Constructing and Validating Estimation Models for Individual-Tree Aboveground Biomass of Salix suchowensis in China
Abstract
1. Introduction
2. Materials and Methods
2.1. Field Trial
2.2. Data Processing and Analysis
2.3. Model Fitting and Evaluation
2.4. Validation and Significance Tests
3. Results
3.1. Variations in the Growth Phenotypes
3.2. Correlation and Multicollinearity Analyses
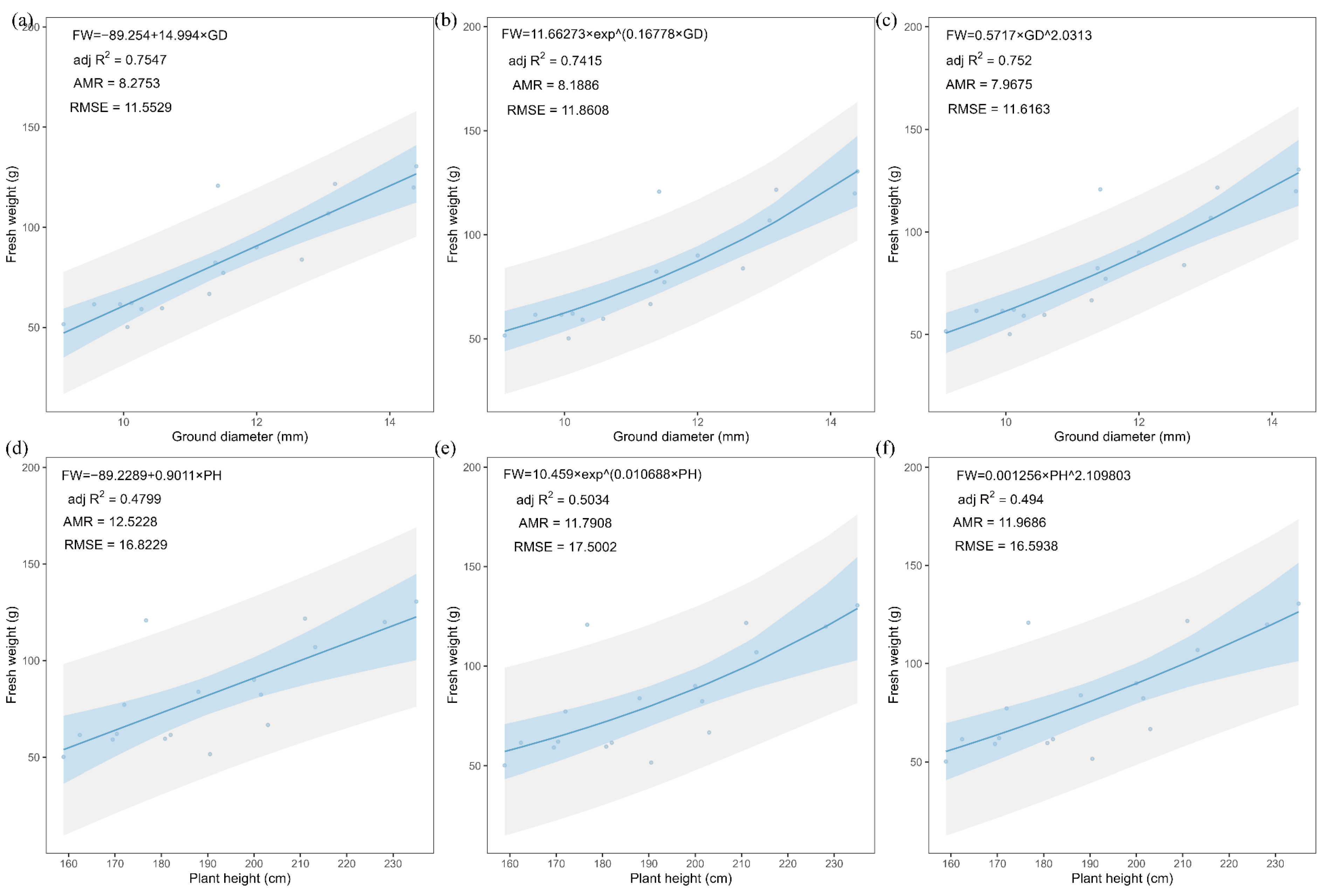
3.3. Construction of Biomass Models with a Single Variable
3.4. Construction of Biomass Models with the Multiple Power Regression Model
3.5. Construction of the Biomass Model with the Multiple Linear Regression Model
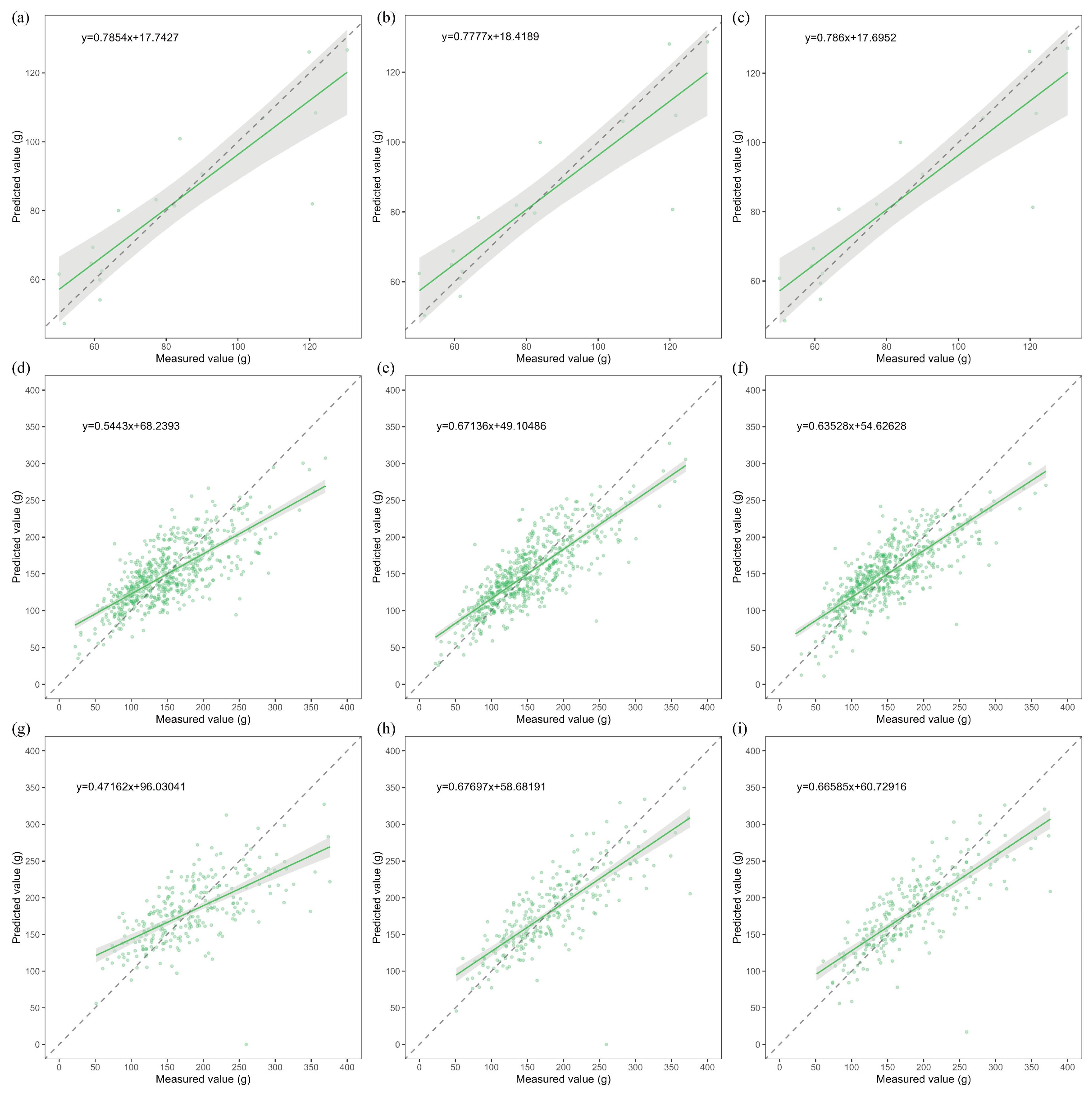
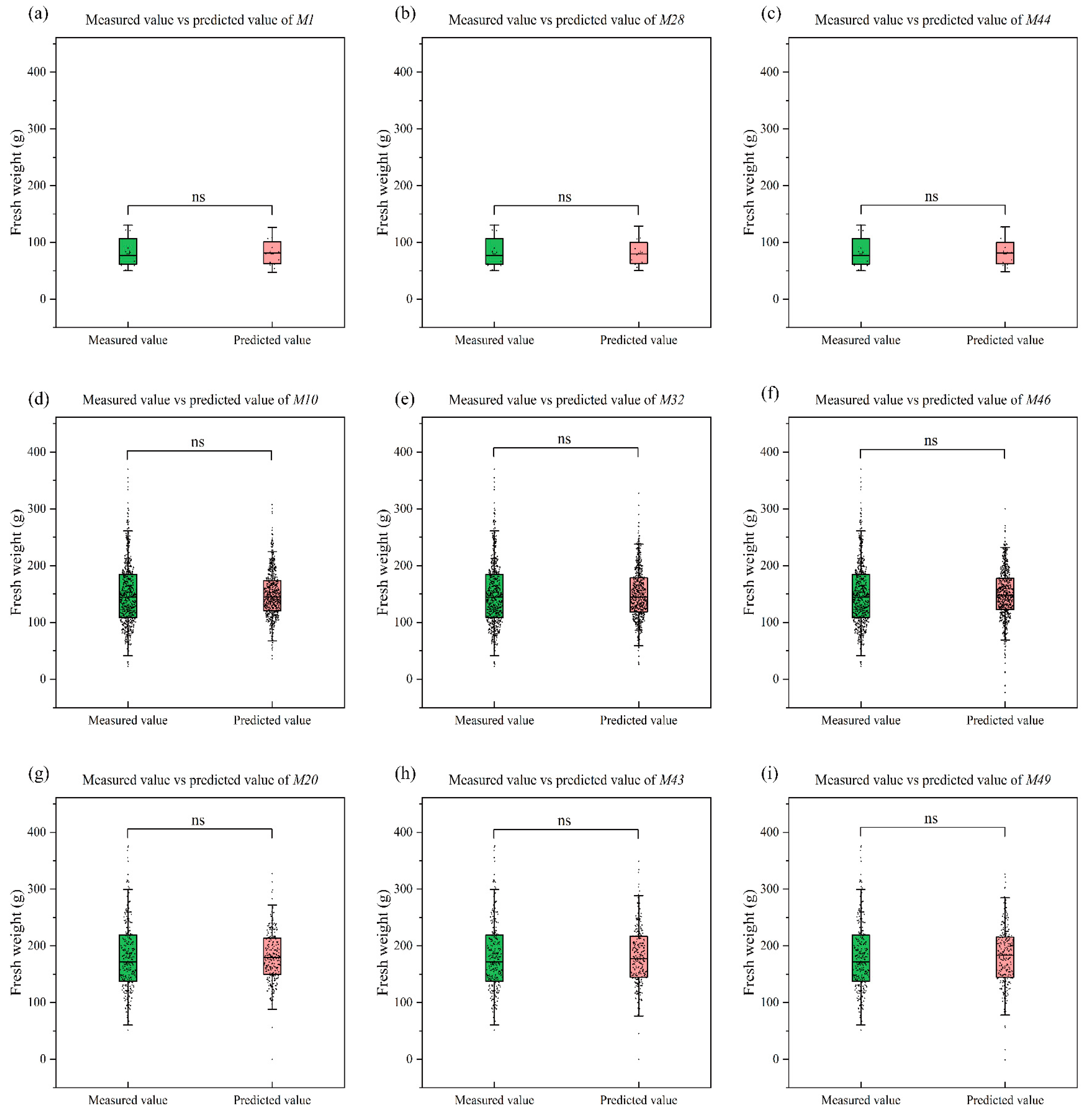
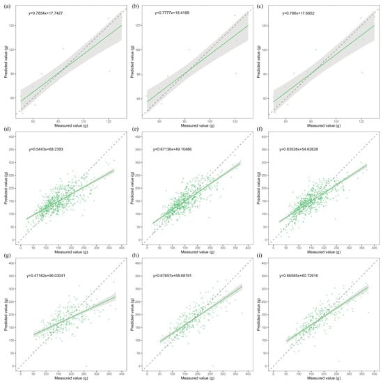
3.6. Validation of the Optimal Biomass Prediction Model
4. Discussion
5. Conclusions
Author Contributions
Funding
Data Availability Statement
Conflicts of Interest
References
- Perera, F. Pollution from Fossil-Fuel Combustion Is the Leading Environmental Threat to Global Pediatric Health and Equity: Solutions Exist. Int. J. Environ. Res. Public Health 2018, 15, 16. [Google Scholar] [CrossRef] [PubMed]
- Shuit, S.H.; Tan, K.T.; Lee, K.T.; Kamaruddin, A.H. Oil Palm Biomass as a Sustainable Energy Source: A Malaysian Case Study. Energy 2009, 34, 1225–1235. [Google Scholar] [CrossRef]
- Kopp, R.F.; Abrahamson, L.P.; White, E.H.; Volk, T.A.; Nowak, C.A.; Fillhart, R.C. Willow Biomass Production during Ten Successive Annual Harvests. Biomass Bioenergy 2001, 20, 1–7. [Google Scholar] [CrossRef]
