Characteristics of the Rhizospheric AMF Community and Nutrient Contents of the Dominant Grasses in Four Microhabitats of the Subalpine Zone in Northwestern Yunnan, China
Abstract
1. Introduction
2. Materials and Methods
2.1. Study Site
2.2. Sampling of Soil and Grasses
2.3. Sample Measurements
2.4. Molecular Analysis of Soil Microorganisms
2.5. Data Analysis
3. Results
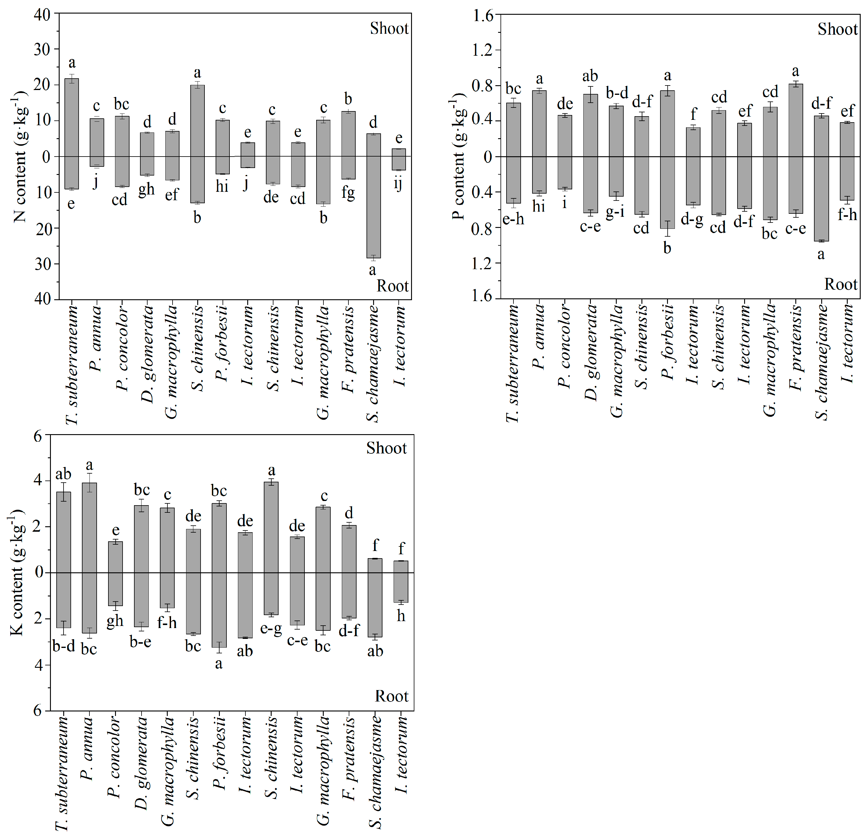
3.1. Nutrient Contents of Grass
3.2. Soil Chemical Properties
3.3. Alpha Diversity of AMF Communities
3.4. Beta Diversity of AMF Communities
3.5. Composition of AMF Communities
3.6. Correlation Analysis of Soil Chemical Properties and AMF Communities
3.7. Correlation Analysis of Grass Nutrients and AMF Communities
4. Discussion
4.1. Characteristics of Soil Chemical Properties and Grass Nutrients
4.2. Response of AMF Communities to Seasonal Changes
4.3. Effects of AMF Communities on Soil Chemical Properties
4.4. Effects of AMF Communities on Grass Nutrients
5. Conclusions
Author Contributions
Funding
Data Availability Statement
Conflicts of Interest
References
- Jiang, K.; Tan, Z.; He, Q.; Wang, L.; Zhao, Y.; Sun, X.; Huo, W.; Long, W.; Zhang, H. Strong positively diversity-productivity relationships in the natural sub-alpine meadow communities across time are up to superior performers. Sci. Rep. 2020, 10, 13353. [Google Scholar] [CrossRef] [PubMed]
- Gao, F.; Shi, F.; Chen, H.; Zhang, X.; Yu, X.; Cui, Q.; Zhao, C. Rapid Expansion of Melica przewalskyi Causes Soil Moisture Deficit and Vegetation Degradation in Subalpine Meadows. Clean-Soil Air Water. 2018, 46, 1700587. [Google Scholar] [CrossRef]
- Sally, E.; David, R. Mycorrhizal Symbiosis, 3rd ed.; Elsevier: Amsterdam, The Netherlands, 2008. [Google Scholar]
- Artursson, V.; Finlay, R.; Jansson, J.K. Interactions between arbuscular mycorrhizal fungi and bacteria and their potential for stimulating plant growth. Environ. Microbiol. 2005, 8, 1–10. [Google Scholar] [CrossRef] [PubMed]
- Binet, M.-N.; van Tuinen, D.; Souard, F.; Sage, L.; Périgon, S.; Gallet, C.; Legay, N.; Lavorel, S.; Mouhamadou, B. Responses of above- and below-ground fungal symbionts to cessation of mowing in subalpine grassland. Fungal Ecol. 2016, 25, 14–21. [Google Scholar] [CrossRef]
- Li, W.; He, S.; Cheng, X.; Zhang, G. Short-term effects of experimental trampling on alpine grasslands in Shangri-la, China. Glob. Ecol. Conserv. 2020, 23, eo1161. [Google Scholar] [CrossRef]
