Carbon Emissions and Vegetation Dynamics: Assessing the Spatiotemporal Environmental Impacts of Hydropower Dams in the Lancang River Basin
Abstract
1. Introduction
2. Study Area
3. Data and Methods
3.1. Source of Data
- NDVI Data: We utilized MODIS satellite NDVI data obtained from the Earth Science Data and Information System (ESDIS) project under NASA’s Earthdata platform (http://search.earthdata.nasa.gov, accessed on 20 September 2023). The dataset spans from 2001 to 2020, with NDVI values updated every 16 days. The spatial resolution of these data is 0.5 km × 0.5 km. As outlined in Table 2, we categorized the NDVI index into five distinct classes for comprehensive analysis.
- Carbon Emission Data: We used the Open-source Data Inventory for Anthropogenic CO2 (ODIAC) dataset, specifically the ODIAC2022 version, produced and released by the National Institute for Environmental Studies, Japan. The dataset can be accessed at the ODIAC Fossil Fuel Emission Dataset (https://db.cger.nies.go.jp/dataset/ODIAC/DL_odiac2022.html, accessed on 20 September 2023) and offers a resolution of 1 km × 1 km, providing a detailed account of global fossil fuel combustion-related CO2 emissions.
- Nighttime Light Data: We utilized processed NPP-VIIRS-like nighttime light data, referencing the methodological approach of Chen et al. [32]. This study rectified and aligned NPP-VIIRS with DMSP-OLS light data. The publication provided a continuous global light dataset from 2000 to 2018, using a computational method which we applied to derive light data for 2019 and 2020. The data resolution is 1 km × 1 km. In this study, we use lighting data to evaluate and replace local gross domestic product (GDP) [33].
- Population Data: Our population data were sourced from the WorldPop global population dataset, an integration of adjusted data from Afripop, AsiaPop, and AmeriPop, compiled by the University of Southampton. The link is the WorldPop (https://hub.worldpop.org/project/categories?id=18, accessed on 25 October 2023) Project and offers a spatial resolution of 1 km × 1 km.
- Land Use Data: We utilized the land use data for China segmented at 30 m × 30 m data resolution [34]. This work involved the creation of an annual Chinese Land Cover Dataset (CLCD) based on Landsat imagery on the Google Earth Engine (GEE) platform. The dataset encompasses annual land cover classifications for China from 1990 to 2019 and documents the dynamic changes in these classifications over time. At present, the author has expanded the data range to 1985 to 2022.
- Dam Information: We used the Global Georeferenced Database of Dams (GOODD) and the Future Hydropower Reservoirs and Dams (FHReD) database. GOODD is a comprehensive repository encompassing the geospatial coordinates of all hydropower dams visible on Google Earth satellite imagery, currently documenting 38,660 hydropower dams globally. FHReD, on the other hand, provides detailed mapping of about 3700 hydropower dams that are either under construction or in the advanced stages of planning.
3.2. NeuralProphet Prediction Model Based on Parameter Optimization
- We divided the dataset into two segments using the dam’s completion date as the demarcation point: pre-completion data for model training and post-completion data for predictive analysis.
- The optimal parameters for the vegetation cover change prediction model were derived from the training set, which represents the period before the dam’s completion. During this phase, the dam’s hydroelectric facilities were either not operational or only partially functional, thereby reflecting vegetation cover changes unaffected by the dam.
- Utilizing this model, we predicted vegetation cover changes for the period post-dam completion. This data-driven approach enabled the projection of vegetation trends under a hypothetical scenario where the dam was not constructed.
- By comparing the model-predicted vegetation trends with actual observed changes, we quantified the impact of dam construction on local vegetation. The difference between these two datasets provides a measure of the dam’s influence.
