The Influence of Minimal Cultivation Techniques on Growth Rate of Robinia pseudacacia L. Seedlings
Abstract
1. Introduction
2. Materials and Methods
2.1. Study Site, Seed Provenance and Plant Material
2.2. Substrate
2.3. Substrate Watering Regimes
2.4. Experimental Design and Statistical Analysis
3. Results
3.1. Plant Growth Characteristics
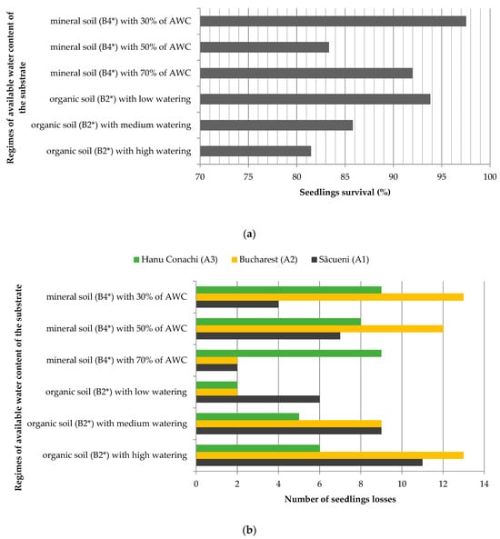
3.2. Seedling Survival
4. Discussion
5. Conclusions
Supplementary Materials
Author Contributions
Funding
Institutional Review Board Statement
Informed Consent Statement
Data Availability Statement
Conflicts of Interest
References
- Enescu, C.M.; Dănescu, A. Black locust (Robinia pseudacacia L.)—An invasive neophyte in the conventional land reclamation flora in Romania. Bull. Transilv. Univ. Brașov Ser. II For. Wood Ind. Agric. Food Eng. 2015, 6, 23–30. [Google Scholar]
- Nicolescu, V.N.; Buzatu-Goanta, C.; Bartlett, D.; Iacob, N. Regeneration and Early Tending of Black Locust (Robinia pseudacacia L.) Stands in the North-West of Romania. South East. Eur. 2019, 10, 97–105. [Google Scholar] [CrossRef]
- Ivanschi, T.; Costea, A.; Bîrlanescu, E.; Mărăcoiu, A.; Nonuțe, I. Cercetări privind stabilirea stațiunilor apte pentru cultura salcâmului. In Cercetări Privind Cultura Salcâmului; Costea, A., Ed.; Editura Agrosilvică București: Bucharest, Romania, 1969; pp. 11–55. [Google Scholar]
- Costea, A.; Lăzărescu, C.; Bârlănescu, E.; Ivanschi, T.; Armășescu, S.; Trantescu Gr Latiș, L.; Pârvu, E. Recomandări Privind Cultura Salcâmului—Robinia pseudacacia L.; Institutul de Cercetări Studii și Proiectari Silvice: Bucharest, Romania, 1969; 39p. [Google Scholar]
- Armășescu, S.; Țabrea, A.; Decei, I.; Bârlănescu, E.; Olănescu, L.; Diaconu, E.; Tabană, D.; Ichimescu, D. Cercetări Asupra Creșterii Producției și Calității Arboretelor de Salcâm; Editura Agrosilvică: Bucharest, Romania, 1969; pp. 111–154. [Google Scholar]
- Holban, C. Culturi specializate de salcâm pe soluri aluviale. Rev. Pădurilor 1969, 84, 359–360. [Google Scholar]
- Drăcea, M. Contribuţii la Cunoaşterea Salcâmului în România cu Privire Specială Asupra Culturii Sale pe Solurile Nisipoase din Oltenia; Cenuşă, R.; Râşcă, M., Translators; Editura Silvică: Bucharest, Romania, 2008; 93p. [Google Scholar]
- Ciuvăț, A.L.; Abrudan, I.V.; Ciuvăț, C.G.; Marcu, C.; Lorenț, A.; Dincă, L.; Szilard, B. Black Locust (Robinia pseudacacia L.) in Romanian Forestry. Diversity 2022, 14, 780. [Google Scholar] [CrossRef]
- Abrudan, I.V. Impăduriri; Editura Universității Transilvania din Brașov: Brașov, Romania, 2006; 200p, ISBN 973-635-688-4. [Google Scholar]
- Landis, T.D. Containers and growing media, Volume 2. In Basics for Nurseries; The Container Tree Nursery Manual, Agriculture Handbook 674; U.S. Department of Agriculture, Forest Service: Washington, DC, USA, 1990; pp. 41–85. [Google Scholar]
- Jäärats, A.; Tullus, A.; Seemen, H. Growth and Survival of Bareroot and Container Plants of Pinus sylvestris and Picea abies During Eight Years in Hemiboreal Estonia. Balt. For. 2016, 22, 365–374. [Google Scholar]
- Young, T.P.; Evans, R.Y. Container Stock Versus Direct Seeding for Woody Species in Restoration Sites Combined. Proc. Int. Plant Propagators’ Soc. 2000, 50, 577–582. [Google Scholar]
- Fan, Z.; Moore, J.A.; Wenny, D.L. Growth and nutrition of container-grown ponderosa pine seedlings with controlled-release fertilizer incorporated in the root plug. Ann. For. Sci. 2004, 61, 117–124. [Google Scholar] [CrossRef]
