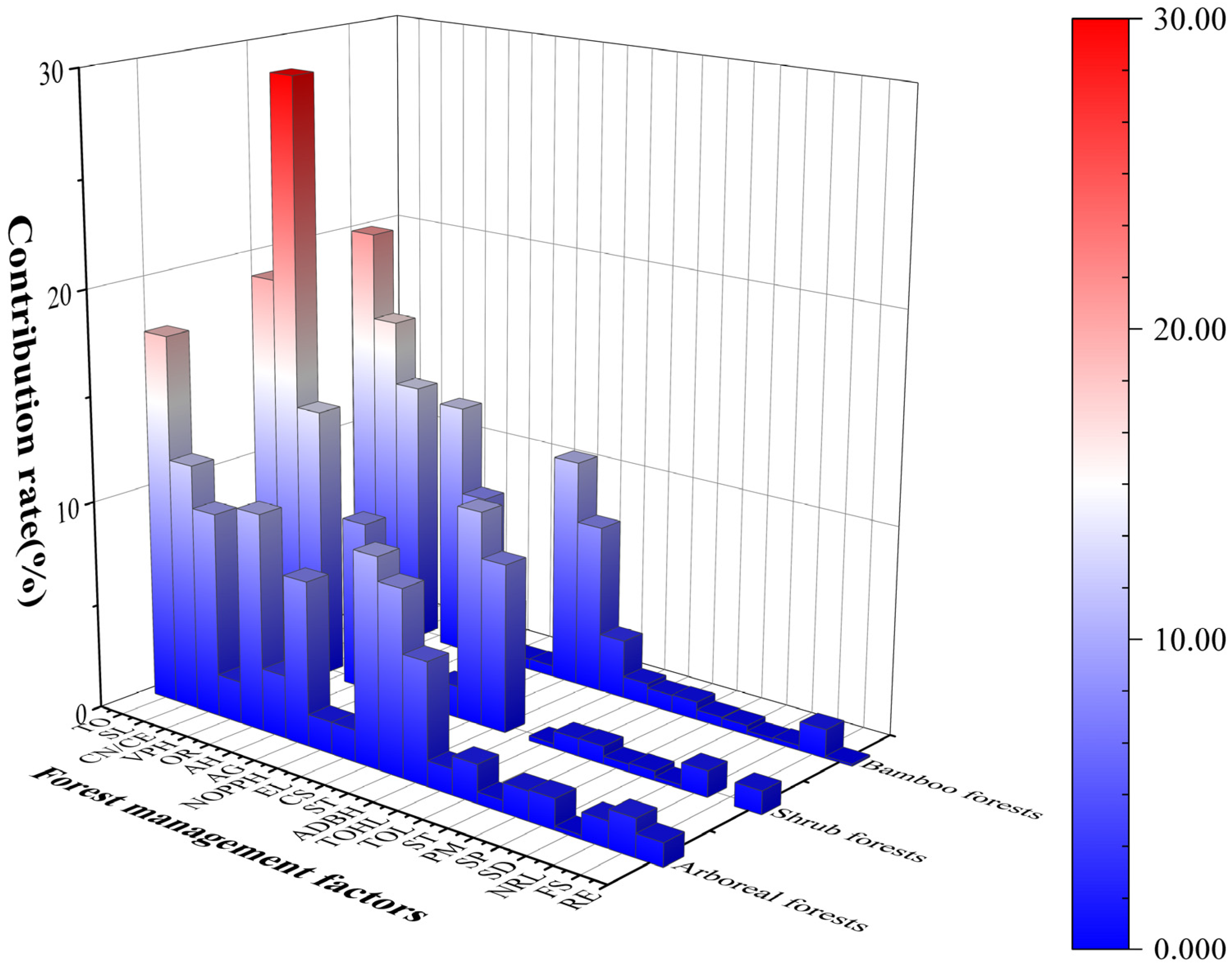
- According to the “Thirteenth Five-Year Plan” forest management inventory data in Hunan Province, there are seven forest types: Cunninghamia lanceolata forests, pine forests, fast-growing broadleaf forests, mid-growing broadleaf forests, slow-growing broadleaf forests, shrub forests, and bamboo forests (see Figure 2). Additionally, as per the “technical regulations for inventory for forest management planning and design” (GB/T 26424-2010) [18] in Hunan Province, small-scale inventory factors are classified into basic attributes, topography factors, soil factors, forest factors, scattered trees/side trees, spatial structures, and derivative factors. However, considering that many inventory factors are not relevant to specific operations, this study excludes those. The retained inventory factors are categorized into continuous and categorical data types. Among them, continuous variable data types include elevation (EL), thickness of the humus layer (TH), thickness of the litter (TL), soil thickness (ST), constriction/coverage (CN/CE), average DBH (ADBH), average height (AH), number of plants per hectare (NP), and volume per hectare (VH); categorical variable data types include dominant tree species, the natural renewal level (NL), parent material (PM), reachability (RE), topography (TO), slope direction (SD), slope position (SP), slope (SL), soil type (ST), origin (OR), age group (AG), community structure (CS), and forest species (FS). Since tree species are comprehensive attributes of forest structure elements, existing studies indicate significant differences in water conservation among different tree species and forest types [43]. Therefore, model variables are classified according to dominant tree species/groups to improve modeling accuracy. Using subcompartment data, estimation models for the main forest factors are established for cunninghamia lanceolata forests, pine forests, fast-growing broadleaf forests, mid-growing broadleaf forests, slow-growing broadleaf forests, shrub forests, and bamboo forests [44]. The data used in this study are presented in Table 1.
2.3. Methodology
2.3.1. Measurement of Forest Water Conservation
2.3.2. Quantification of the Impact of Forest Management Inventory Factors on Forest Water Conservation
- (1)
- Group Lasso Model
- (2)
- XGBoost Machine Learning Algorithm
- (3)
- Random Forest Model
- (4)
- Model Accuracy Evaluation Verification
3. Results
3.1. Assessment of Water Conservation and Spatial Distribution Characteristics
3.2. Key Factor Extraction from Forest Inventory Factors
3.2.1. Model Parameter Selection and Estimation
- (1)
- Parameter optimization of the Lasso regression model
- (2)
- XGBoost model parameter optimization
- (3)
- Optimization results of random forest parameters
3.2.2. Accuracy Evaluation of Three Models
3.2.3. Extraction of Dominant Influencing Factors
- (1)
- Selection of variables in the Lasso regression model
- (2)
- Importance of XGBoost model variables
- (3)
- Importance score of forest inventory factors in the random forest model
- (4)
- Differential analysis of the influencing factors and optimization of variable selection
