Dynamic Height Growth Equations and Site Index-Based Biomass Models for Young Native Species Afforestations in Spain
Abstract
1. Introduction
- Initial soil preparation before seedling plantation: subsoiling, scarifying, digging holes;
- Post-cultural treatments: fertilization, weeding;
- Previous land use before afforestation: former arable lands;
- Lower initial densities and regular spacing in plantations;
- Use of selected seed sources and seedlings hardened in nurseries.
2. Material and Methods
2.1. Network of Permanent Plots in Young Afforestations
2.2. Biomass Stock
2.3. Stem Analysis
- -
- If the tree height < 2 m: a root collar section and one section every 0.5 m, up to an end section diameter of 2 cm;
- -
- If the tree height 2–6 m: a root collar section and one section every 1 m, up to a section diameter of 2 cm;
- -
- If the tree height > 6 m: a root collar section, breast height (1.30 m) section, and then one section every 2 m, up to an end section diameter of 2 cm.
2.4. Height–Age Dynamic Models
2.5. Model Fit
2.6. Selection of Reference Age for Site Index Curve Construction and Models for Total Biomass
3. Results
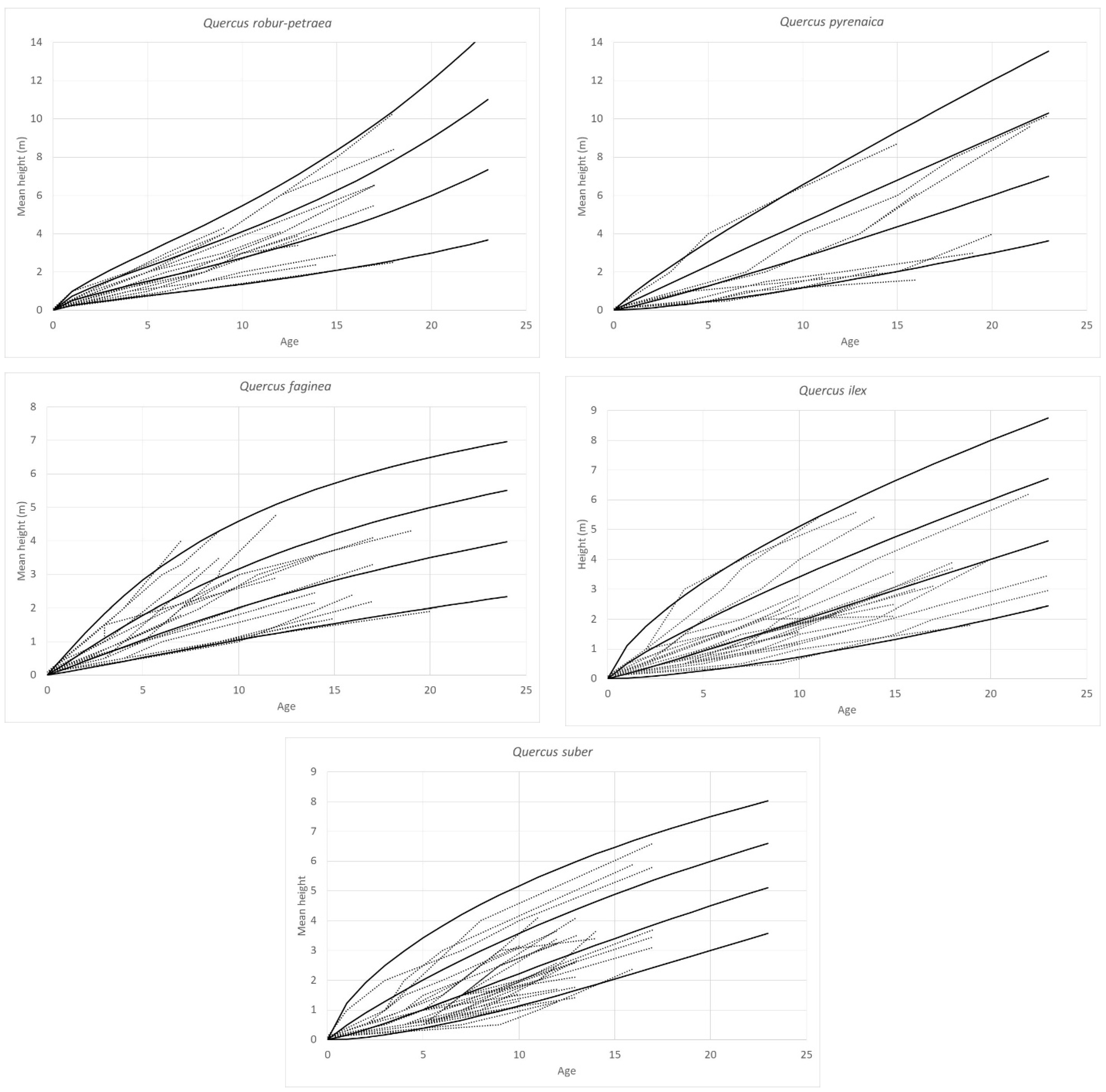
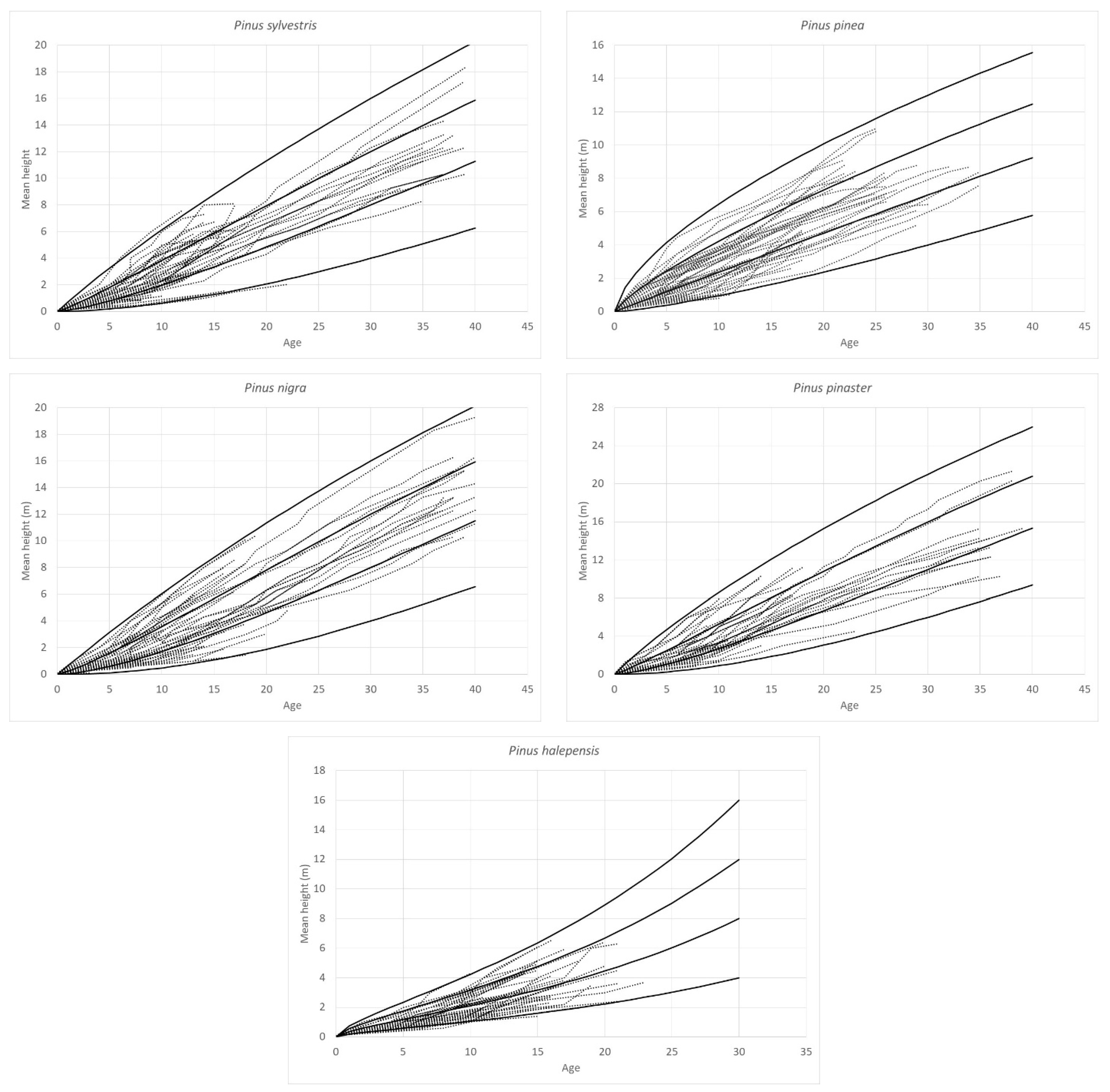
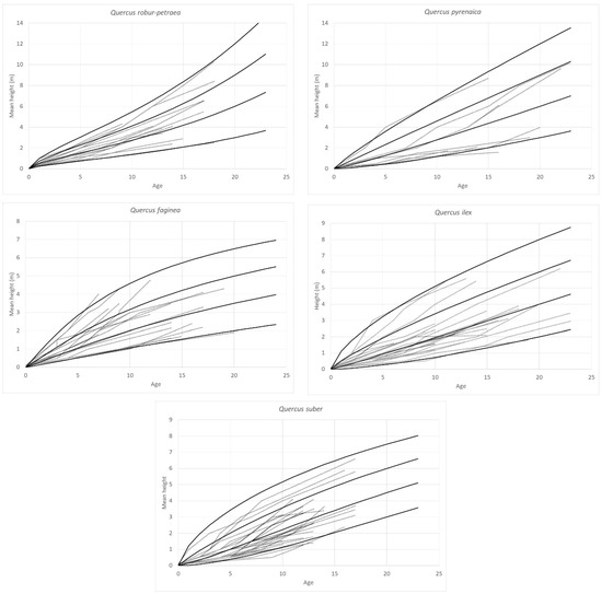
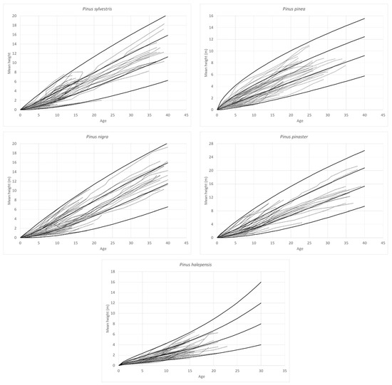
3.1. Selection of the Best Height Growth Dynamic Model for Each Species
3.2. Site Index Curves and Total Biomass Models for the Different Species
4. Discussion
5. Conclusions
Supplementary Materials
Author Contributions
Funding
Data Availability Statement
Acknowledgments
Conflicts of Interest
References
- Griscom, B.W.; Adams, J.; Ellis, P.W.; Houghton, R.A.; Lomax, G.; Miteva, D.A.; Schlesinger, W.H.; Shoch, D.; Siikamäki, J.V.; Smith, P.; et al. Natural Climate Solutions. Proc. Natl. Acad. Sci. USA 2017, 114, 11645–11650. [Google Scholar] [CrossRef] [PubMed]
- Chazdon, R.; Brancalion, P. Restoring Forests as a Means to Many Ends. Science 2019, 364, 24–25. [Google Scholar] [CrossRef] [PubMed]
- Bastin, J.-F.; Finegold, Y.; Garcia, C.; Mollicone, D.; Rezende, M.; Routh, D.; Zohner, C.M.; Crowther, T.W. Comment on “The Global Tree Restoration Potential”. Science 2019, 365, 76–79. [Google Scholar] [CrossRef] [PubMed]
- Veldman, J.W.; Aleman, J.C.; Alvarado, S.T.; Michael Anderson, T.; Archibald, S.; Bond, W.J.; Boutton, T.W.; Buchmann, N.; Buisson, E.; Canadell, J.G.; et al. Comment on “The Global Tree Restoration Potential”. Science 2019, 366, eaay7976. [Google Scholar] [CrossRef] [PubMed]
- Parr, C.L.; Beest, M.; Stevens, N. Conflation of Reforestation with Restoration in Widespread. Science 2024, 383, 698–701. [Google Scholar] [CrossRef] [PubMed]