3.3. Geographically and Temporally Weighted Regression (GTWR)
3.4. Spatial Correlation Analysis of Expansion Intensity
3.5. Global Moran Index (Global Moran’s I)
4. Results
4.1. Changes in Total Vegetation Coverage in the Lancang River Basin
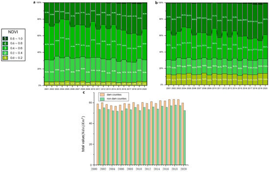
4.1.1. Comparison of NDVI Vegetation Cover Classification
4.1.2. Quantitative Analysis of the Impact of Dam Construction on Vegetation Cover
4.2. Analysis of the Driving Mechanism of Total Carbon Emissions
4.3. Spatial Analysis of Vegetation Cover Expansion and Carbon Emission Intensity
5. Discussion
6. Conclusions
Author Contributions
Funding
Data Availability Statement
Conflicts of Interest
References
- Ziv, G.; Baran, E.; Nam, S.; Rodríguez-Iturbe, I.; Levin, S.A. Trading-off fish biodiversity, food security, and hydropower in the Mekong River Basin. Proc. Natl. Acad. Sci. USA 2012, 109, 5609–5614. [Google Scholar] [CrossRef] [PubMed]
- Li, S.J.; He, D.M. Water level response to hydropower development in the upper Mekong River. Ambio 2008, 37, 170–177. [Google Scholar] [CrossRef] [PubMed]
- Baloch, M.H.; Chauhdary, S.T.; Ishak, D.; Kaloi, G.S.; Nadeem, M.H.; Wattoo, W.A. Hybrid energy sources status of Pakistan: An optimal technical proposal to solve the power crises issues. Energy Strategy Rev. 2019, 24, 132–153. [Google Scholar] [CrossRef]
- Yener, I.; Duman, A.; Demirarslan, K.O. The impacts of large dams on local climate in Artvin. Fresenius Environ. Bull. 2018, 27, 8468–8480. [Google Scholar]
- Zhao, Y.Y.; Liu, S.N.; Shi, H.Y. Impacts of dams and reservoirs on local climate change: A global perspective. Environ. Res. Lett. 2021, 16, 104043. [Google Scholar] [CrossRef]
- Fonseca, A.; Santos, J.A. The impact of a hydroelectric power plant on a regional climate in Portugal. Atmosphere 2021, 12, 1400. [Google Scholar] [CrossRef]
- Yang, J.; Yang, Y.C.E.; Chang, J.X.; Zhang, J.R.; Yao, J. Impact of dam development and climate change on hydroecological conditions and natural hazard risk in the Mekong River Basin. J. Hydrol. 2019, 579, 124177. [Google Scholar] [CrossRef]
- Zhong, S.; Zhu, Y.D.; Zhao, J.A.; Shen, L. A collaborative framework for hydropower development and sustainable livelihood of farmers in the Lancang-Mekong River Basin: A review with the perspective of energy-water-food nexus. Water 2022, 14, 499. [Google Scholar] [CrossRef]
- Grumbine, R.E.; Dore, J.; Xu, J.C. Mekong hydropower: Drivers of change and governance challenges. Front. Ecol. Environ. 2012, 10, 91–98. [Google Scholar] [CrossRef]
- Yoshida, Y.; Lee, H.S.; Trung, B.H.; Tran, H.D.; Lall, M.K.; Kakar, K.; Xuan, T.D. Impacts of mainstream hydropower dams on fisheries and agriculture in Lower Mekong Basin. Sustainability 2020, 12, 2408. [Google Scholar] [CrossRef]
- Moran, E.F.; Lopez, M.C.; Moore, N.; Müller, N.; Hyndman, D.W. Sustainable hydropower in the 21st century. Proc. Natl. Acad. Sci. USA 2018, 115, 11891–11898. [Google Scholar] [CrossRef]
- Renöfält, B.M.; Jansson, R.; Nilsson, C. Effects of hydropower generation and opportunities for environmental flow management in Swedish riverine ecosystems. Freshw. Biol. 2010, 55, 49–67. [Google Scholar] [CrossRef]