3.3. Simulation of Water Conservation Capacity in Random Forest Models
3.3.1. Simulation Accuracy of Random Forest Models for Different Forest Types
3.3.2. Comparison of the Spatial Distribution of Prediction Results for Different Forests
4. Discussion
- (1)
- Forest water conservation services involve interactions among the influencing factors, with forest inventory factors exhibiting nonlinearity and scale effects. By integrating the Group Lasso regression model, XGBoost, and the random forest model, it is possible to effectively identify complex characteristics. Utilizing important information for variable dimensionality reduction is beneficial for enhancing the accuracy of predictions regarding the correlation between forest water conservation and forest inventory factors. Previous research findings indicate that the Group Lasso regression model, XGBoost, and the random forest algorithm possess different characteristics in simulation prediction [57], and the important variables selected using a specific algorithm do not necessarily imply their importance for other machine learning models [58]. Additionally, different forest inventory factors have varying impacts on water conservation, manifested at different spatial scales. Among these, site factors are large-scale influencing factors of forest water conservation, acting through influencing lower-level stand factors, thus affecting the macro distribution of forest water conservation. On the other hand, stand factors alter and shape the spatial pattern of forest water conservation on a finer scale [22]. This study found that by integrating machine learning algorithms in selecting two types of inventory factors for forest water conservation, the superior qualities of the three machine learning algorithms in handling the scale and correlation of independent variables were fully utilized. Continuously incorporating more data dimensions enables handling multicollinearity and facilitates the calculation of the nonlinear effects of variables, providing more objective information on the main controlling factors of forest water conservation. Considering the model’s fitting ability, robustness, prediction accuracy, and ability to conduct feature variable selection, the model estimation accuracy indicators meet the corresponding requirements, indicating the practicality and comparability of integrating the three machine learning algorithms. This integration can achieve the best simulation effects and scalability. Due to the nonindependent characteristics of forest inventory factors that affect water conservation functions, this study can effectively screen modeling variables with nonlinear relationships and accurately identify the specificity of forest water conservation functions at different scales [3]. Comprehensive consideration of the impact of forest inventory factors on forest water conservation will aid in making informed management decisions and implementing coordinated management of forest ecosystem structures and functions. It also holds significant importance in formulating sustainable forest management policies in the context of global climate change.
