Study on the Influence of Host–Guest Interaction on Tourists’ Pro-Environment Behavior: Evidence from Taishan National Forest Park in China
Abstract
1. Introduction
2. Literature Review and Hypothesis Development
2.1. Pro-Environment Behavior
2.2. Relationship between Host–Guest Interaction and Tourists’ Pro-Environment Behavior
2.2.1. Social Exchange Theory
2.2.2. Norm Activation Theory
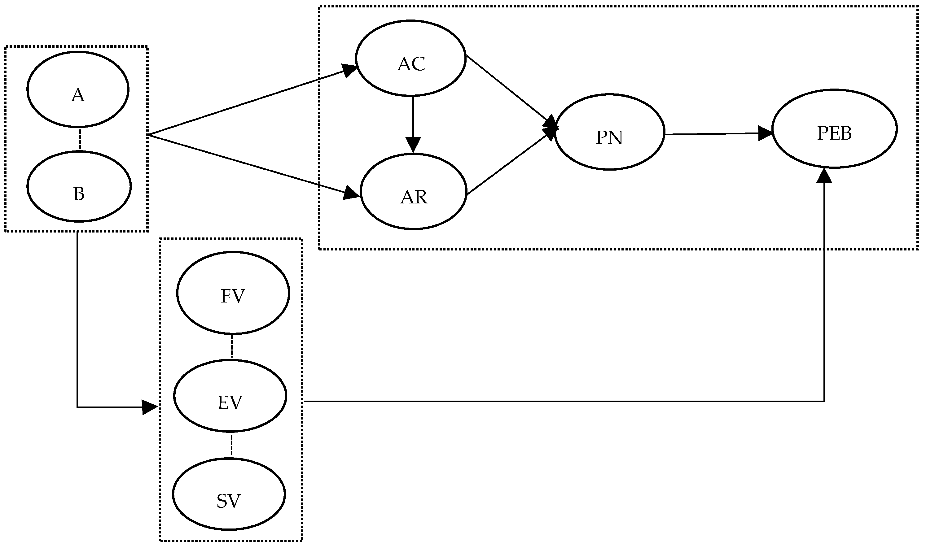
3. Methods
3.1. Measurement of Constructs
3.2. Measurement Pretest
3.3. Data Collection and Sample Characteristics
4. Results
4.1. Common Method Variance Test
4.2. Measurement Model Test
4.3. Structural Model Test
5. Conclusions, Discussion, and Implications
5.1. Conclusions
5.2. Theoretical Contributions
5.3. Practical Implications
5.4. Limitations and Future Research Directions
Author Contributions
Funding
Institutional Review Board Statement
Data Availability Statement
Conflicts of Interest
References
- Feng, Y.; Zeng, Z.; Searchinger, T.D.; Ziegler, A.D.; Wu, J.; Wang, D.; He, X.; Elsen, P.R.; Ciais, P.; Xu, R.; et al. Doubling of annual forest carbon loss over the tropics during the early twenty-first century. Nat. Sustain. 2022, 5, 444–451. [Google Scholar] [CrossRef]
- Chen, X.; Liu, C.; Yu, X. Urbanization, economic development, and ecological environment: Evidence from provincial panel data in China. Sustainability 2022, 14, 1124. [Google Scholar] [CrossRef]
- Jin, G.; Chen, K.; Liao, T.; Zhang, L.; Najmuddin, O. Measuring ecosystem services based on government intentions for future land use in Hubei Province: Implications for sustainable landscape management. Landsc. Ecol. 2021, 36, 2025–2042. [Google Scholar] [CrossRef]
- Xiong, J.; Wang, X.; Zhao, D.; Wang, J. Spatiotemporal evolution for early warning of ecological carrying capacity during the urbanization process in the Dongting Lake area, China. Ecol. Inform. 2023, 75, 102071. [Google Scholar] [CrossRef]
- Yeboah, T. Dynamics of ecotourism benefits distribution. Tour. Plan. Dev. 2024, 21, 122–137. [Google Scholar] [CrossRef]
- Dudek, T. Recreational potential as an indicator of accessibility control in protected mountain forest areas. J. Mt. Sci. 2017, 14, 1419–1427. [Google Scholar] [CrossRef]
- Schuhmann, P.W.; Skeete, R.; Waite, R.; Lorde, T.; Bangwayo-Skeete, P.; Oxenford, H.A.; Gill, D.; Moore, W.; Spencer, F. Visitors’ willingness to pay marine conservation fees in Barbados. Tour. Manag. 2019, 71, 315–326. [Google Scholar] [CrossRef]
- DeSombre, E.R. Individual behavior and global environmental problems. Glob. Environ. Polit. 2018, 18, 5–12. [Google Scholar] [CrossRef]
- Li, Q.; Wu, M. Tourists’ pro-environmental behaviour in travel destinations: Benchmarking the power of social interaction and individual attitude. J. Sustain. Tour. 2020, 28, 1371–1389. [Google Scholar] [CrossRef]
- Klein, S.A.; Horsten, L.K.; Hilbig, B.E. The effect of environmental versus social framing on pro-environmental behavior. J. Environ. Psychol. 2022, 84, 101897. [Google Scholar] [CrossRef]
- Meng, J.; Long, Y.; Lefeng, S. Stakeholders’ evolutionary relationship analysis of China’s national park ecotourism development. J. Environ. Manag. 2022, 316, 115188. [Google Scholar] [CrossRef] [PubMed]
- Jensen, B.B. Knowledge, action and pro-environmental behaviour. Environ. Educ. Res. 2002, 8, 325–334. [Google Scholar] [CrossRef]
- Ehrlich, P.R.; Kennedy, D. Millennium assessment of human behavior. Science 2005, 309, 562–563. [Google Scholar] [CrossRef] [PubMed]
