Reforestation Will Lead to a Long-Term Downward Trend in the Water Content of the Surface Soil in a Semi-Arid Region
Abstract
1. Introduction
2. Methods
2.1. Site Description
2.2. Experimental Design and Sampling
2.2.1. Experimental Plots
2.2.2. Soil Water Content (SWC)
2.2.3. Statistical Analysis
2.2.4. Geostatistical Analysis
3. Results
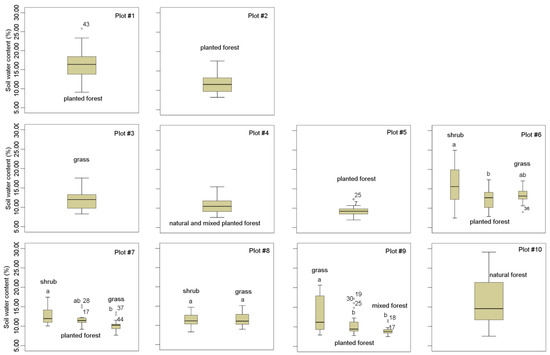
3.1. Soil Moisture Variability within Land Cover Types
3.2. The Semivariance Characteristics of Soil Moisture in the Sampling Plots
4. Discussion
4.1. Variability of Soil Moisture across Different Land Cover Types
4.2. Spatial Pattern and Heterogeneity of Soil Moisture across Succession Stages of a Planted Forest
5. Conclusions
Author Contributions
Funding
Data Availability Statement
Acknowledgments
Conflicts of Interest
References
- Brocca, L.; Morbidelli, R.; Melone, F.; Moramarco, T. Soil moisture spatial variability in experimental areas of central Italy. J. Hydrol. 2007, 333, 356–373. [Google Scholar] [CrossRef]
- Zhao, Z.; Shen, Y.; Wang, Q.; Jiang, R. The temporal stability of soil moisture spatial pattern and its influencing factors in rocky environments. Catena 2020, 187, 104418. [Google Scholar] [CrossRef]
- Saco, P.M.; Moreno-de las Heras, M. Ecogeomorphic coevolution of semiarid hillslopes: Emergence of banded and striped vegetation patterns through interaction of biotic and abiotic processes. Water Resour. Res. 2013, 49, 115–126. [Google Scholar] [CrossRef]
- Robinson, D.A.; Campbell, C.S.; Hopmans, J.W.; Hornbuckle, B.K.; Jones, S.B.; Knight, R.; Ogden, F.; Selker, J.; Wendroth, O. Soil moisture measurement for ecological and hydrological watershed-scale observatories: A review. Vadose Zone J. 2008, 7, 358–389. [Google Scholar] [CrossRef]
- Seneviratne, S.I.; Corti, T.; Davin, E.L.; Hirschi, M.; Jaeger, E.B.; Lehner, I.; Orlowsky, B.; Teuling, A.J. Investigating soil moisture-climate interactions in a changing climate: A review. Earth-Sci. Rev. 2010, 99, 125–161. [Google Scholar] [CrossRef]
- Grayson, R.B.; Western, A.W. Towards areal estimation of soil water content from point measurements: Time and space stability of mean response. J. Hydrol. 1998, 207, 68–82. [Google Scholar] [CrossRef]
- Brocca, L.; Melone, F.; Moramarco, T.; Morbidelli, R. Spatial-temporal variability of soil moisture and its estimation across scales. Water Resour. Res. 2010, 46, W02516. [Google Scholar] [CrossRef]
- Yinglan, L.; Wang, G.; Liu, T.; Xue, B.; Kuczera, G. Kuczera Spatial variation of correlations between vertical soil water and evapotranspiration and their controlling factors in a semi-arid region. J. Hydrol. 2019, 574, 53–63. [Google Scholar]
- Gomez-Plaza, A.; Alvarez-Rogel, J.; Albaladejo, J.; Castillo, V.M. Spatial patterns and temporal stability of soil moisture across a range of scales in a semi-arid environment. Hydrol. Process. 2000, 14, 1261–1277. [Google Scholar] [CrossRef]
- Gómez-Plaza, A.; Martínez-Mena, M.; Albaladejo, J.; Castillo, V.M. Factors regulating spatial distribution of soil water con-tent in small semiarid catchments. J. Hydrol. 2001, 253, 211–226. [Google Scholar] [CrossRef]
- Wang, X.M.; Zhang, C.X.; Hasi, E.; Dong, Z.B. Has the Three Norths Forest Shelterbelt Program solved the desertification and dust storm problems in arid and semiarid China? J. Arid. Environ. 2010, 74, 13–22. [Google Scholar] [CrossRef]