- (2)
- Due to limited data availability for forest inventory factors, model prediction applications for categorical data face challenges. However, Group Lasso regression and random forest algorithms exhibit good identification characteristics, particularly in ranking the importance of categorical variables, and they can be effectively applied to a wide variety of data types. The specifications required by the “technical regulations for inventory for forest management planning and design” necessitate the use of categorical data in type grades for inventory factors. Group Lasso regression and random forest regression algorithms can effectively handle categorical data, thus addressing some of the limitations of traditional methods. In contrast, the XGBoost model quantifies categorical data via scoring; however, the accuracy of feature variable selection can be affected due to limitations in its quantification method. Previous research indicates that traditional model algorithms perform well in simulations but have limited applications for categorical independent variables. They generally use fuzzy quantification, expert scoring, or dummy variables to handle categorical data [59]. This quantification process affects the accuracy of model simulation results [60]. There are certain differences in the effectiveness of different machine learning methods. The feature importance ranking obtained using random forest regression fitting can only suggest the relative importance of the features, but cannot provide specific contribution values. In contrast, Lasso regression may lose some information while optimizing by discarding some independent variables but can detect the explanatory power of factor correlations. This study leverages the advantages of these machine learning models to process the classification (qualitative) variables for forest management inventory factors. By doing so, it ensures accuracy and also improves interpretability to a certain extent, thereby effectively revealing the intrinsic between characteristic elements.
- (3)
- The factors influencing forest water conservation services are complex. This study focuses only on the accessibility of data from the forest management inventories, which limits the ability to address complex interrelationships between forest water conservation services and forest structural impacts. Recent studies state that forest water conservation services are generally influenced by four categories of environmental factors: climate, soil, vegetation, and topography. These factors have different impacts at the individual tree scale, stand scale, slope scale, and regional scale. Due to the varying technical regulations and specifications in forest management inventory factors, the predictions obtained in this study regarding forest water conservation capacity using different methods may be inconsistent. Moreover, feature importance ranking can only provide the relative importance of features, potentially sacrificing interpretability to ensure accuracy. Furthermore, not all regions follow a uniform forest management inventory process; thus, factors that are challenging to record but have a significant potential impact on water conservation are not investigated, leading to a lack of complete information and variability in the simulation results. Additionally, this lack of uniformity leads to differences in machine learning parameters, which also affect simulation performance. To overcome these limitations, this study provides a methodological reference for studying the relationship between water conservation and forest inventory factors. However, further research is required to gain an in-depth understanding of the dynamic mechanisms influencing the interactions between water conservation and forest inventory factors across different ecological and climatic conditions.
5. Conclusions
- (1)
- Using the InVEST model’s water yield module, this study reveals significant spatial heterogeneity in forest water conservation, with low values in the central region and high values in the eastern and western regions. Additionally, the effectiveness of forest water conservation services is varied by different dominant tree species. Slow-growing broad-leaved forests provide the best service, followed by shrub forests, mid-aged broad-leaved forests, cunninghamia lanceolata forests, pine forests, fast-growing broad-leaved forests, and bamboo forests.