- Ye, P.; Zhang, G.; Zhao, X.; Chen, H.; Si, Q.; Wu, J. Potential geographical distribution and environmental explanations of rare and endangered plant species through combined modeling: A case study of Northwest Yunnan, China. Ecol. Evol. 2021, 11, 13052–13067. [Google Scholar] [CrossRef] [PubMed]
- Ge, Q.; Fan, W.; Zhu, W.; Chen, X. Application and research of block caving in Pulang copper mine. IOP Conf. Ser. Earth Environ. Sci. 2018, 108, 42006. [Google Scholar] [CrossRef]
- Liu, S.; Yang, X.; Ives, A.; Feng, Z.; Sha, L. Effects of seasonal and perennial grazing on soil fauna community and microbial biomass carbon in the subalpine meadows of Yunnan, Southwest China. Pedosphere 2017, 27, 371–379. [Google Scholar] [CrossRef]
- Tang, M.; Yang, Y. Changes in vegetation and soil characteristics under tourism disturbance in lakeside wetland of northwest Yunnan Plateau, Southwest China. J. Appl. Ecol. 2014, 25, 1283–1292. [Google Scholar]
- Asmelash, F.; Bekele, T.; Birhane, E. The potential role of arbuscular mycorrhizal fungi in the restoration of degraded lands. Front. Microbiol. 2016, 7, 1095. [Google Scholar] [CrossRef]
- Qiang, W.; Gunina, A.; Kuzyakov, Y.; He, L.; Zhang, Y.; Liu, B.; Pang, X. Contributions of mycorrhizal fungi to soil aggregate formation during subalpine forest succession. Catena 2023, 221, 106800. [Google Scholar] [CrossRef]
- Pérez, R.; Tapia, Y.; Antilén, M.; Casanova, M.; Vidal, C.; Silambarasan, S.; Cornejo, P. Rhizosphere management for phytoremediation of copper mine tailings. J. Soil Sci. Plant Nutr. 2021, 21, 3091–3109. [Google Scholar] [CrossRef]
- Ni, R. Traffic Records of Shangri-la County; The Ethnic Publishing House of Yunnan Provence: Kunming, China, 2010. [Google Scholar]
- Bulgarelli, D.; Rott, M.; Schlaeppi, K.; Ver, L.; Ahmadinejad, N.; Assenza, F.; Rauf, P.; Huettel, B.; Reinhardt, R.; Schmelzer, E.; et al. Revealing structure and assembly cues for Arabidopsis root-inhabiting bacterial microbiota. Nature 2012, 488, 91–95. [Google Scholar] [CrossRef]
- Li, Y.; Meng, Z.; Dong, J.; Su, M.; Li, H.; Lyu, C. 不同药用植物根际土壤原核微生物多样性研究 [Diversity of prokaryotic microorganisms in rhizosphere soil of different medicinal plants]. J. Microbiol. 2024, 44, 90–99. Available online: http://wswx.cnjournals.com/ch/reader/view_abstract.aspx?file_no=20240111&flag=1 (accessed on 15 February 2024).