- Widagdo, F.R.A.; Li, F.; Zhang, L.; Dong, L. Aggregated Biomass Model Systems and Carbon Concentration Variations for Tree Carbon Quantification of Natural Mongolian Oak in Northeast China. Forests 2020, 11, 397. [Google Scholar] [CrossRef]
- Maud, H.; William, R.; Lauren, M.; Zhang, C.S.; Chang, S.J.; Michael, C.H.; Leslie, P.; Narender, N. Short-Rotation Woody Crops for Bioenergy and Biofuels Applications. In Vitro Cell. Dev. Biol. 2009, 45, 619–629. [Google Scholar] [CrossRef]
- Mleczek, M.; Rutkowski, P.; Rissmann, I.; Kaczmarek, Z.; Golinski, P.; Szentner, K.; Strażyńska, K.; Stachowiak, A. Biomass Productivity and Phytoremediation Potential of Salix alba and Salix viminalis. Biomass Bioenergy 2010, 34, 1410–1418. [Google Scholar] [CrossRef]
- Antar, M.; Lyu, D.; Nazari, M.; Shah, A.; Zhou, X.; Smith, D.L. Biomass for a Sustainable Bioeconomy: An Overview of World Biomass Production and Utilization. Renew. Sustain. Energy Rev. 2021, 139, 110691. [Google Scholar] [CrossRef]
- Dai, E.; Wu, Z.; Ge, Q.; Xi, W.; Wang, X. Predicting the Responses of Forest Distribution and Aboveground Biomass to Climate Change under RCP Scenarios in Southern China. Glob. Chang. Biol. 2016, 22, 3642–3661. [Google Scholar] [CrossRef] [PubMed]
- Cavanaugh, K.C.; Gosnell, J.S.; Davis, S.L.; Ahumada, J.; Boundja, P.; Clark, D.B.; Mugerwa, B.; Jansen, P.A.; O’Brien, T.G.; Rovero, F.; et al. Carbon Storage in Tropical Forests Correlates with Taxonomic Diversity and Functional Dominance on a Global Scale. Glob. Ecol. Biogeogr. 2014, 23, 563–573. [Google Scholar] [CrossRef]