- (2)
- Regarding the inventory factors influencing forest water conservation, the coefficients of determination (R2) for the three algorithms range from 0.508 to 0.869, while the root mean square errors (RMSEs) range from 28.380 to 69.339. These results indicate strong modeling accuracy, good simulation effects, and relatively good scalability. Specifically, the accuracy of the three models can be ordered as follows: random forest model > Lasso regression model > XGBoost model. Due to relatively low error and high estimation accuracy, the random forest algorithm was ultimately selected for simulation considering the accuracy and complexity, thus providing a new approach for predicting the forest water conservation function.
- (3)
- The key factors influencing forest-type water conservation include topography, slope, soil thickness, origin, age group, constriction/coverage, average diameter at breast height, average height, number of trees per hectare, and community structure. This indicates that the three estimation methods have consistent correlations in factor selection, thereby revealing the mechanisms of influence of forest-type water conservation services based on forest management inventory data.
- (4)
- The impact of forest management inventory factors on forest water conservation varies. This study compared two methods for introducing independent variables: introducing all factors and feature selection through the fusion of three machine learning algorithms. The results indicate that for the simulation of forest water conservation using the random forest algorithm, feature selection reduces model redundancy and yields a better estimation of the forest water conservation function. This will promote further research concerning the prediction of forest water conservation services.
Author Contributions
Funding
Data Availability Statement
Conflicts of Interest
References
- Xie, G.D.; Zhen, L.; Lu, C.; Xiao, Y.; Chen, C. Expert Knowledge Based Valuation Method of Ecosystem Services in China. J. Nat. Resour. 2018, 23, 911–919. [Google Scholar]
- Zhang, H.; Yuan, S. Evaluation of the spatial patterns of the water retention function of the forest ecosystem in the Dongjiang River Watershed. Acta Ecol. Sin. 2016, 3, 8120–8127. [Google Scholar]
- Liu, X.; Zhang, W.; Feng, Y.; Zhao, X.; Gan, X.; Zhou, Q. Research on water conservation function of forest ecosystem: Propress and prospect. Chin. J. Ecol. 2022, 41, 784–791. [Google Scholar]
- Katherine, J.E.; Lindsay, R.B.; Wayne, T.S. Changes in vegetation structure and diversity after grass-to-forest succession in a Southern. Am. Midl. Nat. 1998, 140, 219–233. [Google Scholar]
- Luo, M.; Wang, W.; Zong, X.; Zheng, X. Study on the Coupling Relationship between Structure and Function of Water Conservation Forests in Mountainous Area of Beijing. For. Resour. Manag. 2011, 5, 84–88. [Google Scholar]
- Ma, W.; Wang, X.; Geng, R. An Overview of Research on Forest Water Conservation in China. J. Cap. Norm. Univ. Nat. Sci. Ed. 2016, 37, 87–92. [Google Scholar]
- Vigerstol, K.; Aukema, J. A comparison of tools for modeling freshwater ecosystem services. J. Environ. Manag. 2011, 92, 2403–2409. [Google Scholar] [CrossRef] [PubMed]
- Bao, Y.; Li, T.; Liu, H.; Ma, T.; Wang, H.; Liu, K.; Seng, X.; Liu, X. Spatial and temporal changes of water conservation of Loess Plateau in northern Shaanxi province by In VEST model. Geogr. Res. 2016, 35, 664–676. [Google Scholar]