- Otto, S.; Pensini, P.; Zabel, S.; Diaz-Siefer, P.; Burnham, E.; Navarro-Villarroel, C.; Neaman, A. The prosocial origin of sustainable behavior: A case study in the ecological domain. Glob. Environ. Change 2021, 69, 102312. [Google Scholar] [CrossRef]
- Cottrell, S.P. Influence of sociodemographics and environmental attitudes on general responsible environmental behavior among recreational boaters. Environ. Behav. 2003, 35, 347–375. [Google Scholar] [CrossRef]
- Kaiser, F.G. A general measure of ecological behavior 1. J. Appl. Soc. Psychol. 1998, 28, 395–422. [Google Scholar] [CrossRef]
- Huddart-Kennedy, E.; Beckley, T.M.; McFarlane, B.L.; Nadeau, S. Rural-urban differences in environmental concern in Canada. Rural. Sociol. 2009, 74, 309–329. [Google Scholar] [CrossRef]
- Moeller, T.; Dolnicar, S.; Leisch, F. The sustainability–profitability trade-off in tourism: Can it be overcome? J. Sustain. Tour. 2011, 19, 155–169. [Google Scholar] [CrossRef]
- Juvan, E.; Dolnicar, S. The attitude–behaviour gap in sustainable tourism. Ann. Tour. Res. 2014, 48, 76–95. [Google Scholar] [CrossRef]
- Gifford, R.; Nilsson, A. Personal and social factors that influence pro-environmental concern and behaviour: A review. Int. J. Psychol. 2014, 49, 141–157. [Google Scholar] [CrossRef]
- Meyer, A. Heterogeneity in the preferences and pro-environmental behavior of college students: The effects of years on campus, demographics, and external factors. J. Clean. Prod. 2016, 112, 3451–3463. [Google Scholar] [CrossRef]
- Gatersleben, B.; Murtagh, N.; Abrahamse, W. Values, identity and pro-environmental behaviour. Contemp. Soc. Sci. 2014, 9, 374–392. [Google Scholar] [CrossRef]
- Lee, S.; Park, H.J.; Kim, K.H.; Lee, C.K. A moderator of destination social responsibility for tourists’ pro-environmental behaviors in the VIP model. J. Destin. Mark. Manag. 2021, 20, 100610. [Google Scholar] [CrossRef]
- Xu, F.; Huang, L.; Whitmarsh, L. Home and away: Cross-contextual consistency in tourists’ pro-environmental behavior. J. Sustain. Tour. 2020, 28, 1443–1459. [Google Scholar] [CrossRef]
- Barr, S.; Shaw, G.; Coles, T.; Prillwitz, J. ‘A holiday is a holiday’: Practicing sustainability, home and away. J. Transp. Geogr. 2010, 18, 474–481. [Google Scholar] [CrossRef]
- Ling, M.; Xu, L. Relationships between personal values, micro-contextual factors and residents’ pro-environmental behaviors: An explorative study. Resour. Conserv. Recy. 2020, 156, 104697. [Google Scholar] [CrossRef]
- Amir, Y.; Ben-Ari, R. International tourism, ethnic contact, and attitude change. J. Soc. Issues 1985, 41, 105–115. [Google Scholar] [CrossRef]
- Brewer, J.D. Tourism and ethnic stereotypes: Variations in a Mexican town. Ann. Tour. Res. 1984, 11, 487–501. [Google Scholar] [CrossRef]
- Chen, N.; Hsu, C.H.; Li, X.R. Feeling superior or deprived? Attitudes and underlying mentalities of residents towards Mainland Chinese tourists. Tour. Manag. 2018, 66, 94–107. [Google Scholar] [CrossRef]
- Pizam, A.; Uriely, N.; Reichel, A. The intensity of tourist–host social relationship and its effects on satisfaction and change of attitudes: The case of working tourists in Israel. Tour. Manag. 2000, 21, 395–406. [Google Scholar] [CrossRef]
- Sharpley, R. Host perceptions of tourism: A review of the research. Tour. Manag. 2014, 42, 37–49. [Google Scholar] [CrossRef]
- Shi, F.; Han, X.; Samaniego-Chávez, C.E. Residents’ Perceived Benefits of Host-Guest Interaction: Scale Development and Validation. J. Travel Res. 2024. Available online: https://journals.sagepub.com/doi/10.1177/00472875231224238 (accessed on 8 March 2024).
