Response of Typical Tree Species Sap Flow to Environmental Factors in the Hilly Areas of Haihe River Basin, China
Abstract
1. Introduction
2. Materials and Methods
2.1. Study Area
2.2. Layout of Monitoring Points
2.3. Determination of Sap Flow
2.4. Determination of Environmental Factors
2.4.1. Meteorological Factors
2.4.2. Soil Factors
2.5. Data Processing
3. Results
3.1. Dynamic Changes in Environmental Factors
3.1.1. Meteorological Factors
3.1.2. Dynamic Changes of Soil Factors
3.2. Characteristics of V Variation at Different Time Scales
3.3. Relationship between V and Environmental Factors
3.3.1. Pearson Correlation Analysis at Different Time Scales
3.3.2. Impact of Environmental Factors on V at Different Time Scales
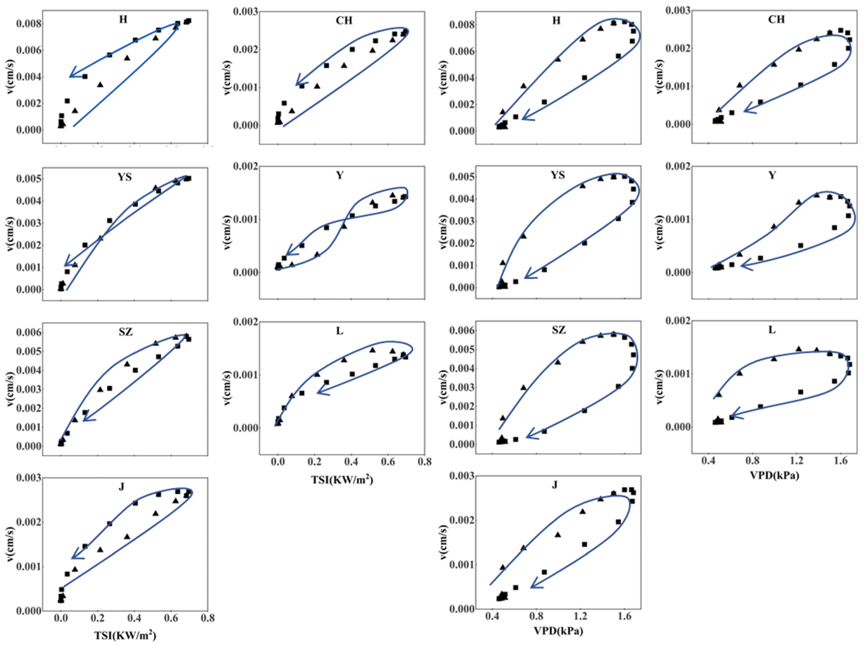
3.3.3. Time Lag Effect of the Sap Flow
3.3.4. Response Models of V and Environmental Factors at Different Time Scales
4. Discussion
4.1. V Responds to Environmental Factors
4.2. Time-Lag Effect of Sap Flow on Environmental Factors
4.3. Limitations
- (1)
- The time–lag effect of plant sap flow was confirmed in relation to meteorological factors, such as VPD and TSI, but its mechanism is still unclear. As discussed in Section 4.2, the time–lag effect of plant sap flow is the result of a combination of factors, such as weather, soil, and tree growth conditions. Future studies should address changes in these factors, with the aim of revealing specific response rules. In addition, we should strengthen the study of the synergistic effect of environmental factors on time–lag effect, so as to understand the sap flow characteristics from the perspective of time–lag characteristics.
- (2)
- Given the constraints of experimental conditions, the sample size of this study was relatively modest and its temporal and spatial scales were restricted. Consequently, the results only depicted the response rule within the specific environmental conditions of the study area, and may not be generalizable to other watersheds. Thus, it may be beneficial in future to augment the number of samples and conduct sap flow monitoring trials across varying climatic conditions. This could enhance our understanding of tree species’ transpiration and water use, and assist the examination of the effect of environmental factors on these processes.
- (3)
- Our study focused solely on variations in sap flow rates across varietal trees, neglecting the overall tree transpiration. Nonetheless, understanding the significance of tree transpiration is essential for comprehending local ecosystem water consumption and effective water resource stewardship. Future research should intensely examine changes in tree transpiration and their correlation with environmental conditions.
