You are currently viewing a new version of our website. To view the old version click .
Forests
  • Article
  • Open Access

25 July 2024

Genome-Wide Identification of WRKY in Suaeda australis against Salt Stress

,
,
,
and
1
Fishery College, Zhejiang Ocean University, Zhoushan 316022, China
2
School of Teacher Education, Nanjing Xiaozhuang University, Nanjing 211171, China
*
Author to whom correspondence should be addressed.
These authors contributed equally to this work.
This article belongs to the Special Issue Abiotic Stress in Tree Species

Abstract

Suaeda australis is a typical halophyte due to its high salt tolerance. The WRKY gene family plays crucial roles in responding to salt stress, yet reports on WRKY genes in S. australis are scarce. In this study, we identified 47 WRKY genes in the S. australis genome. We then conducted comprehensive analyses, including investigations into their chromosomal locations, gene structures, phylogenetic relationships, promoter regions, conserved motifs, and expression profiles. The 47 WRKY genes were classified into three main groups (with six subfamilies). Among nine chromosomes, S. australis displayed an unequal pattern of distribution. The analysis of regulatory elements revealed that WRKY promoters were associated with light responsiveness, anaerobic induction, drought inducibility, meristem expression, and gibberellin responsiveness. Expression pattern analyses highlighted the role of several SaWRKYs, including Sau00527, Sau00681, Sau18413, Sau19293, Sau00810, Sau05901, Sau09209, Sau12457, and Sau14103. These genes exhibited higher expression levels under ST2 compared to ST1, indicating a significant response to salt stress. Higher SOD, POD, and CAT activity, as well as increased MDA and H2O2 content, were observed in ST2, in line with the expression patterns and our RTq-PCR results. Our study offers a profound understanding of the evolutionary development of S. australis WRKY members, clarifying their vital functions in responding to salt stress. Along with crucial genomic data, these findings establish a solid foundation for investigating the mechanisms of salt-stress regulation in S. australis. This research holds substantial scientific and ecological importance, offering potential contributions to the conservation of S. australis and the utilization of saline soil resources.

1. Introduction

Coastal wetlands play a vital role in mitigating climate change, storing carbon, and supporting biodiversity [1]. The ecological functions of coastal wetlands are closely correlated to vegetation presence [2]. Nevertheless, in recent years, significant changes in salinity levels in coastal wetlands have directly hindered plant growth and even caused plant mortality, leading to the loss of ecological functions in one-third of these areas. [3].
Suaeda australis, a member of the Suaeda genus within the Chenopodiaceae family, primarily grows in subtropical and tropical coastal regions in China, Japan, and Oceania [4]. S. australis stands out as a quintessential halophyte capable of ameliorating saline–alkali coastal marshlands, mitigating pollutants, and safeguarding coastlines [5]. In past decades, extreme salinity fluctuations in coastal wetlands have increased the salinity of the intertidal zone; consequently, the habitat range of S. australis has gradually shifted to the supratidal zone with lower salinity [6]. Furthermore, there has been a substantial decline in the S. australis population within the supratidal zone in recent years [7]. Thus, it is imperative to conduct an in-depth investigation into the salt-tolerance mechanisms of S. australis to enhance its stress tolerance.
Transcription factors (TFs) are crucial in regulating the transcription of downstream genes by binding to specific regions within their promoters through DNA-binding domains. Among the vast array of gene families associated with plant development and stress responses, the WRKY gene family stands out as a significant player; encoding TFs play crucial roles in pathogen defense, abiotic stress response, phytohormone signaling, the regulation of plant development, and secondary metabolism [8,9,10]. The number of WRKY gene family members can vary widely across different model plant species, such as Oryza sativa (103) [9], Arabidopsis thaliana (72) [10], Zea mays (140) [11], Vitis vinifera (59) [12], and Solanum lycopersicum (81) [13]. WRKY TFs are composed of approximately 60 amino acids, distinguished by a unique WRKY domain characterized by the conserved signature WRKYGQK at the N-terminus and a C2H2/C2HC zinc motif at the C-terminus [11]. WRKY TFs can regulate the expression of target genes by selectively binding to W-box elements [with the sequence TGACC(A/T)] situated in their promoter regions, leading to the activation of stress responses [8]. The WRKY gene family is categorized into three major groups (I, II, and III) based on the number of WRKY domains and the structure of the zinc-finger motifs in their proteins [10,11,12]. Group I consists of WRKY proteins with two WRKY domains featuring a C2H2 motif [13]. Group II comprises five further subgroups, namely IIa, IIb, IIc, IId, and IIe. The remaining WRKY proteins are categorized under Group III, and are distinguished by having a WRKY domain and a C2HC zinc-finger-like motif [14]. Additionally, there is strong evidence indicating that some WRKY TFs are crucial in signaling pathways and gene expression regulation during the salt-stress response [15]. For instance, transgenic Arabidopsis plants overexpressing TaWRKY2 exhibited increased tolerance to salt and drought compared to controls, while the overexpression of TaWRKY19 resulted in tolerance to salt, drought, and freezing stresses [16]. In grape (Vitis vinifera), the enhanced resistance of plants to salt stress was observed upon the overexpression of VvWRKY30. The overexpression of VvWRKY30 in Arabidopsis increased resistance to salt stress at different growth stages. Under salinity stress, VvWRKY30-overexpressing lines had higher antioxidant activities and lower reactive oxygen species contents [17]. In wheat (Triticum aestivum), WRKY transcription factors are crucial in adaptation to salt stresses. For instance, TaWRKY75-A was notably induced by polyethylene glycol and salt treatments. The ectopic expression of TaWRKY75-A in Arabidopsis can enhance drought and salt tolerance [18].
To date, there are no reports on the functional characterization of WRKY TFs in Suaeda. In this study, we identified all WRKY genes in S. australis and analyzed their gene structure, genomic distribution, and expression patterns under salt stress. Through transcriptome analysis and reverse-transcription quantitative RTq-PCR, we identified a set of potential WRKY genes that are responsive to salt stress. This research provides insight into the gene structures, phylogenetic relationships, and expression patterns of WRKYs in S. australis, reveals the functional roles of SaWRKY genes under salt stress, and offers a valuable theoretical basis for the preservation of S. australis.

