The Growth and Physiological Responses of Gleditsia sinensis Lam. Seedlings with Different Phosphorus Efficiencies to Low Phosphorus Stress
Abstract
1. Introduction
2. Materials and Methods
2.1. Experimental Materials
2.2. Experimental Design
2.3. Measurement Indicators and Methods
2.4. Data Analysis
3. Results
3.1. Effects of Low P Stress on Agronomic Traits of G. sinensis Seedlings with Different P Efficiencies
3.2. Effects of Low P Stress on Biomass and Root-to-Shoot Ratio of G. sinensis Seedlings with Different P Efficiencies
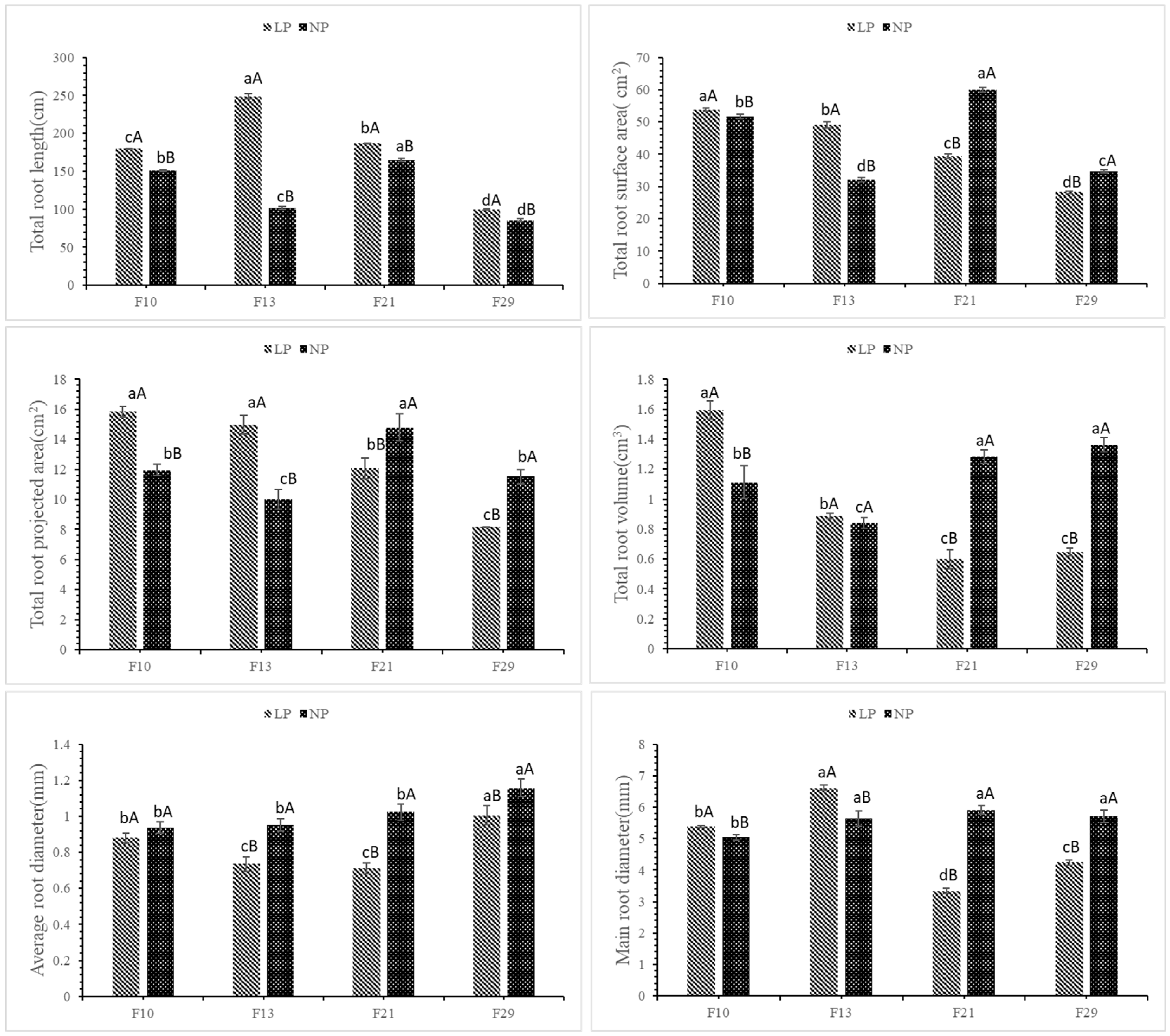
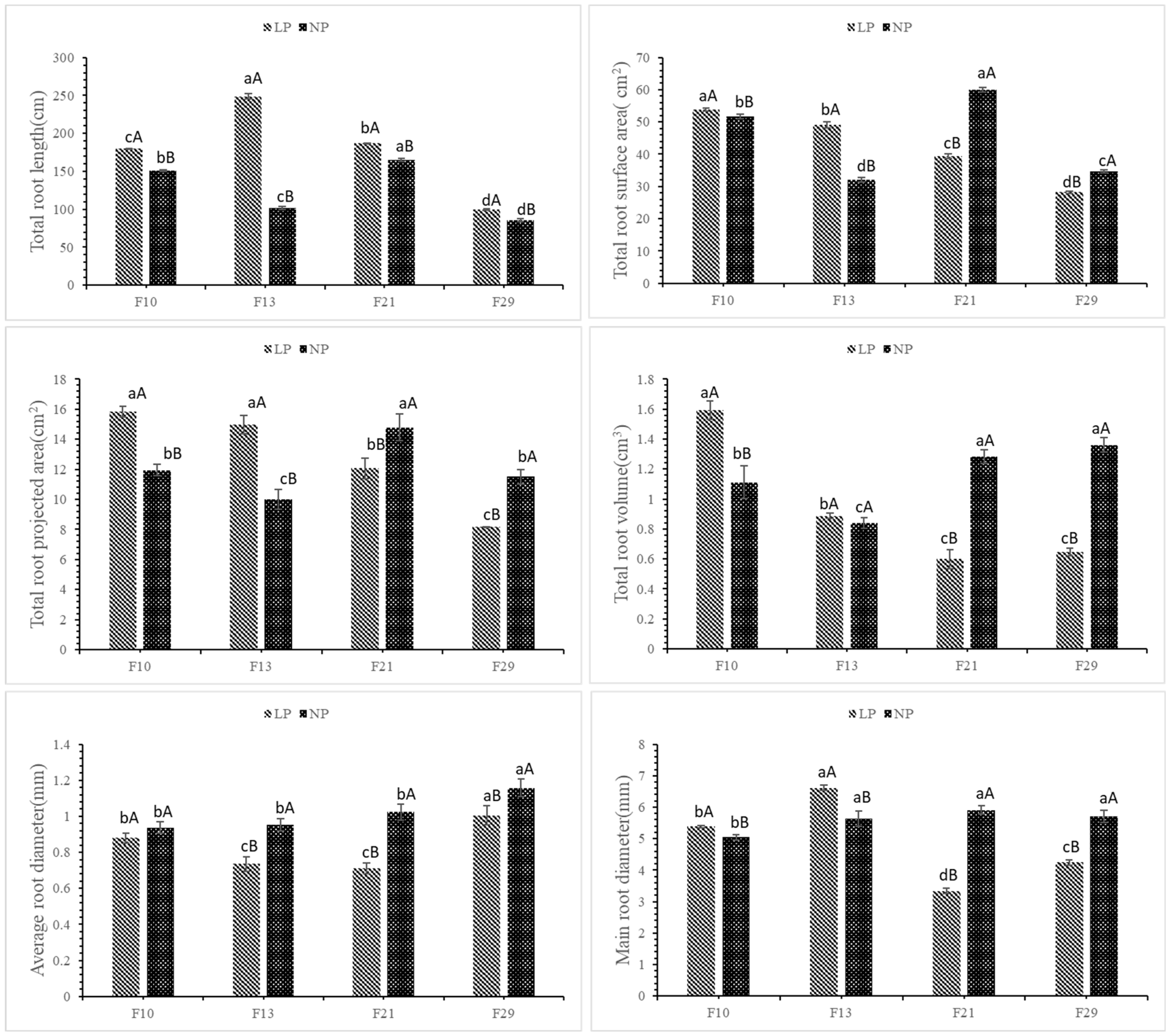
3.3. Effects of Low P Stress on Root Morphology of G. sinensis Seedlings with Different P Efficiencies
3.4. Effects of Low P Stress on Gas Exchange Parameters in G. sinensis Leaves
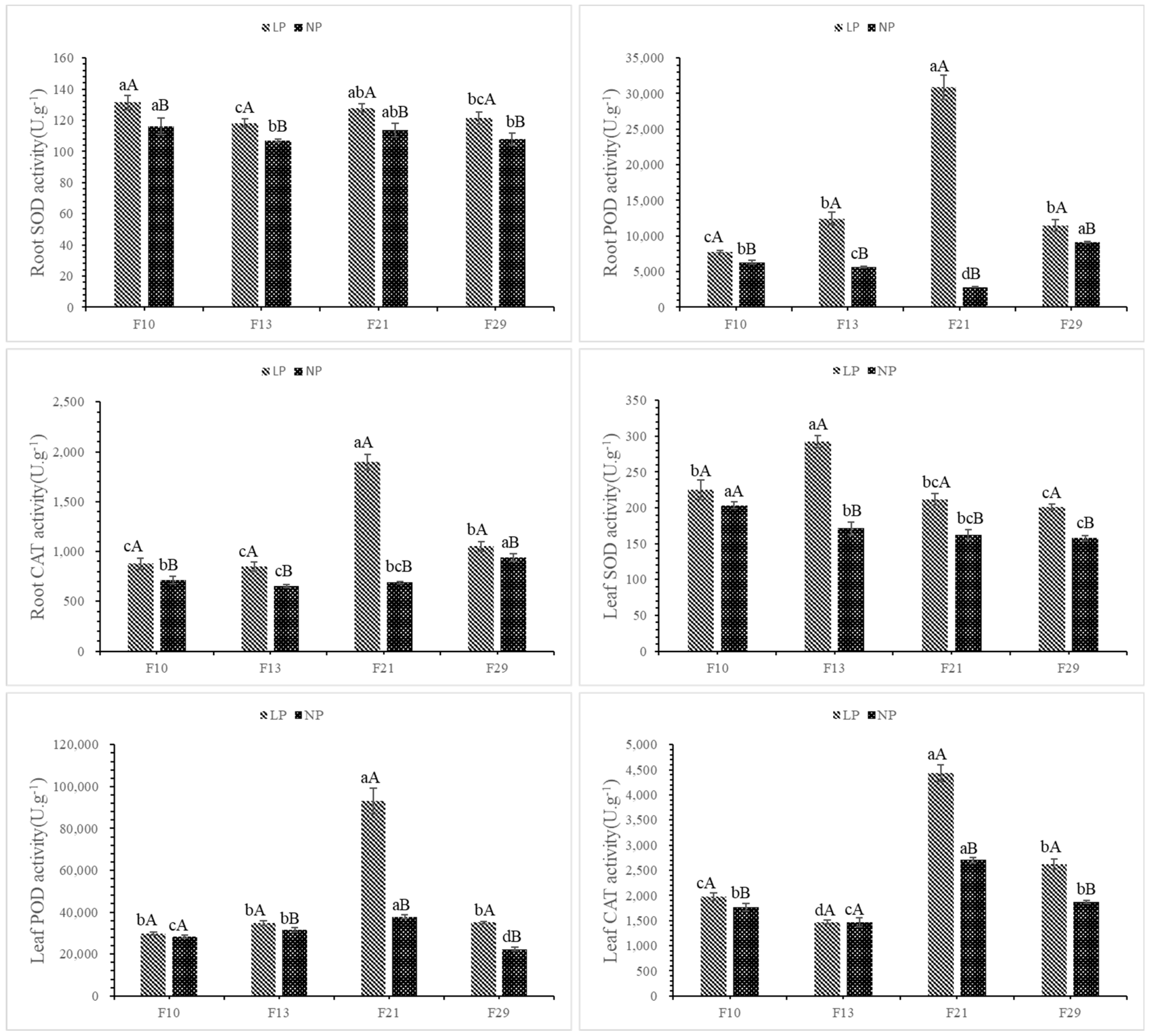
3.5. Effects of Low P Stress on Physiological Enzyme Activities in G. sinensis Seedlings with Different P Efficiencies
3.5.1. Effects of Low P Stress on Acid Phosphatase Activity in G. sinensis Seedlings with Different P Efficiencies
3.5.2. Effects of Low P Stress on Malondialdehyde Content in G. sinensis Seedlings with Different P Efficiencies
3.5.3. Effects of Low P Stress on the Activity of Cell Protective Enzymes in G. sinensis Seedlings with Different P Efficiencies
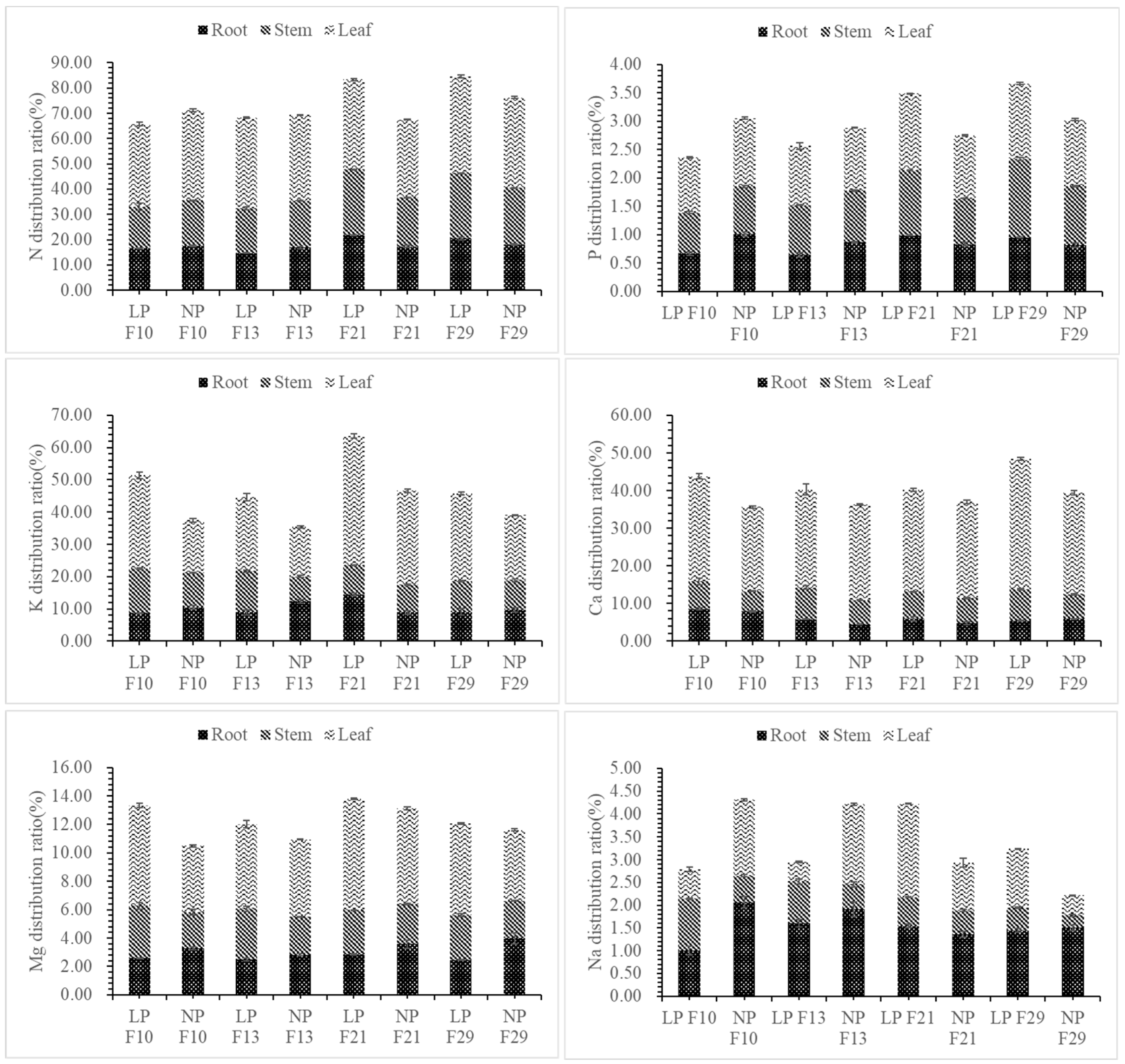
3.6. Effects of Low P Stress on Mineral Elements of G. sinensis Seedlings with Different P Efficiencies
3.6.1. Effects of Low P Stress on the Elemental Composition of the Root System in G. sinensis Seedlings with Different P Efficiencies
3.6.2. Effects of Low P Stress on the Elemental Composition of Stem Segments in G. sinensis Seedlings with Different P Efficiencies
3.6.3. Effects of Low P Stress on the Elemental Composition of Leaves in G. sinensis Seedlings with Different P Efficiencies
3.7. Effects of Low P Stress on P Absorption Efficiency and Utilization Efficiency in G. sinensis Seedlings with Different P Efficiencies
3.8. Effects of Low P Stress on Element Allocation in G. sinensis Seedlings with Different P Efficiencies
4. Discussion
4.1. Changes in Plant Growth and Root Morphology under Low P Stress
4.2. Changes in Plant Photosynthetic Capacity under Low P Stress
4.3. Changes in Physiological Enzyme Activities of Plants under Low P Stress
4.4. Changes in Plant Nutrients under Low P Stress
4.5. Changes in Plant P Utilization Efficiency under Low P Stress
5. Conclusions
Author Contributions
Funding
Data Availability Statement
Conflicts of Interest
References
- Abel, S.; Ticconi, C.A.; Delatorre, C.A. Phosphate Sensing in Higher Plants. Physiol. Plant. 2002, 115, 1–8. [Google Scholar] [CrossRef] [PubMed]