- Liu, Z.; Feng, S. Linking political attitude and pro-environmental behaviors in China. Appl. Econ. Lett. 2020, 27, 1463–1468. [Google Scholar] [CrossRef]
- Polasky, S.; Kling, C.L.; Levin, S.A.; Carpenter, S.R.; Daily, G.C.; Ehrlich, P.R.; Heal, G.M.; Lubchenco, J. Role of economics in analyzing the environment and sustainable development. Proc. Natl. Acad. Sci. USA 2019, 116, 5233–5238. [Google Scholar] [CrossRef] [PubMed]
- Dudek, T.; Szkutnik, P.; Bilek, M.; Olbrycht, T.; Chmielowska, K.; Dziuba, M.; Czerniakowski, Z. Damage to the forest environment as a result of tourism and recreation. Sylwan 2020, 164, 170–176. [Google Scholar]
- Hansmann, R.; Laurenti, R.; Mehdi, T.; Binder, C.R. Determinants of pro-environmental behavior: A comparison of university students and staff from diverse faculties at a Swiss University. J. Clean. Prod. 2020, 268, 121864. [Google Scholar] [CrossRef]
- Wu, J.S.; Font, X.; Liu, J. The elusive impact of pro-environmental intention on holiday on pro-environmental behaviour at home. Tour. Manag. 2021, 85, 104283. [Google Scholar] [CrossRef]
- Liu, J.; Wu, J.S.; Che, T. Understanding perceived environment quality in affecting tourists’ environmentally responsible behaviours: A broken windows theory perspective. Tour. Manag. Perspect. 2019, 31, 236–244. [Google Scholar] [CrossRef]
- Lavergne, K.J.; Sharp, E.C.; Pelletier, L.G.; Holtby, A. The role of perceived government style in the facilitation of self-determined and non self-determined motivation for pro-environmental behavior. J. Environ. Psychol. 2010, 30, 169–177. [Google Scholar] [CrossRef]
- Masud, M.M.; Al-Amin, A.Q.; Junsheng, H.; Ahmed, F.; Yahaya, S.R.; Akhtar, R.; Banna, H. Climate change issue and theory of planned behaviour: Relationship by empirical evidence. J. Clean. Prod. 2016, 113, 613–623. [Google Scholar] [CrossRef]
- Wang, W.; Wu, J.; Wu, M.Y.; Pearce, P.L. Shaping tourists’ green behavior: The hosts’ efforts at rural Chinese B&Bs. J. Destin. Mark. Manag. 2018, 9, 194–203. [Google Scholar]
- Tu, H.; Ma, J. Does positive contact between residents and tourists stimulate tourists’ environmentally responsible behavior? The role of gratitude and boundary conditions. J. Travel Res. 2022, 61, 1774–1790. [Google Scholar] [CrossRef]
- Helkkula, A.; Kelleher, C.; Pihlström, M. Characterizing value as an experience: Implications for service researchers and managers. J. Serv. Res. 2012, 15, 59–75. [Google Scholar] [CrossRef]
- Wei, M.; Bai, C.; Li, C.; Wang, H. The effect of host–guest interaction in tourist co-creation in public services: Evidence from Hangzhou. Asia Pac. J. Tour. Res. 2020, 25, 457–472. [Google Scholar] [CrossRef]
- Sánchez, J.; Callarisa, L.; Rodriguez, R.M.; Moliner, M.A. Perceived value of the purchase of a tourism product. Tour. Manag. 2006, 27, 394–409. [Google Scholar] [CrossRef]
- Chen, Y.; Chen, R.; Hou, J.; Hou, M.; Xie, X. Research on users’ participation mechanisms in virtual tourism communities by Bayesian network. Knowl.-Based Syst. 2021, 226, 107161. [Google Scholar] [CrossRef]
- Carlson, J.; Rosenberger, P.J., III; Rahman, M.M. Cultivating group-oriented travel behaviour to major events: Assessing the importance of customer-perceived value, enduring event involvement and attitude towards the host destination. J. Market. Manag. 2015, 31, 1065–1089. [Google Scholar] [CrossRef]
- Williams, P.; Soutar, G.N. Value, satisfaction and behavioral intentions in an adventure tourism context. Ann. Tour. Res. 2009, 36, 413–438. [Google Scholar] [CrossRef]
