The Negative Effects of Tourist Trampling on the Soil Physical Properties and Microbial Community Composition in a Natural Oak Forest
Abstract
1. Introduction
2. Materials and Methods
2.1. Site Description
2.2. Experimental Design
2.3. Soil Sampling and Analysis
2.4. Statistical Analysis
3. Results
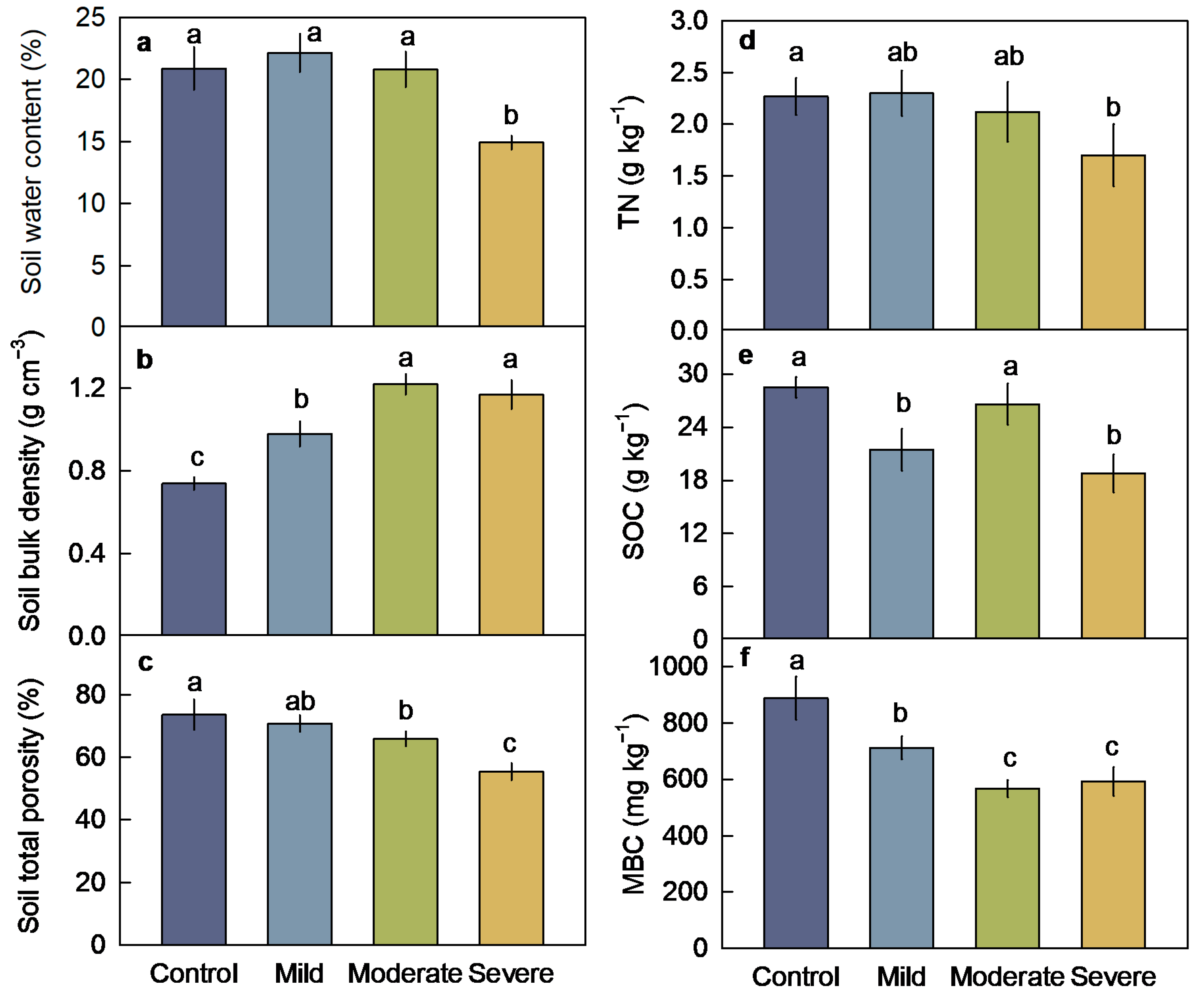
3.1. Soil Physicochemical Properties
3.2. Soil Microbial Community Composition
3.3. Relationships between Soil Microbial Composition and Soil Characteristics
4. Discussion
4.1. Effects of Trampling on Soil Physicochemical Properties
4.2. Effects of Trampling on the Soil Microbial Community
5. Conclusions
Author Contributions
Funding
Data Availability Statement
Acknowledgments
Conflicts of Interest
References
- Vincent, M. Tourism, environment and development: Values, sustainability and stewardship. Tourism Manage. 1991, 12, 112–118. [Google Scholar]
- Li, Q.; Dai, M.; Luo, F. Influence of tourism disturbance on soil microbial community structure in Dawei Mountain national forest park. Sustainability 2022, 14, 1162. [Google Scholar] [CrossRef]
- Shang, Q.; Liu, Y.; Li, Q. Effects of tourism trampling on soil nitrogen mineralization in Quercus variabilis Blume forests varies with altitudes in the climate transition zone. Forests 2022, 13, 1467. [Google Scholar] [CrossRef]
- Li, W.; He, S.; Cheng, X.; Zhang, M. Functional diversity outperforms taxonomic diversity in revealing short-term trampling effects. Sci. Rep. 2021, 11, 18889. [Google Scholar] [CrossRef] [PubMed]
- Wang, L.E.; Ni, X.; Li, Y.; Li, J.; Cheng, S. Framework proposal for estimating tourist food waste and its carbon footprint in China: Sampling from four main tourist destinations. Resour. Conserv. Recy. 2023, 197, 107107. [Google Scholar] [CrossRef]
- Li, W.; He, S.; Cheng, X.; Zhang, G. Short-term effects of experimental trampling on alpine grasslands in Shangri-la, China. Ecol. Conserv. 2020, 23, e01161. [Google Scholar] [CrossRef]
- Mason, S.; Newsome, D.; Moore, S.; Admiraal, R. Recreational trampling negatively impacts vegetation structure of an Australian biodiversity hotspot. Biodivers. Conserv. 2015, 24, 2685–2707. [Google Scholar] [CrossRef]
- Drewnik, M.; Musielok, Ł.; Prędki, R.; Stolarczyk, M.; Szymański, W. Degradation and renaturalization of soils affected by tourist activity in the Bieszczady Mountains (South East Poland). Land Degr. Dev. 2019, 30, 670–682. [Google Scholar] [CrossRef]
- Chen, X.; Cui, F.; Wong, C.U.I.; Zhang, H.; Wang, F. An investigation into the response of the soil ecological environment to tourist disturbance in Baligou. PeerJ 2023, 11, e15780. [Google Scholar] [CrossRef]
