Effects of Biochar on Soil Inorganic Phosphorus Components, Available Phosphorus, Enzyme Activities Related to Phosphorus Cycle, Microbial Functional Genes, and Seedling Growth of Populus euphratica under Different Water Conditions
Abstract
1. Introduction
2. Materials and Methods
2.1. Study Area
2.2. Biochar Materials
2.3. Experimental Design
2.4. Standard Soil Physical and Chemical Characteristics
2.5. Identifying Soil Phosphorus Properties
2.6. Determination of Soil Phosphorus Cycle-Related Enzyme Activity
2.7. The Extraction of DNA, Amplification, Sequencing, and Handling of Sequence Data
2.8. Quantification of Functional Genes
2.9. Data Analysis
3. Results
3.1. Soil Properties and Seedling Growth of P. euphratica
3.2. Soil Phosphorus Availability and Forms
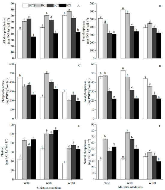
3.3. Soil Phosphorus Cycle-Related Enzymes
3.4. Soil Microbial Community Structure
3.5. Functional Genes Related to Soil Phosphorus Cycle
4. Discussion
4.1. Influence of Soil Characteristics on P. euphratica Seedling Development
4.2. Effects of Soil Phosphorus Availability and Forms
4.3. Effects of Soil Phosphorus Cycle-Related Enzymes
4.4. Effects of Soil Microorganisms and Phosphorus Transformation Functional Genes
5. Conclusions
Supplementary Materials
Author Contributions
Funding
Data Availability Statement
Conflicts of Interest
References
- Yu, L.; Huang, Z.; Tang, S.; Korpelainen, H.; Li, C. Populus Euphratica Males Exhibit Stronger Drought and Salt Stress Resistance than Females. Environ. Exp. Bot. 2023, 205, 105114. [Google Scholar] [CrossRef]
- Rajput, V.D.; Minkina, T.; Yaning, C.; Sushkova, S.; Chapligin, V.A.; Mandzhieva, S. A Review on Salinity Adaptation Mechanism and Characteristics of Populus Euphratica, a Boon for Arid Ecosystems. Acta Ecol. Sin. 2016, 36, 497–503. [Google Scholar] [CrossRef]
- Liu, L.; Gao, Z.; Yang, Y.; Gao, Y.; Mahmood, M.; Jiao, H.; Wang, Z.; Liu, J. Long-Term High-P Fertilizer Input Shifts Soil P Cycle Genes and Microorganism Communities in Dryland Wheat Production Systems. Agric. Ecosyst. Environ. 2023, 342, 108226. [Google Scholar] [CrossRef]
- Jiao, W.; Chen, W.; Chang, A.C.; Page, A.L. Environmental Risks of Trace Elements Associated with Long-Term Phosphate Fertilizers Applications: A Review. Environ. Pollut. 2012, 168, 44–53. [Google Scholar] [CrossRef] [PubMed]
- He, Y.; Lin, X.; Wang, L.; Ma, X.; Fang, L.; Xia, Z.; He, Y.; Lin, X.; Wang, L.; Ma, X.; et al. Effects of Long-Term Irrigation on Soil Phosphorus Fractions and Microbial Communities in Populus Euphratica Plantations. For. Res. 2023, 3, 17. [Google Scholar] [CrossRef]
- Yu, X.; Keitel, C.; Dijkstra, F.A. Global Analysis of Phosphorus Fertilizer Use Efficiency in Cereal Crops. Glob. Food Secur. 2021, 29, 100545. [Google Scholar] [CrossRef]