- Shen, J.; Yuan, L.; Zhang, J.; Li, H.; Bai, Z.; Chen, X.; Zhang, W.; Zhang, F. Phosphorus Dynamics: From Soil to Plant. Plant Physiol. 2011, 156, 997–1005. [Google Scholar] [CrossRef] [PubMed]
- Bates, T.R.; Lynch, J.P. Plant Growth and Phosphorus Accumulation of Wild Type and Two Root Hair Mutants of Arabidopsis thaliana (Brassicaceae). Am. J. Bot. 2000, 87, 958–963. [Google Scholar] [CrossRef] [PubMed]
- O’Rourke, J.A.; Yang, S.S.; Miller, S.S.; Bucciarelli, B.; Liu, J.; Rydeen, A.; Bozsoki, Z.; Uhde-Stone, C.; Tu, Z.J.; Allan, D.; et al. An RNA-Seq Transcriptome Analysis of Orthophosphate-Deficient White Lupin Reveals Novel Insights into Phosphorus Acclimation in Plants. Plant Physiol. 2013, 161, 705–724. [Google Scholar] [CrossRef] [PubMed]
- Ciereszko, I.; Szczygła, A.; Żebrowska, E. Phosphate Deficiency Affects Acid Phosphatase Activity and Growth of Two Wheat Varieties. J. Plant Nutr. 2011, 34, 815–829. [Google Scholar] [CrossRef]
- Paszkowski, U.; Kroken, S.; Roux, C.; Briggs, S.P. Rice Phosphate Transporters Include an Evolutionarily Divergent Gene Specifically Activated in Arbuscular Mycorrhizal Symbiosis. Proc. Natl. Acad. Sci. USA 2002, 99, 13324–13329. [Google Scholar] [CrossRef] [PubMed]
- Haran, S.; Logendra, S.; Seskar, M.; Bratanova, M.; Raskin, I. Characterization of Arabidopsis Acid Phosphatase Promoter and Regulation of Acid Phosphatase Expression. Plant Physiol. 2000, 124, 615–626. [Google Scholar] [CrossRef] [PubMed]
- Plaxton, W.C.; Tran, H.T. Metabolic Adaptations of Phosphate-Starved Plants. Plant Physiol. 2011, 156, 1006–1015. [Google Scholar] [CrossRef]
- Zhang, Z.; Liao, H.; Lucas, W.J. Molecular Mechanisms Underlying Phosphate Sensing, Signaling, and Adaptation in Plants. J. Integr. Plant Biol. 2014, 56, 192–220. [Google Scholar] [CrossRef]
- Luo, J.; Liu, Y.; Zhang, H.; Wang, J.; Chen, Z.; Luo, L.; Liu, G.; Liu, P. Metabolic Alterations Provide Insights into Stylosanthes Roots Responding to Phosphorus Deficiency. BMC Plant Biol. 2020, 20, 85. [Google Scholar] [CrossRef]
- Li, J.; Luo, D.; Ma, G.; Jia, L.; Xu, J.; Huang, H.; Tong, Z.; Lu, Y.-Q. Response of Chinese Fir Seedlings to Low Phosphorus Stress and Analysis of Gene Expression Differences. J. For. Res. 2019, 30, 183–192. [Google Scholar] [CrossRef]
- Gu, W.; Lan, Y.; Sun, C. Research advances and utilization development of Gleditsia sinensis in world. Sci. Silvae Sin. 2003, 39, 127–133. [Google Scholar]
- Liu, Y.; Xu, W.; Lei, F.; Li, P.; Jiang, J. Comparison and Characterization of Galactomannan at Different Developmental Stages of Gleditsia sinensis Lam. Carbohydr. Polym. 2019, 223, 115127. [Google Scholar] [CrossRef]
- Li, J.; Shang, X.; Ma, J.; Zhang, G. Research on morphological characteristics change of quercetin and polyphenols of accumulation dynamic of spines of Gleditsia sinensis. China J. Chin. Mater. Medica 2018, 43, 3249–3254. [Google Scholar] [CrossRef]