- Lei, L.; Xiao, W.; Zeng, L.; Frey, B.; Huang, Z.; Zhu, J.; Cheng, R.; Li, M.-H. Effects of thinning intensity and understory removal on soil microbial community in Pinus massoniana plantations of subtropical China. Appl. Soil Ecol. 2021, 167, 104055. [Google Scholar] [CrossRef]
- Kang, H.Z.; Yu, W.J.; Dutta, S.; Gao, H.H. Soil microbial community composition and function are closely associated with soil organic matter chemistry along a latitudinal gradient. Geoderma 2021, 383, 11. [Google Scholar] [CrossRef]
- Liu, L.; Estiarte, M.; Bengtson, P.; Li, J.; Asensio, D.; Wallander, H.; Peñuelas, J. Drought legacies on soil respiration and microbial community in a Mediterranean forest soil under different soil moisture and carbon inputs. Geoderma 2022, 405, 115425. [Google Scholar] [CrossRef]
- Sun, S.Q.; Wu, Y.H.; Zhang, J.; Wang, G.X.; DeLuca, T.H.; Zhu, W.Z.; Li, A.D.; Duan, M.; He, L. Soil warming and nitrogen deposition alter soil respiration, microbial community structure and organic carbon composition in a coniferous forest on eastern Tibetan Plateau. Geoderma 2019, 353, 283–292. [Google Scholar] [CrossRef]
- Zhao, C.; Wang, Y.; Zhang, N.; Liang, J.; Li, D.; Yin, C.; Liu, Q. Seasonal shifts in the soil microbial community responded differently to in situ experimental warming in a natural forest and a plantation. Eur. J. Soil Sci. 2021, 73, e13135. [Google Scholar] [CrossRef]
- Kissling, M.; Hegetschweiler, K.T.; Rusterholz, H.-P.; Baur, B. Short-term and long-term effects of human trampling on above-ground vegetation, soil density, soil organic matter and soil microbial processes in suburban beech forests. Appl. Soil Ecol. 2009, 42, 303–314. [Google Scholar] [CrossRef]
- Yang, H.; Liu, C.; Liu, Y.; Xing, Z. Impact of human trampling on biological soil crusts determined by soil microbial biomass, enzyme activities and nematode communities in a desert ecosystem. Europ. J. Soil Biol. 2018, 87, 61–71. [Google Scholar] [CrossRef]
- Hiltbrunner, D.; Schulze, S.; Hagedorn, F.; Schmidt, M.W.I.; Zimmmermann, S. Cattle trampling alters soil properties and changes soil microbial communities in a Swiss sub-alpine pasture. Geoderma 2012, 170, 369–377. [Google Scholar] [CrossRef]
- Liu, Q.; Li, W.; Nie, H.; Sun, X.; Dong, L.; Xiang, L.; Zhang, J.; Liu, X. The effect of human trampling activity on a soil microbial community at the urban forest park. Forests 2023, 14, 692. [Google Scholar] [CrossRef]