- Haase, D.L.; Rose, R.; Trobaugh, J. Field performance of three stock sizes of Douglas-fir container seedlings grown with slow-release fertilizer in the nursery growing medium. New For. 2006, 31, 1–24. [Google Scholar] [CrossRef]
- Tsakaldimi, M.; Tsitsoni, T.; Ganatsas, P.; Zagas, T. A comparison b of root architecture and shoot morphology between naturally regenerated and container-grown seedlings of Quercus ilex. Plant Soil. 2009, 324, 103–113. [Google Scholar] [CrossRef]
- Thiffault, N.; Jobidon, R.; Munson, A.D. Munson Comparing large containerized and bareroot conifer stock on sites of contrasting vegetation composition in a non-herbicide scenario. New For. 2014, 45, 875–891. [Google Scholar] [CrossRef]
- Grossnickle, S.C.; El. Kassaby, Y.A. Bareroot versus container stocktypes: A performance comparison. New For. 2016, 47, 1–51. [Google Scholar] [CrossRef]
- Ali, S. Effect of Different Levels of Fertilizer, Application Interval and Container Type on Growth of Seedlings of Black Locust (Robinia pseudacacia L.). Master’s Thesis, An Abstract of the thesis of Shaukat Au for the degree of Master of Science in Forest Science. Oregon State University, Corvallis, OR, USA, 29 March 1991. [Google Scholar]
- Kostopoulou, P.; Radoglou, K.; Dini-Papanastasi, O.; Adamidou, C. Effect of mini-plug container depth on root and shoot growth of four forest tree species during early developmental stages. Turk. J. Agr. Forest. 2011, 35, 379–390. [Google Scholar] [CrossRef]
- Dini-Papanastasi, O.; Kostopoulou, P.; Radoglou, K. Effects of seed origin, growing medium and mini-plug density on early growth and quality of black locust (Robinia pseudacacia L.) seedlings. J. For. Sci. 2012, 58, 8–20. [Google Scholar] [CrossRef]
- Roman, A.M.; Morar, I.M.; Truță, A.M.; Dan, C.; Sestraș, A.F.; Holonec, L.; Ioraș, F.; Sestraș, R.E. Trees, seeds and seedlings analyses in the process of obtaining a quality planting material for black locust (Robinia pseudacacia L.). Not. Sci. Biol. 2020, 12, 940–958. [Google Scholar] [CrossRef]
- Iakovoglou, V.; Radoglou, K. Mini-plugs: A review on size, soil substrate, and seed source. In Proceedings of the International Scientific Conference, Forests in the Future—Sustainable Use, Risks and Challenges, Belgrade, Serbia, 4–5 October 2012. [Google Scholar]
- Heiskanen, J.; Rikala, R. Effect of Peat-based Container Media on Establishment of Scots Pine, Norway Spruce and Silver Birch Seedlings after Transplanting in Contrasting Water Conditions. Scan. For. Res. 2000, 15, 49–57. [Google Scholar] [CrossRef]
- Heiskanen, J. Effects of pre- and post-planting shading on growth of container Norway spruce seedlings. New For. 2004, 27, 101–114. [Google Scholar] [CrossRef]
- South, D.B.; Harris, S.W.; Barnett, J.P.; Hainds, M.J. Effect of container type and seedling size on survival and early height growth of Pinus palustris seedlings in Alabama. USA For. Ecol. Manag. 2005, 204, 385–398. [Google Scholar] [CrossRef]
- Dominguez-Lerena, S.; Herrero Sierra, N.; Carrasco Manzano, I.; Ocaña Bueno, L.; Peñuelas Rubira, J.L.; Mexal, J.G. Container characteristics influence Pinus pinea seedling development in the nursery and field. For. Ecol. Manag. 2006, 221, 63–71. [Google Scholar] [CrossRef]
- Veijalainen, A.M.; Juntunen, M.L.; Heiskanen, J.; Lilja, A. Growing Picea abies container seedlings in peat and composted forest-nursery waste mixtures for forest regeneration. Scan. For. Res. 2007, 22, 390–397. [Google Scholar] [CrossRef]