- Zhao, Y.; Peth, S.; Hallett, P.; Wang, X.; Giese, M.; Gao, Y.; Horn, R. Factors controlling the spatial patterns of soil moisture in a grazed semi-arid steppe investigated by multivariate geostatistics. Ecohydrology 2011, 4, 36–48. [Google Scholar] [CrossRef]
- Baroni, G.; Ortuani, B.; Facchi, A.; Gandolfi, C. The role of vegetation and soil properties on the spatio-temporal variability of the surface soil moisture in a maize-cropped field. J. Hydrol. 2013, 489, 148–159. [Google Scholar] [CrossRef]
- Vereecken, H.; Huisman, J.A.; Bogena, H.; Vanderborght, J.; Vrugt, J.A.; Hopmans, J.W. On the value of soil moisture measurements in vadose zone hydrology: A review. Water Resour. Res. 2008, 44, W00D06. [Google Scholar] [CrossRef]
- Liu, H.; Zhao, W.; He, Z. Self-organized vegetation patterning effects on surface soil hydraulic conductivity: A case study in the Qilian Mountains, China. Geoderma 2013, 192, 362–367. [Google Scholar] [CrossRef]
- Cosh, M.H.; Jackson, T.J.; Moran, S.; Bindlish, R. Temporal persistence and stability of surface soil moisture in a semi-arid watershed. Remote Sens. Environ. 2008, 112, 304–313. [Google Scholar] [CrossRef]
- He, Z.B.; Zhao, M.M.; Zhu, X.; Du, J.; Chen, L.F.; Lin, P.F.; Li, J. Temporal stability of soil water storage in multiple soil layers in high-elevation forests. J. Hydrol. 2019, 569, 532–545. [Google Scholar] [CrossRef]
- Yang, Y.; Dou, Y.; Liu, D.; An, S. Spatial pattern and heterogeneity of soil moisture along a transect in a small catchment on the Loess Plateau. J. Hydrol. 2017, 550, 466–477. [Google Scholar] [CrossRef]
- Sun, F.; Lu, Y.; Fu, B.; Ma, Z.; Yao, X. Spatial explicit soil moisture analysis: Pattern and its stability at small catchment scale in the loess hilly region of China. Hydrol. Process. 2014, 28, 4091–4109. [Google Scholar] [CrossRef]
- Zhao, C.; Jia, X.; Zhu, Y.; Shao, M. Long-term temporal variations of soil water content under different vegetation types in the Loess Plateau, China. Catena 2017, 158, 55–62. [Google Scholar] [CrossRef]
- Zucco, G.; Brocca, L.; Moramarco, T.; Morbidelli, R. Influence of land use on soil moisture spatial-temporal variability and monitoring. J. Hydrol. 2014, 516, 193–199. [Google Scholar] [CrossRef]
- Famiglietti, J.S.; Rudnicki, J.W.; Rodell, M. Variability in surface moisture content along a hillslope transect: Rattlesnake Hill, Texas. J. Hydrol. 1998, 210, 259–281. [Google Scholar] [CrossRef]
- Jian, S.; Zhao, C.; Fang, S.; Yu, K. Effects of different vegetation restoration on soil water storage and water balance in the Chinese Loess Plateau. Agric. For. Meteorol. 2015, 206, 85–96. [Google Scholar] [CrossRef]
- Sala, O.E.; Maestre, F.T. Grass–woodland transitions: Determinants and consequences for ecosystem functioning and provisioning of services. J. Ecol. 2014, 102, 1357–1362. [Google Scholar] [CrossRef]
- Wang, G.; Cheng, G. Water resource development and its influence on the environment in arid areas of China—The case of the Hei River basin. J. Arid Environ. 1999, 43, 121–131. [Google Scholar]
- Wang, Y.; Shao, M.; Zhu, Y.; Liu, Z. Impacts of land use and plant characteristics on dried soil layers in different climatic re-gions on the Loess Plateau of China. Agric. For. Meteorol 2011, 151, 437–448. [Google Scholar] [CrossRef]