5. Conclusions
Author Contributions
Funding
Data Availability Statement
Acknowledgments
Conflicts of Interest
Appendix A




| Tree Name | Time Scale | Response Model | Fitting Degree |
|---|---|---|---|
| H | hourly | V = −0.00218 + 0.00994TSI + 0.00021Ta + 0.00197SW20 + 0.03345SW80 − 0.00039WS − 0.00037T20 − 0.01503SW100 + 0.00029T40 − 0.00011P − 0.00002RH − 0.00056VPD | 0.849 |
| hourly (considered time-lag) | V = −0.0016 + 0.01TSI + 0.00019Ta + 0.0031SW20 + 0.022SW80 − 0.00034WS − 0.0094SW100 + 0.0012T80 − 0.000024RH − 0.00066VPD − 0.000092P − 0.00063T100 − 0.00058T40 | 0.849 | |
| daily | V = −0.00745 + 0.00063TSI + 0.00008Ta + 0.00002RH + 0.16059EC80 + 0.00333SW20 | 0.849 | |
| YS | hourly | V = 0.002 + 0.007TSI + 0.000076Ta − 0.001VPD − 0.000036RH − 0.00027WS | 0.829 |
| hourly (considered time-lag) | V = 0.0022+ 0.0071 TSI + 0.000081 Ta − 0.000036 RH − 0.00098 VPD − 0.0003 WS | 0.831 | |
| daily | V = 0.00030 + 0.00035TSI − 0.00042WS | 0.687 | |
| CH | hourly | V = −0.00140 + 0.00279TSI + 0.00044T60 − 0.00027T40 + 0.00009Ta + 0.09925EC60 − 0.00059VPD − 0.00002RH − 0.00026WS − 0.11215EC40 + 0.01070SW40 − 0.00012T20 | 0.728 |
| hourly (considered time-lag) | V = −0.00153 + 0.00285 TSI + 0.00056 T60 − 0.00049 T40 +0.00008 Ta + 0.10494 EC60 − 0.00002 RH − 0.00061 VPD − 0.00023 WS − 0.11425 EC40 + 0.01052 SW40 | 0.732 | |
| daily | V = −0.00248 + 0.00015TSI + 0.00046T60−0.00040T40 + 0.11147EC60 + 0.00006Ta−0.00036VPD−0.00001RH | 0.667 | |
| SZ | hourly | V = −0.0043 + 0.0075TSI + 0.00074T40 + −0.00078 + −0.00064T20 + 0.00013Ta + 0.022SW20 − 0.091EC20 − 0.02SW40 + 0.17EC40 − 0.00047VPD − 0.000014RH | 0.693 |
| hourly (considered time-lag) | V = −0.00420 +0.00639 TSI +0.00093 T40 − 0.00086 T20 + 0.00019 Ta − 0.00073 WS + 0.01960 SW20−0.08073 EC20−0.02018 SW40 + 0.18234 EC40 − 0.00001 RH − 0.00032 VPD | 0.702 | |
| daily | V = −0.00545 + 0.00027Ta + 0.00034TSI − 0.00030VPD + 0.02192SW20 − 0.07099EC20 − 0.00126T200.00123T40 − 0.00658SW40 | 0.751 | |
| J | hourly | V = −0.00012 + 0.00336TSI + 0.00005Ta − 0.00026VPD − 0.000003RH − 0.00003P | 0.718 |
| hourly (considered time-lag) | V = −0.0000015 + 0.0033573 TSI + 0.0000527 Ta − 0.0003161 VPD − 0.0000053 RH − 0.0000254 P | 0.720 | |
| daily | V = −0.00095 + 0.00019TSI + 0.00001RH + 0.00002Ta | 0.594 | |
| Y | hourly | V = 0.001 + 0.002TSI − 0.001VPD + 0.000035Ta − 0.000016RH − 0.00021WS + 0.000027P | 0.513 |
| hourly (considered time-lag) | V = 0.00127 + 0.00203 TSI − 0.00067 VPD − 0.00002 RH + 0.00003 Ta − 0.00020 WS + 0.00003 P | 0.526 | |
| daily | V = 0.00014 + 0.00011TSI − 0.00030VPD | 0.296 | |
| L | hourly | V = 0.00082 + 0.0022TSI + 0.000023Ta − 0.00033VPD − 0.00001RH + 0.00002P | 0.754 |
| hourly (considered time-lag) | V = 0.00048 + 0.00207 TSI + 0.00002 Ta − 0.00001 RH − 0.00017 VPD + 0.00003 P − 0.00006 WS | 0.802 | |
| daily | V = 0.00023 + 0.000091TSI | 0.723 |
References
- Hong, L.; Guo, J.; Liu, Z.; Wang, Y.; Ma, J.; Wang, X.; Zhang, Z. Time-Lag Effect between Sap Flow and Environmental Factors of Larix principis-rupprechtii Mayr. Forests 2019, 10, 971. [Google Scholar] [CrossRef]