2. Materials and Methods

2.1. Plant Materials, cDNA Synthesis, and Transcriptome Sequencing

In our study, samples of S. australis were initially grown in Dinghai District, Zhoushan City, Zhejiang Province, China (E122°11′, N30°02′). The growth conditions were maintained at 28 °C with long-day conditions of 14 h of light and 10 h of dark. The samples were later transferred to Fishery College, Zhejiang Ocean University. The plants underwent salt treatment (ST) at two concentrations: ST1 involved a soil salt concentration of 171 mM, while ST2 utilized 308 mM. Leaf specimens were gathered on 24 October 2022 from one-year-old S. australis plants during their reproductive development stage. The leaves were promptly frozen in liquid nitrogen and kept at a temperature of −80 °C. Each leaf sample was composed of three biological replicates, with each replicate containing tissues from three separate specimens. The extraction of total RNA was performed using the E.Z.N.A Plant RNA Isolation Kit (Omega Bio-tek Inc., Norcross, GA, USA), and the RNA concentration and purity were analyzed with a NanoDrop spectrophotometer 2000C from Thermo Fisher Scientific (Waltham, MA, USA). RNA integrity was evaluated by 1.0% agarose gel electrophoresis. RNA samples exhibiting OD260/OD280 ratios ranging from 1.8 to 2.0 were reverse-transcribed into cDNA utilizing the PrimeScript™ RT reagent kit complete with a gDNA Eraser (TaKaRa Biotechnology Co., Ltd., Dalian, China). The cDNAs were diluted to a 1:10 concentration with RNase-free water and stored at −20 °C for later RTq-PCR analysis and cDNA library sequencing. The Illumina HiSeqTM2000 system (200 bp read length) was utilized for sequencing the cDNA libraries, and FastQC was employed for the initial quality analysis of the raw reads. The raw read dataset was cleaned by removing sequences of low quality (Q-scores less than 10%), short sequences (shorter than 50 bp), primer sequences, and adapter sequences.

2.2. Identification of SaWRKY Genes in S. australis

The complete protein sequence of S. australis was obtained from the Genome Warehouse (GWH) at the National Genomics Data Center, Beijing Institute of Genomics (https://ngdc.cncb.ac.cn/gwh, accessed on 20 July 2024). To identify WRKY proteins in S. australis, we used Arabidopsis WRKY protein sequences as a reference [10]. We applied the BLASTP tool [19] for local alignment (E value < 1 × 10−10) for a comprehensive search for WRKY proteins (Supplementary File S1). After an initial filtration, the hidden Markov model (HMM) for the WRKY domain (PF03106) was acquired from the Pfam database (http://pfam.xfam.org, accessed on 20 July 2024). Subsequently, this HMM profile was employed to search through the protein sequences of S. australis using HMMER v3.3.2, with a cut of 0.01 [20]. For further analysis, we rigorously filtered the sequences based on two criteria: first, we removed any incomplete sequences shorter than the conserved amino acid sequence WRKYGQK (60 amino acids); second, we excluded sequences with more than 10 consecutive ‘N’ characters from our investigation.

2.3. Chromosomal Location and Synteny Analysis of SaWRKY Genes

The distribution information of the SaWRKY genes on the chromosomes was identified using the MapGene2Chrom wb v2 tool (http://mg2c.iask.in/mg2c_v2.0, accessed on 20 July 2024) with S. australis genome annotations sourced from the GWH database. The synteny relationships of the SaWRKY genes in S. australis and three additional species (Brassica rapa, V. vinifera, and Populus tomentosa) were exhibited using the Multiple Collinearity Scan toolkit (MCScanX v.1.1.11) [21].

2.4. Phylogeny, Structural, and Motif Analyses of SaWRKY Genes

To determine the phylogenetic relationships of the SaWRKY family genes, we first performed a multiple sequence alignment of all SaWRKY full-length protein sequences using the MAFFT v.7.471 software [22]. We performed the alignment of SaWRKY sequences using the progressive alignment method G-INS-i (using the arguments “-globalpair” and “-maxiterate 1000”). We set the gap opening penalty to 1.53 and the gap extension penalty to 0.123. Based on the alignment FASTA format file, we then constructed phylogenetic trees for each gene using the maximum likelihood (ML) method with the RAxML-HPC v.8.0 software [23]. The amino acid (aa) substitution model GTRCAT was chosen, and the number of bootstrap replicates was set to 1000. The available information on exons and introns was gained from the S. australis genome sequences and then visualized by TBtools v2.096 [24] with coding sequences and genomic sequences. The motifs of each deduced SaWRKY protein were predicted by MEME suite v.5.4.1 software [25] with the following parameter: maximum number of motifs—10.

2.5. Prediction of Regulatory Elements of Promoter Region

We retrieved the 2000 bp sequences in the genome dataset situated before the SaWRKY genes [26]. Subsequently, the sequences were analyzed utilizing the PlantCARE promoter analysis tool (http://bioinformatics.psb.ugent.be/webtools/plantcare/html/, accessed on 20 July 2024). The default parameters of the tool were applied to predict the presence of diverse-acting regulatory elements.

2.6. Estimation of Ka/Ks Values

The SaWRKY gene pairs duplicated through tandem and segmental duplications were retrieved from the genome. Subsequently, we employed the KaKs_Calculator toolkit to compute the substitution rates for nonsynonymous (Ka) and synonymous (Ks) substitutions [27].

2.7. Expression Analysis of Selected SaWRKY Genes

The size of the S. australis assembled genome was 437.17 Mb, and 408.45 Mb (93.43%) of sequences were integrated into 9 pseudo-chromosomes with 24,371 annotated protein-coding genes. The genome sequences of S. australis were from the Genome Warehouse at the National Genomics Data Center, Beijing Institute of Genomics (https://ngdc.cncb.ac.cn/gwh/Assembly/reviewer/OpkDWhtDoPtEZlkphyVuIjMMoJyOVfzTimXVSABQPLBMyxGeIJKtrOzfCLtdUvuL, accessed on 20 July 2024, accession number GWHDOOL00000000). Following the rigorous process of adapter trimming and the quality control of the RNA-seq reads, the high-quality sequences obtained were aligned to the reference genomes via HiSAT2 [28] using default settings. Then, the StringTie [29] program was employed with default parameters to determine the expected number of fragments per kilobase of transcript sequence per million base pair fragments (FPKM) mapped. We carefully selected nine target genes (Sau00527, Sau00681, Sau00810, Sau05901, Sau09209, Sau12457, Sau14103, Sau18413, and Sau19293) exhibiting elevated expression levels under ST2 compared to ST1 for RTq-PCR evaluation. The RTq-PCR experiments were performed utilizing the SYBR qPCR Master MIX (Vazyme, Nanjing, China), and relative gene expression was calculated as per Chen’s procedure in [30].