- Gupta, K.K.; Aneja, K.R.; Rana, D. Current Status of Cow Dung as a Bioresource for Sustainable Development. Bioresour. Bioprocess. 2016, 3, 28. [Google Scholar] [CrossRef]
- Kacprzak, M.; Malińska, K.; Grosser, A.; Sobik-Szołtysek, J.; Wystalska, K.; Dróżdż, D.; Jasińska, A.; Meers, E. Cycles of Carbon, Nitrogen and Phosphorus in Poultry Manure Management Technologies—Environmental Aspects. Crit. Rev. Environ. Sci. Technol. 2023, 53, 914–938. [Google Scholar] [CrossRef]
- Santos, C.; Goufo, P.; Fonseca, J.; Pereira, J.L.S.; Ferreira, L.; Coutinho, J.; Trindade, H. Effect of Lignocellulosic and Phenolic Compounds on Ammonia, Nitric Oxide and Greenhouse Gas Emissions during Composting. J. Clean. Prod. 2018, 171, 548–556. [Google Scholar] [CrossRef]
- Wang, J.; Wang, S. Preparation, Modification and Environmental Application of Biochar: A Review. J. Clean. Prod. 2019, 227, 1002–1022. [Google Scholar] [CrossRef]
- Dutta, R.; Angmo, D.; Singh, J.; Bala Chowdhary, A.; Quadar, J.; Singh, S.; Pal Vig, A. Synergistic Effect of Biochar Amendment in Milk Processing Industry Sludge and Cattle Dung during the Vermiremediation. Bioresour. Technol. 2023, 371, 128612. [Google Scholar] [CrossRef]
- Suthar, S.; Chand, N.; Singh, V. Fate and Toxicity of Triclosan in Tidal Flow Constructed Wetlands Amended with Cow Dung Biochar. Chemosphere 2023, 311, 136875. [Google Scholar] [CrossRef]
- Chen, Q.; Qin, J.; Sun, P.; Cheng, Z.; Shen, G. Cow Dung-Derived Engineered Biochar for Reclaiming Phosphate from Aqueous Solution and Its Validation as Slow-Release Fertilizer in Soil-Crop System. J. Clean. Prod. 2018, 172, 2009–2018. [Google Scholar] [CrossRef]
- Ding, Y.; Liu, Y.; Liu, S.; Li, Z.; Tan, X.; Huang, X.; Zeng, G.; Zhou, L.; Zheng, B. Biochar to Improve Soil Fertility. A Review. Agron. Sustain. Dev. 2016, 36, 36. [Google Scholar] [CrossRef]
- Pathy, A.; Ray, J.; Paramasivan, B. Biochar Amendments and Its Impact on Soil Biota for Sustainable Agriculture. Biochar 2020, 2, 287–305. [Google Scholar] [CrossRef]
- Fox, A.; Gahan, J.; Ikoyi, I.; Kwapinski, W.; O’Sullivan, O.; Cotter, P.D.; Schmalenberger, A. Miscanthus Biochar Promotes Growth of Spring Barley and Shifts Bacterial Community Structures Including Phosphorus and Sulfur Mobilizing Bacteria. Pedobiologia 2016, 59, 195–202. [Google Scholar] [CrossRef]
- Wang, Y.; Zhang, Y.; Zhao, H.; Hu, W.; Zhang, H.; Zhou, X.; Luo, G. The Effectiveness of Reed-Biochar in Mitigating Phosphorus Losses and Enhancing Microbially-Driven Phosphorus Dynamics in Paddy Soil. J. Environ. Manag. 2022, 314, 115087. [Google Scholar] [CrossRef]