- Treml, V.; Hejda, T.; Kašpar, J. Differences in Growth between Shrubs and Trees: How Does the Stature of Woody Plants Influence Their Ability to Thrive in Cold Regions? Agric. For. Meteorol. 2019, 271, 54–63. [Google Scholar] [CrossRef]
- Zeng, H.-Q.; Liu, Q.-J.; Feng, Z.-W.; Ma, Z.-Q. Biomass Equations for Four Shrub Species in Subtropical China. J. For. Res. 2010, 15, 83–90. [Google Scholar] [CrossRef]
- Nilsson, M.-C.; Wardle, D.A. Understory Vegetation as a Forest Ecosystem Driver: Evidence from the Northern Swedish Boreal Forest. Front. Ecol. Environ. 2005, 3, 421–428. [Google Scholar] [CrossRef]
- Xu, H.; Wang, Z.; Li, Y.; He, J.; Wu, X. Dynamic Growth Models for Caragana korshinskii Shrub Biomass in China. J. Environ. Manag. 2020, 269, 110675. [Google Scholar] [CrossRef] [PubMed]
- Huff, S.; Ritchie, M.; Temesgen, H. Allometric Equations for Estimating Aboveground Biomass for Common Shrubs in Northeastern California. For. Ecol. Manag. 2017, 398, 48–63. [Google Scholar] [CrossRef]
- Yang, G.; Li, X.; Xu, Q.; Ling, J.; Yin, T. Effects of Cutting Size on the Growth and Wood Property Traits of Short-Rotation Coppice Willows. Can. J. For. Res. 2020, 50, 1365–1372. [Google Scholar] [CrossRef]
- Jia, H.; Wang, L.; Li, J.; Sun, P.; Lu, M.; Hu, J. Physiological and Metabolic Responses of Salix sinopurpurea and Salix suchowensis to Drought Stress. Trees 2020, 34, 563–577. [Google Scholar] [CrossRef]
- Karp, A.; Shield, I. Bioenergy from Plants and the Sustainable Yield Challenge. New Phytol. 2008, 179, 15–32. [Google Scholar] [CrossRef] [PubMed]
- Mandal, G.; Joshi, S.P. Estimation of Above-Ground Biomass and Carbon Stock of an Invasive Woody Shrub in the Subtropical Deciduous Forests of Doon Valley, Western Himalaya, India. J. For. Res. 2015, 26, 291–305. [Google Scholar] [CrossRef]