2.8. Measurements of Physiological and Biochemical Traits

For the two treated materials (ST1 and ST2), we conducted assays to measure the activity of superoxide dismutase (SOD), peroxidase (POD), and catalase (CAT), as well as the levels of malondialdehyde (MDA) and hydrogen peroxide (H2O2), using the manufacturer’s instructions (Solarbio, Beijing, China). The content of malondialdehyde (MDA), the activity of proline (PRO), and the activity of superoxide dismutase (SOD) were determined using the relevant detection kits according to the manufacturer’s instructions (Solarbio, Beijing, China). SOD activity was measured at a wavelength of 560 nm using the SOD Activity Assay Kit. One unit of SOD activity was defined as the enzyme amount required to achieve a 50% inhibition of NBT reduction at 560 nm. POD activity was assessed using the POD Activity Assay Kit (Sanggon Biotech Co., Ltd., Shanghai, China) at a wavelength of 570 nm, where one unit of POD activity corresponded to a 0.01 change in A470 per minute. MDA content was measured using MDA Content Assay Kit (Sanggon Biotech Co., Ltd., Shanghai, China) at 532 and 600 nm wavelengths. H2O2 content was measured using the H2O2 Content Assay Kit (Sanggon Biotech Co., Ltd., Shanghai, China) at 535 and 587 nm wavelengths.

2.9. Statistical Analysis

We utilized SPSS 19.0 statistical software (SPSS Inc., Chicago, IL, USA) to conduct a one-way analysis of variance, employing Duncan’s test to assess the significance of the differences (p < 0.05).

3. Results

3.1. Genome-Wide Identification of the SaWRKY Gene Family in S. australis

WRKY members were detected in the S. australis genome using the HMM program and BLASTP analyses. The 47 genes were designated as SaWRKY01 to SaWRKY47 (Table 1), exhibiting variations in both the length of encoded proteins and mRNA transcript lengths. The CDS region lengths belonging to the 47 members ranged from 456 to 3537 bp, with the encoded proteins ranging from 151 (SaWRKY37) to 1178 (SaWRKY44) amino acids. The calculated isoelectric points (PIs) of the WRKY proteins varied significantly, with SaWRKY29 having the lowest value of 4.91 and SaWRKY05 the highest of 9.98. Meanwhile, the molecular masses of these proteins ranged from 16.77 (SaWRKY37) to 133.24 kDa (SaWRKY44).
Table 1. Physical and chemical properties of WRKY genes in Suaeda australis.
All of the SaWRKY genes were located on nine chromosomes (Chrs), as depicted in Figure 1. Chr4 contained more SaWRKY genes (10) than others. Chr3 and Chr5 each contained seven genes, while Chr6 contained five, and Chr2, Chr7, and Chr8 each contained four. Chr1 and Chr9 contained less SaWRKY genes (three) than the others. Additionally, we identified a total of 10 pairs of segmental duplicated genes among the SaWRKY genes in S. australis (Figure S1), and one pair of tandem duplicated genes (Sau16525 and Sau16526) (Figure 1).
Figure 1. The actual positions of the SaWRKY genes across all 9 chromosomes of S. australis. A total of 9 chromosomes with varying length are shown in relation to the Mb (million base pair) scale on the left, and individual chromosomes (bars) are labeled with respective SaWRKY genes.
We conducted syntenic analysis on three plant species (B. rapa, V. vinifera, and P. tomentosa) to investigate the evolutionary connections between WRKY genes in these three species (Figure 2). We identified 63, 43, and 57 orthologous gene pairs of SaWRKY genes between S. australis and B. rapa, S. australis and V. vinifera, and S. australis and P. tomentosa, respectively (Figure 2). Comparatively, 24 pairs of collinear genes were found to exist between S. australis and B. rapa; the numbers were 24 between S. australis and V. vinifera, and 34 between S. australis and P. tomentosa (Figure 2). Additionally, we observed 23 common collinear gene pairs shared among S. australis, B. rapa, V. vinifera, and P. tomentosa (Figure 2).
Figure 2. Synteny analysis of SaWRKY genes between S. australis and three other plant species (B. rapa, V. vinifera, and P. tomentosa). The gray lines in the background represent collinear blocks between S. australis and other plant genomes, and the syntenic SaWRKY gene pairs are highlighted in red.