- Deng, K.; Shi, P.; Xie, G. Water Conservation of Forest Ecosystem in the Upper Reaches of Yangtze River and its Benefits. Resour. Sci. 2002, 24, 68–73. [Google Scholar]
- He, X.; Zhao, Y.; Wang, K. Water Conservation Function of Typical Subtropical Forest Ecosystem. J. Northeast For. Univ. 2023, 51, 77–82. [Google Scholar]
- Gong, Z.; Kang, X.; Gu, L.; Zhao, J.; Zheng, Y.; Yang, H. Research methods on natural forest stand structure: A review. J. Zhejiang For. Coll. 2009, 26, 434–443. [Google Scholar]
- Jiang, G.; Zheng, X.; Ning, Y. Relationship between Forest Stand Structure and Function of Water Conservation—A Case Study of Badaling Forest Farm. J. Northwest For. Univ. 2012, 27, 175–179. [Google Scholar]
- Zhang, G.; Zhang, Y. Analysis of water conservation value of forest vegetation in Zhengzhou. Agric. Sci. Technol. Shanghai. 2018, 82–84. [Google Scholar]
- Mao, J.; Tian, Y.; Xie, J.; Zhao, Q.; Ma, L.; Cha, T. Evaluation and value estimation of water conservation function of forest vegetation of four urban functional areas in Beijing. Acta Ecol. Sin. 2021, 41, 9020–9028. [Google Scholar]
- Cui, W.; Zheng, X.; Gu, L. Water conservation of forest in Jingouling forest farm and its value. J. Cent. South Univ. For. Technol. 2016, 36, 88–92. [Google Scholar]
- Meng, C.; Wang, Q.; Zheng, X. Coupling mechanism between stand structure and function of water conservation forest in Badaling forest farm, Beijin. J. Cent. South Univ. For. Technol. 2017, 37, 69–72. [Google Scholar]
- Cui, Y.; Fan, L.; Liu, S.; Sun, T. Evaluation of forest ecosystem service function in Shanxi province. Acta Ecol. Sin. 2019, 39, 4732–4740. [Google Scholar]
- GB/T26424-2010; Technical Regulations for Inventory for Forest Management Planning and Design. China Standard Press: Beijing, China, 2010.
- Wang, B.; Yang, F.; Guo, H. Specifications for Assessment of Forest Ecosystem Services; China Standard Press: Beijing, China, 2008. [Google Scholar]
- Cui, C.; Li, J.; Feng, Y.; Shi, B.; Li, X.; Bian, C. Estimations on Carbon Storage and Carbon Density of Forest Resources Based on the County Forest Management Inventory—The case of Sishui County. J. Shandong Agric. Univ. Nat. Sci. Ed. 2017, 48, 279–283. [Google Scholar]
- Yang, C. Relationship between Stand Factors of Pinus Massoniana and Topography in Linan; Agriculture & Forestry University: Hangzhou, China, 2016. [Google Scholar]
- Dong, L.; Liu, Z.; Li, F.; Jiang, L. Relationships between Stand Spatial Structure Characteristics and Influencing Factors of Broad-leaved Korean Pine (Pinus koraiensis) Forest in Liangshui Nature Reserve. Northeast China. Bull. Bot. Res. 2014, 34, 114–120. [Google Scholar]
- Meng, C.; Zheng, X.; Wang, W. Correlation between Stand Structure and Soil of Water Conservation Forest in Badaling Forest Farm of Beijing. J. Northwest For. Univ. 2016, 31, 99–105. [Google Scholar]
- Wei, X.; Sun, Y.; Mei, G.; Wang, Y. Comprehensive evaluation of forest resources based on multi- function management. J. Cent. South Univ. For. Technol. 2013, 33, 103–108. [Google Scholar]
- Du, Y.; Zheng, X.; Luo, M. Study on leading function types of evergreen broad-leaved forest in Jiangle County, Fujian Provinc. J. Cent. South Univ. For. Technol. 2013, 33, 39–43. [Google Scholar]
- Meng, C.; Zhou, J.; Zheng, X. Health Assessment of Castanoopsis Secondary Forest in Jungle Forest Farm of Fujian. J. Northwest For. Univ. 2015, 30, 198–203. [Google Scholar]