- Hairan, M.H.; Jamil, N.R.; Looi, L.J.; Azmai, M.N.A. The assessment of environmental flow status in Southeast Asian Rivers: A review. J. Clean. Prod. 2021, 295, 126411. [Google Scholar] [CrossRef]
- Fan, H.; He, D.M.; Wang, H.L. Environmental consequences of damming the mainstream Lancang-Mekong River: A review. Earth-Sci. Rev. 2015, 146, 77–91. [Google Scholar] [CrossRef]
- Yigzaw, W.; Hossain, F. Inferring anthropogenic trends from satellite data for water-sustainability of US cities near artificial reservoirs. Glob. Planet. Change 2015, 133, 330–345. [Google Scholar] [CrossRef]
- Liu, H.; Liu, F.; Yuan, H.M.; Zheng, L.; Zhang, Y. Assessing the relative role of climate and human activities on vegetation cover changes in the up-down stream of Danjiangkou, China. J. Plant Ecol. 2022, 15, 180–195. [Google Scholar] [CrossRef]
- Li, J.P.; Dong, S.K.; Yang, Z.F.; Peng, M.C.; Liu, S.L.; Li, X.Y. Effects of cascade hydropower dams on the structure and distribution of riparian and upland vegetation along the middle-lower Lancang-Mekong River. For. Ecol. Manag. 2012, 284, 251–259. [Google Scholar] [CrossRef]
- Long, S.; Zhou, S.B. Assessment on changes of ecosystem carbon storage in reservoir area due to hydroproject. Comput. Intell. Neurosci. 2022, 2022, 7511216. [Google Scholar] [CrossRef]
- Wei, Y.M.; Chen, K.Y.; Kang, J.N.; Chen, W.M.; Zhang, X.Y.; Wang, X.Y. Policy and management of carbon peaking and carbon neutrality: A literature review. Engineering 2022, 14, 52–63. [Google Scholar] [CrossRef]
- Liu, S.; Liu, H.M.; Chen, X.Y. Does environmental regulation promote corporate green investment? Evidence from China’s new environmental protection law. Environ. Dev. Sustain. 2023, 26, 12589–12618. [Google Scholar] [CrossRef]
- Khan, M.I.; Xu, Q.X. An assessment of environmental policy implications under the China-Pakistan Economic Corridor: A perspective of environmental laws and sustainable development. Sustainability 2021, 13, 11223. [Google Scholar] [CrossRef]
- He, X. Dams, cropland productivity, and economic development in China. China Econ. Rev. 2023, 81, 102046. [Google Scholar] [CrossRef]
- Fan, P.L.; Cho, M.S.; Lin, Z.H.; Ouyang, Z.T.; Qi, J.G.; Chen, J.Q.; Moran, E.F. Recently constructed hydropower dams were associated with reduced economic production, population, and greenness in nearby areas. Proc. Natl. Acad. Sci. USA 2022, 119, e2108038119. [Google Scholar] [CrossRef] [PubMed]
- Baurzhan, S.; Jenkins, G.P.; Olasehinde-Williams, G.O. The economic performance of hydropower dams supported by the World Bank Group, 1975–2015. Energies 2021, 14, 2673. [Google Scholar] [CrossRef]
- Gruenwald, R.; Wang, W.L.; Feng, Y. Politicization of the hydropower dams in the Lancang-Mekong Basin: A review of contemporary environmental challenges. Energies 2022, 15, 1682. [Google Scholar] [CrossRef]
- Lang, F.S.; Liang, Y.T.; Li, S.Q.; Cheng, Z.F.; Li, G.F.; Guo, Z.J. Spatio-temporal patterns of land use and cover change in the Lancang-Mekong River Basin during 2000–2020. Land 2024, 13, 305. [Google Scholar] [CrossRef]