- Wang, X.; Shen, J.; Liao, H. Acquisition or Utilization, Which Is More Critical for Enhancing Phosphorus Efficiency in Modern Crops? Plant Sci. 2010, 179, 302–306. [Google Scholar] [CrossRef]
- Zhang, Y.; Chen, F.; Chen, X.; Long, L.; Gao, K.; Yuan, L.; Zhang, F.; Mi, G. Genetic Improvement of Root Growth Contributes to Efficient Phosphorus Acquisition in Maize (Zea mays L.). J. Integr. Agric. 2013, 12, 1098–1111. [Google Scholar] [CrossRef]
- Niu, Y.F.; Chai, R.S.; Jin, G.L.; Wang, H.; Tang, C.X.; Zhang, Y.S. Responses of Root Architecture Development to Low Phosphorus Availability: A Review. Ann. Bot. 2013, 112, 391–408. [Google Scholar] [CrossRef]
- Yang, A.; Kong, L.; Wang, H.; Yao, X.; Xie, F.; Wang, H.; Ao, X. Response of Soybean Root to Phosphorus Deficiency under Sucrose Feeding: Insight from Morphological and Metabolome Characterizations. BioMed Res. Int. 2020, 2020, e2148032. [Google Scholar] [CrossRef]
- Svistoonoff, S.; Creff, A.; Reymond, M.; Sigoillot-Claude, C.; Ricaud, L.; Blanchet, A.; Nussaume, L.; Desnos, T. Root Tip Contact with Low-Phosphate Media Reprograms Plant Root Architecture. Nat. Genet. 2007, 39, 792–796. [Google Scholar] [CrossRef]
- Müller, J.; Toev, T.; Heisters, M.; Teller, J.; Moore, K.L.; Hause, G.; Dinesh, D.C.; Bürstenbinder, K.; Abel, S. Iron-Dependent Callose Deposition Adjusts Root Meristem Maintenance to Phosphate Availability. Dev. Cell 2015, 33, 216–230. [Google Scholar] [CrossRef]
- Jing, J.; Zhang, F.; Rengel, Z.; Shen, J. Localized Fertilization with P plus N Elicits an Ammonium-Dependent Enhancement of Maize Root Growth and Nutrient Uptake. Field Crops Res. 2012, 133, 176–185. [Google Scholar] [CrossRef]
- Wang, J.; Chen, Y.; Wang, P.; Li, Y.S.; Wang, G.; Liu, P.; Khan, A. Leaf Gas Exchange, Phosphorus Uptake, Growth and Yield Responses of Cotton Cultivars to Different Phosphorus Rates. Photosynthetica 2018, 56, 1414–1421. [Google Scholar] [CrossRef]
- El Mazlouzi, M.; Morel, C.; Robert, T.; Yan, B.; Mollier, A. Phosphorus Uptake and Partitioning in Two Durum Wheat Cultivars with Contrasting Biomass Allocation as Affected by Different P Supply during Grain Filling. Plant Soil 2020, 449, 179–192. [Google Scholar] [CrossRef]
- Marschner, P.; Solaiman, Z.; Rengel, Z. Brassica Genotypes Differ in Growth, Phosphorus Uptake and Rhizosphere Properties under P-Limiting Conditions. Soil Biol. Biochem. 2007, 39, 87–98. [Google Scholar] [CrossRef]
- Teng, W.; Deng, Y.; Chen, X.-P.; Xu, X.-F.; Chen, R.-Y.; Lv, Y.; Zhao, Y.-Y.; Zhao, X.-Q.; He, X.; Li, B.; et al. Characterization of Root Response to Phosphorus Supply from Morphology to Gene Analysis in Field-Grown Wheat. J. Exp. Bot. 2013, 64, 1403–1411. [Google Scholar] [CrossRef] [PubMed]