- Cao, S.; Chen, L.; Shankman, D.; Wang, C.; Wang, X.; Zhang, H. Excessive reliance on afforestation in China’s arid and semi-arid regions: Lessons in ecological restoration. Earth-Sci. Rev 2011, 104, 240–245. [Google Scholar] [CrossRef]
- Fu, B.; Liu, Y.; Lü, Y.; He, C.; Zeng, Y.; Wu, B. Assessing the soil erosion control service of ecosystems change in the Loess Plateau of China. Ecol. Complex. 2011, 8, 284–293. [Google Scholar] [CrossRef]
- Zhang, X.; Zhao, W.; Liu, Y.; Fang, X.; Feng, Q. The relationships between grasslands and soil moisture on the Loess Plateau of China: A review. Catena 2016, 145, 56–67. [Google Scholar] [CrossRef]
- Chen, L.F.; He, Z.B.; Zhu, X.; Du, J.; Yang, J.J.; Li, J. Impacts of afforestation on plant diversity, soil properties, and soil organic carbon storage in a semi-arid grassland of northwestern China. Catena 2016, 147, 299–307. [Google Scholar] [CrossRef]
- Weiss, A. Topographic Position and Landforms Analysis. In Proceedings of the Poster Presentation 2001, Poster Presentation, ESRI User Conference, San Diego, CA, USA, 9–13 July 2001. [Google Scholar]
- Western, A.W.; Grayson, R.B.; Bloschl, G.; Willgoose, G.R.; McMahon, T.A. Observed spatial organization of soil moisture and its relation to terrain indices. Water Resour. Res. 1999, 35, 797–810. [Google Scholar] [CrossRef]
- Sun, W. Effect of closing the land for reforestation in ecological degraded area of Dahuang Mountain. Prot. For. Sci. Technol. 2020, 3, 43–45. [Google Scholar]
- Robertson, G.P. GS+: Geostatistics for the Environmental Sciences; Plainwell: Plainwell, MI, USA, 2008. [Google Scholar]
- Zuo, X.; Zhao, H.; Zhao, X.; Zhang, T.; Guo, Y.; Wang, S.; Drake, S. Spatial pattern and heterogeneity of soil properties in sand dunes under grazing and restoration in Horqin Sandy Land, Northern China. Soil Tillage Res. 2008, 99, 202–212. [Google Scholar] [CrossRef]
- Zimmermann, B.; Elsenbeer, H. Spatial and temporal variability of soil saturated hydraulic conductivity in gradients of dis-turbance. J. Hydrol. 2008, 361, 78–95. [Google Scholar] [CrossRef]
- Webster, R.; Oliver, M.A. Statistical Methods in Soil and Land Resource Survey; Oxford University Press: New York, NY, USA, 1990. [Google Scholar]
- Isaaks, E.H.; Srivastava, R.M. An Introduction to Applied Geostatistics; Oxford University Press: New York, NY, USA, 1989; pp. 520–561. [Google Scholar]
- Liu, J.; Cheng, F.; Munger, W.; Jiang, P.; Whitby, T.G.; Chen, S.; Ji, W.; Man, X. Precipitation extremes influence patterns and partitioning of evapotranspiration and transpiration in a deciduous boreal larch forest. Agric. For. Meteorol. 2020, 287, 107936. [Google Scholar] [CrossRef]
- Cao, S. Why large-scale afforestation efforts in China have failed to solve the desertification problem. Environ. Sci. Technol. 2008, 42, 1826–1831. [Google Scholar] [CrossRef]
- Zhu, X.; He, Z.B.; Du, J.; Chen, L.F.; Lin, P.F.; Li, J. Temporal variability in soil moisture after thinning in semi-arid Picea crassifolia plantations in northwestern China. For. Ecol. Manag. 2017, 401, 273–285. [Google Scholar] [CrossRef]