- Daley, M.J.; Phillips, N.G. Interspecific variation in nighttime transpiration and stomatal conductance in a mixed New England deciduous forest. Tree Physiol. 2006, 26, 411–419. [Google Scholar] [CrossRef]
- Liu, J.; Zhao, Y.; Wang, Y.; Zhang, J.; Xue, J.; Wang, S.; Chang, J. Sap flow of two typical woody halophyte species responding to the meteorological and irrigation water conditions in Taklimakan Desert. Ecohydrol. Hydrobiol. 2023, 26, 411–419. [Google Scholar] [CrossRef]
- Jasechko, S.; Sharp, Z.D.; Gibson, J.J.; Birks, S.J.; Yi, Y.; Fawcett, P.J. Terrestrial water fluxes dominated by transpiration. Nature 2013, 496, 347–350. [Google Scholar] [CrossRef] [PubMed]
- Small, E.E.; McConnell, J.R. Comparison of soil moisture and meteorological controls on pine and spruce transpiration. Ecohydrology 2008, 1, 205–214. [Google Scholar] [CrossRef]
- Song, L.N.; Zhu, J.J.; Zheng, X.; Wang, K.; Lü, L.Y.; Zhang, X.L.; Hao, G.Y. Transpiration and canopy conductance dynamics of Pinus sylvestris var. mongolica in its natural range and in an introduced region in the sandy plains of Northern China. Agric. For. Meteorol. 2020, 281, 14. [Google Scholar] [CrossRef]
- Aranda, I.; Forner, A.; Cuesta, B.; Valladares, F. Species-specific water use by forest tree species: From the tree to the stand. Agric. Water Manag. 2012, 114, 67–77. [Google Scholar] [CrossRef]
- Ford, C.R.; Hubbard, R.M.; Vose, J.M. Quantifying structural and physiological controls on variation in canopy transpiration among planted pine and hardwood species in the southern Appalachians. Ecohydrology 2011, 4, 183–195. [Google Scholar] [CrossRef]
- COHEN, Y.; GREEN, M.F.G.C. Improvement of the heat pulse method for determining sap flow in trees. Plant Cell Environ. 1981, 4, 391–397. [Google Scholar] [CrossRef]
- Chang, X.X.; Zhao, W.Z.; Zhang, Z.H.; Su, Y.Z. Sap flow and tree conductance of shelter-belt in and region of China. Agric. For. Meteorol. 2006, 138, 132–141. [Google Scholar] [CrossRef]
- Cienciala, E.; Lindroth, A.; Čermák, J.; Hällgren, J.-E.; Kučera, J. Assessment of transpiration estimates for Picea abies trees during a growing season. Trees 1992, 6, 121–127. [Google Scholar] [CrossRef]
- Poyatos, R.; Cermák, J.; Llorens, P. Variation in the radial patterns of sap flux density in pubescent oak (Quercus pubescens) and its implications for tree and stand transpiration measurements. Tree Physiol. 2007, 27, 537–548. [Google Scholar] [CrossRef]
- Granier, A. Evaluation of transpiration in a Douglas-fir stand by means of sap flow measurements. Tree Physiol. 1987, 3, 309–3320. [Google Scholar] [CrossRef] [PubMed]
- Nadezhdina, N.; Cermák, J.; Ceulemans, R. Radial patterns of sap flow in woody stems of dominant and understory species: Scaling errors associated with positioning of sensors. Tree Physiol. 2002, 22, 907–918. [Google Scholar] [CrossRef] [PubMed]
- Fiora, A.; Cescatti, A. Vertical foliage distribution determines the radial pattern of sap flux density in Picea abies. Tree Physiol. 2008, 28, 1317–1323. [Google Scholar] [CrossRef] [PubMed]
- Zhao, X.; Li, X.; Hu, W.; Liu, J.; Di, N.; Duan, J.; Li, D.; Liu, Y.; Guo, Y.; Wang, A.; et al. Long-term variation of the sap flow to tree diameter relation in a temperate poplar forest. J. Hydrol. 2023, 618, 129189. [Google Scholar] [CrossRef]