- Li, M.; Zhou, J.; Lang, X.; Han, D.; Hu, Y.; Ding, Y.; Wang, G.; Guo, J.; Shi, L. Integrating Transcriptomic and Metabolomic Analysis in Roots of Wild Soybean Seedlings in Response to Low-Phosphorus Stress. Front. Plant Sci. 2022, 13, 1006806. [Google Scholar] [CrossRef] [PubMed]
- Li, K.; Xu, Z.; Zhang, K.; Yang, A.; Zhang, J. Efficient Production and Characterization for Maize Inbred Lines with Low-Phosphorus Tolerance. Plant Sci. 2007, 172, 255–264. [Google Scholar] [CrossRef]
- Ramaekers, L.; Remans, R.; Rao, I.M.; Blair, M.W.; Vanderleyden, J. Strategies for Improving Phosphorus Acquisition Efficiency of Crop Plants. Field Crops Res. 2010, 117, 169–176. [Google Scholar] [CrossRef]
- Zheng, Q.; Hu, J.; Tan, Q.; Hu, H.; Sun, C.; Lei, K.; Tian, Z.; Dai, T. Improved Chloroplast Pi Allocation Helps Sustain Electron Transfer to Enhance Photosynthetic Low-Phosphorus Tolerance of Wheat. Plant Physiol. Biochem. 2023, 201, 107880. [Google Scholar] [CrossRef]
- Osmont, K.S.; Sibout, R.; Hardtke, C.S. Hidden Branches: Developments in Root System Architecture. Annu. Rev. Plant Biol. 2007, 58, 93–113. [Google Scholar] [CrossRef]
- Hernández, G.; Ramírez, M.; Valdés-López, O.; Tesfaye, M.; Graham, M.A.; Czechowski, T.; Schlereth, A.; Wandrey, M.; Erban, A.; Cheung, F.; et al. Phosphorus Stress in Common Bean: Root Transcript and Metabolic Responses. Plant Physiol. 2007, 144, 752–767. [Google Scholar] [CrossRef] [PubMed]
- Bichara, S.; Mazzafera, P.; de Andrade, S.A.L. Root Morphological Changes in Response to Low Phosphorus Concentration in Eucalypt Species. Trees 2021, 35, 1933–1943. [Google Scholar] [CrossRef]
- Müller, J.; Gödde, V.; Niehaus, K.; Zörb, C. Metabolic Adaptations of White Lupin Roots and Shoots under Phosphorus Deficiency. Front. Plant Sci. 2015, 6, 1014. [Google Scholar] [CrossRef] [PubMed]
- Wissuwa, M.; Gamat, G.; Ismail, A.M. Is Root Growth under Phosphorus Deficiency Affected by Source or Sink Limitations? J. Exp. Bot. 2005, 56, 1943–1950. [Google Scholar] [CrossRef] [PubMed]
- Żebrowska, E.; Bujnowska, E.; Ciereszko, I. Differential Responses of Oat Cultivars to Phosphate Deprivation: Plant Growth and Acid Phosphatase Activities. Acta Physiol. Plant. 2012, 34, 1251–1260. [Google Scholar] [CrossRef]
- Carstensen, A.; Herdean, A.; Schmidt, S.B.; Sharma, A.; Spetea, C.; Pribil, M.; Husted, S. The Impacts of Phosphorus Deficiency on the Photosynthetic Electron Transport Chain. Plant Physiol. 2018, 177, 271–284. [Google Scholar] [CrossRef] [PubMed]
- Farquhar, G.D.; Sharkey, T.D. Stomatal Conductance and Photosynthesis. Annu. Rev. Plant Physiol. 1982, 33, 317–345. [Google Scholar] [CrossRef]