- Choi, Y.; Kim, J.; Lee, C.K.; Hickerson, B. The role of functional and wellness values in visitors’ evaluation of spa experiences. Asia Pac. J. Tour. Res. 2015, 20, 263–279. [Google Scholar] [CrossRef]
- Ahn, J.; Lee, C.K.; Back, K.J.; Schmitt, A. Brand experiential value for creating integrated resort customers’ co-creation behavior. Int. J. Hosp. Manag. 2019, 81, 104–112. [Google Scholar] [CrossRef]
- Schwartz, S.H. Normative influences on altruism. In Advances in Experimental Social Psychology; Berkowitz, L., Ed.; Academic Press: New York, NY, USA, 1977; Volume 10, pp. 221–279. [Google Scholar]
- Hopper, J.R.; Nielsen, J.M. Recycling as altruistic behavior: Normative and behavioral strategies to expand participation in a community recycling program. Environ. Behav. 1991, 23, 195–220. [Google Scholar] [CrossRef]
- Onwezen, M.C.; Antonides, G.; Bartels, J. The Norm Activation Model: An exploration of the functions of anticipated pride and guilt in pro-environmental behaviour. J. Econ. Psychol. 2013, 39, 141–153. [Google Scholar] [CrossRef]
- Joanes, T. Personal norms in a globalized world: Norm-activation processes and reduced clothing consumption. J. Clean. Prod. 2019, 212, 941–949. [Google Scholar] [CrossRef]
- Klöckner, C.A.; Ohms, S. The importance of personal norms for purchasing organic milk. Brit. Food J. 2009, 111, 1173–1187. [Google Scholar] [CrossRef]
- Gao, J.; Huang, Z.; Zhang, C. Tourists’ perceptions of responsibility: An application of norm-activation theory. J. Sustain. Tour. 2017, 25, 276–291. [Google Scholar] [CrossRef]
- Zhang, Y.; Wang, Z.; Zhou, G. Antecedents of employee electricity saving behavior in organizations: An empirical study based on norm activation model. Energ. Policy 2013, 62, 1120–1127. [Google Scholar] [CrossRef]
- Caton, K. Taking the moral turn in tourism studies. Ann. Tour. Res. 2012, 39, 1906–1928. [Google Scholar] [CrossRef]
- Wu, M.Y.; Pearce, P.L. Tourists to Lhasa, Tibet: How local youth classify, understand and respond to different types of travelers. Asia Pac. J. Tour. Res. 2013, 18, 549–572. [Google Scholar] [CrossRef]
- Luo, X.; Brown, G.; Huang, S.S. Host perceptions of backpackers: Examining the influence of intergroup contact. Tour. Manag. 2015, 50, 292–305. [Google Scholar] [CrossRef]
- Fan, D.X.; Zhang, H.Q.; Jenkins, C.L.; Lin, P.M. Does tourist–host social contact reduce perceived cultural distance? J. Travel Res. 2017, 56, 998–1010. [Google Scholar] [CrossRef]
- Sweeney, J.C.; Soutar, G.N. Consumer perceived value: The development of a multiple item scale. J. Retailing. 2001, 77, 203–220. [Google Scholar] [CrossRef]
- Lee, C.K.; Yoon, Y.S.; Lee, S.K. Investigating the relationships among perceived value, satisfaction, and recommendations: The case of the Korean DMZ. Tour. Manag. 2007, 28, 204–214. [Google Scholar] [CrossRef]
- Su, L.; Hsu, M.K.; Boostrom, R.E., Jr. From recreation to responsibility: Increasing environmentally responsible behavior in tourism. J. Bus. Res. 2020, 109, 557–573. [Google Scholar] [CrossRef]
- Han, H.; Olya, H.G.; Kim, J.; Kim, W. Model of sustainable behavior: Assessing cognitive, emotional and normative influence in the cruise context. Bus. Strateg. Environ. 2018, 27, 789–800. [Google Scholar] [CrossRef]
- Su, L.; Huang, S.S.; Pearce, J. How does destination social responsibility contribute to environmentally responsible behaviour? A destination resident perspective. J. Bus. Res. 2018, 86, 179–189. [Google Scholar] [CrossRef]