- Mao, C.; Yi, L.; Xu, W.; Dai, L.; Bao, A.; Wang, Z.; Zheng, X. Study on Biomass Models of Artificial Young Forest in the Northwestern Alpine Region of China. Forests 2022, 13, 1828. [Google Scholar] [CrossRef]
- Lewis, S.L.; Wheeler, C.E.; Mitchard, E.T.A.; Koch, A. Restoring Natural Forests Is the Best Way to Remove Atmospheric Carbon. Nature 2019, 568, 25–28. [Google Scholar] [CrossRef] [PubMed]
- Menéndez-Miguélez, M.; Calama, R.; del Río, M.; Madrigal, G.; López-Senespleda, E.; Pardos, M.; Ruiz-Peinado, R. Species-Specific and Generalized Biomass Models for Estimating Carbon Stocks of Young Reforestations. Biomass Bioenergy 2022, 161, 106453. [Google Scholar] [CrossRef]
- Blujdea, V.N.B.; Pilli, R.; Dutca, I.; Ciuvat, L.; Abrudan, I.V. Allometric Biomass Equations for Young Broadleaved Trees in Plantations in Romania. For. Ecol. Manag. 2012, 264, 172–184. [Google Scholar] [CrossRef]
- Annighöfer, P.; Ameztegui, A.; Ammer, C.; Balandier, P.; Bartsch, N.; Bolte, A.; Coll, L.; Collet, C.; Ewald, J.; Frischbier, N.; et al. Species-Specific and Generic Biomass Equations for Seedlings and Saplings of European Tree Species. Eur. J. For. Res. 2016, 135, 313–329. [Google Scholar] [CrossRef]
- Thomas, S.; Dargusch, P.; Harrison, S.; Herbohn, J. Why Are There so Few Afforestation and Reforestation Clean Development Mechanism Projects? Land Use Policy 2010, 27, 880–887. [Google Scholar] [CrossRef]
- Eichhorn, F. Ertragstafeln für die Weißtanne [Yield Tables for the Silver Fir]; Julius Springer: Berlin, Germany, 1902. [Google Scholar]
- Mensah, A.A.; Holmström, E.; Nyström, K.; Nilsson, U. Modelling Potential Yield Capacity in Conifers Using Swedish Long-Term Experiments. For. Ecol. Manag. 2022, 512, 120162. [Google Scholar] [CrossRef]
- Goelz, J.C.G.; Burk, T.E. Development of a Well-Behaved Site Index Equation: Jack Pine in North Central Ontario. Can. J. For. Res. 1992, 22, 776–784. [Google Scholar] [CrossRef]
- Carmean, W.H. Forest Site Quality Evaluation in the United States. For. Sci. 1975, 27, 209–269. [Google Scholar]
- del Río, M.; López-Senespleda, E.; Montero, G. Manual de Gestión Para Masas Procedentes de Repoblación de Pinus Pinaster Ait., Pinus sylvestris L. y Pinus Nigra Arn. En Castilla y León; Junta de Castilla y León, Consejería de Medio Ambiente: Valladolid, Spain, 2006; ISBN 8497180305. [Google Scholar]
- Boyer, W.D. Interim Site-Index Curves for Longleaf Pine Plantations; U.S. Postal Services: New Orleans, LA, USA, 1980. [Google Scholar]