- Wen, Y.; Liu, S. Quantitative analysis characteristics of rainfall interception of main forest ecosystem types in China. Sci. Silvae Sin. 1995, 31, 289–298. [Google Scholar]
- Dormann, C.F.; Elith, J.; Bacher, S.; Buchmann, C.; Carl, G.; Carré, G.; Marquéz, J.R.G.; Gruber, B.; Lafourcade, B.; Leitão, P.J.; et al. Collinearity: A review of methods to deal with it and a simulation study evaluating their performance. Ecography 2013, 36, 27–46. [Google Scholar] [CrossRef]
- Lv, J.; Hao, N.; Li, C.; Shi, X.; Li, Z. Identification of Forest Type Based on Random Forest and Texture Characteristics. Remote Sens. Inf. 2017, 32, 109–114. [Google Scholar]
- Gao, R.; Su, X.; Xie, Y.; Lei, X.; Lu, Y. Prediction of adaptability of Cunninghamia lanceolata based on random forest. J. Beijing For. Univ. 2017, 39, 36–43. [Google Scholar]
- Lu, J.; Feng, Z. Forecast of Stand Volume Growth in Beijing by Using Random Forest. J. Northeast For. Univ. 2020, 48, 7–11. [Google Scholar]
- Lin, S.; Wen, Q.; Wu, D.; Huang, H.; Zheng, X. Regional Forest Structure Evaluation Model Based on Remote Sensing and Field Survey Data. Forests 2024, 15, 533. [Google Scholar] [CrossRef]
- Li, K.; Wu, D.; Fang, L. Forest Volume Stock with Sentinel-2 Remote Sensing Image. J. Northeast For. Univ. 2021, 49, 59–66. [Google Scholar]
- Zhou, T.; Xu, H.; Xu, Q.; Zhu, B.; Lu, Y. Filling missing factors for China’s forest resources inventory based on random forest classification models. Acta Ecol. Sin. 2024, 44, 1–14. [Google Scholar]
- Liu, K.; Zhong, H.; Lin, S. Tree Species Classification in UAV Hyperspectral Images Based on Different Machine Learning Algorithms. For. Eng. 2024, 40, 98–108. [Google Scholar]
- Yu, X.; Zhou, B.; Lü, X.; Yang, Z. Evaluation of Water Conservation Function in Mountain Forest Areas of Beijing Based on In VEST Model. Sci. Silvae Sin. 2012, 48, 1–5. [Google Scholar]
- Jia, F. In VEST Model Based Ecosystem Services Evaluation with Case Study on Ganjiang River Basin; China University of Geosciences: Wuhan, China, 2014. [Google Scholar]
- Pan, T.; Wu, S.-H.; Dai, E.-F.; Liu, Y.-J. Spatiotemporal variation of water source supply service in Three Rivers Source Area of China based on In VEST model. Chin. J. Appl. Ecol. 2013, 24, 183–189. [Google Scholar]
- Li, C.; Cui, N.; Wei, X.; Hu, X.; Gong, D. Improvement of Hargreaves method for reference evapotranspiration in hilly area of central Sichuan Basin. Trans. Chin. Soc. Agric. Eng. 2015, 31, 129–133. [Google Scholar]
- Zhou, W.; Liu, G.; Pan, J. Soil Available Water Capacity and it’s Empirical and Statistical Models- with Special Reference to Black Soils in Northeast China. J. Arid Land Resour. Environ. 2003, 17, 88–95. [Google Scholar]
- Yang, Y.; Wang, L.; Ren, W.; Zheng, D.; Zhi, C. Headwater Conservation Evaluation of Forest Resources in Xichuan County Based on In VEST Model. For. Resour. Manag. 2017, 3, 51–55. [Google Scholar]
- Yin, G. The Impact of Forest Resource Change on Forest Ecosystem Service Function Based on Invest Model; Normal University: Chongqing, China, 2017. [Google Scholar]
- Gong, B.; Shi, C.; He, H.; Liu, C.; Shi, C.; Zhao, T. The water conservation capacity of 6 kinds of planted forests in northern mountain area of Hebei Province. J. Arid Land Resour. Environ. 2019, 33, 165–170. [Google Scholar]
- Zhang, Z. Research and Implementation of Key Techniques for Estimating Main Stand Factors in Multi-Source Remote Sensing Forest Resources Survey; Xi’an University of Architecture & Science and Technology: Xi’an, China, 2020. [Google Scholar]