- Su, L.; Swanson, S.R. Perceived corporate social responsibility’s impact on the well-being and supportive green behaviors of hotel employees: The mediating role of the employee-corporate relationship. Tour. Manag. 2019, 72, 437–450. [Google Scholar] [CrossRef]
- Xiang, Y. Global-Local Relationships in World Heritage: Mount Taishan, China. The Geographic and Historic Background of the Research Site. Ph.D. Thesis, University of Waterloo, Waterloo, ON, Canada, 2009. [Google Scholar]
- Shannon, J.R. Percentages of returns of questionnaires in reputable educational research. J. Educ. Res. 1948, 42, 138–141. [Google Scholar] [CrossRef]
- Zheng, W.; Qiu, H.; Morrison, A.M.; Wei, W.; Zhang, X. Rural and urban land tourism and destination image: A dual-case study approach examining energy-saving behavior and loyalty. Land 2022, 11, 146. [Google Scholar] [CrossRef]
- Podsakoff, P.M.; Organ, D.W. Self-reports in organizational research: Problems and prospects. J. Manag. 1986, 12, 531–544. [Google Scholar] [CrossRef]
- Xiong, L.; Wang, H.; Yang, Y.; He, W. Promoting resident-tourist interaction quality when residents are expected to be hospitable hosts at destinations. J. Hosp. Tour. Manag. 2021, 46, 183–192. [Google Scholar] [CrossRef]


| Demographics | % | Demographics | % |
|---|---|---|---|
| Gender | Income (RMB/Month) | ||
| Male | 60.3 | 2000 and below | 28.9 |
| Female | 39.7 | 2001~5000 | 17.4 |
| Age | 5001~8000 | 25.6 | |
| 20 and below | 23 | 8001~10,000 | 12.6 |
| 21~30 | 41.9 | More than 10,001 | 15.5 |
| 31~40 | 20 | Residential region | |
| 41~50 | 8.2 | Other cities of Shandong province | 34.1 |
| 51 and over | 6.8 | Cities outside Shandong province | 65.7 |
| Education | Foreign | 0.2 | |
| Junior high school or below | 6.4 | Marital Status | |
| Senior high school/technical | 13.2 | Married | 32.9 |
| Junior college/undergraduate | 72.3 | Unmarried | 64.9 |
| Master’s degree | 6.2 | Other | 2.2 |
| Master’s degree above | 1.8 | Visiting frequency | |
| Occupation | First time | 74.9 | |
| Agricultural laborers | 1.6 | Second time | 13.6 |
| Enterprise staff | 26.6 | Third time | 4.2 |
| Government | 9.7 | Fourth time | 3.2 |
| Student | 32.3 | More than the Fourth time | 4.0 |
| Self-employed | 11.7 | ||
| Other | 18.1 |
| Measurement Items | Estimate | AVE | CR | α | |
|---|---|---|---|---|---|
| Host–guest interaction quantity | |||||
| A1 | How often have you communicated with local residents? | 0.857 | 0.595 | 0.814 | 0.812 |
| A2 | How often have you communicated with local service personnel in the tourism service scenario? | 0.713 | |||
| A3 | How often have you communicated with local residents outside of the tourism service scenario? | 0.736 | |||
| Host–guest interaction quality | |||||
| B1 | My interaction with local residents is harmonious. | 0.914 | 0.733 | 0.915 | 0.911 |
| B2 | My interaction with local residents is friendly. | 0.954 | |||
| B3 | My interaction with local residents is equal. | 0.846 | |||
| B4 | My interaction with local residents is cooperative. | 0.686 | |||
| Social value | |||||
| SV1 | Interaction with local residents makes me feel acceptable. | 0.911 | 0.797 | 0.922 | 0.921 |
| SV2 | Interaction with local residents makes me feel that life is meaningful. | 0.876 | |||
| SV3 | Interaction with local residents makes me feel respected. | 0.89 | |||
| Emotional value | |||||
| EV1 | Visiting Taishan National Forest Park gave me pleasure. | 0.851 | 0.742 | 0.920 | 0.919 |