- Zhu, X.; He, Z.; Chen, L.; Du, J.; Yang, J.; Lin, P.; Li, J. Changes in Species Diversity, Aboveground Biomass, and Distribution Characteristics along an Afforestation Successional Gradient in Semiarid Picea crassifolia Plantations of Northwestern China. Fundam. Res. 2016, 63, 17–28. [Google Scholar] [CrossRef]
- Jia, X.; Shao, M.; Zhu, Y.; Luo, Y. Soil moisture decline due to afforestation across the Loess Plateau, China. J. Hydrol. 2017, 546, 113–122. [Google Scholar] [CrossRef]
- Muneepeerakul, C.P.; Muneepeerakul, R.; Miralles-Wilhelm, F.; Rinaldo, A.; Rodriguez-Iturbe, I. Dynamics of wetland vegetation under multiple stresses: A case study of changes in sawgrass trait, structure, and productivity under coupled plant-soil- microbe dynamics. Ecohydrology 2011, 4, 757–790. [Google Scholar] [CrossRef]
- He, Z.; Zhao, W.; Chang, X. The modifiable areal unit problem of spatial heterogeneity of plant community in the transitional zone between oasis and desert using semivariance analysis. Landsc. Ecol. 2007, 22, 95–104. [Google Scholar] [CrossRef]
- Fu, B.; Wang, J.; Chen, L.; Qiu, Y. The effects of land use on soil moisture variation in the Danangou catchment of the Loess Plateau, China. Catena 2003, 54, 197–213. [Google Scholar] [CrossRef]
- Guan, Y.; Lu, H.; Yin, C.; Xue, Y.; Jiang, Y.; Kang, Y.; He, L.; Heiskanen, J. Vegetation response to climate zone dynamics and its impacts on surface soil water content and albedo in China. Sci. Total Environ. 2020, 747, 141537. [Google Scholar] [CrossRef] [PubMed]
- He, Z.; Zhao, W.; Liu, H.; Tang, Z. Effect of forest on annual water yield in the mountains of an arid inland river basin: A case study in the Pailugou catchment on northwestern China’s Qilian Mountains. Hydrol. Process. 2012, 26, 613–621. [Google Scholar] [CrossRef]
- Vereecken, H.; Huisman, J.A.; Pachepsky, Y.; Montzka, C.; Van Der Kruk, J.; Bogena, H.; Weihermuller, L.; Herbst, M.; Martinez, G.; VanderBorght, J. On the spatio-temporal dynamics of soil moisture at the field scale. J. Hydrol. 2014, 516, 76–96. [Google Scholar] [CrossRef]
- Grayson, R.B.; Western, A.W.; Chiew, F.H.S.; Blöschl, G. Preferred states in spatial soil moisture patterns: Local and nonlocal controls. Water Resour. Res. 1997, 33, 2897–2908. [Google Scholar] [CrossRef]
- Jia, Y.; Li, F.; Wang, X. Soil quality responses to alfalfa watered with a field micro-catchment technique in the Loess Plateau of China. Field Crops Res. 2006, 95, 64–74. [Google Scholar] [CrossRef]
- Qiu, Y.; Fu, B.; Wang, J.; Chen, L. Soil moisture variation in relation to topography and land use in a hillslope catchment of the Loess Plateau, China. J. Hydrol. 2001, 240, 243–263. [Google Scholar] [CrossRef]
- Sun, Z.; Wang, Q.; Batkhishig, O.; Ouyang, Z. Relationship between Evapotranspiration and Land Surface Temperature un-der Energy- and Water-Limited Conditions in Dry and Cold Climates. Adv. Meteorol. 2016, 145, 56–67. [Google Scholar]
- Srivastava, A.; Yetemen, O.; Kumari, N.; Saco, P. Aspect-controlled spatial and temporal soil moisture patterns across three different latitudes. In Proceedings of the 23rd International Congress on Modeling and Simulation (MODSIM2019), Canberra, Australia, 1–6 December 2019; pp. 979–985. [Google Scholar]





| Plot ID | Plot Size (m) | Horizontal Sampling Interval (m) | Vertical Sampling Interval (m) | Number of Survey Samples | Elevation (m) | Slope Gradient | Slope Aspect | Slope Aspect | Age of Stand | Height of Tree (m) | Density of Stand (ha−1) | The Primary Vegetation Type of the Plot |