- Lü, L.; Ren, T.; Sun, C.; Zheng, D.; Wang, H. Spatial and temporal changes of water supply and water conservation function in Sanjiangyuan National Park from 1980 to 2016. Acta Ecol. Sin. 2020, 40, 993–1003. [Google Scholar]
- Chen, S.; Liu, K.; Bao, Y.; Chen, H. Spatial Pattern and Influencing Factors of Water Conservation Service Function in Shangluo City. Sci. Geogr. Sin. 2016, 36, 1546–1554. [Google Scholar]
- Zhang, C.; Li, W.; Zhang, B.; Liu, M. Water Yield of Xitiaoxi River Basin Based on In VEST Modeling. J. Resour. Ecol. 2012, 3, 50–54. [Google Scholar]
- Yuan, M.; Lin, Y. Model selection and estimation in regression with grouped variables. J. R. Stat. Soc. Stat. Methodol. 2006, 68, 49–67. [Google Scholar] [CrossRef]
- Yang, Y.; Zou, H. A fast unified algorithm for computing group- lasso penalized learning problems. Stat. Comput. 2015, 26, 1129–1141. [Google Scholar] [CrossRef]
- Tang, Q.; Zhang, C. Data Processing System (DPS) software with experimental design, statistical analysis and data mining developed for use in entomological research. Insect Sci. 2013, 20, 254–260. [Google Scholar] [CrossRef] [PubMed]
- Chen, C.; Huang, Y.; Wu, S.; Qian, C. The Prediction of Opportunity-driven Entrepreneurship Based on XGBoost Algorithm. Sci. Technol. Prog. Policy 2023, 40, 14–22. [Google Scholar]
- Huang, Z.; Shen, J.; Jian, W.; Fan, X.; Nie, W. Displacement prediction of rainfall- induced step- like landslide based on XGBoost model. J. Nat. Disasters 2023, 32, 217–226. [Google Scholar]
- Prasad, A.M.; Iverson, L.R.; Liaw, A. Newer classification and regression tree techniques: Bagging and random forests for ecological prediction. Ecosystems 2006, 9, 181–199. [Google Scholar] [CrossRef]
- Breiman, L. Random forests. Mach. Learn. 2001, 45, 5–32. [Google Scholar] [CrossRef]
- Liu, J.; He, X.; Wang, P.; Huang, J. Early prediction of winter wheat yield with long time series meteorological data and random forest method. Trans. Chin. Soc. Agric. Eng. Trans. CSAE 2019, 35, 158–166. [Google Scholar]
- Gislason, P.O.; Benediktsson, J.A.; Sveinsson, J.R. Random forests for land cover classification. Pattern Recognit. Lett. 2006, 27, 294–300. [Google Scholar] [CrossRef]
- Li, G.; Li, J.; Zhao, C.; Jiao, Y.; Yan, Q. Spatiotemporal dynamics of ecosystem services and their nonlinear influencing factors- A case study in the Qiantang River Basin. China Environ. Sci. 2022, 42, 5941–5952. [Google Scholar]
- Andersen, C.M.; Bro, R. Variable selection in regression—A tutorial. J. Chemom. 2010, 24, 728–737. [Google Scholar] [CrossRef]
- Xu, Y.; Zhang, M.; Li, Q.; Xu, E.; Deng, L.; Deng, S.; Liu, Z.; Liang, H. Upscaling subalpine forest soil water-holding capacity based on vegetation and environmental factors: An example of the Zagunao River watershed in the upper reach of the Minjiang River in China. Acta Ecol. Sin. 2023, 43, 5614–5626. [Google Scholar]
- Li, C.; Xiao, K.; Li, N. A Comparative Study of Support Vector Machine, Random Forest and Artificial Neural Network Machine Learning Algorithms in Geochemical Anomaly Information Extraction. Acta Geosci. Sin. 2020, 41, 309–319. [Google Scholar]















| Type | Index | Data Source |
|---|---|---|
| Data input data into the InVEST model | Root-restricting layer depth | The Food and Agriculture Organization (FAO) |
| Several parameters related to vegetation and soil | The relevant studies [36,37,38,39,40,41] and the InVEST UserGuide | |