- Medlyn, B.E.; Duursma, R.A.; Eamus, D.; Ellsworth, D.S.; Prentice, I.C.; Barton, C.V.M.; Crous, K.Y.; De Angelis, P.; Freeman, M.; Wingate, L. Reconciling the Optimal and Empirical Approaches to Modelling Stomatal Conductance: Reconciling optimal and empirical stomatal models. Glob. Chang. Biol. 2011, 17, 2134–2144. [Google Scholar] [CrossRef]
- Chu, S.; Li, H.; Zhang, X.; Yu, K.; Chao, M.; Han, S.; Zhang, D. Physiological and Proteomics Analyses Reveal Low-Phosphorus Stress Affected the Regulation of Photosynthesis in Soybean. Int. J. Mol. Sci. 2018, 19, 1688. [Google Scholar] [CrossRef]
- Chea, L.; Meijide, A.; Meinen, C.; Pawelzik, E.; Naumann, M. Cultivar-Dependent Responses in Plant Growth, Leaf Physiology, Phosphorus Use Efficiency, and Tuber Quality of Potatoes Under Limited Phosphorus Availability Conditions. Front. Plant Sci. 2021, 12, 723862. [Google Scholar] [CrossRef]
- Kayoumu, M.; Iqbal, A.; Muhammad, N.; Li, X.; Li, L.; Wang, X.; Gui, H.; Qi, Q.; Ruan, S.; Guo, R.; et al. Phosphorus Availability Affects the Photosynthesis and Antioxidant System of Contrasting Low-P-Tolerant Cotton Genotypes. Antioxidants 2023, 12, 466. [Google Scholar] [CrossRef] [PubMed]
- Iqbal, A.; Huiping, G.; Qiang, D.; Xiangru, W.; Hengheng, Z.; Xiling, Z.; Meizhen, S. Differential Responses of Contrasting Low Phosphorus Tolerant Cotton Genotypes under Low Phosphorus and Drought Stress. BMC Plant Biol. 2023, 23, 168. [Google Scholar] [CrossRef] [PubMed]
- Guo, S.; Chen, G.; Zhou, Y.; Shen, Q. Ammonium Nutrition Increases Photosynthesis Rate under Water Stress at Early Development Stage of Rice (Oryza sativa L.). Plant Soil 2007, 296, 115–124. [Google Scholar] [CrossRef]
- Gao, Y.; Li, Y.; Yang, X.; Li, H.; Shen, Q.; Guo, S. Ammonium Nutrition Increases Water Absorption in Rice Seedlings (Oryza sativa L.) under Water Stress. Plant Soil 2010, 331, 193–201. [Google Scholar] [CrossRef]
- Hayes, J.E.; Zhu, Y.-G.; Mimura, T.; Reid, R.J. An Assessment of the Usefulness of Solution Culture in Screening for Phosphorus Efficiency in Wheat. Plant Soil 2004, 261, 91–97. [Google Scholar] [CrossRef]
- Hunter, D.A.; Leung, D.W.M. Enhancement of Acid Phosphatase Activity in Capsicum annuum L. Plants in Response to Phosphate Deficiency. J. Plant Nutr. Soil Sci. 2001, 164, 219–223. [Google Scholar] [CrossRef]
- Li, P.; Weng, J.; Rehman, A.; Niu, Q. Root Morphological and Physiological Adaptations to Low Phosphate Enhance Phosphorus Efficiency at Melon (Cucumis melo L.) Seedling Stage. Horticulturae 2022, 8, 636. [Google Scholar] [CrossRef]
- Qiu, Z.-B.; Guo, J.-L.; Zhang, M.-M.; Lei, M.-Y.; Li, Z.-L. Nitric Oxide Acts as a Signal Molecule in Microwave Pretreatment Induced Cadmium Tolerance in Wheat Seedlings. Acta Physiol. Plant. 2013, 35, 65–73. [Google Scholar] [CrossRef]