| EV2 | Visiting Taishan National Forest Park made me feel better. | 0.889 | |||
| EV3 | After visiting Taishan National Forest Park, my image of the Taishan National Forest Park was improved. | 0.867 | |||
| EV4 | Taishan National Forest Park is a destination that I enjoy. | 0.837 | |||
| Functional value | |||||
| FV1 | Interaction with local residents helped me better plan my itinerary. | 0.782 | 0.588 | 0.874 | 0.868 |
| FV2 | I think Taishan National Forest Park is worth visiting. | 0.537 | |||
| FV3 | Interaction with local residents helped me find the attractions I wanted to visit. | 0.875 | |||
| FV4 | Through interaction with local residents, I received products and services that better met my needs. | 0.878 | |||
| FV5 | Interaction with local residents helped me solve some problems I encountered during my journey. | 0.708 | |||
| Awareness of consequences | |||||
| AC1 | Irresponsible environmental behavior will lead to ecological degradation and natural resource consumption in Taishan National Forest Park Scenic Area. | 0.887 | 0.715 | 0.909 | 0.893 |
| AC2 | Environmentally irresponsible behavior can possibly generate a huge environmental impact on nearby residents. | 0.83 | |||
| AC3 | Irresponsible environmental behavior can cause environmental deterioration in Taishan National Forest Park. | 0.914 | |||
| AC4 | Responsible environmental behavior helps reduce negative impacts on the environment. | 0.742 | |||
| Ascribed responsibility | |||||
| AR1 | I believe that every traveler is partly responsible for the Taishan National Forest Park’s environmental problems. | 0.863 | 0.643 | 0.843 | 0.845 |
| AR2 | I think every tourist in Taishan National Forest Park Scenic Area is partly responsible for the environmental problems caused by irresponsible environmental behavior in Taishan National Forest Park Scenic Area. | 0.798 | |||
| AR3 | I feel that every traveler is jointly responsible for the environmental deterioration caused by the development of tourism for Taishan National Forest Park. | 0.74 | |||
| Personal norm | |||||
| PN1 | I feel that I have a moral responsibility to reduce the harm to the environment. | 0.806 | 0.733 | 0.916 | 0.912 |
| PN2 | No matter what others do, I will adhere to my values and principles and travel in a responsible way for the environment. | 0.895 | |||
| PN3 | I think I should do things that are beneficial to the environment when traveling. | 0.845 | |||
| PN4 | I think people should reduce the negative impact on the local community during travel. | 0.876 | |||
| Pro-environment behavior | |||||
| PEB1 | I comply with the legal ways not to destroy the destination’s environment. | 0.696 | 0.459 | 0.806 | 0.804 |
| PEB3 | When I see garbage, I will make an effort to put them in the trash can. | 0.575 | |||
| PEB4 | If there are cleaning environment activities, l am willing to attend. | 0.537 | |||
| PEB5 | I would convince my travel companions, if any, to protect the natural environment of the destination. | 0.742 | |||
| PEB6 | I will not destroy the animals and plants in Taishan National Forest Park Scenic Area when visiting. | 0.802 | |||
| Variables | Host–Guest Interaction Quantity | Host–Guest Interaction Quality | Social Value | Emotional Value | Functional Value | Awareness of Consequences | Ascribed Responsibility | Personal Norm | Pro-Environment Behavior |
|---|---|---|---|---|---|---|---|---|---|
| Host–guest interaction quantity | 0.771 | ||||||||
| Host–guest interaction quality | 0.376 ** | 0.856 | |||||||