- Salis, S.M.; Assis, M.A.; Mattos, P.P.; Pião, A.C.S. Estimating the Aboveground Biomass and Wood Volume of Savanna Woodlands in Brazil’s Pantanal Wetlands Based on Allometric Correlations. For. Ecol. Manag. 2006, 228, 61–68. [Google Scholar] [CrossRef]
- Güner, Ş.T.; Diamantopoulou, M.J.; Poudel, K.P.; Çömez, A.; Özçelik, R. Employing Artificial Neural Network for Effective Biomass Prediction: An Alternative Approach. Comput. Electron. Agric. 2022, 192, 106596. [Google Scholar] [CrossRef]
- Zeng, W.; Fu, L.; Xu, M.; Wang, X.; Chen, Z.; Yao, S. Developing Individual Tree-Based Models for Estimating Aboveground Biomass of Five Key Coniferous Species in China. J. For. Res. 2018, 29, 1251–1261. [Google Scholar] [CrossRef]
- Li, L.-E.; Yen, T.-M.; Lin, Y.-J. A Generalized Allometric Model for Predicting Aboveground Biomass across Various Bamboo Species. Biomass Bioenergy 2024, 184, 107215. [Google Scholar] [CrossRef]
- Djomo, A.N.; Chimi, C.D. Tree Allometric Equations for Estimation of above, below and Total Biomass in a Tropical Moist Forest: Case Study with Application to Remote Sensing. For. Ecol. Manag. 2017, 391, 184–193. [Google Scholar] [CrossRef]
- Zianis, D.; Mencuccini, M. On Simplifying Allometric Analyses of Forest Biomass. For. Ecol. Manag. 2004, 187, 311–332. [Google Scholar] [CrossRef]
- Chau, J.; gslnls: GSL Multi-Start Nonlinear Least-Squares Fitting. R Package Version 1.3.2. 2024. Available online: https://CRAN.R-project.org/package=gslnls (accessed on 20 June 2024).