- Carmean, W.H.; Hazenberg, G.; Thrower, J.S.; Lavalley, R.R. Site-Index Curves and Growth Intercepts for Young White Spruce Plantations in North Central Ontario. North. J. Appl. For. 2006, 23, 257–263. [Google Scholar] [CrossRef]
- Guo, J.P.; Wang, J.R. Comparison of Height Growth and Growth Intercept Models of Jack Pine Plantations and Natural Stands in Northern Ontario. Can. J. For. Res. 2006, 36, 2179–2188. [Google Scholar] [CrossRef]
- MITECO. Anuario de Estadística Forestal 2021; Spanish Ministry for Ecological Transition: Madrid, Spain, 2022; ISBN 9788418778230. [Google Scholar]
- Vadell, E.; de-Miguel, S.; Pemán, J. Large-Scale Reforestation and Afforestation Policy in Spain: A Historical Review of Its Underlying Ecological, Socioeconomic and Political Dynamics. Land Use Policy 2016, 55, 37–48. [Google Scholar] [CrossRef]
- Calama, R.; Cañadas, N.; Montero, G. Inter-Regional Variability in Site Index Models for Even-Aged Stands of Stone Pine (Pinus pinea L.) in Spain. Ann. For. Sci. 2003, 60, 259–269. [Google Scholar] [CrossRef]
- Bravo-Oviedo, A.; Del Río, M.; Montero, G. Site Index Curves and Growth Model for Mediterranean Maritime Pine (Pinus pinaster Ait.) in Spain. For. Ecol. Manag. 2004, 201, 187–197. [Google Scholar] [CrossRef]
- Rojo-Alboreca, A.; Cabanillas-Saldaña, A.M.; Barrio-Anta, M.; Notivol-Paíno, E.; Gorgoso-Varela, J.J. Curvas de Índice de Sitio Para Las Masas Naturales de Pino de Aleppo En El Valle Central Del Ebro (España). Madera Bosques 2017, 23, 143–159. [Google Scholar] [CrossRef]
- Barrio-Anta, M.; Diéguez-Aranda, U. Site Quality of Pedunculate Oak (Quercus robur L.) Stands in Galicia (Northwest Spain). Eur. J. For. Res. 2005, 124, 19–28. [Google Scholar] [CrossRef]
- Sánchez-González, M.; Tomé, M.; Montero, G. Modelling Height and Diameter Growth of Dominant Cork Oak Trees in Spain. Ann. For. Sci. 2005, 62, 633–643. [Google Scholar] [CrossRef]
- López-Senespleda, E.; Bravo-Oviedo, A.; Alonso, R.; Montero, G. Resource Communication. Modeling Dominant Height Growth Including Site Attributes in the GADA Approach for Quercus Faginea Lam. in Spain. For. Syst. 2014, 23, 494–499. [Google Scholar] [CrossRef]
- Menéndez-Miguélez, M.; Álvarez-Álvarez, P.; Majada, J.; Canga, E. Effects of Soil Nutrients and Environmental Factors on Site Productivity in Castanea sativa Mill. Coppice Stands in NW Spain. New For. 2015, 46, 217–233. [Google Scholar] [CrossRef]
- Pérez-Cruzado, C. Herramientas de Gestión Para Plantaciones de Eucaliptus Nitens (Deane & Maiden) Maiden Con Objetivo de Fijación de Carbono; University of Santiago: Santiago de Compostela, Spain, 2009. [Google Scholar]