- Zhang, B.Y.; Ding, W.; Xu, B.; Wang, L.F.; Li, Y.; Zhang, C. Spatial characteristics of total phosphorus loads from different sources in the Lancang River Basin. Sci. Total Environ. 2020, 722, 137863. [Google Scholar] [CrossRef]
- Sun, Z.L.; Liu, Y.L.; Chen, H.; Zhang, J.Y.; Jin, J.L.; Bao, Z.X.; Wang, G.; Tang, L. Evaluation of future climatology and its uncertainty under SSP scenarios based on a bias processing procedure: A case study of the Lancang-Mekong River Basin. Atmos. Res. 2024, 298, 107134. [Google Scholar] [CrossRef]
- Ruigar, H.; Golian, S. Prediction of precipitation in Golestan dam watershed using climate signals. Theor. Appl. Climatol. 2016, 123, 671–682. [Google Scholar] [CrossRef]
- Abu-Afifeh, Q.; Rahbeh, M.; Al-Afeshat, A.; Al-Omari, S.; Qutishat, T.A.; Brezat, A.; Alkayed, A. Dam sustainability’s interdependency with climate change and dam failure drivers. Sustainability 2023, 15, 16239. [Google Scholar] [CrossRef]
- Ren, Q.S.; Li, C.X.; Yang, W.H.; Song, H.; Ma, P.; Wang, C.Y.; Schneider, R.L.; Morreale, S.J. Revegetation of the riparian zone of the Three Gorges Dam Reservoir leads to increased soil bacterial diversity. Environ. Sci. Pollut. Res. 2018, 25, 23748–23763. [Google Scholar] [CrossRef]
- Chen, Z.Q.; Yu, B.L.; Yang, C.S.; Zhou, Y.Y.; Yao, S.J.; Qian, X.J.; Wang, C.; Wu, B.; Wu, J. An extended time series (2000–2018) of global NPP-VIIRS-like nighttime light data from a cross-sensor calibration. Earth Syst. Sci. Data 2021, 13, 889–906. [Google Scholar] [CrossRef]
- Bickenbach, F.; Bode, E.; Nunnenkamp, P.; Söder, M. Night lights and regional GDP. Rev. World Econ. 2016, 152, 425–447. [Google Scholar] [CrossRef]
- Yang, J.; Huang, X. The 30 m annual land cover dataset and its dynamics in China from 1990 to 2019. Earth Syst. Sci. Data 2021, 13, 3907–3925. [Google Scholar] [CrossRef]
- Karingula, S.R.; Ramanan, N.; Tahmasbi, R.; Amjadi, M.; Jung, D.; Si, R.; Thimmisetty, C.; Polania, L.F.; Sayer, M.; Taylor, J. Boosted embeddings for time-series forecasting. In Proceedings of the 7th International Conference on Machine Learning 2021, Optimization, and Data Science (LOD)/1st Symposium on Artificial Intelligence and Neuroscience (ACAIN), Electr Network, Grasmere, UK, 4–8 October 2021; pp. 1–14. [Google Scholar]
- Liu, S.W.; Jiao, Y.; Sun, Q.T.; Jiang, J.H. Estimation of sea level change in the South China Sea from satellite altimetry data. Sci. Program. 2021, 2021, 6618135. [Google Scholar] [CrossRef]
- Guo, L.; Fang, W.G.; Zhao, Q.H.; Wang, X. The hybrid PROPHET-SVR approach for forecasting product time series demand with seasonality. Comput. Ind. Eng. 2021, 161, 107598. [Google Scholar] [CrossRef]
- He, J.; Yang, J. Spatial-temporal characteristics and influencing factors of land-use carbon emissions: An empirical analysis based on the GTWR model. Land 2023, 12, 1506. [Google Scholar] [CrossRef]
- Fotheringham, A.S.; Crespo, R.; Yao, J. Geographical and temporal weighted regression (GTWR). Geogr. Anal. 2015, 47, 431–452. [Google Scholar] [CrossRef]