- Venables, W.N.; Ripley, B.D. Modern Applied Statistics with S, 4th ed.; Statistics and Computing; Springer: New York, NY, USA, 2002; pp. 107–250. [Google Scholar]
- Wickham, H. ggplot2: Elegant Graphics for Data Analysis, 2nd ed.; Springer: New York, NY, USA, 2016; pp. 75–186. [Google Scholar]
- Kuhn, M. Building Predictive Models in R Using the Caret Package. J. Stat. Softw. 2008, 28, 1–26. [Google Scholar] [CrossRef]
- Rozzi, E.; Minuto, F.D.; Lanzini, A.; Leone, P. Green Synthetic Fuels: Renewable Routes for the Conversion of Non-Fossil Feedstocks into Gaseous Fuels and Their End Uses. Energies 2020, 13, 420. [Google Scholar] [CrossRef]
- Börjesson, P.; Tufvesson, L.M. Agricultural Crop-Based Biofuels—Resource Efficiency and Environmental Performance Including Direct Land Use Changes. J. Clean. Prod. 2011, 19, 108–120. [Google Scholar] [CrossRef]
- Sassner, P.; Galbe, M.; Zacchi, G. Bioethanol Production Based on Simultaneous Saccharification and Fermentation of Steam-Pretreated Salix at High Dry-Matter Content. Enzym. Microb. Technol. 2006, 39, 756–762. [Google Scholar] [CrossRef]
- Gonzalez-Benecke, C.A.; Fernández, M.P.; Gayoso, J.; Pincheira, M.; Wightman, M.G. Using Tree Height, Crown Area and Stand-Level Parameters to Estimate Tree Diameter, Volume, and Biomass of Pinus Radiata, Eucalyptus Globulus and Eucalyptus Nitens. Forests 2022, 13, 2043. [Google Scholar] [CrossRef]
- McGinnis, T.W.; Shook, C.D.; Keeley, J.E. Estimating Aboveground Biomass for Broadleaf Woody Plants and Young Conifers in Sierra Nevada, California, Forests. West. J. Appl. For. 2010, 25, 203–209. [Google Scholar] [CrossRef]
- Yen, T.-M. Predicting Aboveground Biomass Yield for Moso Bamboo (Phyllostachys pubescens) Plantations Based on the Diameter Distribution Model. Eur. J. For. Res. 2023, 142, 1341–1351. [Google Scholar] [CrossRef]
- Chave, J.; Réjou-Méchain, M.; Búrquez, A.; Chidumayo, E.; Colgan, M.S.; Delitti, W.B.C.; Duque, A.; Eid, T.; Fearnside, P.M.; Goodman, R.C.; et al. Improved Allometric Models to Estimate the Aboveground Biomass of Tropical Trees. Glob. Chang. Biol. 2014, 20, 3177–3190. [Google Scholar] [CrossRef] [PubMed]
- Thippawan, S.; Chowtiwuttakorn, K.; Pongpattananurak, N.; Kraichak, E. Allometric Models to Estimate the Biomass of Tree Seedlings from Dry Evergreen Forest in Thailand. Forests 2023, 14, 725. [Google Scholar] [CrossRef]
- Roxburgh, S.H.; Paul, K.I.; Clifford, D.; England, J.R.; Raison, R.J. Guidelines for Constructing Allometric Models for the Prediction of Woody Biomass: How Many Individuals to Harvest? Ecosphere 2015, 6, art38. [Google Scholar] [CrossRef]
- Battulga, P.; Tsogtbaatar, J.; Dulamsuren, C.; Hauck, M. Equations for Estimating the Above-Ground Biomass of Larix Sibirica in the Forest-Steppe of Mongolia. J. For. Res. 2013, 24, 431–437. [Google Scholar] [CrossRef]
- Grime, J.P. Plant Strategies, Vegetation Processes, and Ecosystem Properties; Environmental Science, Biology; John Wiley & Sons: Hoboken, NJ, USA, 2006. [Google Scholar]
- West, G.B.; Brown, J.H.; Enquist, B.J. A General Model for the Structure and Allometry of Plant Vascular Systems. Nature 1999, 400, 664–667. [Google Scholar] [CrossRef]
- West, G.B.; Brown, J.H.; Enquist, B.J. A General Model for the Origin of Allometric Scaling Laws in Biology. Science 1997, 276, 122–126. [Google Scholar] [CrossRef]
- Paton, D.; Nuñez, J.; Bao, D.; Muñoz, A. Forage Biomass of 22 Shrub Species from Monfragüe Natural Park (SW Spain) Assessed by Log–Log Regression Models. J. Arid Environ. 2002, 52, 223–231. [Google Scholar] [CrossRef]
- Yuen, J.Q.; Fung, T.; Ziegler, A.D. Review of Allometric Equations for Major Land Covers in SE Asia: Uncertainty and Implications for above- and below-Ground Carbon Estimates. For. Ecol. Manag. 2016, 360, 323–340. [Google Scholar] [CrossRef]