3.2. Phylogeny, Structural, and Conserved Motif Analyses of SaWRKY Genes

Based on the protein sequences of SaWRKYs, we generated an ML phylogenetic tree to determine the evolutionary relationships of 60 SaWRKY genes of S. australis and 72 AtWRKY genes of Arabidopsis (Figure 3). The SaWRKY genes were categorized into three main groups, comprising six subfamilies according to their WRKY domains and zinc-finger structure patterns (Figure 3). The largest clade was Group I, which consisted of 21 SaWRKY family members with two WRKY domains and a C2H2 zinc-binding motif. The SaWRKY genes in Group II had one WRKY domain and a C2H2 motif. The group was further divided into four subfamilies: IIa, IIb, IIc, and IId, containing two, five, six, and six SaWRKYs, respectively. The remaining seven (14.89%) SaWRKYs belonged to Group III, and contained one WRKY domain and a C2CH zinc-binding motif. The evolutionary relationships between the families and subfamilies are illustrated in the evolutionary tree. Group III from A. thaliana (consisting of 15 AtWRKYs) contained only seven SaWRKY members, indicating that this group contracted during S. australis evolution (Figure 3). Compared with Group III, Group I and II significantly expanded numbers of SaWRKYs, with 21 and 19 members, respectively, of S. australis. In addition, A. thaliana also had the most members in Group I, and the expansion of Group I genes serves as a reference for the evolution of S. australis. Interestingly, the family members of Group II and Group III intersect in terms of branching, indicating that their genetic relationships may be relatively close. For example, Sau11144, belonging to Group IIb, may have closer genetic relationships with Sau21903 (Group IIa), Sau09640 (Group III), Sau19229 (Group IId), and Sau07238 (Group IIc), than with Sau05425 (Group I). The evolutionary relationship between Group IIb and Group I was distant. For instance, Sau00527, belonging to Group IIb, had the most distant genetic relationship with Sau14103 (Group I).
Figure 3. Phylogenetic tree of SaWRKY proteins in S. australis. An ML tree was constructed based on 47 SaWRKY sequences. The tree was then categorized into six groups, each represented by a distinct color.
An analysis of gene structure was conducted for the 47 SaWRKY genes in S. australis (Figure 4). We observed a relatively variable gene structure among SaWRKY members, with the exon number ranging from two to six. The majority of members (23/48.94%) had a total of three exons. Among them, the exon numbers varied from four to six, concentrated mainly in Group I and Group IIb. Obvious differences were found in relation to the other group members (which were mainly concentrated in the range of two to three). Additionally, certain SaWRKY members in the same group displayed comparable gene structures. For example, the exon count for members of Group IId and IIc, except for Sau11703, was three. In contrast, Sau21090 of Group III contained six exons, while the remaining members contained only three. These findings suggest that the gene structures of SaWRKY are visibly varied, even within the same subfamilies.
Figure 4. Phylogenetic relationships, gene structure, and architecture of conserved protein motifs of SaWRKY genes. (a) The phylogenetic relationships among SaWRKY proteins were analyzed using the ML method. (b) Gene structure analysis of the SaWRKY gene family was conducted; exons (blue rectangles) and introns (black lines) are illustrated with their respective lengths. (c) Motif prediction of SaWRKY proteins was conducted using MEME, with conserved motifs illustrated by various colored boxes. Motif 1 corresponds to WRKY domain (PF03106).
In the S. australis genome, ten distinct motifs were discovered altogether in the SaWRKY gene family (Figure 4). All SaWRKY genes possessed a WRKY domain (PF03106), which was represented by motif 1. Among the 47 SaWRKY genes, 42 contained at least three main motifs (motif 1, motif 2, and motif 3). Motif 8 and motif 9 were specific to the Group IIa and Group IIb subfamilies of the SaWRKY family. Members of the Group IIa subfamily shared the same set of motifs (motif 1, motif 2, motif 3, motif 8, and motif 9) in their gene structures. These observations indicated that genes within the same subfamily have highly similar conserved motifs, which may be associated with specific biological processes.

3.3. Estimation of Ka and Ks Substitution Rates and Ka/Ks Values

To assess the selection pressure on SaWRKY genes after duplication in evolution, we analyzed the ratio of Ka and Ks substitutions for each paralogous gene pair (Table S2 and Table 2). We detected one tandem duplication pair with a Ka/Ks value of 0.8407 (Sau16525 and Sau16526) and ten segmental duplication pairs with 16 SaWRKY genes in S. australis, indicating purifying selection following duplication. These findings suggest that these gene pairs evolved under the pressure of purifying selection, potentially contributing to the expansion of the WRKY gene family within S. australis.
Table 2. Tandem duplication events involving the WRKY gene pair in Suaeda australis.

3.4. Elements in the Promoters of Suaeda australis WRKY Genes

The promoters of the majority of SaWRKY genes (more than 40 members) contained cis-acting elements such as MYB, TATA-box, STRE, MYC, Box 4, and CAAT-box (Figure 5). Few elements (CAT-box, ATC-motif, TATC-box, F-box, P-box, and AACA_motif) were found in the promoters of few members (less than 10 members) (Table S1). Additionally, SaWRKY genes were associated with light responsiveness, anaerobic induction, drought inducibility, meristem expression, and gibberellin responsiveness, illustrating their capacity to respond to various stresses and regulate the process of plant growth. These discoveries offer a profound understanding of the regulation mechanisms of the SaWRKY gene family under stress conditions and during plant growth.
Figure 5. Elements in the promoters of SaWRKY genes in Suaeda australis. All promoter sequences (−1 to −2000 bp) were analyzed. Information on the functions of acting elements can be found in Table S1.

3.5. Expression Profiles of SaWRKY Genes in Relation to Salt Stress

RNA-seq was performed on the Illumina HiSeqTM2000 system. Leaves under two salt treatment levels (ST1 and ST2) were used for transcriptome profiling. In total, more than 27 million raw reads were obtained from each sample. After quality evaluation and filtration, the number of clean reads ranged from 27,179,940 to 30,399,735 with an average of 28,486,258, and the average value of Q30 was 95.82%, indicating that the clean reads were of high quality. After alignment with the S. australis genome sequence, more than 95% of the clean reads were mapped to the genome and paired-end reads were aligned to 24,371 S. australis annotated gene models.
A pairwise comparison between ST1 and ST2 samples identified 2434 DEGs. Among them, 1568 and 866 genes were, respectively, up-regulated and down-regulated in ST2 compared to ST1. Aiming to discover the potential roles of SaWRKY genes in S. australis under salt-stress conditions, we investigated a total of nine differentially expressed SaWRKY genes and constructed a heatmap using the fold-change FPKM values of these genes (Figure 6). Of the nine SaWRKY genes, all exhibited elevated expression levels under ST2 compared to ST1 (Figure 6). Additionally, we discovered that Group IId member Sau00681 and Group III member Sau19293 were both strongly expressed under ST2 (Figure 6). These findings suggest that differentially expressed SaWRKY genes may play a pivotal role in S. australis’s salt tolerance.
Figure 6. Heatmap illustrates the expression levels of 9 differentially expressed SaWRKY genes among ST1 and ST2 samples. Fold-change FPKM values were utilized to generate the heatmap.
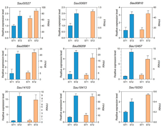
Additionally, nine SaWRKY genes—namely, Group IIb subfamily SaWRKY01 (Sau00527) gene; Group IId subfamily SaWRKY02 (Sau00681) gene; Group I subfamily SaWRKY03 (Sau00810), SaWRKY09 (Sau05901), SaWRKY19 (Sau09209), SaWRKY29 (Sau12457), SaWRKY33 (Sau14103) genes; and Group III subfamily SaWRKY39 (Sau18413) and SaWRKY43 (Sau19293) genes—were differently expressed under ST2 and ST1, and were selected for RTq-PCR analysis. On the whole, the FPKM values obtained through RNA-seq were in line with the relative expressions of the selected genes (Figure 7), confirming the trustworthiness of our transcriptomic results in portraying expression profiles.
Figure 7. Comparisons of expression patterns of nine SaWRKYs obtained by RTq-PCR and RNA-seq analysis between ST1 and ST2 samples of Suaeda australis. Color code: blue and pinkish plots represent relative expressions and FPKM, respectively.