- Zheng, B.-X.; Ding, K.; Yang, X.-R.; Wadaan, M.A.M.; Hozzein, W.N.; Peñuelas, J.; Zhu, Y.-G. Straw Biochar Increases the Abundance of Inorganic Phosphate Solubilizing Bacterial Community for Better Rape (Brassica Napus) Growth and Phosphate Uptake. Sci. Total Environ. 2019, 647, 1113–1120. [Google Scholar] [CrossRef] [PubMed]
- Zhang, L.; Xiang, Y.; Jing, Y.; Zhang, R. Biochar Amendment Effects on the Activities of Soil Carbon, Nitrogen, and Phosphorus Hydrolytic Enzymes: A Meta-Analysis. Environ. Sci. Pollut. Res. 2019, 26, 22990–23001. [Google Scholar] [CrossRef] [PubMed]
- Tao, Y.; Han, S.; Zhang, Q.; Yang, Y.; Shi, H.; Akindolie, M.S.; Jiao, Y.; Qu, J.; Jiang, Z.; Han, W.; et al. Application of Biochar with Functional Microorganisms for Enhanced Atrazine Removal and Phosphorus Utilization. J. Clean. Prod. 2020, 257, 120535. [Google Scholar] [CrossRef]
- Deb, D.; Kloft, M.; Lässig, J.; Walsh, S. Variable Effects of Biochar and P Solubilizing Microbes on Crop Productivity in Different Soil Conditions. Agroecol. Sustain. Food Syst. 2016, 40, 145–168. [Google Scholar] [CrossRef]
- Sharma, S.B.; Sayyed, R.Z.; Trivedi, M.H.; Gobi, T.A. Phosphate Solubilizing Microbes: Sustainable Approach for Managing Phosphorus Deficiency in Agricultural Soils. Springer Plus 2013, 2, 1–14. [Google Scholar] [CrossRef] [PubMed]
- Zhang, J.; Feng, L.; Ouyang, Y.; Hu, R.; Xu, H.; Wang, J. Phosphate-Solubilizing Bacteria and Fungi in Relation to Phosphorus Availability under Different Land Uses for Some Latosols from Guangdong, China. CATENA 2020, 195, 104686. [Google Scholar] [CrossRef]
- Liu, J.; Cade-Menun, B.J.; Yang, J.; Hu, Y.; Liu, C.W.; Tremblay, J.; LaForge, K.; Schellenberg, M.; Hamel, C.; Bainard, L.D. Long-Term Land Use Affects Phosphorus Speciation and the Composition of Phosphorus Cycling Genes in Agricultural Soils. Front. Microbiol. 2018, 9, 1643. [Google Scholar] [CrossRef] [PubMed]
- Andreeva, I.G.; Golubeva, L.I.; Kuvaeva, T.M.; Gak, E.R.; Katashkina, J.I.; Mashko, S.V. Identification of Pantoea Ananatis Gene Encoding Membrane Pyrroloquinoline Quinone (PQQ)-Dependent Glucose Dehydrogenase and pqqABCDEF Operon Essential for PQQ Biosynthesis. FEMS Microbiol. Lett. 2011, 318, 55–60. [Google Scholar] [CrossRef]
- Seow, Y.X.; Tan, Y.H.; Mubarak, N.M.; Kansedo, J.; Khalid, M.; Ibrahim, M.L.; Ghasemi, M. A Review on Biochar Production from Different Biomass Wastes by Recent Carbonization Technologies and Its Sustainable Applications. J. Environ. Chem. Eng. 2022, 10, 107017. [Google Scholar] [CrossRef]
- Marks, E.A.N.; Alcañiz, J.M.; Domene, X. Unintended Effects of Biochars on Short-Term Plant Growth in a Calcareous Soil. Plant Soil 2014, 385, 87–105. [Google Scholar] [CrossRef]
- Yan, P.; Shen, C.; Zou, Z.; Fu, J.; Li, X.; Zhang, L.; Zhang, L.; Han, W.; Fan, L. Biochar Stimulates Tea Growth by Improving Nutrients in Acidic Soil. Sci. Hortic. 2021, 283, 110078. [Google Scholar] [CrossRef]