- Sánchez, F.; Rodríguez, R.; Rojo, A.; Álvarez, J.G.; López, C.; Gorgoso, J.; Castedo, F. Crecimiento y Tablas de Producción de Pinus radiata D. Don En Galicia. Agrar. Sist. Recur. For. 2003, 12, 65–83. [Google Scholar]
- López-Sánchez, C.A.; Álvarez-González, J.G.; Diéguez-Aranda, U.; Rodríguez-Soalleiro, R. Modelling Dominant Height Growth in Plantations of Pseudotsuga menziesii (Mirb.) Franco in Spain. South. For. 2015, 77, 315–319. [Google Scholar] [CrossRef]
- Bravo, F.; Alvarez-Gonzalez, J.G.; Del Rio, M.; Barrio, M.; Bonet, J.A.; Bravo-Oviedo, A.; Calama, R.; Castedo-Dorado, F.; Crecente-Campo, F.; Condes, S.; et al. Growth and Yield Models in Spain: Historical Overview, Contemporary Examples and Perspectives. For. Syst. 2011, 20, 315. [Google Scholar] [CrossRef]
- Carmean, W.H. Site Index Curves for Upland Oaks in the Central States. For. Sci. 1972, 18, 109–120. [Google Scholar]
- Richards, F.J. A Flexible Growth Function for Empirical Use. J. Exp. Bot. 1959, 10, 290–300. [Google Scholar] [CrossRef]
- Korf, V. A Mathematical Definition of Stand Volume Growth Law. Lesn. Pr. 1939, 18, 337–379. [Google Scholar]
- Mc Dill, M.E.; Amateis, R.L. Measuring Forest Site Quality Using the Parameters of a Dimensionally Compatible Height Growth Function. For. Sci. 1992, 38, 409–429. [Google Scholar]
- Bailey, R.L.; Clutter, J.L. Base-Age Invariant Polymorphic Site Curve. For. Sci. 1974, 20, 155–159. [Google Scholar]
- Cieszewski, C.J.; Bailey, R.L. Generalized Algebraic Difference Approach: A New Methodology for Derivation of Biologically Based Dynamic Site Equations. For. Sci. 2014, 46, 116–126. [Google Scholar]
- Cieszewski, C.J.; Martin, S.W.; Warnell, D.B.; Cieszewski, C.J.; Harrison, M.; Warnell, D. Practical Methods for Estimating Non-Biased Parameters in Self-Referencing Growth and Yield Models; PMRC Technical Report 2000-7.; Plantation Management Research Cooperativ: Athens, GA, USA, 2000. [Google Scholar]
- Clutter, J.L.; Jones, E.P. Prediction of Growth after Thinning in Old-Field Slash Pine Plantations; USDA Forest Service Research: Ashville, NC, USA, 1980. [Google Scholar]
- Wang, Y.; LeMay, V.M.; Baker, T.G. Modelling and Prediction of Dominant Height and Site Index of Eucalyptus globulus Plantations Using a Nonlinear Mixed-Effects Model Approach. Can. J. For. Res. 2007, 37, 1390–1403. [Google Scholar] [CrossRef]
- Huang, S. Development of Compatible Height and Site Index Models for Young and Mature Stands within an Ecosystem-Based Management Framework. In Empirical and Process Based Models for Forest Tree and Stand Growth Simulation; Amaro, A., Tomé, M., Eds.; Edicoes Salamandra: Lisboa, Portugal, 1997; p. 591. [Google Scholar]