- Ferrini, F.; Nicese, F.P. Effect of container type nursery techniques on growth and chlorophyll content of Acer platanoides L. and Liquidambar styraciflua L. plants. J. Food Agric. Environ. 2006, 4, 84–88. [Google Scholar]
- Wightman, M.G.; Gonzalez-Benecke, C.A.; Dinger, E.G. The Influence of Containerized Stock Type on the Growth and Survival of Douglas-fir Seedlings. Tree Plant. Notes 2018, 61, 134–141. [Google Scholar]
- Sung, S.J.S.; Dumroese, R.K.; Pinto, J.R.; Sayer, M.A.S. The Persistence of Container Nursery Treatments on the Field Performance and Root System Morphology of Longleaf Pine Seedlings. Forests 2019, 10, 807. [Google Scholar] [CrossRef]
- Kostopoulou, P.; Dini-Papanastasi, O.; Radoglou, K. Density and substrate effects on morphological and physiological parameters of plant stock material of four forest species grown in mini-plugs. Scan. For. Res. 2010, 25, 10–17. [Google Scholar] [CrossRef]
- Tingxiu, D.; Guofan, L. A Regression Model of the Relationship between Locust Seedling Growth and Soil Conditions. Plant Soil 1988, 109, 17–22. Available online: https://www.jstor.org/stable/42937525 (accessed on 10 December 2023). [CrossRef]
- Moshki, A.; Lamersdor, N.P. Symbiotic nitrogen fixation in black locust (Robinia pseudacacia L.) seedlings from four seed sources. J. For. Res. 2011, 22, 689–692. [Google Scholar] [CrossRef]
- Roman, A.M.; Truță, A.M.; Viman, O.; Morar, I.M.; Spalevic, V.; Dan, C.; Sestraș, R.E.; Holonec, L.; Sestraș, A.F. Seed Germination and Seedling Growth of Robinia pseudacacia Depending on the Origin of Different Geographic Provenances. Diversity 2022, 14, 34. [Google Scholar] [CrossRef]
- Dumroese, R.K.; Landis, T.D. Growing Container Seedlings: Three Considerations; Tree Planters’s Note. 2018, pp. 58–62. Available online: https://www.researchgate.net/publication/323759623 (accessed on 15 January 2024).
- Özden Keleş, S.; Savaci, G. Seasonal variation of morphological traits, wood formation, and soil properties differs between Quercus robur L. and Robinia pseudacacia L. saplings. Scan. For. Res. 2021, 36, 344–353. [Google Scholar] [CrossRef]
- Mantovani, D.; Veste, M.; Boldt-Burisch, K.; Fritsch, S.; Koning, L.A.; Freese, D. Carbon allocation, nodulation, and biological nitrogen fixation of black locust (Robinia pseudacacia L.) under soil water limitation. Ann. For. Res. 2015, 58, 259–274. [Google Scholar] [CrossRef]
- Liu, X.; Y Fan, Y.; Long, J.; Wei, R.; Kjelgren, R.; Gong, C.; Zhao, J. Effects of soil water and nitrogen availability on photosynthesis and water use efficiency of Robinia pseudacacia seedlings. J. Environ. Sci. 2013, 25, 585–595. [Google Scholar] [CrossRef]
- Norouzi Haroni, N.; Tabari Koochksaraee, M. Morpho-Physiological Responses of Black Locust (Robinia pseudacacia L.) Seedlings to Drought Stress. J. For. Wood Product. 2015, 68, 715–727. [Google Scholar] [CrossRef]
- Kordrostami, F.; Shirvany, A.; Attarod, P.; Khoshnevis, M. Physiological responses of Robinia pseudacacia L. seedlings to drought stress. J. For. Wood Product. 2017, 70, 393–400. [Google Scholar] [CrossRef]
- Rolbiecki, S.; Kasperska-Wołowicz, W.; Ptach, W.; Jagosz, B.; Figas, A.; Rolbiecki, R.; Stachowski, P.; Grybauskiene, V.; Chmura, K.; Dobosz, K. Water Needs of Black Locust Robinia pseudacacia L. in the First Three Years of Growing in the Reclamation Plantings in Poland. In Infrastructure and Environment; Springer International Publishing: Berlin/Heidelberg, Germany, 2019; pp. 234–242. [Google Scholar] [CrossRef]