- Fang, J.; Pang, R.; Guo, L.; Xie, H.; Li, J.; Luo, J.; Yu, H.; Liu, Y.; Wu, F. Deternination of Nitrogen, Phosphorus and Potassium in Plants NY/T 2017–2011; Ministry of Agriculture and Rural Affairs of the People’s Republic of China: Beijing, China, 2017.
- Bao, S. Soil and Agricultural Chemistry Analysis, 3rd ed.; China Agriculture Press: Beijing, China, 2000; pp. 25–114. [Google Scholar]
- Zhao, W.; Wang, D.; Huang, K.; Liu, S.; Reyila, M.; Li, J.; Sun, Y.; Li, J.; Cui, B. Seasonal variation in the soil fungal community structure of Larix gmelinii forests in Northeast China. Front. Microbiol. 2023, 14, 1106888. [Google Scholar] [CrossRef] [PubMed]
- Zhang, L.; Wang, Q.; Lv, J.; Zhang, C. The response of soil respiration to land-use change depends on soil microbial community being regulated by edaphic factors in the Loess Plateau, China. Land Degrad. Dev. 2023, 34, 4781–4792. [Google Scholar] [CrossRef]
- Li, Y.; Zhang, Q.; Cai, Y.; Yang, Q.; Chang, S. Minimum tillage and residue retention increase soil microbial population size and diversity: Implications for conservation tillage. Sci. Total Environ. 2020, 716, 137164. [Google Scholar] [CrossRef] [PubMed]
- Zhang, F.; Zhou, Z.; Xiao, Y. Distinct community assembly and co-existence of arbuscular mycorrhizal fungi and diazotrophs across large-scale soil fertility to improve functions in alfalfa cultivation systems. Environ. Microbiol. 2022, 24, 5277–5291. [Google Scholar] [CrossRef]
- Larimer, A.; Clay, K.; Bever, J.D. Synergism and context dependency of interactions between arbuscular mycorrhizal fungi and rhizobia with a prairie legume. Ecology 2014, 95, 1045–1054. [Google Scholar] [CrossRef]
- Brian, R.; Fiona, M.; Trevor, R. Persistent fungal root endophytes isolated from a wild barley species suppress seed-borne infections in a barley cultivar. BioControl 2015, 60, 281–292. [Google Scholar]
- Timo, C.; Johannes, K. Species pools and environmental sorting control different aspects of plant diversity and functional trait composition in recovering grasslands. J. Ecol. 2016, 104, 1314–1325. [Google Scholar]
- Montesinos-Navarro, A.; Segarra-Moragues, J.; Valiente-Banuet, A.; Verdú, M. Plant facilitation occurs between species differing in their associated arbuscular mycorrhizal fungi. New Phytol. 2012, 196, 835–844. [Google Scholar] [CrossRef] [PubMed]
- Laza, H.E.; Acosta-Martinez, V.; Cano, A.; Baker, J.; Mahan, J.; Gitz, D.; Emendack, Y.; Slaughter, L.; Lascano, R.; Tissue, D.; et al. Elevated [CO2] enhances soil respiration and AMF abundance in a semiarid peanut agroecosystem. Agric. Ecosyst. Environ. 2023, 355, 108592. [Google Scholar] [CrossRef]
- D’Souza, J.; Rodrigues, B. Seasonal diversity of arbuscular mycorrhizal fungi in Mangroves of Goa, India. Int. J. Biodivers. 2013, 2013, 196527. [Google Scholar] [CrossRef][Green Version]