3.6. Variations in Physiological and Biochemical Traits of S. australis under Salt Stress

Significant differences were observed in the SOD activity, POD activity, CAT activity, MDA content, and H2O2 content of S. australis between ST1 and ST2. Compared to S. australis under ST1, H2O2 content, MDA content, SOD activity, POD activity, and CAT activity in S. australis with ST2 increased by 73.1%, 117.8%, 42.7%, 55.3%, and 67.0%, respectively (Figure 8).
Figure 8. Comparisons of physiological and biochemical traits between ST1 and ST2 samples of Suaeda australis. * p value < 0.05.

4. Discussion

The WRKY TF family is crucial for plant growth, development, defense mechanisms, and abiotic stress response [31]. In this study, we identified 47 WRKY genes in the S. australis genome. The 47 identified SaWRKY proteins were classed into three groups with six subfamilies, consistent with the classification and identification results for A. thaliana [10]. Notably, previous research has documented the presence of WRKY genes in diverse plant species, among which black raspberry harbors 60 members [32], Cymbidium sinense has 64 members [33], Rhododendron simsii has 57 members [34], maize has 125 members, and Chrysanthemum lavandulifolium has 138 members [35]. Comparably to S. australis, the number of WRKY family members in Liriodendron chinense (44 WRKYs) and Akebia trifoliata (42 WRKYs) is also relatively small, suggesting the contraction of the WRKY family during evolution [36,37]. Additionally, S. australis’s genome size, standing at 437.17 Mb, is substantially greater than A. thaliana’s 119.67 Mb [38], indicating that there is no significant correlation between the two factors (genome size and the number of WRKY genes). Collectively, the number of WRKY genes is significantly different among plant species.
Except for Group IIa, the gene structures of SaWRKY members showed noticeable variations. Similar results have been reported in Melastoma dodecandrum and Acer truncatum [39]. The motif analysis identified 10 primary motifs in S. australis, labeled as motif 1 through motif 10 (Figure 4). Additionally, within the subfamilies, the motif compositions remained stable, yet they varied from one subfamily to another, suggesting that subfamily-specific motifs might influence the functional divergence of SaWRKY genes. These results align with previous studies on Prunus armeniaca [40] and Pisum sativum [41]. Furthermore, upon examining the promoter region, it was found that most elements in SaWRKY genes were associated with plant environmental response and endogenous signals. Expression profile analysis indicated that most genes, except for Sau12788 and Sau21903, belonging to Group IIa, exhibited diverse expression patterns under the two salt treatment conditions. The study indicated that a significant portion of genes within the same subfamily exhibited unique and diverse expression patterns throughout evolution [39,40,41]. These findings suggest that paralogous genes originating from the same origin may evolve to avoid redundancy in function, while simultaneously developing novel roles and subfunctions [42].
S. australis is a euhalophyte and possesses succulent leaves. It has a specialized structure that can effectively store water, reduce salt ion concentration, preserve the osmotic equilibrium within leaf cells, and significantly contribute to salt-stress tolerance [4]. Investigation of the physiological and biochemical traits of ST samples revealed that several parameters, including SOD activity, POD activity, CAT activity, MDA content, and H2O2 content, were significantly higher in ST2 individuals compared to ST1 ones (p < 0.05). To investigate the genes responding to different concentration stresses, we identified nine WRKY DEGs (Sau00527, Sau00681, Sau18413, Sau19293, Sau00810, Sau05901, Sau09209, Sau12457, and Sau14103) that exhibited higher expression patterns in ST2 leaves compared to ST1 leaves. Moreover, Sau00810, Sau05901, Sau09209, Sau12457, and Sau14103, all belonging to Group I, are known to respond to various stresses, including salt stress, drought, and pathogen infection [43,44]. These genes may enhance plant tolerance to these stresses by regulating the expression of downstream genes [45]. Group IIb gene Sau00527, as a receptor for abscisic acid (ABA), is essential for ABA-mediated responses, including the inhibition of germination and stomatal closure [46]; Sau18413 and Sau19293, belonging to Group III, play roles in the regulation of osmotic stress responses and stomatal movement [47]. These findings underscore the potential of SaWRKY genes in enhancing ecological resilience and agricultural productivity through targeted breeding or biotechnological interventions. Our study illuminates the multifaceted roles of SaWRKY genes in salt-stress adaptation and plant growth, providing insights that could inform strategies for ecological conservation and crop improvement in challenging environments.

5. Conclusions

S. australis, a characteristic euhalophyte, is commonly found in subtropical and tropical coastal areas. Previous studies have primarily focused on enhancing yield, quality, and stress tolerance in this species. The WRKY gene family plays a significant role in plant growth, development, and salt-stress tolerance. Our research revealed 47 members of the WRKY gene family in S. australis. Expression pattern analyses revealed the functions (salt-stress response) of several SaWRKYs, such as Sau00527, Sau00810, Sau05901, Sau07238, Sau07824, Sau09209, Sau10490, Sau12457, Sau14103, Sau18413, and Sau19106, which exhibited higher expression levels in response to higher salt concentrations compared to lower concentrations, indicating their clear adaptation to salt stress. Additionally, higher SOD, POD, and CAT activity, as well as increased MDA and H2O2 content, were observed in ST2, in line with the expression patterns and our RTq-PCR results. These discoveries deepen our comprehension of the role of WRKYs in salt stress and provide a basis for further exploring the molecular mechanisms of salt tolerance in S. australis.