- Yan, X.; Zhang, Z.; Huang, M.; Zhao, X.; Yang, F.; Wu, X. The impact of climate change on growth and drought-induced mortality risk of Robinia pseudacacia plantations along a precipitation gradient on the Chinese Loess Plateau. Agric. For. Meteorol. 2022, 325, 109160. [Google Scholar] [CrossRef]
- Zhang, Y.; Equiza, M.A.; Zheng, Q.; Tyree, M.T. Factors controlling plasticity of leaf morphology in Robinia pseudacacia: III. Biophysical constraints on leaf expansion under long-term water stress. Physiol. Plantarum 2011, 143, 367–374. [Google Scholar] [CrossRef]
- Xu, F.; Guo, W.; Wang, R.; Xu, W.; Du, N.; Wang, Y. Leaf movement and photosynthetic plasticity of black locust (Robinia pseudacacia L.) alleviate stress under different light and water conditions. Acta Physiol. Plant 2009, 31, 553–563. [Google Scholar] [CrossRef]
- Liu, X.; Zhang, Q.; Song, M.; Wang, N.; Fan, P.; Wu, P.; Cui, K.; Zheng, P.; Du, N.; Wang, H.; et al. Physiological Responses of Robinia pseudacacia and Quercus acutissima Seedlings to Repeated Drought-Rewatering Under Different Planting Methods. Front. Plant Sci. 2021, 12, 760510. [Google Scholar] [CrossRef] [PubMed]
- Li, M.; Guo, X.; Liu, L.; Liu, J.; Du, N.; Guo, W. Responses to defoliation of Robinia pseudacacia L. and Sophora japonica L. are soil water condition dependent. Ann. For. Sci. 2022, 79, 18. [Google Scholar] [CrossRef]
- Guse, T.; Schneck, V.; Liesebach, M.; Wuehlisch, G. Improving Growth Performance and Drought Tolerance of Robinia pseudacacia L.—Analysis of Seedlings of European Progenies. Indian. J. Ecol. 2011, 38, 95–98. Available online: https://api.semanticscholar.org/CorpusID:130831749 (accessed on 15 September 2023).
- Lia, Q.; Zhao, M.; Wang, N.; Liu, S.; Wang, J.; Zhang, W.; Yang, N.; Fand, P.; Wanga, R.; Wanga, H.; et al. Water use strategies and drought intensity define the relative contributions of hydraulic failure and carbohydrate depletion during seedling mortality. Plant Physiol. Biochem. 2020, 153, 106–118. [Google Scholar] [CrossRef]
- Wang, X.; Fan, Y.; Zhang, C.; Zhao, Y.; Du, G.; Li, M.; Si, B. From comfort zone to mortality: Sequence of physiological stress thresholds in Robinia pseudacacia L. seedlings during progressive drought. Front. Plant Sci. 2023, 14, 1149760. [Google Scholar] [CrossRef]
- Liu, M.; Yang, C.; Mu, R. Effect of soil water–phosphorus coupling on the photosynthetic capacity of Robinia pseudacacia L. seedlings in semi-arid areas of the Loess Plateau, China. Environ. Monit. Assess. 2023, 195, 932. [Google Scholar] [CrossRef]
- Zhang, T.; Cao, Y.; Chen, Y.; Liu, G. Non-structural carbohydrate dynamics in Robinia pseudacacia saplings under three levels of continuous drought stress. Trees 2015, 29, 1837–1849. [Google Scholar] [CrossRef]
- Ranney, T.G.; Whitlow, T.H.; Bassuk, N.L. Response of five temperate deciduous tree species to water stress. Tree Physiol. 1990, 6, 439–448. [Google Scholar] [CrossRef]
- Elliott, K.J.; Swank, W.T. Impacts of drought on tree mortality and growth in a mixed hardwood forest. J. Veg. Sci. 1994, 5, 229–236. [Google Scholar] [CrossRef]
- Yan, M.J.; Yamanaka, N.; Yamamoto, F.; Du, S. Responses of leaf gas exchange, water relations, and water consumption in seedlings of four semiarid tree species to soil drying. Acta Physiol. Plant 2010, 32, 183–189. [Google Scholar] [CrossRef]