- Wei, Y.; Wu, Z.; Yang, C.; Lan, G. Seasonal changes and driving factors of soil fungal diversity in the Rubber Plantations in Hainan Island. J. Northwest For. Univ. 2022, 37, 37–42. [Google Scholar]
- Guan, Z.; Lin, D.; Chen, D.; Guo, Y.; Lu, Y.; Han, Q.; Li, N.; Su, Y.; Li, J.; Wang, J.; et al. Soil microbial communities response to different fertilization regimes in young Catalpa bungei plantation. Front. Microbiol. 2022, 13, 948875. [Google Scholar] [CrossRef]
- Bainard, L.; Bainard, J.; Hamel, C.; Gan, Y. Spatial and temporal structuring of arbuscular mycorrhizal communities is differentially influenced by abiotic factors and host crop in a semi-arid prairie agroecosystem. FEMS Microbiol. Ecol. 2014, 88, 333–344. [Google Scholar] [CrossRef] [PubMed]
- Liu, Y.; Zheng, H.; He, L.; An, L.; Feng, H. Seasonal variation and related affecting factors of arbuscular mycorrhizal fungi in Caragana korsh in skii roots. Chin. J. Appl. Ecol. 2009, 20, 1085–1091. [Google Scholar]
- Mónica, A.; Marta, N. Native arbuscular mycorrhizal fungi (AMF) from mountain grassland (Córdoba, Argentina) I. Seasonal variation of fungal spore diversity. Mycologia 2002, 94, 579–586. [Google Scholar]
- Peng, S.; Zhang, X.; Wu, R.; Cai, Y.; Xing, W.; Ge, Z.; Mao, L. Seasonal dynamic responses of soil arbuscular community to nitrogen additions in a poplar plantation. J. Zhejiang AF Univ. 2023, 40, 792–800. [Google Scholar]
- Zhou, J.; Ning, D. Stochastic community assembly: Does it matter in microbial ecology? Microbiol. Mol. Biol. Rev. 2017, 81, e00002-17. [Google Scholar] [CrossRef]
- Nemergut, D.; Schmidt, S.; Fukami, T.; O’Neill, S.; Bilinski, T.; Stanish, L.; Knelman, J.; Darcy, J.; Lynch, R.; Wickey, P.; et al. Patterns and processes of microbial community assembly. Microbiol. Mol. Biol. Rev. 2013, 77, 342–356. [Google Scholar] [CrossRef]
- Colin, A.; LeAnna, L.; Michael, C.; Jennifer, M. Spatial vs. temporal controlsover soil fungal community similarity. ISME J. 2019, 13, 2082–2093. [Google Scholar]
- Fall, A.; Nakabonge, G.; Ssekandi, J.; Founoune-Mboup, H.; Apori, S.; Ndiaye, A. Roles of arbuscular mycorrhizal fungi on soil fertility: Contribution in the improvement of physical, chemical, and biological properties of the soil. Front. Fungal Biol. 2022, 3, 723892. [Google Scholar] [CrossRef] [PubMed]
- Liu, Y.; Qian, H.; Zhang, X.; Zheng, C.; Deng, A.; Jiang, Y.; Zhang, W. Impacts of arbuscular mycorrhizal fungi (AMF) on growth, N bio-fixation, and phosphorus uptake of legume crop. Chin. J. Appl. Ecol. 2021, 32, 1761–1767. [Google Scholar]
- Putri, D.; Widyastuti, R.; Idris, I.; Ikhwani, A.; Nugroho, S.; Sudiana, I.; Kanti, A.; Purnaningsih, I.; Ochiai, K.; Kobayashi, M.; et al. Unraveling the mechanisms of drought tolerance enhancement in Sorghum bicolor through Glomus mosseae inoculation: Insights from comparative analysis of Super 2 and Konawe Selatan accessions. S. Afr. J. Bot. 2023, 161, 293–304. [Google Scholar] [CrossRef]