- Chen, J.; Fang, X.; Wu, A.; Xiang, W.; Lei, P.; Ouyang, S. Allometric Equations for Estimating Biomass of Natural Shrubs and Young Trees of Subtropical Forests. New For. 2024, 55, 15–46. [Google Scholar] [CrossRef]
- Abich, A.; Mucheye, T.; Tebikew, M.; Gebremariam, Y.; Alemu, A. Species-Specific Allometric Equations for Improving Aboveground Biomass Estimates of Dry Deciduous Woodland Ecosystems. J. For. Res. 2019, 30, 1619–1632. [Google Scholar] [CrossRef]
- Qiu, R.C.; Miao, Y.L.; Zhang, M.; Li, H.; Sun, H. Modeling and verification of maize biomass based on linear regression anaysis. Trans. CSAE 2018, 34, 131–137. [Google Scholar] [CrossRef]
- Raich, J.W.; Russell, A.E.; Kitayama, K.; Parton, W.J.; Vitousek, P.M. Temperature Influences Carbon Accumulation in Moist Tropical Forests. Ecology 2006, 87, 76–87. [Google Scholar] [CrossRef] [PubMed]
- Riofrío, J.; Herrero, C.; Grijalva, J.; Bravo, F. Aboveground Tree Additive Biomass Models in Ecuadorian Highland Agroforestry Systems. Biomass Bioenergy 2015, 80, 252–259. [Google Scholar] [CrossRef]
- Dong, L.; Zhang, Y.; Zhang, Z.; Xie, L.; Li, F. Comparison of Tree Biomass Modeling Approaches for Larch (Larix Olgensis Henry) Trees in Northeast China. Forests 2020, 11, 202. [Google Scholar] [CrossRef]









| Site | Longitude (E) | Latitude (N) | Annual Temperature/°C | Min Temperature/°C | Max Temperature/°C | Annual Rainfall/mm | Soil Type | Plant Space/m | Trial Size |
|---|---|---|---|---|---|---|---|---|---|
| Nanjing | 119°9′16″ | 31°36′46″ | 16.4 | −10 | 37 | 1204.3 | yellow loam | 0.5 × 0.5 | 892 |
| Parameter | Sample Size | Min. | Max. | Range | Mean | SD | CV/% |
|---|---|---|---|---|---|---|---|
| PH (cm) | 885 | 103.00 | 235.00 | 132.00 | 181.44 | 17.74 | 9.78 |
| GD (mm) | 5.98 | 19.62 | 13.64 | 13.24 | 2.01 | 15.19 | |
| FW (g) | 22.25 | 375.95 | 353.70 | 157.82 | 60.76 | 38.50 | |
| WMS (g) | 11.55 | 170.75 | 159.20 | 80.77 | 23.67 | 29.31 | |
| WTB (g) | 0.00 | 301.65 | 301.65 | 77.04 | 49.51 | 64.27 | |
| WFB (g) | 0.00 | 299.20 | 299.20 | 75.17 | 48.30 | 64.25 | |
| WSB (g) | 0.00 | 49.65 | 49.65 | 1.86 | 4.41 | 236.82 | |
| NFB | 0.00 | 23.00 | 23.00 | 6.44 | 3.87 | 60.16 | |
| NSB | 0.00 | 11.00 | 11.00 | 0.68 | 1.41 | 206.77 | |
| WMS/FW | 0.17 | 1.00 | 0.83 | 0.55 | 0.17 | 30.63 | |
| WTB/FW | 0.00 | 0.83 | 0.83 | 0.45 | 0.17 | 37.85 |
| Value | Parameter | PH | GD | NFB | NSB |
|---|---|---|---|---|---|
| VIF value | PH | - | 1.313 | 1.001 | 1.001 |
| GD | 1.313 | - | 1.134 | 1.033 | |
| NFB | 1.001 | 1.134 | - | 1.055 | |
| NSB | 1.001 | 1.033 | 1.055 | - |
| Plant Type | Number of Models | Variable | Function | Model | adj R2 | AMR | RMSE | AIC |
|---|---|---|---|---|---|---|---|---|
| Single-stemmed | M1 | GD (mm) | linear | −89.254 + 14.994 × GD | 0.7547 | 8.2753 | 11.5529 | 139.5674 |
| M2 | PH (cm) | linear | −89.2289 + 0.9011 × PH | 0.4799 | 12.5228 | 16.8229 | 152.3449 | |
| M3 | GD (mm) | power | 0.5717 × GD2.0313 | 0.7520 | 7.9675 | 11.6163 | 139.7537 | |
| M4 | PH (cm) | power | 0.001256 × PH0.474703 | 0.4940 | 11.9686 | 16.5939 | 151.8788 | |
| M5 | GD (mm) | exponential | 11.66273 × e0.16778×GD | 0.7415 | 8.1886 | 11.8608 | 140.4619 | |
| M6 | PH (cm) | exponential | 10.458999 × e0.010688×PH | 0.5034 | 11.7908 | 16.4386 | 151.5592 | |
| First-branched | M7 | GD (mm) | linear | −118.0284 + 20.4825 × GD | 0.5373 | 30.3384 | 38.0425 | 6188.4420 |
| M8 | PH (cm) | linear | −138.2263 + 1.5877 × PH | 0.2460 | 37.9849 | 48.5632 | 6486.8093 | |
| M9 | NFB (count) | linear | 105.2827 + 7.3416 × NFB | 0.2203 | 39.3610 | 49.3842 | 6507.2940 | |
| M10 | GD (mm) | power | 1.38538 × GD1.81498 | 0.5423 | 30.0709 | 37.8377 | 6181.8457 | |
| M11 | PH (cm) | power | 0.00597 × PH0.15643 | 0.2421 | 38.1137 | 48.6885 | 6489.9570 | |
| M12 | NFB (count) | power | 93.07986 × NFB0.28511 | 0.2254 | 39.4878 | 49.2232 | 6503.3047 | |