- Zimmerman, D.L.; Núñez-Antón, V. Parametric Modelling of Growth Curve Data: An Overview. Test 2001, 10, 1–73. [Google Scholar] [CrossRef]
- Diéguez-Aranda, U.; Grandas-Arias, J.A.; Álvarez-González, J.G.; Von Gadow, K. Site Quality Curves for Birch Stands in North-Western Spain. Silva Fenn. 2006, 40, 631–644. [Google Scholar] [CrossRef]
- Grossnickle, S.C.; MacDonald, J.E. Seedling Quality: History, Application, and Plant Attributes. Forests 2018, 9, 283. [Google Scholar] [CrossRef]
- Wall, A.; Hytönen, J. Soil Fertility of Afforested Arable Land Compared to Continuously Forested Sites. Plant Soil 2005, 275, 247–260. [Google Scholar] [CrossRef]
- Sauer, T.J.; James, D.E.; Cambardella, C.A.; Hernandez-Ramirez, G. Soil Properties Following Reforestation or Afforestation of Marginal Cropland. Plant Soil. 2012, 360, 375–390. [Google Scholar] [CrossRef]
- Liu, Q.; Fu, L.; Chen, Q.; Wang, G.; Luo, P.; Sharma, R.P.; He, P.; Li, M.; Wang, M.; Duan, G. Analysis of the Spatial Differences in Canopy Height Models from UAV LiDAR and Photogrammetry. Remote Sens. 2020, 12, 2884. [Google Scholar] [CrossRef]
- UNFCCC. Estimation of Carbon Stocks and Change in Carbon Stocks of Trees and Shrubs in A/R CDM Project Activities. Version 04.2. In CDM Methodological Tool AR-TOOL14; UNFCC: New York, NY, USA, 2014. [Google Scholar]
- López-Senespleda, E.; Alonso-Ponce, R.; Ruiz-Peinado, R.; Gómez, V.; Serrada, R.; Montero, G. ModERFoRest: A New Software for Assessing the Environmental Performance of Forest Species. For. Syst. 2023, 32, eRC01. [Google Scholar] [CrossRef]
- Park, S.; Yang, A.R.; Kim, E.H.; Lim, J. Model Development to Estimate Site Index Values for Six Major Tree Species in North Korea. J. For. Res. 2023, 34, 387–400. [Google Scholar] [CrossRef]





| Area (m2) | N (Stems ha−1) | Age (Years) | Hm (m) | RCD (cm) | Wtot (kg ha−1) | |||||||
|---|---|---|---|---|---|---|---|---|---|---|---|---|
| Species | Plots | Mean | Range | Mean | Range | Mean | Range | Mean | Range | Mean | Range | |
| P. sylvestris | 48 | 382 | 1443 | 504–2900 | 19 | 5–38 | 6.5 | 0.6–17.9 | 13.7 | 1.4–29.2 | 43,882 | 95–148,800 |
| P. pinea | 88 | 521 | 884 | 206–2375 | 15 | 1–35 | 3.2 | 0.3–9.0 | 14.5 | 0.6–27.4 | 20,990 | 18–91,036 |
| P. halepensis | 107 | 469 | 862 | 178–2375 | 15 | 2–35 | 3.5 | 0.4–7.9 | 13.0 | 0.6–30.8 | 19,512 | 89–70,041 |
| P. nigra | 59 | 407 | 1208 | 380–2083 | 20 | 3–44 | 6.1 | 0.2–17.1 | 14.8 | 0.6–32.7 | 57,123 | 9–204,667 |