- Mohammadnazar, A.; Mahdinia, I.; Ahmad, N.; Khattak, A.J.; Liu, J. Understanding how relationships between crash frequency and correlates vary for multilane rural highways: Estimating geographically and temporally weighted regression models. Accid. Anal. Prev. 2021, 157, 106146. [Google Scholar] [CrossRef]
- Chen, Y.G. New approaches for calculating Moran’s index of spatial autocorrelation. PLoS ONE 2013, 8, e68336. [Google Scholar] [CrossRef]
- Peng, S.P.; Shi, G.Q.; Zhang, R.L. Social stability risk assessment: Status, trends and prospects—A case of land acquisition and resettlement in the hydropower sector. Impact Assess. Proj. Apprais. 2021, 39, 379–395. [Google Scholar] [CrossRef]
- Fu, J.J.; Wang, W.; Hunter, P.D.; Li, W.; Sun, J.Y. Trends in normalized difference vegetation index time series in differently regulated cascade reservoirs in Wujiang catchment, China. Ecol. Indic. 2023, 146, 109831. [Google Scholar] [CrossRef]
- Yi, Y.J.; Zhou, Y.; Song, J.; Zhang, S.H.; Cai, Y.P.; Yang, W.; Yang, Z. The effects of cascade dam construction and operation on riparian vegetation. Adv. Water Resour. 2019, 131, 103206. [Google Scholar] [CrossRef]
- Shi, H.Y.; Chen, J.; Liu, S.N.; Sivakumar, B. The Role of Large Dams in Promoting Economic Development under the Pressure of Population Growth. Sustainability 2019, 11, 2965. [Google Scholar] [CrossRef]
- Alrajoula, M.T.; Al Zayed, I.S.; Elagib, N.A.; Hamdi, M.R. Hydrological, socio-economic and reservoir alterations of Er Roseires Dam in Sudan. Sci. Total Environ. 2016, 566, 938–948. [Google Scholar] [CrossRef]
- Bro, A.S.; Moran, E.; Calvi, M.F. Market Participation in the Age of Big Dams: The Belo Monte Hydroelectric Dam and Its Impact on Rural Agrarian Households. Sustainability 2018, 10, 1592. [Google Scholar] [CrossRef]
- Almalki, R.; Khaki, M.; Saco, P.M.; Rodriguez, J.F. The impact of dam construction on do wnstream vegetation area in dry areas using satellite remote sensing: A case study. Remote Sens. 2023, 15, 5252. [Google Scholar] [CrossRef]
- Uddin, F.M.J.; Asaeda, T.; Rashid, M.H. Large-scale changes of forestation in river channel below the dams in southern African rivers: Assessment using Google Earth images. Pol. J. Ecol. 2014, 62, 607–623. [Google Scholar] [CrossRef]
- Illeperuma, N.D.; Dixon, M.D.; Elliott, C.M.; Magnuson, K.I.; Withanage, M.H.H.; Vogelmann, J.E. Spatiotemporal patterns and environmental drivers of eastern redcedar (Juniperus virginiana) abundance along the Missouri River, USA. Landsc. Ecol. 2023, 38, 1677–1695. [Google Scholar] [CrossRef]
- Yan, D.H.; Wang, H.; Li, H.H.; Wang, G.; Qin, T.L.; Wang, D.Y.; Wang, L.H. Quantitative analysis on the environmental impact of large-scale water transfer project on water resource area in a changing environment. Hydrol. Earth Syst. Sci. 2012, 16, 2685–2702. [Google Scholar] [CrossRef]












| Dam | Engineering Time | Storage | Dam | Engineering Time | Storage |
|---|---|---|---|---|---|
| Ce Ge | Under design | / | Huang Deng | 2008–2019 | 15.00 BCM |
| Yu Long | 2015–Now | 19.70 BCM | Da HuaQiao | 2010–2019 | 3.15 BCM |
| Ka Gong | Under design | / | Miao Wei | 2012–2017 | 6.60 BCM |
| Ban Da | 2019–2021 | 13.19 BCM | Gong Guoqiao | 2009–2012 | 3.15 BCM |