| M13 | GD (mm) | exponential | 26.392691 × e0.130215×GD | 0.5392 | 30.3318 | 37.9664 | 6185.9965 | |
| M14 | PH (cm) | exponential | 20.2828 × e0.01067×PH | 0.2356 | 38.2771 | 48.8970 | 6495.1793 | |
| M15 | NFB (count) | exponential | 115.4 × e0.04135×NFB | 0.2031 | 39.6735 | 49.9256 | 6520.6188 | |
| Second-branched | M16 | GD (mm) | linear | −131.94 + 22.79 × GD | 0.4641 | 36.9922 | 45.7992 | 2703.0155 |
| M17 | PH (cm) | linear | −126.9487 + 1.7016 × PH | 0.2137 | 42.8030 | 55.4764 | 2801.5444 | |
| M18 | NFB (count) | linear | 116.6239 + 8.3883 × NFB | 0.2731 | 42.3882 | 53.3412 | 2781.3707 | |
| M19 | NSB (count) | linear | 164.133 + 7.529 × NSB | 0.0345 | 49.5459 | 61.4762 | 2854.3284 | |
| M20 | GD (mm) | power | 1.822 × GD1.7505 | 0.4672 | 36.7482 | 45.6676 | 2701.5364 | |
| M21 | PH (cm) | power | 0.02423 × PH1.71461 | 0.2123 | 42.8130 | 55.5273 | 2802.0162 | |
| M22 | NFB (count) | power | 91.59733 × NFB0.34908 | 0.2717 | 42.2365 | 53.3912 | 2781.8525 | |
| M23 | NSB (count) | power | 168.49783 × NSB0.11372 | 0.0344 | 49.3556 | 61.4801 | 2854.3606 | |
| M24 | GD (mm) | exponential | 33.425143 × e0.121141×GD | 0.4628 | 36.8447 | 45.8564 | 2703.6568 | |
| M25 | PH (cm) | exponential | 32.738980 × e0.00938×PH | 0.2082 | 42.9067 | 55.6729 | 2803.3622 | |
| M26 | NFB (count) | exponential | 131.2 × e0.0404×NFB | 0.2601 | 42.9116 | 53.8176 | 2785.9410 | |
| M27 | NSB (count) | exponential | 166.05339 × e0.03769×NSB | 0.0335 | 49.5853 | 61.5089 | 2854.6016 |
| Plant Type | Number of Models | Variable | Model | adj R2 | AMR | RMSE | AIC |
|---|---|---|---|---|---|---|---|
| Single-stemmed | M28 | PH, GD | 0.65878 × PH−0.04224 × GD2.06403 | 0.7330 | 8.0541 | 11.2208 | 141.7487 |
| First-branched | M29 | PH, GD | 0.04184 × PH0.76849 × GD1.62038 | 0.5669 | 29.2461 | 36.7479 | 6149.1357 |
| M30 | PH, NFB | 0.0013373 × PH2.143829 × NFB0.2907575 | 0.4984 | 30.5206 | 39.5453 | 6238.7903 | |
| M31 | GD, NFB | 1.85901 × GD1.59945 × NFB0.15714 | 0.6099 | 27.4503 | 34.8724 | 6085.1222 | |
| M32 | PH, GD, NFB | 0.010371 × PH1.15862 × GD1.250581 × NFB0.190707 | 0.6627 | 25.5405 | 32.3746 | 5997.3081 | |
| Second-branched | M33 | PH, GD | 0.05619 × PH0.77712 × GD1.5353 | 0.5021 | 34.7678 | 43.9728 | 2685.1083 |
| M34 | PH, NFB | 0.006992 × PH1.822947 × NFB0.346552 | 0.5089 | 33.4632 | 43.6738 | 2681.6003 | |
| M35 | PH, NSB | 0.01443 × PH1.79633 × NFB0.13901 | 0.2716 | 40.5132 | 53.1880 | 2782.9024 | |
| M36 | GD, NFB | 2.20095 × GD1.49342 × NFB0.24835 | 0.6033 | 31.2947 | 39.2517 | 2626.7298 | |
| M37 | GD, NSB | 2.01224 × GD1.70305 × NSB0.03917 | 0.4704 | 36.4646 | 45.3533 | 2700.9963 | |
| M38 | NFB, NSB | 90.48203 × NFB0.33657 × NSB0.05557 | 0.2792 | 41.9256 | 52.9091 | 2780.1999 | |
| M39 | PH, GD, NFB | 0.01798 × PH1.07279 × GD1.18201 × NFB0.2701 | 0.6680 | 27.4081 | 35.7664 | 2581.9485 | |
| M40 | PH, GD, NSB | 0.04731 × PH0.84888 × GD1.44434 × NSB^0.05774 | 0.5110 | 34.2005 | 43.4058 | 2681.4509 | |
| M41 | PH, NFB, NSB | 0.005093 × PH1.879635 × NFB0.329125 × NSB0.083416 | 0.5295 | 32.3366 | 42.5757 | 2671.5259 | |
| M42 | GD, NFB, NSB | 2.240458 × GD1.485723 × NFB0.246951 × NSB0.007962 | 0.6019 | 31.2828 | 39.1635 | 2628.5872 | |
| M43 | PH, GD, NFB, NSB | 0.01635 × PH1.10962 × GD1.14101 × NFB0.26604 × NSB0.02936 | 0.6695 | 27.3795 | 35.5435 | 2581.7529 |
| Plant Type | Number of Models | Variable | Model | adj R2 | AMR | RMSE | AIC |
|---|---|---|---|---|---|---|---|
| Single-stemmed | M1 | GD | −89.254 + 14.994 × GD | 0.7547 | 8.2753 | 11.5529 | 139.5674 |
| M44 | PH, GD | −92.31803 + 14.42325 × GD + 0.05036 × PH | 0.7366 | 8.0453 | 11.1464 | 141.5227 | |
| First-branched | M7 | GD | −118.0284 + 20.4825 × GD | 0.5373 | 30.3384 | 38.0425 | 6188.4420 |
| M45 | GD, NFB | −111.1329 + 18.1047 × GD + 3.992 × NFB | 0.5955 | 28.1244 | 35.5126 | 6107.3536 | |