| P. pinaster | 58 | 428 | 1066 | 323–2281 | 21 | 4–41 | 6.4 | 0.5–16.7 | 14.8 | 1.9–42.6 | 42,569 | 174–127,569 |
| Q. robur | 15 | 444 | 1367 | 233–2650 | 13 | 4–20 | 3.8 | 0.1–10.1 | 8.3 | 1.5–18.4 | 14,738 | 14–112,381 |
| Q. pyrenaica | 14 | 412 | 1291 | 633–2415 | 13 | 3–25 | 1.7 | 0.2–8.1 | 3.7 | 0.3–14.2 | 8330 | 4–85,821 |
| Q. faginea | 34 | 486 | 907 | 86–1835 | 15 | 3–30 | 2.2 | 0.1–7.0 | 7.0 | 0.3–23.1 | 8979 | 5–57,140 |
| Q. ilex | 168 | 541 | 756 | 125–5384 | 14 | 1–30 | 1.5 | 0.1–5.9 | 8.5 | 0.2–22.9 | 7383 | 2–137,655 |
| Q. suber | 63 | 844 | 549 | 28–1760 | 14 | 4–25 | 3.3 | 0.4–7.0 | 15.3 | 1–29.2 | 15,929 | 14–167,920 |
| Species | Stem Analysis | Mean Age | Age Range | Mean Height | Height Range | Mean Root Collar Diameter | Root Collar Diameter Range |
|---|---|---|---|---|---|---|---|
| P. sylvestris | 54 | 22.0 | 6–39 | 6.5 | 0.8–18.3 | 14.8 | 2.5–41.1 |
| P. pinea | 57 | 19.9 | 6–35 | 5.1 | 0.8–11 | 17.8 | 1.7–36 |
| P. halepensis | 50 | 16.9 | 8–24 | 3.4 | 1.1–6.5 | 11.3 | 4.0–29.8 |
| P. nigra | 62 | 23.1 | 6–40 | 6.9 | 0.9–19.3 | 15.8 | 3.5–44.1 |
| P. pinaster | 51 | 19.4 | 4–39 | 7.7 | 0.9–21.3 | 19.1 | 3.0–49.0 |
| Q. robur | 13 | 14.8 | 9–18 | 5.3 | 2.5–10.3 | 8.5 | 3.9–18.0 |
| Q. pyrenaica | 9 | 17.3 | 11–23 | 5.6 | 1.6–10.2 | 7.6 | 1.15–15.9 |
| Q. faginea | 20 | 13.1 | 7–19 | 3.0 | 1.6–4.8 | 8.1 | 3.6–19.5 |
| Q. ilex | 26 | 14.3 | 6–23 | 3.0 | 1.2–6.2 | 9.1 | 3.6–23.1 |
| Q. suber | 28 | 13.2 | 10–17 | 3.0 | 1.1–6.6 | 12.9 | 3.6–30.6 |
| TOTAL | 370 |
| Model | Base Model | Expanse | Dynamic Model |
|---|---|---|---|
| M1 | ADA | ||
| M2 | ADA | ||
| M3 | ADA | ||
| M4 | ADA | ||
| M5 | GADA | ||
| M6 | GADA | ||
| M7 | ADA | ||
| M8 | GADA | ||
| M9 | GADA | ||
| M10 | GADA |
|
| P. sylvestris | P. pinea | P. halepensis | P. nigra | P. pinaster | |||||||||||
| Model | RMSE | AICd | sig | RMSE | AICd | sig | RMSE | AICd | sig | RMSE | AICd | sig | RMSE | AICd | sig |
| M1 | 0.595 | 0 | *** | 0.407 | 12 | *** | 0.441 | 47 | * | 0.395 | 0 | *** | 0.698 | 0 | *** |
| M2 | 0.634 | 418 | *** | 0.459 | 416 | *** | 0.423 | 0 | *** | 0.506 | 2090 | *** | 0.823 | 1165 | ** |
| M3 | 0.604 | 101 | *** | 0.450 | 348 | *** | NC | 0.436 | 839 | *** | 0.738 | 394 | *** | ||
| M4 | 0.611 | 172 | *** | 0.458 | 407 | *** | NC | 0.452 | 1147 | *** | 0.760 | 606 | *** | ||
| M5 | 0.617 | 236 | *** | 0.455 | 387 | ** | 0.446 | 60 | ** | 0.480 | 1658 | *** | 0.789 | 867 | *** |
| M6 | 0.605 | 104 | *** | 0.405 | 0 | *** | 0.441 | 46 | ** | 0.417 | 461 | *** | 0.721 | 227 | *** |
| M7 | 0.604 | 97 | *** | 0.452 | 359 | *** | 0.448 | 66 | *** | 0.436 | 842 | *** | 0.738 | 390 | *** |