- Li, Z.; Siemann, E.; Deng, B.; Wang, S.; Gao, Y.; Liu, X.; Zhang, X.; Guo, X.; Zhang, L. Soil microbial community responses to soil chemistry modifications in alpine meadows following human trampling. Catena 2020, 194, 104717. [Google Scholar] [CrossRef]
- Luan, J.; Liu, S.; Wang, J.; Zhu, X.; Shi, Z. Rhizospheric and heterotrophic respiration of a warm-temperate oak chronosequence in China. Soil Biol. Biochem. 2011, 43, 503–512. [Google Scholar] [CrossRef]
- Luan, J.; Liu, S.; Zhu, X.; Wang, J. Soil carbon stocks and fluxes in a warm-temperate oak chronosequence in China. Plant Soil 2011, 347, 243–253. [Google Scholar] [CrossRef]
- Bowden, R.D.; Davidson, E.; Savage, K.; Arabia, C.; Steudler, P. Chronic nitrogen additions reduce total soil respiration and microbial respiration in temperate forest soils at the Harvard Forest. For. Ecol. Manag. 2004, 196, 43–56. [Google Scholar]
- Nelson, D.W.; Sommers, L.E.; Sparks, D.; Page, A.; Helmke, P.; Loeppert, R.; Soltanpour, P.; Tabatabai, M.; Johnston, C.; Sumner, M. Total carbon, organic carbon, and organic matter. In Methods of Soil Analysis; Sparks, D., Ed.; Soil Sci Soc Am Inc.: Madison, WI, USA, 1996; pp. 961–1010. [Google Scholar]
- Bremner, J.; Sparks, D.; Page, A.; Helmke, P.; Loeppert, R.; Soltanpour, P.; Tabatabai, M.; Johnston, C.; Sumner, M. Nitrogen-Total. In Methods of Soil Analysis; Sparks, D., Ed.; SSSA Book Series; Soil Sci Soc Am Inc.: Madison, WI, USA, 1996; pp. 1085–1121. [Google Scholar]
- Vance, E.; Brookes, P.; Jenkinson, D. An extraction method for measuring soil microbial biomass C. Soil Biol. Biochem. 1987, 19, 703–707. [Google Scholar] [CrossRef]
- Wu, J.; Joergensen, R.; Pommerening, B.; Chaussod, R.; Brookes, P. Measurement of soil microbial biomass C by fumigation-extraction-an automated procedure. Soil Biol. Biochem. 1990, 22, 1167–1169. [Google Scholar] [CrossRef]
- Zhang, N.; Xia, J.; Yu, X.; Ma, K.; Wan, S. Soil microbial community changes and their linkages with ecosystem carbon exchange under asymmetrically diurnal warming. Soil Biol. Biochem. 2011, 43, 2053–2059. [Google Scholar] [CrossRef]
- Horz, H.P.; Barbrook, A.; Field, C.B.; Bohannan, B.J.M. Ammonia-oxidizing bacteria respond to multifactorial global change. Proc. Nati. Acad. Sci. USA 2004, 101, 15136–15141. [Google Scholar] [CrossRef] [PubMed]
- Bossio, D.; Scow, K. Impacts of carbon and flooding on soil microbial communities: Phospholipid fatty acid profiles and substrate utilization patterns. Microb. Ecol. 1998, 35, 265–278. [Google Scholar] [CrossRef] [PubMed]