- Qian, Z.; Tang, L.; Zhuang, S.; Zou, Y.; Fu, D.; Chen, X. Effects of Biochar Amendments on Soil Water Retention Characteristics of Red Soil at South China. Biochar 2020, 2, 479–488. [Google Scholar] [CrossRef]
- Joseph, S.; Cowie, A.L.; Van Zwieten, L.; Bolan, N.; Budai, A.; Buss, W.; Cayuela, M.L.; Graber, E.R.; Ippolito, J.A.; Kuzyakov, Y.; et al. How Biochar Works, and When It Doesn’t: A Review of Mechanisms Controlling Soil and Plant Responses to Biochar. GCB Bioenergy 2021, 13, 1731–1764. [Google Scholar] [CrossRef]
- Zhang, Y.; Han, M.; Si, X.; Bai, L.; Zhang, C.; Quan, X. Toxicity of Biochar Influenced by Aging Time and Environmental Factors. Chemosphere 2022, 298, 134262. [Google Scholar] [CrossRef]
- Gao, S.; DeLuca, T.H.; Cleveland, C.C. Biochar Additions Alter Phosphorus and Nitrogen Availability in Agricultural Ecosystems: A Meta-Analysis. Sci. Total Environ. 2019, 654, 463–472. [Google Scholar] [CrossRef]
- Adhikari, S.; Gascó, G.; Méndez, A.; Surapaneni, A.; Jegatheesan, V.; Shah, K.; Paz-Ferreiro, J. Influence of Pyrolysis Parameters on Phosphorus Fractions of Biosolids Derived Biochar. Sci. Total Environ. 2019, 695, 133846. [Google Scholar] [CrossRef]
- Rawat, P.; Das, S.; Shankhdhar, D.; Shankhdhar, S.C. Phosphate-Solubilizing Microorganisms: Mechanism and Their Role in Phosphate Solubilization and Uptake. Soil Sci. Plant Nutr. 2021, 21, 49–68. [Google Scholar] [CrossRef]
- Zhang, M.; Cheng, G.; Feng, H.; Sun, B.; Zhao, Y.; Chen, H.; Chen, J.; Dyck, M.; Wang, X.; Zhang, J.; et al. Effects of Straw and Biochar Amendments on Aggregate Stability, Soil Organic Carbon, and Enzyme Activities in the Loess Plateau, China. Environ. Sci. Pollut. Res. 2017, 24, 10108–10120. [Google Scholar] [CrossRef]
- Khadem, A.; Raiesi, F. Response of Soil Alkaline Phosphatase to Biochar Amendments: Changes in Kinetic and Thermodynamic Characteristics. Geoderma 2019, 337, 44–54. [Google Scholar] [CrossRef]
- Paz-Ferreiro, J.; Gascó, G.; Gutiérrez, B.; Méndez, A. Soil Biochemical Activities and the Geometric Mean of Enzyme Activities after Application of Sewage Sludge and Sewage Sludge Biochar to Soil. Biol. Fertil. Soils 2012, 48, 511–517. [Google Scholar] [CrossRef]
- Dai, Z.; Enders, A.; Rodrigues, J.L.M.; Hanley, K.L.; Brookes, P.C.; Xu, J.; Lehmann, J. Soil Fungal Taxonomic and Functional Community Composition as Affected by Biochar Properties. Soil Biol. Biochem. 2018, 126, 159–167. [Google Scholar] [CrossRef]
- Zhang, J.; Huang, Y.; Lin, J.; Chen, X.; Li, C.; Zhang, J. Biochar Applied to Consolidated Land Increased the Quality of an Acid Surface Soil and Tobacco Crop in Southern China. J. Soils Sediments 2020, 20, 3091–3102. [Google Scholar] [CrossRef]