- Sarker, B.C.; Karmoker, J.L. Effects of Phosphorus Deficiency on Accumulation of Biochemical Compounds in Lentil (Lens Culinaris Medik.). Bangladesh J. Bot. 2011, 40, 23–27. [Google Scholar] [CrossRef]
- Chen, W.; Zhou, M.; Zhao, M.; Chen, R.; Tigabu, M.; Wu, P.; Li, M.; Ma, X. Transcriptome Analysis Provides Insights into the Root Response of Chinese Fir to Phosphorus Deficiency. BMC Plant Biol. 2021, 21, 525. [Google Scholar] [CrossRef]
- Aziz, T.; Lambers, H.; Nicol, D.; Ryan, M.H. Mechanisms for Tolerance of Very High Tissue Phosphorus Concentrations in Ptilotus polystachyus. Plant Cell Environ. 2015, 38, 790–799. [Google Scholar] [CrossRef] [PubMed]
- Cai, F.; Zhang, Y.; Hou, T.; Zhang, M.; Wang, J.; Chen, B. Phosphorus Uptake Mechanisms Associated with Phosphorus Application Levels in Two Cotton Cultivars. Front. Environ. Sci. 2023, 11, 1127920. [Google Scholar] [CrossRef]
- Yan, H.; Liu, W.; Liu, X.; Li, G.; Zhang, S. Comparison of Rhizosphere Impacts of Two Wheat Genotypes Differing in Phosphorus Utilization Efficiency. Can. J. Plant Sci. 2010, 90, 311–317. [Google Scholar] [CrossRef]
- Rao, I.M.; Terry, N. Leaf Phosphate Status, Photosynthesis, and Carbon Partitioning in Sugar Beet: I. Changes in Growth, Gas Exchange, and Calvin Cycle Enzymes. Plant Physiol. 1989, 90, 814–819. [Google Scholar] [CrossRef] [PubMed]
- Hu, X.; Zhang, L.; Zhang, D.; Niu, D.; Fu, H. Effect of Phosphorus Efficiency on Elemental Stoichiometry of Two Shrubs. Plant Biol. 2020, 22, 615–622. [Google Scholar] [CrossRef]
- Peng, Z.; Li, C. Transport and Partitioning of Phosphorus in Wheat as Affected by P Withdrawal during Flag-Leaf Expansion. Plant Soil 2005, 268, 1–11. [Google Scholar] [CrossRef]








| Indicators | Different P Efficiency Families | ||||
|---|---|---|---|---|---|
| F10 | F13 | F21 | F29 | ||
| Plant height/cm | LP | 21.87 aA | 15.67 bA | 15.47 bB | 13.53 cB |
| NP | 22.80 aA | 16.90 cA | 19.67 bA | 18.07 cA | |
| LP/NP | 0.96 a | 0.93 a | 0.69 b | 0.86 a | |
| Stem diameter/mm | LP | 4.04 aA | 4.34 aB | 2.60 bB | 2.74 bB |
| NP | 3.55 bB | 4.70 aA | 3.72 bA | 4.63 aA | |
| LP/NP | 1.14 a | 0.92 b | 0.70 c | 0.59 d | |
| Number of leaves/leaf | LP | 22.67 aB | 23.33 aA | 18.67 bA | 16.00 cA |
| NP | 32.67 aA | 20.67 bB | 18.67 bA | 19.33 bA | |
| LP/NP | 0.70 d | 1.13 a | 1.00 b | 0.83 c | |
| Leaf length/mm | LP | 12.00 aA | 11.96 aA | 8.65 bA | 10.84 aA |
| NP | 11.98 aA | 12.76 aA | 10.46 bA | 12.76 aA | |
| LP/NP | 1.00 a | 0.94 a | 0.83 a | 0.85 a | |
| Leaf width/mm | LP | 6.21 aA | 5.73 abB | 5.59 bB | 5.22 bB |
| NP | 6.49 aA | 6.44 aA | 6.47 aA | 6.58 aA | |
| LP/NP | 0.96 a | 0.89 ab | 0.87 ab | 0.79 b | |
| Compound leaf number/leaf | LP | 11.00 aB | 6.33 bA | 6.33 bA | 7.00 bA |
| NP | 16.67 aA | 6.67 bA | 9.00 bA | 7.67 bA | |
| LP/NP | 0.66 a | 0.95 a | 0.73 a | 0.92 a | |