- Wu, J.; Liu, Z.; Wang, X.; Sun, Y.; Zhou, L.; Lin, Y.; Fu, S. Effects of understory removal and tree girdling on soil microbial community composition and litter decomposition in two Eucalyptus plantations in South China. Funct. Ecol. 2011, 25, 921–931. [Google Scholar] [CrossRef]
- Sun, Y.; Wu, J.; Shao, Y.; Zhou, L.; Mai, B.; Lin, Y.; Fu, S. Responses of soil microbial communities to prescribed burning in two paired vegetation sites in southern China. Ecol. Res. 2011, 26, 669–677. [Google Scholar] [CrossRef]
- White, D.; Stair, J.; Ringelberg, D. Quantitative comparisons ofin situ microbial biodiversity by signature biomarker analysis. J. Ind. Microbiol. Biot. 1996, 17, 185–196. [Google Scholar] [CrossRef]
- Frostegård, Å.; Bååth, E.; Tunlio, A. Shifts in the structure of soil microbial communities in limed forests as revealed by phospholipid fatty acid analysis. Soil Biol. Biochem. 1993, 25, 723–730. [Google Scholar] [CrossRef]
- Zak, D.R.; Ringelberg, D.B.; Pregitzer, K.S.; Randlett, D.L.; White, D.C.; Curtis, P.S. Soil microbial communities beneath Populus grandidentata grown under elevated atmospheric CO2. Ecol. Appl. 1996, 6, 257–262. [Google Scholar] [CrossRef]
- Frostegård, Å.; Bååth, E. The use of phospholipid fatty acid analysis to estimate bacterial and fungal biomass in soil. Biol. Fert. Soils 1996, 22, 59–65. [Google Scholar] [CrossRef]
- Kourtev, P.S.; Ehrenfeld, J.G.; Häggblom, M. Exotic plant species alter the microbial community structure and function in the soil. Ecology 2002, 83, 3152–3166. [Google Scholar] [CrossRef]
- Sherman, C.; Unc, A.; Doniger, T.; Ehrlich, R.; Steinberger, Y. The effect of human trampling activity on a soil microbial community at the Oulanka Natural Reserve, Finland. Appl. Soil Ecol. 2019, 135, 104–112. [Google Scholar] [CrossRef]
- Bar, P. Visitor trampling impacts on soil and vegetation: The case study of Ramat Hanadiv Park, Israel. Isr. J. Plant Sci. 2017, 64, 145–161. [Google Scholar]
- Ball, B.C.; Cameron, K.C.; Di, H.J.; Moore, S. Effects of trampling of a wet dairy pasture soil on soil porosity and on mitigation of nitrous oxide emissions by a nitrification inhibitor, dicyandiamide. Soil Use Manag. 2012, 28, 194–201. [Google Scholar] [CrossRef]
- Chai, J.; Xu, C.; Zhang, D.; Xiao, H.; Pan, T.; Yu, X. Effects of simulated trampling and rainfall on soil nutrients and enzyme activity in an alpine meadow. Acta Ecol. Sin. 2019, 39, 333–344. [Google Scholar]
- Hong, X.; Zhen, P.; Lin, X.C.; Gang, Z.D.; Long, C.J.; Tao, P.T.; Jun, Y.X. Yak and Tibetan sheep trampling inhibit reproductive and photosynthetic traits of Medicago ruthenica var. inschanica. Environ. Monit. Assess. 2018, 190, 507. [Google Scholar]