- Dhakar, K.; Pandey, A. Wide pH Range Tolerance in Extremophiles: Towards Understanding an Important Phenomenon for Future Biotechnology. Appl. Microbiol. Biotechnol. 2016, 100, 2499–2510. [Google Scholar] [CrossRef] [PubMed]
- Li, Y.; Yang, Y.; Shen, F.; Tian, D.; Zeng, Y.; Yang, G.; Zhang, Y.; Deng, S. Partitioning Biochar Properties to Elucidate Their Contributions to Bacterial and Fungal Community Composition of Purple Soil. Sci. Total Environ. 2019, 648, 1333–1341. [Google Scholar] [CrossRef] [PubMed]
- Gul, S.; Whalen, J.K.; Thomas, B.W.; Sachdeva, V.; Deng, H. Physico-Chemical Properties and Microbial Responses in Biochar-Amended Soils: Mechanisms and Future Directions. Agric. Ecosyst. Environ. 2015, 206, 46–59. [Google Scholar] [CrossRef]
- Gorovtsov, A.V.; Minkina, T.M.; Mandzhieva, S.S.; Perelomov, L.V.; Soja, G.; Zamulina, I.V.; Rajput, V.D.; Sushkova, S.N.; Mohan, D.; Yao, J. The Mechanisms of Biochar Interactions with Microorganisms in Soil. Environ. Geochem. Health 2020, 42, 2495–2518. [Google Scholar] [CrossRef]
- Abujabhah, I.S.; Doyle, R.B.; Bound, S.A.; Bowman, J.P. Assessment of Bacterial Community Composition, Methanotrophic and Nitrogen-Cycling Bacteria in Three Soils with Different Biochar Application Rates. J. Soils Sediments 2018, 18, 148–158. [Google Scholar] [CrossRef]
- Yang, C.; Lu, S. Straw and Straw Biochar Differently Affect Phosphorus Availability, Enzyme Activity and Microbial Functional Genes in an Ultisol. Sci. Total Environ. 2022, 805, 150325. [Google Scholar] [CrossRef]
- Zhou, C.; Heal, K.; Tigabu, M.; Xia, L.; Hu, H.; Yin, D.; Ma, X. Biochar Addition to Forest Plantation Soil Enhances Phosphorus Availability and Soil Bacterial Community Diversity. For. Ecol. Manag. 2020, 455, 117635. [Google Scholar] [CrossRef]





| pH | CEC (cmol/kg) | SOM (g/kg) | Total C (%) | Total N (g/kg) | Total K (g/kg) | Total Al (g/kg) | Total Fe (g/kg) | AN (mg/kg) | AK (mg/kg) | |
|---|---|---|---|---|---|---|---|---|---|---|
| W30BC0 | 7.87 ± 0.02 g | 20.56± 0.12 f | 22.15 ± 0.15 f | 2.18 ± 0.02 k | 1.25 ± 0.01 h | 20.36 ± 0.05 f | 61.26 ± 0.11 f | 30.15± 0.15 f | 61.52± 1.56 h | 336.14 ± 5.36 i |
| W30BC1 | 7.95 ± 0.02 f | 21.63± 0.15 e | 23.63 ± 0.08 e | 2.36± 0.01 i | 1.59 ± 0.02 f | 21.45 ± 0.02 d | 62.66 ± 0.08 e | 33.45± 0.26 c | 68.15± 2.48 f | 358.48 ± 4.95 g |
| W30BC2 | 8.15 ± 0.01 b | 22.41± 0.17 d | 24.84 ± 0.13 d | 3.48± 0.02 g | 1.66 ± 0.01 d | 21.68 ± 0.06 c | 65.41 ± 0.07 c | 32.39± 0.18 d | 70.36± 2.84 e | 384.33 ± 5.12 f |
| W30BC3 | 8.11 ± 0.03 c | 21.35± 0.08 e | 22.14 ± 0.09 f | 4.01± 0.05 c | 1.83 ± 0.03 b | 22.15 ± 0.03 b | 65.15 ± 0.13 c | 31.82± 0.06 e | 75.96± 2.36 c | 394.52 ± 3.85 e |