| Compound leaf length/cm | LP | 8.83 aA | 7.10 bA | 5.50 cB | 6.00 bcA |
| NP | 9.67 aA | 6.40 bcA | 7.47 bA | 5.47 cA | |
| LP/NP | 0.92 ab | 1.12 a | 0.74 b | 1.10 a | |
| Compound leaf width/cm | LP | 2.37 aA | 2.33 aA | 2.03 aB | 2.10 aA |
| NP | 2.47 aA | 2.40 aA | 2.37 aA | 2.17 aA | |
| LP/NP | 0.96 a | 0.97 a | 0.86 b | 0.97 a | |
| SPAD value | LP | 57.27 bA | 60.37 aA | 53.60 cA | 60.73 aB |
| NP | 57.37 bA | 60.93 bA | 57.63 bA | 71.37 aA | |
| LP/NP | 1.00 a | 0.99 a | 0.93 b | 0.85 c | |
| Indicators | Different P Efficiency Families | ||||
|---|---|---|---|---|---|
| F10 | F13 | F21 | F29 | ||
| N (g·kg−1) | LP | 16.61 ± 0.12 cB | 14.72 ± 0.23 dB | 21.88 ± 0.13 aA | 20.38 ± 0.55 bA |
| NP | 17.58 ± 0.29 abA | 16.85 ± 0.36 cA | 17.34 ± 0.45 bcB | 18.12 ± 0.23 aB | |
| P (g·kg−1) | LP | 0.67 ± 0.04 cB | 0.65 ± 0.03 cB | 0.99 ± 0.01 aA | 0.95 ± 0.01 aA |
| NP | 1.01 ± 0.04 aA | 0.87 ± 0.02 cA | 0.83 ± 0.04 cB | 0.82 ± 0.03 cB | |
| K (g·kg−1) | LP | 8.79 ± 0.05 bB | 8.89 ± 0.72 bB | 14.41 ± 0.5 aA | 9.08 ± 0.94 bA |
| NP | 10.45 ± 0.59 bA | 12.31 ± 0.57 aA | 8.88 ± 0.54 cB | 9.66 ± 0.73 bcA | |
| Ca (g·kg−1) | LP | 8.58 ± 0.20 aA | 5.82 ± 0.08 bA | 5.91 ± 0.58 bA | 5.39 ± 0.06 bB |
| NP | 7.91 ± 0.27 aB | 4.40 ± 0.11 cB | 4.81 ± 0.44 cA | 5.87 ± 0.04 bA | |
| Mg (g·kg−1) | LP | 2.57 ± 0.03 bB | 2.49 ± 0.09 bcB | 2.84 ± 0.04 aB | 2.46 ± 0.02 cB |
| NP | 3.27 ± 0.13 bcA | 2.82 ± 0.08 cA | 3.57 ± 0.29 abA | 3.98 ± 0.38 aA | |
| Na (g·kg−1) | LP | 1.00 ± 0.11 cB | 1.60 ± 0.08 aB | 1.55 ± 0.03 abA | 1.45 ± 0.04 bA |
| NP | 2.07 ± 0.12 aA | 1.91 ± 0.17 aA | 1.36 ± 0.06 bB | 1.50 ± 0.07 bA | |
| Indicators | Different P Efficiency Families | ||||
|---|---|---|---|---|---|
| F10 | F13 | F21 | F29 | ||
| N (g·kg−1) | LP | 16.42 ± 1.37 bA | 17.69 ± 0.45 bA | 25.92 ± 0.12 aA | 25.88 ± 0.11 aA |
| NP | 17.92 ± 0.2 dA | 18.52 ± 0.14 cA | 19.41 ± 0.1 bB | 22.32 ± 0.19 aB | |
| P (g·kg−1) | LP | 0.73 ± 0.01 dB | 0.87 ± 0.01 cB | 1.14 ± 0.01 bA | 1.39 ± 0.02 aA |
| NP | 0.84 ± 0.01 cA | 0.91 ± 0.01 bA | 0.81 ± 0.01 dB | 1.04 ± 0.01 aB | |
| K (g·kg−1) | LP | 13.66 ± 0.19 aA | 12.8 ± 0.42 bA | 9.12 ± 0.18 cA | 9.52 ± 0.26 cA |
| NP | 10.94 ± 0.01 aB | 7.74 ± 0.41 cB | 8.63 ± 0.26 bA | 9.23 ± 0.45 bA | |
| Ca (g·kg−1) | LP | 7.32 ± 0.89 bA | 8.41 ± 0.45 aA | 7.21 ± 0.1 bA | 8.36 ± 0.23 aA |
| NP | 5.34 ± 0.07 bB | 6.48 ± 0.07 aB | 6.65 ± 0.21 aB | 6.54 ± 0.15 aB | |
| Mg (g·kg−1) | LP | 3.71 ± 0.24 aA | 3.59 ± 0.19 aA | 3.13 ± 0.02 bA | 3.17 ± 0.09 bA |
| NP | 2.53 ± 0.2 aB | 2.68 ± 0.03 aB | 2.81 ± 0.05 aB | 2.64 ± 0.03 aB | |
| Na (g·kg−1) | LP | 1.13 ± 0.02 aA | 0.92 ± 0.06 bA | 0.63 ± 0.01 cA | 0.50 ± 0.01 dA |
| NP | 0.58 ± 0.02 aB | 0.55 ± 0.06 aB | 0.52 ± 0.02 abB | 0.28 ± 0.03 cB | |