|---|---|---|---|---|---|---|---|---|---|---|---|---|
| #1 | 80 × 50 | 10 | 5 | 99 | 2595 | 31 | 290 | Half-shady slope | 45 | 6.3 | 3192 | Planted forest plot, single slope surface |
| #2 | 21 × 72 | 7 | 8 | 40 | 2595 | 32 | 74 | Half-shady slope | 35 | 4.2 | 2833 | Planted forest plot, single slope surface |
| #3 | 20 × 40 | 5 | 8 | 30 | 2595 | 32 | 74 | Half-shady slope | 19 | 3.6 | 2725 | Grassland plot, single slope surface |
| #4 | 20 × 40 | 5 | 8 | 30 | 2600 | 47 | 43 | Shady slope | 44 | 6.7 | 2967 | Planted-natural mixed forest plot, single slope surface |
| #5 | 20 × 40 | 5 | 8 | 30 | 2595 | 36 | 74 | Half-shady slope | 27 | 4.1 | 2795 | Planted forest plot, single slope surface |
| #6 | 56 × 32 | 7 | 8 | 45 | 2599 | 39 | 290 | Half-shady slope | 33 | 4.7 | 2917 | Shrub, planted forest and grassland plot, horizontal transect |
| #7 | 56 × 32 | 7 | 8 | 45 | 2626 | 42 | 290 | Half-shady slope | 23 | 3.8 | 2750 | Shrub, planted forest and grassland plot, horizontal transect |
| #8 | 25 × 24 | 5 | 6 | 30 | 2683 | 35 | 76 | Half-shady slope | 17 | 16.5 | 2575 | Shrub and grassland plot, horizontal Shallow V transect |
| #9 | 30 × 48 | 6 | 6 | 54 | 2683 | 26 | 56 | Half-shady slope | 39 | 4.5 | 2634 | Grassland, planted and natural forest plot, single slope |
| #10 | 36 × 60 | 6 | 6 | 77 | 2660 | 39 | 9 | Shady slope | 87 | 26.8 | 921 | Natural forest plot, single slope |
| Plot ID | Vegetation Type | Number of Sampling Points (n) | Mean | Std. Deviation | Minimum | Maximum | Skewness | Kurtosis | Variance |
|---|---|---|---|---|---|---|---|---|---|
| #1 | Planted forest | 99 | 16.49 | 3.59 | 9.07 | 25.83 | 0.29 | −0.56 | 12.88 |
| #2 | Planted forest | 40 | 11.82 | 2.55 | 8.20 | 17.57 | 0.75 | −0.08 | 6.49 |
| #3 | Grass, Shrub | 30 | 12.11 | 2.62 | 8.30 | 17.57 | 0.71 | −0.16 | 6.84 |
| #4 | Natural and mixed planted forest | 30 | 10.91 | 2.15 | 7.63 | 15.53 | 0.68 | −0.28 | 4.64 |
| #5 | Planted forest | 30 | 9.26 | 1.27 | 6.98 | 12.33 | 0.53 | 0.82 | 1.61 |
| #6 | Shrub | 15 | 15.81 | 4.99 | 7.47 | 24.93 | 0.22 | −0.80 | 4.99 |
| #6 | Planted forest | 15 | 12.28 | 2.74 | 7.87 | 17.34 | 0.21 | −0.75 | 7.50 |
| #6 | Grass | 15 | 13.30 | 2.08 | 9.00 | 17.03 | −0.02 | 0.62 | 4.33 |
| #7 | Shrub | 15 | 12.68 | 2.28 | 10.07 | 17.44 | 0.73 | −0.49 | 5.20 |
| #7 | Planted forest | 15 | 11.71 | 1.66 | 9.23 | 15.43 | 0.99 | 1.31 | 2.75 |
| #7 | Grass | 15 | 10.18 | 1.61 | 7.70 | 13.57 | 0.58 | 0.58 | 2.60 |
| #8 | Shrub | 15 | 11.54 | 1.81 | 9.00 | 15.13 | 0.38 | −0.68 | 3.28 |
| #8 | Grass | 15 | 11.39 | 1.84 | 8.30 | 14.72 | 0.30 | −0.52 | 3.39 |
| #9 | Grass | 18 | 13.35 | 4.56 | 7.93 | 20.63 | 0.38 | −1.57 | 20.84 |
| #9 | Planted forest | 18 | 10.53 | 2.77 | 7.77 | 17.20 | 1.50 | 1.25 | 7.68 |
| #9 | Planted-natural mixed forest | 18 | 9.01 | 1.08 | 7.53 | 11.73 | 1.31 | 1.87 | 1.17 |
| #10 | Natural forest | 77 | 16.55 | 6.16 | 7.48 | 29.13 | 0.56 | −0.77 | 37.90 |
| Plot ID | Variogram Model | Nugget Variance C0 (m) | Sill C0 + C (m) | Spatial Correlation C/(C + C0) | Range A (m) | RSS | r2 | Sampling Interval (m) | Orientation |
|---|---|---|---|---|---|---|---|---|---|
| #1 | Linear | 12.85 | 13.235 | 0.03 | 51.47 | 12.90 | 0.01 | 10 | Vertical azimuth |