| W60BC0 | 7.88 ± 0.02 g | 24.66± 0.06 b | 26.63 ± 0.11 b | 2.28± 0.03 j | 1.18 ± 0.01 j | 20.50 ± 0.04 f | 61.25 ± 0.25 f | 31.94± 0.14 e | 65.14± 1.95 g | 351.36 ± 3.45 h |
| W60BC1 | 7.95 ± 0.02 f | 24.17± 0.14 b | 26.48 ± 0.12 b | 2.69± 0.01 h | 1.63 ± 0.02 e | 20.36 ± 0.04 f | 63.48 ± 0.21 d | 34.69± 0.23 b | 71.51± 1.54 e | 383.69 ± 4.52 f |
| W60BC2 | 8.18 ± 0.01 a | 25.63± 0.18 a | 27.63 ± 0.07 a | 3.89± 0.02 d | 1.85 ± 0.03 a | 21.87 ± 0.02 c | 68.58 ± 0.09 a | 35.87± 0.16 a | 76.36± 1.69 c | 423.41 ± 5.63 b |
| W60BC3 | 8.05 ± 0.02 e | 23.45± 0.09 c | 25.15 ± 0.05 c | 4.59± 0.04 a | 1.75 ± 0.05 c | 21.36 ± 0.03 d | 67.14 ± 0.16 b | 35.14± 0.36 a | 83.14± 2.98 a | 488.39 ± 5.14 a |
| W100BC0 | 7.68 ± 0.01 i | 21.84± 0.11 e | 21.36 ± 0.16 g | 2.26± 0.05 j | 1.22 ± 0.02 i | 21.95 ± 0.05 c | 60.14 ± 0.14 g | 32.15± 0.26 d | 62.86± 2.24 h | 333.98 ± 2.89 i |
| W100BC1 | 7.86 ± 0.01 g | 21.54± 0.16 e | 25.36 ± 0.12 c | 2.46± 0.03 g | 1.43 ± 0.01 g | 22.47 ± 0.02 a | 63.55 ± 0.19 d | 31.96± 0.13 e | 65.15± 2.78 g | 406.66 ± 2.14 d |
| W100BC2 | 8.06 ± 0.01 e | 22.28± 0.15 d | 26.14 ± 0.07 b | 3.68± 0.01 e | 1.58 ± 0.02 f | 21.26 ± 0.03 e | 62.58 ± 0.13 e | 33.15± 0.11 c | 73.55± 1.15 d | 418.69 ± 4.36 c |
| W100BC3 | 8.09 ± 0.02 d | 20.63± 0.07 f | 25.69 ± 0.18 c | 4.25± 0.02 b | 1.66 ± 0.04 d | 20.14 ± 0.05 g | 63.14 ± 0.09 d | 32.48± 0.07 d | 79.63± 1.69 b | 386.93 ± 5.97 f |
| Root Biomass (g plant−1) | Stem Biomass (g plant−1) | Leaf Biomass (g plant−1) | Total Biomass (g plant−1) | |
|---|---|---|---|---|
| W30BC0 | 115.51 ± 10.24 c | 268.24 ± 20.45 c | 63.68 ± 12.48 d | 447.43 ± 35.42 c |
| W30BC1 | 128.69 ± 11.62 b | 279.58 ± 18.69 b | 75.15 ± 10.87 c | 483.42 ± 33.69 c |
| W30BC2 | 133.48 ± 10.84 b | 297.63 ± 19.34 b | 89.58 ± 11.68 b | 520.69 ± 36.14 b |
| W30BC3 | 129.48 ± 12.59 b | 287.65 ± 20.87 b | 82.47 ± 14.41 c | 499.6 ± 37.56 b |
| W60BC0 | 127.69 ± 12.47 b | 284.24 ± 22.77 b | 80.36 ± 12.14 c | 492.29 ± 36.98 b |
| W60BC1 | 135.18 ± 10.78 a | 303.25 ± 21.68 a | 96.25 ± 10.35 b | 534.68 ± 38.15 b |
| W60BC2 | 143.65 ± 11.58 a | 316.69 ± 20.67 a | 118.48 ± 12.67 a | 578.82 ± 37.51 a |
| W60BC3 | 138.26 ± 12.96 a | 307.36 ± 19.89 a | 105.69 ± 15.47 a | 551.31 ± 39.69 a |
| W100BC0 | 133.68 ± 10.98 a | 300.14 ± 23.31 a | 90.47 ± 12.74 a | 524.29 ± 36.23 a |
| W100BC1 | 135.69 ± 11.06 a | 304.47 ± 19.86 a | 95.14 ± 11.01 a | 535.3 ± 37.05 a |
| W100BC2 | 137.21 ± 11.29 a | 306.15 ± 22.36 a | 98.12 ± 10.22 a | 541.48 ± 35.60 a |
| W100BC3 | 137.56 ± 12.69 a | 305.47 ± 18.97 a | 99.41 ± 13.88 a | 542.44 ± 39.55 a |
| Root P Concentration (g kg−1) | Stem P Concentration (g kg−1) | Leaf P Concentration (g kg−1) | Total P Concentration (g kg−1) | |
|---|---|---|---|---|
| W30BC0 | 1.06 ± 0.11 b | 1.38 ± 0.17 b | 2.17 ± 0.33 b | 4.71 ± 0.38 b |