- Oren, R.; Phillips, N.; Ewers, B.E.; Pataki, D.E.; Megonigal, J.P. Sap-flux-scaled transpiration responses to light, vapor pressure deficit, and leaf area reduction in a flooded Taxodium distichum forest. Tree Physiol. 1999, 19, 337–347. [Google Scholar] [CrossRef] [PubMed]
- Liu, X.Z.; Kang, S.Z.; Li, F.S. Simulation of artificial neural network model for trunk sap flow of Pyrus pyrifolia and its comparison with multiple-linear regression. Agric. Water Manag. 2009, 96, 939–945. [Google Scholar] [CrossRef]
- Loranty, M.M.; Mackay, D.S.; Ewers, B.E.; Adelman, J.D.; Kruger, E.L. Environmental drivers of spatial variation in whole-tree transpiration in an aspen-dominated upland-to-wetland forest gradient. Water Resour. Res. 2008, 44, 15. [Google Scholar] [CrossRef]
- Chang, X.X.; Zhao, W.Z.; He, Z.B. Radial pattern of sap flow and response to microclimate and soil moisture in Qinghai spruce (Picea crassifolia) in the upper Heihe River Basin of arid northwestern China. Agric. For. Meteorol. 2014, 187, 14–21. [Google Scholar] [CrossRef]
- Chen, X.; Zhao, P.; Hu, Y.T.; Zhao, X.H.; Ouyang, L.; Zhu, L.W.; Ni, G.Y. The sap flow-based assessment of atmospheric trace gas uptake by three forest types in subtropical China on different timescales. Environ. Sci. Pollut. Res. 2018, 25, 28431–28444. [Google Scholar] [CrossRef] [PubMed]
- Hayat, M.; Yan, C.H.; Xiang, J.; Xiong, B.W.; Qin, L.J.; Khan, A.; Wang, B.; Khan, M.H.; Zou, Z.D.; Qiu, G.Y. Multiple-Temporal Scale Variations in Nighttime Sap Flow Response to Environmental Factors in Ficus concinna over a Subtropical Megacity, Southern China. Forests 2022, 13, 21. [Google Scholar] [CrossRef]
- Kubota, M.; Tenhunen, J.; Zimmermann, R.; Schmidt, M.; Kakubari, Y. Influence of environmental conditions on radial patterns of sap flux density of a 70-year Fagus crenata trees in the Naeba Mountains, Japan. Ann. For. Sci. 2005, 62, 289–296. [Google Scholar] [CrossRef]
- Gazal, R.M.; Scott, R.L.; Goodrich, D.C.; Williams, D.G. Controls on transpiration in a semiarid riparian cottonwood forest. Agric. For. Meteorol. 2006, 137, 56–67. [Google Scholar] [CrossRef]
- Liu, Z.; Yu, S.; Xu, L.; Wang, Y.; Yu, P.; Chao, Y. Differentiated responses of daytime and nighttime sap flow to soil water deficit in a larch plantation in Northwest China. Agric. Water Manag. 2023, 289, 108540. [Google Scholar] [CrossRef]
- Bernier, P.Y.; Bartlett, P.; Black, T.A.; Barr, A.; Kljun, N.; McCaughey, J.H. Drought constraints on transpiration and canopy conductance in mature aspen and jack pine stands. Agric. For. Meteorol. 2006, 140, 64–78. [Google Scholar] [CrossRef]
- MacKay, S.L.; Arain, M.A.; Khomik, M.; Brodeur, J.J.; Schumacher, J.; Hartmann, H.; Peichl, M. The impact of induced drought on transpiration and growth in a temperate pine plantation forest. Hydrol. Process. 2012, 26, 1779–1791. [Google Scholar] [CrossRef]
- Huang, J.T.; Zhou, Y.X.; Yin, L.H.; Wenninger, J.; Zhang, J.; Hou, G.C.; Zhang, E.Y.; Uhlenbrook, S. Climatic controls on sap flow dynamics and used water sources of Salix psammophila in a semi-arid environment in northwest China. Environ. Earth Sci. 2015, 73, 289–301. [Google Scholar] [CrossRef]