| Topographic features | Elevation, slope, geomorphology, slope direction, and slope position | The Geospatial Data Cloud (http://www.gscloud.cn/, accessed on 9 October 2020) |
| Climatic features | Annual precipitation and annual potential evapotranspiration | Meteorological data for 2020 from the National Meteorological Information Centre (NMIC) (https://data.cma.cn/, accessed on 19 February 2021) |
| Soil factor | Thickness of the humus layer, thickness of the litter, and soil thickness | Hunan Province’s ‘13th Five-Year Plan’ Forest Resources Type II Inventory Data (2020) |
| Parent material and soil type | ||
| Forest stand factor | Constriction/coverage, average DBH, average height, number of plants per hectare, and volume per hectare | |
| Natural renewal level, forest species, reachability, origin, age group, forest type, and community structure |
| Forest Types | Random Forest Model | Lasso Model | XGBoost | ||||||
|---|---|---|---|---|---|---|---|---|---|
| R2 | RMSE | ARE | R2 | RMSE | ARE | R2 | RMSE | ARE | |
| Arboreal Forests | 0.832 ** | 33.931 | 0.0792 | 0.602 * | 52.223 | 0.146 | 0.701 ** | 48.225 | 0.112 |
| Shrub Forests | 0.869 ** | 28.606 | 0.0386 | 0.640 * | 58.310 | 0.166 | 0.622 * | 48.637 | 0.118 |
| Bamboo Forests | 0.860 ** | 28.380 | 0.0375 | 0.557 * | 62.558 | 0.177 | 0.569 * | 53.416 | 0.157 |
| Forest Types | Random Forest Model | Lasso Model | XGBoost | ||||||
|---|---|---|---|---|---|---|---|---|---|
| R2 | RMSE | ARE | R2 | RMSE | ARE | R2 | RMSE | ARE | |
| Arboreal Forests | 0.801 ** | 37.771 | 0.0842 | 0.562 * | 52.337 | 0.149 | 0.692 ** | 46.832 | 0.105 |
| Shrub Forests | 0.867 ** | 28.328 | 0.0371 | 0.598 * | 64.258 | 0.184 | 0.631 * | 49.617 | 0.123 |
| Bamboo Forests | 0.749 ** | 44.775 | 0.0949 | 0.508 * | 69.339 | 0.199 | 0.610 * | 50.269 | 0.127 |
Disclaimer/Publisher’s Note: The statements, opinions and data contained in all publications are solely those of the individual author(s) and contributor(s) and not of MDPI and/or the editor(s). MDPI and/or the editor(s) disclaim responsibility for any injury to people or property resulting from any ideas, methods, instructions or products referred to in the content. |
© 2024 by the authors. Licensee MDPI, Basel, Switzerland. This article is an open access article distributed under the terms and conditions of the Creative Commons Attribution (CC BY) license (https://creativecommons.org/licenses/by/4.0/).
Share and Cite
Chen, Z.; Lü, Y.; Liu, Y.; Chen, D.; Peng, B. The Impact of Forest Management Inventory Factors on the Ecological Service Value of Forest Water Conservation Based on Machine Learning Algorithms. Forests 2024, 15, 1431. https://doi.org/10.3390/f15081431
Chen Z, Lü Y, Liu Y, Chen D, Peng B. The Impact of Forest Management Inventory Factors on the Ecological Service Value of Forest Water Conservation Based on Machine Learning Algorithms. Forests. 2024; 15(8):1431. https://doi.org/10.3390/f15081431
Chicago/Turabian StyleChen, Zhefu, Yong Lü, Yang Liu, Duanlv Chen, and Baofa Peng. 2024. "The Impact of Forest Management Inventory Factors on the Ecological Service Value of Forest Water Conservation Based on Machine Learning Algorithms" Forests 15, no. 8: 1431. https://doi.org/10.3390/f15081431
APA StyleChen, Z., Lü, Y., Liu, Y., Chen, D., & Peng, B. (2024). The Impact of Forest Management Inventory Factors on the Ecological Service Value of Forest Water Conservation Based on Machine Learning Algorithms. Forests, 15(8), 1431. https://doi.org/10.3390/f15081431