- Mantovani, D.; Veste, M.; Freese, D. Black locust (Robinia pseudacacia L.) ecophysiological and morphological adaptations to drought and their consequence on biomass production and water-use efficiency. N. Z. J. For. Sci. 2014, 44, 29. Available online: http://www.nzjforestryscience.com/content/44/1/29 (accessed on 7 February 2024). [CrossRef]
- Szyp-Borowska, I.; Ukalska, J.; Niemczyk, M.; Wojda, T.; Thomas, B.R. Effects of Water Deficit Stress on Growth Parameters of Robinia pseudacacia L. Selected Clones under In Vitro Conditions. Forests 2022, 13, 1979. [Google Scholar] [CrossRef]
- Ombódi, A.; Csorbainé Gógán, A.; Pogrányi, K.; Posta, K. Effect of different irrigation regimes on the early development of pot-grown black locust saplings. Columella J. Agric. Environ. Sci. 2022, 9, 43–45. [Google Scholar] [CrossRef]
- Giuliani, C.; Lazzaro, L.; Calamassi, R.; Fico, G.; Foggi, B.; Mariotti Lippi, M. Induced water stress affects seed germination response and root anatomy in Robinia pseudacacia (Fabaceae). Trees 2019, 331, 1627–1638. [Google Scholar] [CrossRef]
- Pârnuță, G.S.E.; Budeanu, M.; Scarlatescu, V.; Marica, F.M.; Lalu, I.; Curtu, A.L. Catalogul Național al Resurselor Genetice Forestiere; Editura Silvică: Bucharest, Romania, 2011. [Google Scholar]
- ISTA. International Rules for Seed Testing—ISTA, 2013 ed.; International Seed Testing Association: Bassersdorf, Switzerland, 2013. [Google Scholar]
- Van Sambeek, J.W. Growing Containerized Seedlings; North Central Forest Experiment Station: Saint Paul, MN, USA, 1988. [Google Scholar]
- Napier, I.; Robbins, M. Forest Seed and Nursery Practice in Nepal; Forest Research and Training Centre: Kathmandu, Nepal, 1989; 412p.
- ISO 10390; Soil Quality-Determination of pH. International Standardisation Organisation: Geneva, Switzerland, 2005; p. 5.
- FAO. Standard Operating Procedure for Soil Organic Carbon. In Walkley-Black Method Titration and Colorimetric Method; FAO: Rome, Italy, 2019; p. 27. [Google Scholar]
- SR ISO 11261; Soil Quality–Determination of Total Nitrogen–Modified Kjeldahl Method. Romanian Standardization Association: Geneva, Romania, 2000; p. 8.
- STAS 7184/12-88; Soil–Determination of Cation Exchange Properties. Romanian Standardization Association: Geneva, Romania, 1988; p. 26.
- ISO 11277; Soil Quality-Determination of Particle Size Distribution in Mineral Soil Material–Method by Sieving and Sedimentation. International Standardisation Organisation: Geneva, Switzerland, 1998; p. 34.
- Brouwer, C.; Goffeau, A.; Heibloem, M. Irrigation Water Management: Training Manual No. 1—Introduction to Irrigation, Chapter 2—Soil and Water, FAO—Food and Agriculture Organization of the United Nations. Available online: https://www.fao.org/3/r4082e/r4082e03.htm#2.3%20soil%20moisture%20conditions (accessed on 15 September 2023).
- Harris, C.W.; Din, N.T. Time-Saver Standards for Landscape Architecture, 2nd ed.; McGraw-Hill Publishing Company: New York, NY, USA, 1998; 923p. [Google Scholar]
- Baskin, C.C.; Baskin, J.M. Seeds: Ecology, Biogeography, and Evolution of Dormancy and Germination; Elsevier: Amsterdam, The Netherlands, 1998. [Google Scholar]
- Dimitrova, P.; Stoyanov, N. Comparative Analysis of Growth of Seedlings from Half-sibs Progenies of Selected Robinia pseudoacacia L. Clones. Bulg. J. Soil. Sci. 2022, 7, 160–168. [Google Scholar]
- SR 1347/2004; Puieți Forestieri cu Talie Mică, Semimijlocie și Mijlocie. ASRO București: Bucharest, Romania, 2004.