| Ru Mei (Pivotal dam) | 2013–Now | 24.33 BCM | XiaoWan (Pivotal dam) | 2002–2010 | 150.00 BCM |
| Bang Duo | Under design | / | Man Wan | 1987–1993 | 9.20 BCM |
| Gu Xue | 2012–2021 | 26.84 BCM | Da ChaoShan | 1992–2003 | 9.40 BCM |
| QuZiKa | 1982–1987 | 405.00 BCM | Nuo ZhaDu (Pivotal dam) | 2012–2014 | 237.03 BCM |
| Gu Shui | Under design | / | Jin Hong | 2003–2008 | 11.39 BCM |
| Wu NongLong | 2010–2021 | 2.84 BCM | Gan LanBa | Under design | / |
| LiDi | 2009–2019 | 0.75 BCM | Men Song | Under design | / |
| Tuo Ba | 2018–Now | 10.39 BCM |
| Classification | Vegetation Coverage | Range of Value | Vegetation Type |
|---|---|---|---|
| Category 5 | High | 0.8> AND ≤0.2 | Dense forests, High-density jungle. |
| Category4 | Medium to high | 0.6> AND ≤0.8 | robust shrublands, General jungle. |
| Category 3 | median | 0.4> AND ≤0.6 | shrublands, harvested fields. |
| Category 2 | Medium low | 0.2> AND ≤0.4 | Mixed vegetation, grasslands. Agricultural land |
| Category 1 | Low | 0.0> AND ≤0.2 | Sparse vegetation, overgrazed lands. |
| Year | Bandwidth | Residual Squares | Sigma | AICc | ||
|---|---|---|---|---|---|---|
| 2001–2006 | 0.11 | 0.16 | 0.02 | −1330.95 | 0.94 | 0.94 |
| 2007–2014 | 0.11 | 0.49 | 0.04 | −1441.96 | 0.96 | 0.96 |
| 2015–2020 | 0.11 | 0.37 | 0.03 | −1068.39 | 0.97 | 0.97 |
| Year | Moran’s I | Z | P |
|---|---|---|---|
| 0.288 | 3.473 | 0.001 | |
| 0.560 | 6.296 | 0.001 | |
| 0.679 | 7.998 | 0.001 |
Disclaimer/Publisher’s Note: The statements, opinions and data contained in all publications are solely those of the individual author(s) and contributor(s) and not of MDPI and/or the editor(s). MDPI and/or the editor(s) disclaim responsibility for any injury to people or property resulting from any ideas, methods, instructions or products referred to in the content. |
© 2024 by the authors. Licensee MDPI, Basel, Switzerland. This article is an open access article distributed under the terms and conditions of the Creative Commons Attribution (CC BY) license (https://creativecommons.org/licenses/by/4.0/).
Share and Cite
Liu, Y.; Wang, X.; Ma, G.; Zhou, W.; Cheng, X. Carbon Emissions and Vegetation Dynamics: Assessing the Spatiotemporal Environmental Impacts of Hydropower Dams in the Lancang River Basin. Forests 2024, 15, 872. https://doi.org/10.3390/f15050872
Liu Y, Wang X, Ma G, Zhou W, Cheng X. Carbon Emissions and Vegetation Dynamics: Assessing the Spatiotemporal Environmental Impacts of Hydropower Dams in the Lancang River Basin. Forests. 2024; 15(5):872. https://doi.org/10.3390/f15050872
Chicago/Turabian StyleLiu, Yu, Xiaomao Wang, Gang Ma, Wei Zhou, and Xiang Cheng. 2024. "Carbon Emissions and Vegetation Dynamics: Assessing the Spatiotemporal Environmental Impacts of Hydropower Dams in the Lancang River Basin" Forests 15, no. 5: 872. https://doi.org/10.3390/f15050872
APA StyleLiu, Y., Wang, X., Ma, G., Zhou, W., & Cheng, X. (2024). Carbon Emissions and Vegetation Dynamics: Assessing the Spatiotemporal Environmental Impacts of Hydropower Dams in the Lancang River Basin. Forests, 15(5), 872. https://doi.org/10.3390/f15050872