| M8 | NC | NC | NC | NC | NC | ||||||||||
| M9 | 0.642 | 501 | *** | NC | NC | 0.512 | 2191 | *** | NC | ||||||
| M10 | 1.942 | 7893 | *** | 1.255 | 3753 | *** | 0.863 | 813 | *** | NC | 2.387 | 8733 | *** | ||
| Q. robur | Q. pyrenaica | Q. faginea | Q. ilex | Q. suber | |||||||||||
| Model | RMSE | AICd | sig | RMSE | AICd | sig | RMSE | AICd | sig | RMSE | AICd | sig | RMSE | AICd | sig |
| M1 | 0.481 | 32 | * | 0.690 | 1 | * | 0.357 | 2 | * | 0.296 | 5 | *** | 0.318 | 0 | *** |
| M2 | 0.418 | 0 | *** | 0.702 | 4 | *** | 0.371 | 13 | ** | 0.372 | 143 | *** | 0.451 | 290 | ** |
| M3 | NC | 0.726 | 9 | *** | 0.355 | 1 | *** | 0.347 | 102 | *** | 0.347 | 72 | *** | ||
| M4 | NC | 0.748 | 14 | * | 0.363 | 8 | *** | 0.356 | 117 | *** | 0.362 | 107 | *** | ||
| M5 | 0.497 | 40 | ** | 0.753 | 15 | ** | 0.354 | 0 | ** | 0.366 | 134 | ** | 0.398 | 185 | *** |
| M6 | 0.481 | 32 | ** | 0.687 | 0 | ** | 0.357 | 2 | ** | 0.294 | 0 | *** | 0.321 | 7 | *** |
| M7 | 0.502 | 42 | ** | 0.727 | 10 | *** | 0.357 | 2 | *** | 0.349 | 105 | *** | 0.349 | 75 | *** |
| M8 | NC | NC | 0.358 | 2 | ** | NC | NC | ||||||||
| M9 | NC | NC | NC | NC | NC | ||||||||||
| M10 | 1.243 | 249 | ** | 1.362 | 115 | ** | 0.857 | 258 | *** | 0.808 | 615 | * | 0.787 | 753 | *** |
| Species | Model | a1 | a2 |
|---|---|---|---|
| P. sylvestris | M1 | −0.0070 | 75.0863 |
| P. pinea | M6 | 0.0022 | −3.6977 |
| P. halepensis | M2 | 0.0759 | 0.6520 |
| P. nigra | M1 | −0.0120 | 52.2884 |
| P. pinaster | M1 | −0.0111 | 65.4742 |
| Q. robur | M2 | 0.0953 | 0.6137 |
| Q. pyrenaica | M6 | 0.0011 | −4.9734 |
| Q. faginea | M7 | 10.3165 | 1.0842 |
| Q. ilex | M6 | 0.0035 | −3.2064 |
| Q. suber | M1 | −0.0275 | 13.2061 |
| Reference Age 1 (10 Years Pinus and Quercus) | Reference Age 2 (20 Years Pinus; 15 Years Quercus) | Reference Age 3 (30 Years Pinus; 20 Years Quercus) | |||||||
|---|---|---|---|---|---|---|---|---|---|
| Species | AICd | AdjR2 | |E| | AICd | AdjR2 | |E| | AICd | AdjR2 | |E| |
| P. sylvestris | 2.72 | 86.0% | 10,796 | 0.86 | 86.6% | 10,683 | 0.00 | 86.8% | 10,655 |
| P. pinea | 6.73 | 83.4% | 5843 | 2.38 | 84.2% | 5703 | 0.00 | 84.6% | 5643 |
| P. halepensis | 0.00 | 92.0% | 3709 | 0.00 | 92.0% | 3709 | 0.00 | 92.0% | 3709 |
| P. nigra | 0.01 | 95.9% | 9559 | 0.00 | 95.9% | 9887 | 0.99 | 95.8% | 10,053 |
| P. pinaster | 11.47 | 84.1% | 9805 | 3.97 | 86.0% | 9028 | 0.00 | 87.0% | 8591 |
| Q. robur | 0.00 | 99.7% | 1207 | 0.00 | 99.7% | 1207 | 0.00 | 99.7% | 1207 |
| Q. pyrenaica | 4.22 | 99.2% | 1730 | 1.86 | 99.3% | 1604 | 0.00 | 99.4% | 1504 |
| Q. faginea | 7.52 | 82.2% | 4182 | 3.49 | 84.2% | 3945 | 0.00 | 85.7% | 3744 |