- Li, K.R.; Wang, H.H.; Han, G.; Wang, Q.J.; Fan, J. Effects of brassinolde on the survival, growth and drought resistance of Robinia pseudoacacia seedlings under water-stress. New For. 2008, 35, 255–266. [Google Scholar] [CrossRef]



| Administrative Location | CODE | Latitude Longitude | Altitude (m a.s.l.) | Average | |
|---|---|---|---|---|---|
| Temperature Min.–Max. (Mean) (°C) | Rainfall (mm) | ||||
| O.S. * Săcueni (Curtuișeni), Bihor County | A1 | 47°32′ N 22°10′ E | 140 | 5.7–15.9 (10.7) | 617.6 |
| O.S. * Bucharest (Râioasa), Ilfov County | A2 | 44°33′ N 25°54′ E | 110 | 5.0–16.6 (10.9) | 585.0 |
| O.S. * Hanu Conachi, Galați County | A3 | 45°34′ N 27°35′ E | 15 | 5.9–15.5 (11.6) | 421.4 |
| Provenance | Purity (%) | 1000 Seed Weighs (g) | Germination (%) | Number of Seeds per Kilogram |
|---|---|---|---|---|
| O.S. Săcueni | 98.46 | 20.471 | 85 | 48,800 |
| O.S. Bucharest | 97.76 | 18.492 | 87 | 54,100 |
| O.S. Hanu Conachi | 98.09 | 18.151 | 84 | 55,100 |
| Sites | O.S. Săcueni | O.S. Bucharest | O.S. Hanu Conachi | |
|---|---|---|---|---|
| Indices | ||||
| Texture | Sandy loam | Silty clayey loam | Sandy loam | |
| Coarse sand (%) | 44.346 | 4.417 | 7.677 | |
| Fine sand (%) | 41.054 | 29.283 | 55.432 | |
| Silt I (0.02–0.01 mm) (%) | 1.4 | 10.8 | 0.2 | |
| Silt II (0.01–0.002 mm) (%) | 3.7 | 21.6 | 21.2 | |
| Clay (%) | 9.5 | 33.9 | 15.5 | |
| pH | 5.21 | 7.02 | 7.67 | |
| Organic matter content (% H) | 3.36 | 2.59 | 3.52 | |
| Carbon content (% C) | 1.95 | 1.50 | 2.04 | |
| Total nitrogen content (% N) | 0.05 | 0.05 | 0.09 | |
| C/N ratio | 40.54 | 27.90 | 23.93 | |
| Bases exchange capacity | (me/100 g) | 8.0 | 28.8 | 90.8 |
| Hydrogen exchange capacity | 4.0 | 3.6 | 0.4 | |
| Total cationic exchange capacity | 12.0 | 32.4 | 91.2 | |
| Base saturation degree (% V) | 66.67 | 88.89 | 99.56 | |
| Indices | Codes of Mineral Substrates | ||||||
|---|---|---|---|---|---|---|---|
| B3 * | B4 * | B5 * | B6 * | B7 * | B8 * | ||
| Texture | Silty loam | Sand | Sandy clayey loam | Sand | Sandy loam | Sand | |
| pH | 6.91 | 8.70 | 5.85 | 8.84 | 5.44 | 8.34 | |
| Organic matter content (% H) | 3.70 | 1.22 | 2.93 | 2.20 | 1.48 | 1.56 | |
| Carbon content (% C) | 2.15 | 0.71 | 1.70 | 1.28 | 0.86 | 0.90 | |
| Total nitrogen content (% N) | 0.20 | 0.02 | 0.17 | 0.15 | 0.02 | 0.15 | |
| C/N ratio | 10.91 | 31.71 | 9.76 | 8.61 | 51.63 | 5.98 | |
| Bases exchange capacity | (me/100 g) | 96.4 | 32.4 | 20.0 | 26.4 | 11.6 | 24.4 |
| Hydrogen exchange capacity | 2.4 | 0.4 | 6.0 | 2.0 | 5.6 | 0.4 | |
| Total cationic exchange capacity | 98.8 | 32.8 | 26.0 | 28.4 | 17.2 | 24.8 | |
| Base saturation degree (% V) | 97.57 | 98.78 | 76.92 | 92.96 | 67.44 | 98.39 | |
| Factors | Degrees of Freedom | F-Value | ||
|---|---|---|---|---|
| No. of Measurement | ||||
| 1st | 2nd | 3rd | ||
| Seed provenance (A) | 2 | 41.908 | 4.238 | 34.944 |
| Substrate (B) | 7 | 198.973 | 60.844 | 16.747 |