| Social value | 0.337 ** | 0.521 ** | 0.892 | ||||||
| Emotional value | 0.180 ** | 0.350 ** | 0.506 ** | 0.861 | |||||
| Functional value | 0.334 ** | 0.422 ** | 0.592 ** | 0.531 ** | 0.766 | ||||
| Awareness of consequences | 0.020 | 0.170 ** | 0.241 ** | 0.408 ** | 0.238 ** | 0.846 | |||
| Ascribed responsibility | 0.120 ** | 0.188 ** | 0.273 ** | 0.415 ** | 0.319 ** | 0.634 ** | 0.802 | ||
| Personal norm | 0.041 | 0.224 ** | 0.262 ** | 0.450 ** | 0.281 ** | 0.777 ** | 0.582 ** | 0.856 | |
| Pro-environment behavior | 0.141 ** | 0.290 ** | 0.312 ** | 0.433 ** | 0.333 ** | 0.614 ** | 0.527 ** | 0.632 ** | 0.678 |
| Hypothesis | Path Relationships | Standardized Coefficient | SE | CR | p | Test Result | ||
|---|---|---|---|---|---|---|---|---|
| H1a | FV | <--- | A | 0.249 | 0.052 | 4.479 | *** | Supported |
| H1b | FV | <--- | B | 0.315 | 0.065 | 5.813 | *** | Supported |
| H2a | EV | <--- | A | 0.058 | 0.048 | 1.057 | 0.291 | Not supported |
| H2b | EV | <--- | B | 0.345 | 0.062 | 6.245 | *** | Supported |
| H3a | SV | <--- | A | 0.169 | 0.052 | 3.374 | *** | Supported |
| H3b | SV | <--- | B | 0.487 | 0.07 | 9.203 | *** | Supported |
| H4 | PEB | <--- | FV | 0.03 | 0.032 | 0.615 | 0.538 | Not supported |
| H5 | PEB | <--- | EV | 0.089 | 0.031 | 2 | * | Supported |
| H6 | PEB | <--- | SV | 0.033 | 0.029 | 0.665 | 0.506 | Not supported |
| H7 | PN | <--- | AC | 0.726 | 0.057 | 13.449 | *** | Supported |
| H8 | PN | <--- | AR | 0.216 | 0.042 | 4.58 | *** | Supported |
| H9 | PEB | <--- | PN | 0.847 | 0.051 | 13.871 | *** | Supported |
| H10 | AR | <--- | AC | 0.685 | 0.06 | 13.517 | *** | Supported |
| H11 | AC | <--- | A | −0.09 | 0.039 | −1.562 | 0.118 | Not supported |
| H12 | AC | <--- | B | 0.228 | 0.048 | 4.111 | *** | Supported |
| H13 | AR | <--- | B | 0.064 | 0.047 | 1.395 | 0.163 | Not supported |
| H14 | AR | <--- | A | 0.112 | 0.038 | 2.343 | * | Supported |
Disclaimer/Publisher’s Note: The statements, opinions and data contained in all publications are solely those of the individual author(s) and contributor(s) and not of MDPI and/or the editor(s). MDPI and/or the editor(s) disclaim responsibility for any injury to people or property resulting from any ideas, methods, instructions or products referred to in the content. |
© 2024 by the authors. Licensee MDPI, Basel, Switzerland. This article is an open access article distributed under the terms and conditions of the Creative Commons Attribution (CC BY) license (https://creativecommons.org/licenses/by/4.0/).
Share and Cite
Lu, F.; Wang, B.; Bi, J.; Guo, W. Study on the Influence of Host–Guest Interaction on Tourists’ Pro-Environment Behavior: Evidence from Taishan National Forest Park in China. Forests 2024, 15, 813. https://doi.org/10.3390/f15050813
Lu F, Wang B, Bi J, Guo W. Study on the Influence of Host–Guest Interaction on Tourists’ Pro-Environment Behavior: Evidence from Taishan National Forest Park in China. Forests. 2024; 15(5):813. https://doi.org/10.3390/f15050813
Chicago/Turabian StyleLu, Feifei, Bingnan Wang, Juan Bi, and Weiya Guo. 2024. "Study on the Influence of Host–Guest Interaction on Tourists’ Pro-Environment Behavior: Evidence from Taishan National Forest Park in China" Forests 15, no. 5: 813. https://doi.org/10.3390/f15050813
APA StyleLu, F., Wang, B., Bi, J., & Guo, W. (2024). Study on the Influence of Host–Guest Interaction on Tourists’ Pro-Environment Behavior: Evidence from Taishan National Forest Park in China. Forests, 15(5), 813. https://doi.org/10.3390/f15050813