| Indicators | Different P Efficiency Families | ||||
|---|---|---|---|---|---|
| F10 | F13 | F21 | F29 | ||
| N (g·kg−1) | LP | 32.67 ± 0.72 cB | 35.98 ± 0.31 bA | 35.6 ± 0.44 bA | 38.46 ± 0.58 aA |
| NP | 35.56 ± 0.61 aA | 34.13 ± 0.07 bB | 30.76 ± 0.08 cB | 35.83 ± 0.31 aB | |
| P (g·kg−1) | LP | 0.97 ± 0.01 cB | 1.05 ± 0.06 bA | 1.35 ± 0.01 aA | 1.33 ± 0.02 aA |
| NP | 1.20 ± 0.02 aA | 1.11 ± 0.01 bA | 1.11 ± 0.02 bB | 1.17 ± 0.02 aB | |
| K (g·kg−1) | LP | 28.94 ± 1.05 bA | 22.98 ± 1.14 dA | 40.04 ± 0.73 aA | 27.12 ± 0.43 cA |
| NP | 16.05 ± 0.52 cB | 15.33 ± 0.3 cB | 29.07 ± 0.49 aB | 20.14 ± 0.15 bB | |
| Ca (g·kg−1) | LP | 27.91 ± 0.62 bA | 26.06 ± 1.45 cA | 27.01 ± 0.4 bcA | 34.69 ± 0.35 aA |
| NP | 22.42 ± 0.3 cB | 25.37 ± 0.16 bA | 25.55 ± 0.44 bB | 27.02 ± 0.51 aB | |
| Mg (g·kg−1) | LP | 7.04 ± 0.17 bA | 5.95 ± 0.25 dA | 7.83 ± 0.05 aA | 6.43 ± 0.06 cA |
| NP | 4.69 ± 0.08 dB | 5.46 ± 0.03 bB | 6.73 ± 0.12 aB | 5.01 ± 0.10 cB | |
| Na (g·kg−1) | LP | 0.65 ± 0.04 cB | 0.43 ± 0.02 dB | 2.05 ± 0.01 aA | 1.29 ± 0.00 bA |
| NP | 1.66 ± 0.03 aA | 1.75 ± 0.03 aA | 1.05 ± 0.09 bB | 0.44 ± 0.01 cB | |
Disclaimer/Publisher’s Note: The statements, opinions and data contained in all publications are solely those of the individual author(s) and contributor(s) and not of MDPI and/or the editor(s). MDPI and/or the editor(s) disclaim responsibility for any injury to people or property resulting from any ideas, methods, instructions or products referred to in the content. |
© 2024 by the authors. Licensee MDPI, Basel, Switzerland. This article is an open access article distributed under the terms and conditions of the Creative Commons Attribution (CC BY) license (https://creativecommons.org/licenses/by/4.0/).
Share and Cite
Lu, C.; Zou, R.; Wang, X.; Zhao, Y.; Xiao, F. The Growth and Physiological Responses of Gleditsia sinensis Lam. Seedlings with Different Phosphorus Efficiencies to Low Phosphorus Stress. Forests 2024, 15, 1343. https://doi.org/10.3390/f15081343
Lu C, Zou R, Wang X, Zhao Y, Xiao F. The Growth and Physiological Responses of Gleditsia sinensis Lam. Seedlings with Different Phosphorus Efficiencies to Low Phosphorus Stress. Forests. 2024; 15(8):1343. https://doi.org/10.3390/f15081343
Chicago/Turabian StyleLu, Chunyun, Rong Zou, Xiurong Wang, Yang Zhao, and Feng Xiao. 2024. "The Growth and Physiological Responses of Gleditsia sinensis Lam. Seedlings with Different Phosphorus Efficiencies to Low Phosphorus Stress" Forests 15, no. 8: 1343. https://doi.org/10.3390/f15081343
APA StyleLu, C., Zou, R., Wang, X., Zhao, Y., & Xiao, F. (2024). The Growth and Physiological Responses of Gleditsia sinensis Lam. Seedlings with Different Phosphorus Efficiencies to Low Phosphorus Stress. Forests, 15(8), 1343. https://doi.org/10.3390/f15081343