| M46 | GD, NFB, PH | −200.504 + 14.22424 × GD + 4.74834 × NFB + 0.7471 × PH | 0.6329 | 26.9029 | 33.7758 | 6049.0851 | |
| Second-branched | M16 | GD | −131.94 + 22.79 × GD | 0.4641 | 36.9922 | 45.7992 | 2703.0155 |
| M47 | GD, NFB | −135.1219 + 19.6094 × GD + 6.0419 × NFB | 0.5991 | 31.6873 | 39.4557 | 2629.3932 | |
| M48 | GD, NFB, PH | −255.6368 + 15.2791 × GD + 6.62 × NFB + 0.9682 × PH | 0.6538 | 28.4586 | 36.5250 | 2592.7359 | |
| M49 | GD, NFB, PH, NSB | −262.7903 + 14.6867 × GD + 6.4681 × NFB + 1.0191 × PH + 3.1043 × NSB | 0.6592 | 28.1342 | 36.0939 | 2589.6514 |
| Plant Type | Number of Models | Regression Equation | Intercept | Coefficient | adj R2 |
|---|---|---|---|---|---|
| Single-stemmed | M1 | 0.7854x + 17.7427 | p < 0.001 | 0.1 | 0.8074 |
| Single-stemmed | M28 | 0.7777x + 18.4189 | p < 0.001 | 0.1 | 0.8086 |
| Single-stemmed | M44 | 0.7860x + 17.6952 | p < 0.001 | 0.1 | 0.8077 |
| First-branched | M10 | 0.5443x + 68.2393 | p < 0.001 | p < 0.001 | 0.7506 |
| First-branched | M32 | 0.67136x + 49.10486 | p < 0.001 | p < 0.001 | 0.7722 |
| First-branched | M46 | 0.63528x + 54.62628 | p < 0.001 | p < 0.001 | 0.7675 |
| Second-branched | M20 | 0.47162x + 96.03041 | p < 0.001 | p < 0.001 | 0.7486 |
| Second-branched | M43 | 0.67697x + 58.68191 | p < 0.001 | p < 0.001 | 0.7786 |
| Second-branched | M49 | 0.66585x + 60.72916 | p < 0.001 | p < 0.001 | 0.7758 |
| Plant Type | Number of Models | Function | Variable | adj R2 | AMR | RMSE | AIC |
|---|---|---|---|---|---|---|---|
| Single-stemmed | M1 | linear | GD | 0.7582 | 8.2899 | 12.9620 | 125.2333 |
| Single-stemmed | M28 | multiple power | PH, GD | 0.7409 | 8.0984 | 13.3771 | 126.6291 |
| Single-stemmed | M44 | multiple linear | PH, GD | 0.7433 | 8.1061 | 13.3424 | 126.6930 |
| First-branched | M10 | power | GD | 0.5423 | 30.0711 | 37.9619 | 5564.0003 |
| First-branched | M32 | multiple power | PH, GD, NFB | 0.6629 | 25.5261 | 32.5833 | 5397.9424 |
| First-branched | M46 | multiple linear | PH, GD, NFB | 0.6331 | 26.8934 | 33.9949 | 5444.5853 |
| Second-branched | M20 | power | GD | 0.4673 | 36.7384 | 46.0272 | 2431.7251 |
| Second-branched | M43 | multiple power | PH, GD, NFB, NSB | 0.6703 | 27.3385 | 36.2197 | 2323.7875 |
| Second-branched | M49 | multiple linear | PH, GD, NFB, NSB | 0.6598 | 28.0965 | 36.7975 | 2331.1340 |
Disclaimer/Publisher’s Note: The statements, opinions and data contained in all publications are solely those of the individual author(s) and contributor(s) and not of MDPI and/or the editor(s). MDPI and/or the editor(s) disclaim responsibility for any injury to people or property resulting from any ideas, methods, instructions or products referred to in the content. |
© 2024 by the authors. Licensee MDPI, Basel, Switzerland. This article is an open access article distributed under the terms and conditions of the Creative Commons Attribution (CC BY) license (https://creativecommons.org/licenses/by/4.0/).
Share and Cite
Fu, W.; Niu, C.; Hu, C.; Zhang, P.; Chen, Y. Constructing and Validating Estimation Models for Individual-Tree Aboveground Biomass of Salix suchowensis in China. Forests 2024, 15, 1371. https://doi.org/10.3390/f15081371
Fu W, Niu C, Hu C, Zhang P, Chen Y. Constructing and Validating Estimation Models for Individual-Tree Aboveground Biomass of Salix suchowensis in China. Forests. 2024; 15(8):1371. https://doi.org/10.3390/f15081371
Chicago/Turabian StyleFu, Wei, Chaoyue Niu, Chuanjing Hu, Peiling Zhang, and Yingnan Chen. 2024. "Constructing and Validating Estimation Models for Individual-Tree Aboveground Biomass of Salix suchowensis in China" Forests 15, no. 8: 1371. https://doi.org/10.3390/f15081371
APA StyleFu, W., Niu, C., Hu, C., Zhang, P., & Chen, Y. (2024). Constructing and Validating Estimation Models for Individual-Tree Aboveground Biomass of Salix suchowensis in China. Forests, 15(8), 1371. https://doi.org/10.3390/f15081371