| Interaction A × B | 14 | 32.472 | 7.908 | 2.16 |
| Watering regime (C) | 2 | 19.556 | 4.658 | 3.486 |
| Interaction A × C | 4 | 18.457 | 1.079 | 0.738 |
| Interaction B × C | 14 | 26.765 | 4.309 | 1.875 |
| Interaction A × B × C | 28 | 23.664 | 2.646 | 0.679 |
| Provenance | O.S. Săcueni | O.S. Bucharest | O.S. Hanu Conachi |
|---|---|---|---|
| Substrate | |||
| Peat MKS 1 | 46.02 | 46.76 | 40.52 |
| Peat MKS 3 | 40.97 | 35.97 | 38.91 |
| Rendzina | 45.57 | 40.25 | 38.90 |
| Rendzina + sand (1:2) | 43.18 | 33.94 kl | 30.04 l |
| Dystric cambisol | 50.09 abc | 42.83 | 39.99 |
| Dystric cambisol + sand (1:2) | 51.01 ab | 41.75 | 39.43 |
| Eutric cambisol | 53.72 a | 44.04 | 46.35 |
| Eutric cambisol + sand (1:2) | 45.28 | 39.31 | 34.22 jkl |
| SD | 4.67–5.82 | ||
| Provenance | O.S. Săcueni | O.S. Bucharest | O.S. Hanu Conachi |
|---|---|---|---|
| Substrate | |||
| High watering | 48.76 a | 42.39 b | 38.59 c |
| Medium watering | 46.24 a | 40.12 bc | 38.72 c |
| Low watering | 45.94 a | 39.31 c | 38.33 c |
| SD | 2.78–3.27 | ||
| Provenance | High Watering | Medium Watering | Low Watering |
|---|---|---|---|
| Substrate | |||
| Peat MKS 1 | 48.32 ab | 42.10 cdefg | 42.89 cdef |
| Peat MKS 3 | 36.59 hi | 37.07 ghi | 42.19 cdefg |
| Rendzina | 44.31 bcdef | 39.44 efgh | 40.96 defgh |
| Rendzina + sand (1:2) | 36.74 hi | 36.14 hi | 34.29 i |
| Dystric cambisol | 46.68 abc | 46.03 abcd | 40.20 efgh |
| Dystric cambisol + sand (1:2) | 44.90 abcde | 44.12 abcdef | 43.17 bcdef |
| Eutric cambisol | 48.75 a | 48.41 ab | 46.96 abc |
| Eutric cambisol + sand (1:2) | 39.69 efgh | 40.23 efgh | 38.88 fghi |
| SD | 4.54–5.66 | ||
| Seed Provenance | June | July | October |
|---|---|---|---|
| O.S. Săcueni (A1) | 4.3 b | 19.34 ab | 46.98 a |
| O.S. Bucharest (A2) | 4.5 a | 19.66 a | 40.61 b |
| O.S. Hanu Conachi (A3) | 4.14 c | 18.73 c | 38.55 b |
| SD | 0.16–0.17 | 0.65–0.68 | 2.08–2.19 |
| Substrate | June | July | October | |
|---|---|---|---|---|
| Organic | Peat MKS 1 (B1) | 4.74 b | 23.93 a | 44.44 b |
| Peat MKS 3 (B2) | 3.53 f | 18.58 cd | 38.62 d | |
| Mineral | Rendzina (B3) | 3.68 ef | 14.82 f | 41.57 cb |
| Rendzina + sand (1:2) (B4) | 3.94 de | 18.08 d | 35.72 e | |
| Dystric cambisol (B5) | 5.46 a | 16.97 e | 44.30 b | |
| Dystric cambisol + sand (1:2) (B6) | 4.75 b | 19.53 c | 44.06 b | |
| Eutric cambisol (B7) | 4.28 c | 22.71 b | 48.04 a | |
| Eutric cambisol + sand (1:2) (B8) | 4.15 cd | 19.33 c | 39.60 cd | |
| SD | 0.26–0.30 | 1.06–1.23 | 2.70–3.13 | |
| Growing Technology | Height (cm) | Diameter (mm) | |
|---|---|---|---|
| Natural conditions | |||
| Direct sowing in field | 82.29 a | 6.84 a | |
| Greenhouse conditions for sowing in containers | |||
| High watering for peat MKS 1 | 48.38 bc | 3.59 bc | |
| Medium watering for peat MKS 1 | 42.10 bcd | 3.19 c | |
| Low watering for peat MKS 1 | 42.77 bcd | 3.45 bc | |
| High watering for peat MKS 3 | 44.91 bcd | 3.66 bc | |
| Medium watering for peat MKS 3 | 42.76 bcd | 4.12 b | |