Supplementary Materials

The following supporting information can be downloaded at: https://www.mdpi.com/article/10.3390/f15081297/s1, Figure S1. The SaWRKY genes are marked at the approximate position on the chromosomes. Table S1. Cis-element and corresponding functions of SaWRKY genes in Suaeda australis. Table S2. The segmental duplication events involving the WRKY gene pair in Suaeda australis. File S1. The SaWRKY genes are marked at the approximate position on the chromosomes.

Author Contributions

The experiments were conceptualized and designed by Y.Q., J.W. and X.Z. Sample collection and experimental work were handled by Y.Q., X.M., C.Q. and J.W., and Y.Q. analyzed and interpreted the sequencing data. Manuscript preparation was completed by Y.Q. and J.W. Funding for sequencing was provided by X.Z. All authors have read and agreed to the published version of the manuscript.

Funding

This research was funded by the National Key Research and Development Program of China (2023YFD2401903), Zhejiang Provincial Department of Water Resources Science and Technology Plan Project Foundation (RA2012), and the Youth Project of Zhejiang Natural Sciences Foundation (LQ24D060004).

Data Availability Statement

Six sets of raw transcriptome data were generated using the Illumina NovaSeq 6000 platform. These datasets have been deposited in the Genome Sequence Archive (SRA) database, accessible at https://ngdc.cncb.ac.cn/gsa/s/9B2l2maR, accessed on 20 July 2024, with the assigned accession number CRA011892. The genomic sequences of S. australis were obtained from the Genome Warehouse at the National Genomics Data Center, Beijing Institute of Genomics, China National Center for Bioinformation. These sequences can be found at https://ngdc.cncb.ac.cn/gwh/Assembly/reviewersPage/RJstEtiTCHQnYazrMBhcYEUkPbQvgQJYrZBHFjPngWwSQkdqMwKAlSiTAiUruVVj, accessed on 20 July 2024, accession number GWHDOOL00000000.

Acknowledgments

We thank Dejin Xie for providing sequencing materials.

Conflicts of Interest

The authors certify that they have no competing interests. The funding bodies did not participate in any aspect of the study, including its design, data collection, analysis, interpretation, manuscript writing, or the decision to publish.