| W30BC1 | 1.15 ± 0.10 b | 1.44 ± 0.15 b | 2.26 ± 0.28 b | 4.85 ± 0.42 b |
| W30BC2 | 1.22 ± 0.11 b | 1.50 ± 0.18 a | 2.33 ± 0.25 b | 5.05 ± 0.41 b |
| W30BC3 | 1.18 ± 0.12 b | 1.45 ± 0.16 b | 2.28 ± 0.31 b | 4.91 ± 0.37 b |
| W60BC0 | 1.16 ± 0.11 b | 1.42 ± 0.14 b | 2.25 ± 0.30 b | 4.83 ± 0.35 b |
| W60BC1 | 1.26 ± 0.10 a | 1.56 ± 0.15 a | 2.38 ± 0.27 a | 5.20 ± 0.40 a |
| W60BC2 | 1.35 ± 0.13 a | 1.66 ± 0.19 a | 2.57 ± 0.32 a | 5.58 ± 0.39 a |
| W60BC3 | 1.28 ± 0.09 a | 1.58 ± 0.17 a | 2.48 ± 0.26 a | 5.07 ± 0.38 b |
| W100BC0 | 1.21 ± 0.11 b | 1.45 ± 0.16 b | 2.30 ± 0.31 a | 4.96 ± 0.37 b |
| W100BC1 | 1.21 ± 0.10 b | 1.51 ± 0.18 a | 2.33 ± 0.35 a | 5.05 ± 0.41 b |
| W100BC2 | 1.24 ± 0.12 a | 1.52 ± 0.15 a | 2.38 ± 0.29 a | 5.14 ± 0.42 b |
| W100BC3 | 1.23 ± 0.08 a | 1.50 ± 0.15 a | 2.37 ± 0.24 a | 5.10 ± 0.40 b |
Disclaimer/Publisher’s Note: The statements, opinions and data contained in all publications are solely those of the individual author(s) and contributor(s) and not of MDPI and/or the editor(s). MDPI and/or the editor(s) disclaim responsibility for any injury to people or property resulting from any ideas, methods, instructions or products referred to in the content. |
© 2024 by the authors. Licensee MDPI, Basel, Switzerland. This article is an open access article distributed under the terms and conditions of the Creative Commons Attribution (CC BY) license (https://creativecommons.org/licenses/by/4.0/).
Share and Cite
Fan, Y.; Chen, Y.; Lv, G. Effects of Biochar on Soil Inorganic Phosphorus Components, Available Phosphorus, Enzyme Activities Related to Phosphorus Cycle, Microbial Functional Genes, and Seedling Growth of Populus euphratica under Different Water Conditions. Forests 2024, 15, 831. https://doi.org/10.3390/f15050831
Fan Y, Chen Y, Lv G. Effects of Biochar on Soil Inorganic Phosphorus Components, Available Phosphorus, Enzyme Activities Related to Phosphorus Cycle, Microbial Functional Genes, and Seedling Growth of Populus euphratica under Different Water Conditions. Forests. 2024; 15(5):831. https://doi.org/10.3390/f15050831
Chicago/Turabian StyleFan, Yuxian, Yudong Chen, and Guanghui Lv. 2024. "Effects of Biochar on Soil Inorganic Phosphorus Components, Available Phosphorus, Enzyme Activities Related to Phosphorus Cycle, Microbial Functional Genes, and Seedling Growth of Populus euphratica under Different Water Conditions" Forests 15, no. 5: 831. https://doi.org/10.3390/f15050831
APA StyleFan, Y., Chen, Y., & Lv, G. (2024). Effects of Biochar on Soil Inorganic Phosphorus Components, Available Phosphorus, Enzyme Activities Related to Phosphorus Cycle, Microbial Functional Genes, and Seedling Growth of Populus euphratica under Different Water Conditions. Forests, 15(5), 831. https://doi.org/10.3390/f15050831