- Feng, K.; Liu, D.; Zhang, Q.; An, Q.; He, S. Effect of tourism disturbance on soil microbial diversity and community structure in a Pinus tabuliformis forest. Chin. J. Plant Ecol. 2023, 47, 584–586. [Google Scholar] [CrossRef]
- Wang, H. Influence of tourism disturbance on the soil nutrition, microbial community structure and its enzyme activity of the Jiugong Mountain national natural landscape protection zone. J. Shandong Agric. Univ. 2014, 45, 735–740. [Google Scholar]






| Treatment | Soil Penetration Resistance (Mpa) | Litter Biomass (g m−2) | Trampling History | Trampling Intensity (Person/Day) | Path Width (m) |
|---|---|---|---|---|---|
| Control | 1.03 ± 0.13 a | 491.2 ± 26.7 d | never | 0 | 0 |
| Mild | 1.76 ± 0.36 b | 236.6 ± 16.9 c | Since 2018 | 10–20 | 0.65 ± 0.05 a |
| Moderate | 2.28 ± 0.22 c | 117.8 ± 9.1 b | Since 2015 | 25–30 | 1.25 ± 0.11 b |
| Severe | 2.79 ± 0.31 d | 13.8 ± 4.2 a | Since 2012 | 35–45 | 2.05 ± 0.17 c |
Disclaimer/Publisher’s Note: The statements, opinions and data contained in all publications are solely those of the individual author(s) and contributor(s) and not of MDPI and/or the editor(s). MDPI and/or the editor(s) disclaim responsibility for any injury to people or property resulting from any ideas, methods, instructions or products referred to in the content. |
© 2024 by the authors. Licensee MDPI, Basel, Switzerland. This article is an open access article distributed under the terms and conditions of the Creative Commons Attribution (CC BY) license (https://creativecommons.org/licenses/by/4.0/).
Share and Cite
Shang, Q.; Li, C.; Liu, Y. The Negative Effects of Tourist Trampling on the Soil Physical Properties and Microbial Community Composition in a Natural Oak Forest. Forests 2024, 15, 1419. https://doi.org/10.3390/f15081419
Shang Q, Li C, Liu Y. The Negative Effects of Tourist Trampling on the Soil Physical Properties and Microbial Community Composition in a Natural Oak Forest. Forests. 2024; 15(8):1419. https://doi.org/10.3390/f15081419
Chicago/Turabian StyleShang, Qing, Changfu Li, and Yanchun Liu. 2024. "The Negative Effects of Tourist Trampling on the Soil Physical Properties and Microbial Community Composition in a Natural Oak Forest" Forests 15, no. 8: 1419. https://doi.org/10.3390/f15081419
APA StyleShang, Q., Li, C., & Liu, Y. (2024). The Negative Effects of Tourist Trampling on the Soil Physical Properties and Microbial Community Composition in a Natural Oak Forest. Forests, 15(8), 1419. https://doi.org/10.3390/f15081419