References

  1. Serrano, O.; Lovelock, C.E.; Atwood, T.B.; Macreadie, P.I.; Canto, R.; Phinn, S.; Arias-Ortiz, A.; Bai, L.; Baldock, J.; Bedulli, C.; et al. Australian vegetated coastal ecosystems as global hotspots for climate change mitigation. Nat. Commun. 2019, 10, 4313. [Google Scholar] [CrossRef] [PubMed]
  2. Cresta, E.; Battisti, C. Anthropogenic litter along a coastal-wetland gradient: Reed-bed vegetation in the backdunes may act as a sink for expanded polystyrene. Mar. Pollut. Bull. 2021, 172, 112829. [Google Scholar] [CrossRef] [PubMed]
  3. Chi, Z.F.; Wang, W.J.; Li, H.; Wu, H.T.; Yan, B.X. Soil organic matter and salinity as critical factors affecting the bacterial community and function of Phragmites australis dominated riparian and coastal wetlands. Sci. Total Environ. 2021, 762, 143156. [Google Scholar] [CrossRef] [PubMed]
  4. Robinson, S.P.; Downton, W.J.S. Potassium, sodium and chloride ion concentrations in leaves and isolated chloroplasts of the halophyte Suaeda australis R. Br. Funct. Plant Biol. 1985, 12, 471–479. [Google Scholar] [CrossRef]
  5. Alam, M.R.; Tran, T.K.A.; Stein, T.J.; Rahman, M.M.; Griffin, A.S.; Yu, R.M.K.; MacFarlane, G.R. Accumulation and distribution of metal (loid) s in the halophytic saltmarsh shrub, Austral seablite, Suaeda australis in New South Wales, Australia. Mar. Pollut. Bull. 2021, 169, 112475. [Google Scholar] [CrossRef] [PubMed]
  6. Ye, X.Q.; Wu, M.; Wang, Q.; Jiang, K.Y.; Shao, X.X. Correlation of seed germination capacities under salt stress with four plant species distribution in the Hangzhou Bay Wetlands. J. Zhejiang AF Univ. 2012, 29, 739–743. [Google Scholar]
  7. Mu, Y.N.; Ding, L.X.; Li, N.; Lu, L.Y.; Wu, M. Classification of coastal wetland vegetation in Hangzhou Bay with an object-oriented, random forest model. J. Zhejiang AF Univ. 2018, 35, 1088–1097. [Google Scholar]
  8. Eulgem, T.; Rushton, P.J.; Robatzek, S. The WRKY superfamily of plant transcription factors. Trends Plant Sci. 2000, 5, 199–206. [Google Scholar] [CrossRef] [PubMed]
  9. Ramamoorthy, R.; Jiang, S.Y.; Kumar, N.; Venkatesh, P.N.; Ramachandran, S. A comprehensive transcriptional profiling of the WRKY gene family in rice under various abiotic and phytohormone treatments. Plant Cell Physiol. 2008, 49, 865–879. [Google Scholar] [CrossRef]
  10. Dong, J.X.; Chen, C.H.; Chen, Z.X. Expression profiles of the Arabidopsis WRKY gene superfamily during plant defense response. Plant Mol. Biol. 2003, 51, 21–37. [Google Scholar] [CrossRef]
  11. Hu, W.; Ren, Q.; Chen, Y.; Xu, G.; Qian, Y. Genome-wide identification and analysis of WRKY gene family in maize provide insights into regulatory network in response to abiotic stresses. BMC Plant Biol. 2021, 21, 427. [Google Scholar] [CrossRef]
  12. Wang, L.; Zhu, W.; Fang, L.; Sun, X.; Su, L.; Liang, Z.; Wang, N.; Londo, J.P.; Li, H.; Xin, H.P. Genome-wide identification of WRKY family genes and their response to cold stress in Vitis vinifera. BMC Plant Biol. 2014, 14, 103. [Google Scholar] [CrossRef]
  13. Huang, S.; Gao, Y.; Liu, J.; Peng, X.; Niu, X.; Fei, Z.; Liu, Y. Genome-wide analysis of WRKY transcription factors in Solanum lycopersicum. Mo. Genet. Genomics. 2012, 287, 495–513. [Google Scholar] [CrossRef]
  14. Ma, Z.B.; Li, W.; Wang, H.P.; Yu, D.Q. WRKY transcription factors WRKY12 and WRKY13 interact with SPL10 to modulate age-mediated flowering. J. Integr. Plant Biol. 2020, 62, 1659–1673. [Google Scholar] [CrossRef]
  15. Gao, Y.F.; Liu, J.K.; Yang, F.M.; Zhang, G.Y.; Wang, D.; Zhang, L.; Ou, Y.B.; Yao, Y.A. The WRKY transcription factor WRKY8 promotes resistance to pathogen infection and mediates drought and salt stress tolerance in Solanum lycopersicum. Physiol. Plantarum. 2020, 168, 98–117. [Google Scholar] [CrossRef]
  16. Niu, C.F.; Wei, W.; Zhou, Q.Y.; Tian, A.G.; Hao, Y.J.; Zhang, W.K.; Ma, B.; Lin, Q.; Zhang, Z.B.; Zhang, J.S.; et al. Wheat WRKY genes TaWRKY2 and TaWRKY19 regulate abiotic stress tolerance in transgenic Arabidopsis plants. Plant Cell Environ. 2012, 35, 1156–1170. [Google Scholar] [CrossRef]
  17. Zhu, D.; Hou, L.X.; Xiao, P.L.; Guo, Y.; Deyholos, M.K.; Liu, X. VvWRKY30, a grape WRKY transcription factor, plays a positive regulatory role under salinity stress. Plant Sci. 2019, 280, 132–142. [Google Scholar] [CrossRef]
  18. Ye, H.; Qiao, L.Y.; Guo, H.Y.; Guo, L.P.; Ren, F.; Bai, J.F.; Wang, Y.K. Genome-wide identification of wheat WRKY gene family reveals that TaWRKY75-A is referred to drought and salt resistances. Front. Plant Sci. 2021, 12, 663118. [Google Scholar] [CrossRef]
  19. Lavigne, R.; Seto, D.; Mahadevan, P.; Ackermann, H.W.; Kropinski, A.M. Unifying classical and molecular taxonomic classification: Analysis of the podoviridae using BLASTP-based tools. Res. Microbiol. 2008, 159, 406–414. [Google Scholar] [CrossRef]
  20. Prakash, A.; Jeffryes, M.; Bateman, A.; Finn, R.D. The HMMER web server for protein sequence similarity search. Curr. Protoc. Bioinform. 2017, 60, 3–15. [Google Scholar] [CrossRef]
  21. Wang, Y.P.; Tang, H.B.; Debarry, J.D.; Tan, X.; Li, J.P.; Wang, X.Y.; Lee, T.H.; Jin, H.Z.; Marler, B.; Guo, H.; et al. MCScanX: A toolkit for detection and evolutionary analysis of gene synteny and collinearity. Nucleic Acids Res. 2012, 40, e49. [Google Scholar] [CrossRef]
  22. Katoh, K.; Standley, D.M. MAFFT multiple sequence alignment software version 7: Improvements in performance and usability. Mol. Biol. Evol. 2013, 30, 772–780. [Google Scholar] [CrossRef]
  23. Alexandros, S. RAxML version 8: A tool for phylogenetic analysis and post-analysis of large phylogenies. Bioinformatics 2014, 30, 1312–1313. [Google Scholar]
  24. Chen, C.; Chen, H.; Zhang, Y.; Thomas, H.R.; Frank, M.H.; He, Y. TBtools: An integrative toolkit developed for interactive analyses of big biological data. Mol. Plant. 2020, 13, 1194–1202. [Google Scholar] [CrossRef]
  25. Bailey, T.L.; Boden, M.; Buske, F.A.; Frith, M.; Grant, C.E.; Clementi, L. MEME SUITE: Tools for motif discovery and searching. Nucleic Acids Res. 2009, 37, W202–W208. [Google Scholar] [CrossRef]