| Low watering for peat MKS 3 | 45.06 bcd | 3.30 c | |
| High watering for rendzina | 44.30 bcd | 3.26 c | |
| Medium watering for rendzina | 39.45 d | 3.08 c | |
| Low watering for rendzina | 40.96 bcd | 3.43 bc | |
| High watering for rendzina + sand (1:2) | 39.69 cd | 3.74 bc | |
| Medium watering for rendzina + sand (1:2) | 43.08 bcd | 3.47 bc | |
| Low watering for rendzina + sand (1:2) | 45.00 bcd | 3.72 bc | |
| High watering dystric cambisol | 44.90 bcd | 3.48 bc | |
| Medium watering for dystric cambisol | 46.03 bcd | 3.37 bc | |
| Low watering for dystric cambisol | 40.09 bcd | 3.73 bc | |
| High watering for dystric cambisol + sand (1:2) | 46.86 bcd | 3.52 bc | |
| Medium watering for dystric cambisol + sand (1:2) | 44.12 bcd | 3.30 c | |
| Low watering for dystric cambisol + sand (1:2) | 43.17 bcd | 3.55 bc | |
| High watering for eutric cambisol | 48.69 b | 3.49 bc | |
| Medium watering for eutric cambisol | 48.39 bc | 3.59 bc | |
| Low watering for eutric cambisol | 47.01 bcd | 3.68 bc | |
| High watering for eutric cambisol + sand(1:2) | 39.69 cd | 3.61 bc | |
| Medium watering for eutric cambisol + sand (1:2) | 40.24 bcd | 3.04 c | |
| Low watering for eutric cambisol + sand (1:2) | 38.88 d | 3.35 c | |
| SD | 7.32–8.94 | 0.63–0.77 | |
Disclaimer/Publisher’s Note: The statements, opinions and data contained in all publications are solely those of the individual author(s) and contributor(s) and not of MDPI and/or the editor(s). MDPI and/or the editor(s) disclaim responsibility for any injury to people or property resulting from any ideas, methods, instructions or products referred to in the content. |
© 2024 by the authors. Licensee MDPI, Basel, Switzerland. This article is an open access article distributed under the terms and conditions of the Creative Commons Attribution (CC BY) license (https://creativecommons.org/licenses/by/4.0/).
Share and Cite
Drăghici, C.; Abrudan, I.V.; Hoble, A.; Enescu, R.; Spârchez, G.; Crăciunesc, I. The Influence of Minimal Cultivation Techniques on Growth Rate of Robinia pseudacacia L. Seedlings. Forests 2024, 15, 785. https://doi.org/10.3390/f15050785
Drăghici C, Abrudan IV, Hoble A, Enescu R, Spârchez G, Crăciunesc I. The Influence of Minimal Cultivation Techniques on Growth Rate of Robinia pseudacacia L. Seedlings. Forests. 2024; 15(5):785. https://doi.org/10.3390/f15050785
Chicago/Turabian StyleDrăghici, Cristina, Ioan Vasile Abrudan, Adela Hoble, Raluca Enescu, Gheorghe Spârchez, and Iacob Crăciunesc. 2024. "The Influence of Minimal Cultivation Techniques on Growth Rate of Robinia pseudacacia L. Seedlings" Forests 15, no. 5: 785. https://doi.org/10.3390/f15050785
APA StyleDrăghici, C., Abrudan, I. V., Hoble, A., Enescu, R., Spârchez, G., & Crăciunesc, I. (2024). The Influence of Minimal Cultivation Techniques on Growth Rate of Robinia pseudacacia L. Seedlings. Forests, 15(5), 785. https://doi.org/10.3390/f15050785