- Tan, S.; Sun, W.; Liu, R. Combination of Glomus spp. and Bacillus sp. M3-4 promotes plant resistance to bacterial wilt in potato. Acta Phytopathol. Sin. 2015, 45, 661–669. [Google Scholar]
- Zhang, L.; Zhang, J.; Li, X. Mechanisms of plant resistance to plant-parasitic nematodes mediated by arbuscular mycorrhizal fungi. Soils 2011, 43, 426–432. [Google Scholar]
- Fritz, O.; Viviane, M.; Javier, P. Paraglomus turpe, a new arbuscular mycorrhizal fungal species from Central European agricultural soils. Nova Hedwig. 2016, 103, 491–499. [Google Scholar]
- Sally, E.; Andrew, S.F. Roles of arbuscular mycorrhizas in plant nutrition and growth: New paradigms from cellular to ecosystem scales. Annu. Rev. Plant Biol. 2011, 62, 227–250. [Google Scholar]
- Noceto, P.; Bettenfeld, P.; Boussageon, R.; Hériché, M.; Sportes, A.; van Tuinen, D.; Courty, P.; Wipf, D. Arbuscular mycorrhizal fungi, a key symbiosis in the development of quality traits in crop production, alone or combined with plant growth-promoting bacteria. Mycorrhiza 2021, 31, 655–669. [Google Scholar] [CrossRef] [PubMed]
- Marcel, G.; John, N.; Margot, U.; Peter, M.; Ruth, S.; Thomas, B.; Andres, W.; Ian, R. Mycorrhizal fungal diversity determines plant biodiversity, ecosystem variability and productivity. Nature 1998, 396, 69–72. [Google Scholar]
- He, F.; Li, C.; Faisal, H.; Lu, X.; Wang, Y.; Wang, M.; Ruan, J.; Wei, M.; Ma, X.; Wang, Z.; et al. Carbon transport and phosphorus uptake in an intercropping system of Robinia pseudoacacia and Amorphophallus konjac mediated by arbuscular mycorrhizal hyphal networks. Chin. J. Plant Ecol. 2023, 47, 782–791. [Google Scholar] [CrossRef]
- Alotibi, M.; Alotaibi, N.; Hussain, G.; Hussain, S.; Shah, S.; Ghoneim, A.; Dawar, K.; Hareem, M. Use of zinc quantum dot biochar and AMF for alleviation of Cd stress in maize: Regulation of physiological and biochemical attributes. Plant Stress. 2023, 10, 100262. [Google Scholar] [CrossRef]
- Singh, R.; Soni, S.; Bajpai, A. Cooperative interaction of Glomus intraradices with plant growth-promoting rhizobacteria promotes plant development and essential oil yield of Pogostemon cablin and reduces disease occurrence under organic field conditions. Australas. Plant Pathol. 2023, 52, 595–607. [Google Scholar] [CrossRef]
- Nopphakat, K.; Runsaeng, P.; Klinnawee, L. Acaulospora as the dominant arbuscular mycorrhizal fungi in organic lowland rice paddies improves phosphorus availability in soils. Sustainability 2021, 14, 31. [Google Scholar] [CrossRef]











| Habitat | Grass | SOM (g·kg−1) | TN (g·kg−1) | TP (g·kg−1) | TK (g·kg−1) | AN (mg·kg−1) | AK (mg·kg−1) | AP (mg·kg−1) |