  26. Lescot, M.; Déhais, P.; Thijs, G.; Marchal, K.; Moreau, Y.; Peer, Y.V.; Rouzé, P.; Rombauts, S. PlantCARE, a database of plant cis-acting regulatory elements and a portal to tools for in silico analysis of promoter sequences. Nucleic Acids Res. 2002, 30, 325–327. [Google Scholar] [CrossRef]
  27. Zhang, Z. KaKs_Calculator 3.0: Calculating selective pressure on coding and non-coding sequences. Genom. Proteom. Bioinf. 2022, 20, 536–540. [Google Scholar] [CrossRef]
  28. Pertea, M.; Kim, D.; Pertea, G.M.; Leek, J.T.; Salzberg, S.L. Transcript-level expression analysis of RNA-seq experiments with HISAT, StringTie and Ballgown. Nat. Protoc. 2016, 11, 1650–1667. [Google Scholar] [CrossRef]
  29. Shumate, A.; Wong, B.; Pertea, G.; Pertea, M. Improved transcriptome assembly using a hybrid of long and short reads with StringTie. PLoS Comput. Biol. 2022, 18, e1009730. [Google Scholar] [CrossRef]
  30. Chen, X.L.; Mao, X.; Huang, P.; Fang, S.Z. Morphological characterization of flower buds development and related gene expression profiling at bud break stage in heterodichogamous Cyclocarya paliurus (Batal.) lljinskaja. Genes 2019, 10, 818. [Google Scholar] [CrossRef]
  31. Goyal, P.; Manzoor, M.M.; Ram, A.V.; Deepak, S.; Manoj, K.D.; Suphla, G. A Comprehensive transcriptome-wide identification and screening of WRKY gene family engaged in abiotic stress in Glycyrrhiza glabra. Sci. Rep. 2020, 10, 373. [Google Scholar] [CrossRef]
  32. Wu, Y.; Zhang, S.; Huang, X.; Lyu, L.; Li, W.; Wu, W. Genome-wide identification of WRKY gene family members in black raspberry and their response to abiotic stresses. Sci. Hortic. 2022, 304, 111338. [Google Scholar] [CrossRef]
  33. Wei, Y.L.; Jin, J.P.; Liang, D.; Gao, J.; Li, J.; Xie, Q.; Lu, C.Q.; Zhu, G.F. Genome-wide identification of Cymbidium sinense WRKY gene family and the importance of its Group III members in response to abiotic stress. Front. Plant Sci. 2022, 13, 969010. [Google Scholar] [CrossRef]
  34. Wang, C.; Ye, D.; Li, Y.; Hu, P.L.; Xu, R.; Wang, X.J. Genome-wide identification and bioinformatics analysis of the WRKY transcription factors and screening of candidate genes for anthocyanin biosynthesis in azalea (Rhododendron simsii). Front. Genet. 2023, 14, 1172321. [Google Scholar] [CrossRef]
  35. Muhammad, A.K.; Kang, D.R.; Wu, Y.F.; Wang, Y.; Ai, P.H.; Wang, Z.C. Characterization of WRKY gene family in whole-genome and exploration of flowering improvement genes in Chrysanthemum lavandulifolium. Front. Plant Sci. 2022, 13, 861193. [Google Scholar]
  36. Wen, F.; Wu, X.Z.; Li, T.J.; Jia, M.L.; Liao, L. Characterization of the WRKY gene family in Akebia trifoliata and their response to Colletotrichum acutatum. BMC Plant Bio. 2022, 22, 115. [Google Scholar] [CrossRef]
  37. Wu, W.H.; Zhu, S.; Xu, L.; Zhu, L.M.; Wang, D.D.; Liu, Y.; Liu, S.Q.; Hao, Z.D.; Lu, Y.; Yang, L.M.; et al. Genome-wide identification of the Liriodendron chinense WRKY gene family and its diverse roles in response to multiple abiotic stress. BMC Plant Biol. 2022, 22, 25. [Google Scholar] [CrossRef]
  38. Hou, X.; Wang, D.P.; Cheng, Z.K.; Wang, Y.; Jiao, Y.L. A near-complete assembly of an Arabidopsis thaliana genome. Mol. Plant. 2022, 15, 1247–1250. [Google Scholar] [CrossRef]
  39. Li, Y.; Li, X.; Wei, J.T.; Cai, K.W.; Zhang, H.Z.; Ge, L.L.; Ren, Z.J.; Zhao, C.L.; Zhao, X.Y. Genome-wide identification and analysis of the WRKY gene family and cold stress response in Acer truncatum. Genes 2021, 12, 1867. [Google Scholar] [CrossRef]
  40. Jing, C.J.; Wang, D.; Liu, Z.K.; Chen, X.F.; Dong, H.; Wu, X.H. Identification of the WRKY gene family in apricot and its response to drought stress. Hortic. Environ. Biotechnol. 2023, 64, 269–282. [Google Scholar] [CrossRef]
  41. Xiong, R.Q.; Peng, Z.H.; Zhou, H.; Xue, G.X.; He, A.L.; Yao, X.; Weng, W.F.; Wu, W.J.; Ma, C.; Bai, Q.; et al. Genome-wide identification, structural characterization and gene expression analysis of the WRKY transcription factor family in pea (Pisum sativum L.). BMC Plant Biol. 2024, 24, 113. [Google Scholar]
  42. Kong, W.L.; Gong, Z.Y.; Zhong, H.; Zhang, Y.; Zhao, G.Q.; Gautam, M.; Deng, X.X.; Liu, C.; Zhang, C.H.; Li, Y.S. Expansion and evolutionary patterns of glycosyltransferase family 8 in gramineae crop genomes and their expression under salt and cold stresses in Oryza sativa ssp. japonica. Biomolecules 2019, 9, 188. [Google Scholar] [CrossRef]
  43. Wu, G.Q.; Li, Z.Q.; Cao, H.; Wang, J.L. Genome-wide identification and expression analysis of the WRKY genes in sugar beet (Beta vulgaris L.) under alkaline stress. PeerJ 2019, 7, e7817. [Google Scholar] [CrossRef]
  44. Ma, Y.; Chen, S.; Yu, H.; Li, R.; Lin, Z.; Cai, M.; Ming, R. Expression profiling of WRKY transcription factors in Spinach. Euphytica 2021, 217, 217. [Google Scholar] [CrossRef]
  45. Lu, K.K.; Song, R.F.; Guo, J.X.; Zhang, Y.; Zuo, J.X.; Chen, H.H.; Liao, C.Y.; Hu, X.Y.; Ren, F.; Lu, Y.T.; et al. CycC1; 1–WRKY75 complex-mediated transcriptional regulation of SOS1 controls salt stress tolerance in Arabidopsis. Plant Cell 2023, 35, 2570–2591. [Google Scholar] [CrossRef]
  46. Wang, J.H.; Gu, K.D.; Zhang, Q.Y.; Yu, Q.J.; Wang, C.K.; You, C.X.; Cheng, L.G.; Hu, D.G. Ethylene inhibits malate accumulation in apple by transcriptional repression of aluminum-activated malate transporter 9 via the WRKY31-ERF72 network. New Phytol. 2023, 239, 1014–1034. [Google Scholar] [CrossRef]
  47. Chen, J.N.; Nolan, T.M.; Ye, H.X.; Zhang, M.C.; Tong, H.N.; Xin, P.Y.; Chu, J.F.; Chu, C.C.; Li, Z.H.; Yin, Y.H. Arabidopsis WRKY46, WRKY54, and WRKY70 transcription factors are involved in brassinosteroid-regulated plant growth and drought responses. Plant Cell 2017, 29, 1425–1439. [Google Scholar] [CrossRef]
Disclaimer/Publisher’s Note: The statements, opinions and data contained in all publications are solely those of the individual author(s) and contributor(s) and not of MDPI and/or the editor(s). MDPI and/or the editor(s) disclaim responsibility for any injury to people or property resulting from any ideas, methods, instructions or products referred to in the content.

Article Metrics

Citations

Article Access Statistics

Multiple requests from the same IP address are counted as one view.