| #2 | Spherical | 2.40 | 9.280 | 0.74 | 47.28 | 0.01 | 0.99 | 7 | Vertical azimuth |
| #3 | Gaussian | 0.11 | 6.848 | 0.98 | 4.31 | 0.00 | 0.99 | 5 | Vertical azimuth |
| #4 | Exponential | 2.88 | 6.252 | 0.54 | 26.2 | 0.66 | 0.75 | 5 | Vertical azimuth |
| #5 | Spherical | 0.00 | 1.541 | 1.00 | 7.83 | 0.07 | 0.00 | 5 | Vertical azimuth |
| #6 | Spherical | 0.39 | 14.100 | 0.97 | 12.74 | 0.36 | 0.86 | 7 | Horizontal azimuth angle |
| #7 | Exponential | 0.01 | 3.924 | 1.00 | 6.69 | 0.31 | 0.61 | 7 | Horizontal azimuth angle |
| #8 | Linear | 2.99 | 2.990 | 0.00 | 30.46 | 1.50 | 0.00 | 5 | Horizontal azimuth angle |
| #9 | Exponential | 1.74 | 16.260 | 0.89 | 20.66 | 0.20 | 0.99 | 6 | Vertical azimuth |
| #10 | Spherical | 0.01 | 27.090 | 1.00 | 13.59 | 2.01 | 0.98 | 6 | Vertical azimuth |
| Variable | Estimate | Std. Error | t Value | Pr(>|t|) | Independent Variable Name |
|---|---|---|---|---|---|
| Intercept | 0.31 | 0.10 | 3.15 | 1.74 × 10−3 ** | Intercept |
| VEG2 | −0.04 | 0.10 | −0.41 | 0.683 | Shrub |
| VEG3 | −0.31 | 0.12 | −2.66 | 0.008 ** | Planted forest |
| VEG4 | −0.55 | 0.16 | −3.41 | 0.001 *** | Mixed forest |
| VEG5 | −0.73 | 0.27 | −2.69 | 0.008 ** | Natural forest |
| AGE | 0.19 | 0.29 | 0.65 | 0.515 | Forest age |
| SP2 | 0.04 | 0.02 | 2.34 | 0.020 * | Middle slope position |
| SP3 | 0.08 | 0.02 | 4.04 | 6.20 × 10−5 *** | Lower slope position |
| SLP | −0.18 | 0.07 | −2.52 | 0.012 * | Slope gradient |
| SLPA2 | 0.38 | 0.09 | 4.07 | 5.51 × 10−5 *** | Shade slope |
| DEN | −0.08 | 0.10 | −0.81 | 0.420 | Vegetation density |
| ARE | 0.34 | 0.07 | 5.13 | 4.24 × 10−7 *** | Area of plot |
| NUM | 0.18 | 0.07 | 2.73 | 0.007 ** | Number of the tree |
Disclaimer/Publisher’s Note: The statements, opinions and data contained in all publications are solely those of the individual author(s) and contributor(s) and not of MDPI and/or the editor(s). MDPI and/or the editor(s) disclaim responsibility for any injury to people or property resulting from any ideas, methods, instructions or products referred to in the content. |
© 2024 by the authors. Licensee MDPI, Basel, Switzerland. This article is an open access article distributed under the terms and conditions of the Creative Commons Attribution (CC BY) license (https://creativecommons.org/licenses/by/4.0/).
Share and Cite
Yang, J.; Guo, L.; Liu, Y.; Lin, P.; Du, J. Reforestation Will Lead to a Long-Term Downward Trend in the Water Content of the Surface Soil in a Semi-Arid Region. Forests 2024, 15, 789. https://doi.org/10.3390/f15050789
Yang J, Guo L, Liu Y, Lin P, Du J. Reforestation Will Lead to a Long-Term Downward Trend in the Water Content of the Surface Soil in a Semi-Arid Region. Forests. 2024; 15(5):789. https://doi.org/10.3390/f15050789
Chicago/Turabian StyleYang, Junjun, Lingxia Guo, Yufeng Liu, Pengfei Lin, and Jun Du. 2024. "Reforestation Will Lead to a Long-Term Downward Trend in the Water Content of the Surface Soil in a Semi-Arid Region" Forests 15, no. 5: 789. https://doi.org/10.3390/f15050789
APA StyleYang, J., Guo, L., Liu, Y., Lin, P., & Du, J. (2024). Reforestation Will Lead to a Long-Term Downward Trend in the Water Content of the Surface Soil in a Semi-Arid Region. Forests, 15(5), 789. https://doi.org/10.3390/f15050789