|---|---|---|---|---|---|---|---|---|
| Grassland | T. subterraneum | 43.8 ± 1.1 c | 2.1 ± 0.1 b | 0.8 ± 0.06 b | 18.5 ± 0.7 a | 98 ± 1.5 a | 174.5 ± 2.0 d | 4.2 ± 0.3 c |
| P. annua | 62.5 ± 1.1 b | 2.8 ± 0.1 a | 0.9 ± 0.06 b | 10.1 ± 0.8 c | 84 ± 2.6 c | 205.0 ± 4.6 b | 9.6 ± 0.7 a | |
| P. concolor | 132.5 ± 3.4 a | 2.2 ± 0.1 b | 1.1 ± 0.10 a | 14.6 ± 1.0 b | 77 ± 2.4 d | 231.6 ± 3.1 a | 5.3 ± 0.3 b | |
| D. glomerata | 66.3 ± 1.9 b | 2.9 ± 0.1 a | 0.8 ± 0.06 b | 11.4 ± 1.2 c | 91 ± 2.3 b | 193.1 ± 4.4 c | 8.9 ± 0.6 a | |
| Forest | G. macrophylla | 170.1 ± 3.7 b | 4.8 ± 0.3 c | 0.8 ± 0.10 b | 14.8 ± 0.5 b | 182 ± 3.2 c | 287.2 ± 3.1 b | 13.4 ± 0.3 a |
| S. chinensis | 173.8 ± 2.7 b | 4.7 ± 0.3 c | 0.5 ± 0.06 c | 17.3 ± 0.6 a | 210 ± 3.8 b | 182.3 ± 2.3 d | 10.5 ± 1.0 b | |
| P. forbesii | 183.8 ± 3.4 a | 6.0 ± 0.3 a | 0.4 ± 0.0 d | 16.1 ± 1.1 ab | 280 ± 4.4 a | 224.1 ± 3.2 | 15.1 ± 1.3 a | |
| I. tectorum | 176.3 ± 3.4 b | 5.5 ± 0.2 b | 0.9 ± 0.06 a | 15.3 ± 0.7 b | 217 ± 3.2 b | 298.0 ± 4.1 a | 14.2 ± 0.6 a | |
| Woodland | S. chinensis | 187.6 ± 5.0 a | 6.2 ± 0.3 a | 2.0 ± 0.10 a | 14.8 ± 0.7 a | 224 ± 3.9 a | 181.2 ± 2.1 a | 20.8 ± 1.0 a |
| I. tectorum | 190.1 ± 4.5 a | 6.4 ± 0.3 a | 0.7 ± 0.06 a | 16.1 ± 0.8 a | 210 ± 3.9 a | 173.7 ± 2.7 a | 19.4 ± 0.9 a | |
| Shrubland | G. macrophylla | 127.5 ± 2.7 a | 5.6 ± 0.3 a | 0.8 ± 0.06 a | 16.6 ± 0.6 b | 175 ± 4.3 a | 234.3 ± 3.9 a | 7.3 ± 0.3 b |
| F. pratensis | 111.3 ± 3.4 b | 3.2 ± 0.2 c | 0.6 ± 0.10 ab | 11.7 ± 0.8 c | 182 ± 4.2 a | 149.8 ± 3.6 c | 6.1 ± 0.3 c | |
| S. chamaejasme | 116.3 ± 2.0 b | 4.3 ± 0.3 b | 0.6 ± 0.06 b | 18.5 ± 0.9 a | 147 ± 2.4 b | 236.0 ± 1.3 a | 9.1 ± 0.3 a | |
| I. tectorum | 66.3 ± 2.6 c | 2.7 ± 0.2 d | 0.7 ± 0.00 ab | 11.9 ± 0.5 c | 119 ± 3.5 c | 167.0 ± 3.0 b | 8.6 ± 0.6 a |
| Habitat | Grass | SOM (g·kg−1) | TN (g·kg−1) | TP (g·kg−1) | TK (g·kg−1) | AN (mg·kg−1) | AK (mg·kg−1) | AP (mg·kg−1) |
|---|---|---|---|---|---|---|---|---|
| Grassland | T. subterraneum | 37.5 ± 0.8 a | 2.4 ± 0.2 a | 0.9 ± 0.06 a | 13.3 ± 1.1 a | 269.5 ± 10.5 a | 20.4 ± 0.9 b | 5.8 ± 0.6 c |
| P. annua | 14.4 ± 1.2 c | 1.4 ± 0.1 b | 0.7 ± 0.06 b | 12.9 ± 0.6 a | 119.0 ± 3.5 b | 16.3 ± 1.1 c | 11.7 ± 0.7 b | |
| P. concolor | 21.9 ± 0.6 b | 0.9 ± 0.1 c | 0.4 ± 0.00 c | 12.9 ± 0.5 a | 106.7 ± 1.8 c | 20.0 ± 1.8 b | 4.1 ± 0.3 d | |
| D. glomerata | 15.6 ± 0.9 c | 1.5 ± 0.1 b | 0.8 ± 0.06 a | 13.9 ± 0.6 a | 124.2 ± 1.8 b | 43.4 ± 1.0 a | 14.1 ± 0.6 a | |
| Forest | G. macrophylla | 64.5 ± 1.9 d | 3.8 ± 0.2 d | 0.9 ± 0.20 a | 13.4 ± 0.9 a | 423.5 ± 3.5 c | 22.2 ± 1.8 c | 10.6 ± 0.6 c |
| S. chinensis | 85.8 ± 2.6 c | 4.7 ± 0.2 c | 1.1 ± 0.10 a | 11.8 ± 0.5 b | 465.5 ± 6.0 b | 31.2 ± 2.2 b | 11.4 ± 0.9 c | |
| P. forbesii | 187.5 ± 3.4 a | 6.3 ± 0.3 a | 1.0 ± 0.06 a | 11.6 ± 0.7 b | 526.7 ± 4.1 a | 34.8 ± 0.4 a | 16.5 ± 0.8 b | |