| Q. ilex | 26.29 | 91.1% | 3031 | 9.93 | 91.9% | 2915 | 0.00 | 92.4% | 2840 |
| Q. suber | 4.69 | 92.3% | 5072 | 1.78 | 92.7% | 4951 | 0.00 | 92.9% | 4874 |
| Species | a | b | b1 | b2 |
|---|---|---|---|---|
| P. sylvestris | 1156.3 | 0.78544 | 0.00006 | 0.03286 |
| P. pinea | 250.9 | 0.77303 | 0.00031 | 0.08417 |
| P. halepensis | 52.2 | 1.39838 | 0.00025 | 0.05534 |
| P. nigra | 233.8 | 1.01399 | 0.00021 | 0.05138 |
| P. pinaster | 111.0 | 1.34620 | 0.00023 | 0.03543 |
| Q. robur | 19.6 | 1.27524 | 0.00017 | 0.11824 |
| Q. pyrenaica | 635.8 | 0.05333 | 0.00010 | 0.16367 |
| Q. faginea | 38.0 | 0.86443 | 0.00019 | 0.22650 |
| Q. ilex | 3.8 | 2.03002 | 0.00024 | 0.19425 |
| Q. suber | 82.2 | 0.73551 | 0.00048 | 0.17603 |
Disclaimer/Publisher’s Note: The statements, opinions and data contained in all publications are solely those of the individual author(s) and contributor(s) and not of MDPI and/or the editor(s). MDPI and/or the editor(s) disclaim responsibility for any injury to people or property resulting from any ideas, methods, instructions or products referred to in the content. |
© 2024 by the authors. Licensee MDPI, Basel, Switzerland. This article is an open access article distributed under the terms and conditions of the Creative Commons Attribution (CC BY) license (https://creativecommons.org/licenses/by/4.0/).
Share and Cite
Calama, R.; Madrigal, G.; del Río, M.; López-Senespleda, E.; Pardos, M.; Ruiz-Peinado, R.; Menéndez-Miguélez, M. Dynamic Height Growth Equations and Site Index-Based Biomass Models for Young Native Species Afforestations in Spain. Forests 2024, 15, 827. https://doi.org/10.3390/f15050827
Calama R, Madrigal G, del Río M, López-Senespleda E, Pardos M, Ruiz-Peinado R, Menéndez-Miguélez M. Dynamic Height Growth Equations and Site Index-Based Biomass Models for Young Native Species Afforestations in Spain. Forests. 2024; 15(5):827. https://doi.org/10.3390/f15050827
Chicago/Turabian StyleCalama, Rafael, Guillermo Madrigal, Miren del Río, Eduardo López-Senespleda, Marta Pardos, Ricardo Ruiz-Peinado, and María Menéndez-Miguélez. 2024. "Dynamic Height Growth Equations and Site Index-Based Biomass Models for Young Native Species Afforestations in Spain" Forests 15, no. 5: 827. https://doi.org/10.3390/f15050827
APA StyleCalama, R., Madrigal, G., del Río, M., López-Senespleda, E., Pardos, M., Ruiz-Peinado, R., & Menéndez-Miguélez, M. (2024). Dynamic Height Growth Equations and Site Index-Based Biomass Models for Young Native Species Afforestations in Spain. Forests, 15(5), 827. https://doi.org/10.3390/f15050827