| I. tectorum | 167.6 ± 3.0 b | 5.2 ± 0.2 b | 0.9 ± 0.06 a | 7.9 ± 0.9 c | 535.5 ± 5.6 a | 33.8 ± 1.4 ab | 24.5 ± 1.1 a | |
| Woodland | S. chinensis | 163.6 ± 3.2 a | 7.7 ± 0.4 a | 0.8 ± 0.06 a | 13.1 ± 0.6 a | 794.5 ± 4.1 a | 57.9 ± 2.1 a | 28.8 ± 1.0 a |
| I. tectorum | 123.7 ± 2.8 a | 5.9 ± 0.3 a | 1.1 ± 0.06 a | 11.5 ± 1.0 a | 509.2 ± 8.7 a | 37.3 ± 1.4 a | 13.4 ± 2.0 a | |
| Shrubland | G. macrophylla | 28.3 ± 1.3 c | 3.7 ± 0.2 a | 0.8 ± 0.06 a | 11.3 ± 0.9 b | 260.7 ± 8.4 b | 17.8 ± 0.6 a | 5.1 ± 0.4 d |
| F. pratensis | 30.3 ± 1.1 bc | 1.2 ± 0.1 d | 0.8 ± 0.06 a | 13.0 ± 0.7 ab | 236.2 ± 5.4 c | 10.6 ± 0.8 c | 12.0 ± 0.5 a | |
| S. chamaejasme | 32.7 ± 1.6 b | 2.0 ± 0.1 c | 0.7 ± 0.00 b | 13.3 ± 1.4 ab | 215.2 ± 3.3 d | 9.1 ± 0.4 d | 8.6 ± 0.3 c | |
| I. tectorum | 37.9 ± 0.7 a | 2.8 ± 0.2 b | 0.9 ± 0.06 a | 13.5 ± 1.0 a | 281.7 ± 3.7 a | 12.5 ± 0.8 b | 10.3 ± 0.6 b |
Disclaimer/Publisher’s Note: The statements, opinions and data contained in all publications are solely those of the individual author(s) and contributor(s) and not of MDPI and/or the editor(s). MDPI and/or the editor(s) disclaim responsibility for any injury to people or property resulting from any ideas, methods, instructions or products referred to in the content. |
© 2024 by the authors. Licensee MDPI, Basel, Switzerland. This article is an open access article distributed under the terms and conditions of the Creative Commons Attribution (CC BY) license (https://creativecommons.org/licenses/by/4.0/).
Share and Cite
Li, W.; Yang, J.; Zhan, F.; Guo, J.; Zhang, Y.; Ba, Y.; Dong, H.; He, Y. Characteristics of the Rhizospheric AMF Community and Nutrient Contents of the Dominant Grasses in Four Microhabitats of the Subalpine Zone in Northwestern Yunnan, China. Forests 2024, 15, 656. https://doi.org/10.3390/f15040656
Li W, Yang J, Zhan F, Guo J, Zhang Y, Ba Y, Dong H, He Y. Characteristics of the Rhizospheric AMF Community and Nutrient Contents of the Dominant Grasses in Four Microhabitats of the Subalpine Zone in Northwestern Yunnan, China. Forests. 2024; 15(4):656. https://doi.org/10.3390/f15040656
Chicago/Turabian StyleLi, Wei, Jiqing Yang, Fangdong Zhan, Jiawei Guo, Ya Zhang, Yong Ba, Hengwen Dong, and Yongmei He. 2024. "Characteristics of the Rhizospheric AMF Community and Nutrient Contents of the Dominant Grasses in Four Microhabitats of the Subalpine Zone in Northwestern Yunnan, China" Forests 15, no. 4: 656. https://doi.org/10.3390/f15040656
APA StyleLi, W., Yang, J., Zhan, F., Guo, J., Zhang, Y., Ba, Y., Dong, H., & He, Y. (2024). Characteristics of the Rhizospheric AMF Community and Nutrient Contents of the Dominant Grasses in Four Microhabitats of the Subalpine Zone in Northwestern Yunnan, China. Forests, 15(4), 656. https://doi.org/10.3390/f15040656