- Fan, Y.; Miguez-Macho, G.; Jobbágy, E.G.; Jackson, R.B.; Otero-Casal, C. Hydrologic regulation of plant rooting depth. Proc. Natl. Acad. Sci. USA 2017, 114, 10572–10577. [Google Scholar] [CrossRef]
- Petrík, P.; Zavadilová, I.; Sigut, L.; Kowalska, N.; Petek-Petrik, A.; Szatniewska, J.; Jocher, G.; Pavelka, M. Impact of Environmental Conditions and Seasonality on Ecosystem Transpiration and Evapotranspiration Partitioning (T/ET Ratio) of Pure European Beech Forest. Water 2022, 14, 17. [Google Scholar] [CrossRef]
- Nalevanková, P.; Sitková, Z.; Kucera, J.; Strelcová, K. Impact of Water Deficit on Seasonal and Diurnal Dynamics of European Beech Transpiration and Time-Lag Effect between Stand Transpiration and Environmental Drivers. Water 2020, 12, 21. [Google Scholar] [CrossRef]
- Oberhuber, W.; Hammerle, A.; Kofler, W. Tree water status and growth of saplings and mature Norway spruce (Picea abies) at a dry distribution limit. Front. Plant Sci. 2015, 6, 703. [Google Scholar] [CrossRef] [PubMed]
- Zavadilová, I.; Szatniewska, J.; Petrík, P.; Mauer, O.; Pokorný, R.; Stojanović, M. Sap flow and growth response of Norway spruce under long-term partial rainfall exclusion at low altitude. Front. Plant Sci. 2023, 14, 1089706. [Google Scholar] [CrossRef]
- Xia, G.; Kang, S.; Li, F.; Zhang, J.; Zhou, Q. Diurnal and seasonal variations of sap flow of Caragana korshinskii in the arid desert region of north-west China. Hydrol. Process. 2008, 22, 1197–1205. [Google Scholar] [CrossRef]
- Qian, D.; Zha, T.S.; Jia, X.; Wu, B.; Zhang, Y.Q.; Bourque, C.P.A.; Qin, S.G.; Peltola, H. Adaptive, water-conserving strategies in Hedysarum mongolicum endemic to a desert shrubland ecosystem. Environ. Earth Sci. 2015, 74, 6039–6046. [Google Scholar] [CrossRef]
- Zha, T.S.; Li, C.Y.; Kellomäki, S.; Peltola, H.; Wang, K.Y.; Zhang, Y.Q. Controls of Evapotranspiration and CO2 Fluxes from Scots Pine by Surface Conductance and Abiotic Factors. PLoS ONE 2013, 8, 10. [Google Scholar] [CrossRef] [PubMed]
- Hayat, M.; Zha, T.S.; Jia, X.; Iqbal, S.; Qian, D.; Bourque, C.P.A.; Khan, A.; Tian, Y.; Bai, Y.J.; Liu, P.; et al. A multiple-temporal scale analysis of biophysical control of sap flow in Salix psammophila growing in a semiarid shrubland ecosystem of northwest China. Agric. For. Meteorol. 2020, 288, 12. [Google Scholar] [CrossRef]
- Ma, L.; Lu, P.; Zhao, P.; Rao, X.Q.; Cai, X.A.; Zeng, X.P. Diurnal, daily, seasonal and annual patterns of sap-flux-scaled transpiration from an Acacia mangium plantation in South China. Ann. For. Sci. 2008, 65, 9. [Google Scholar] [CrossRef]
- Ma, F.S.; Kang, S.Z.; Li, F.S.; Zhang, J.H.; Du, T.S.; Hu, X.T.; Wang, M.X. Effect of water deficit in different growth stages on stem sap flux of greenhouse grown pear-jujube tree. Agric. Water Manag. 2007, 90, 190–196. [Google Scholar] [CrossRef]
- Zhang, J.G.; Guan, J.H.; Shi, W.Y.; Yamanaka, N.; Du, S. Interannual variation in stand transpiration estimated by sap flow measurement in a semi-arid black locust plantation, Loess Plateau, China. Ecohydrology 2015, 8, 137–147. [Google Scholar] [CrossRef]
- Zheng, H.; Wang, Q.F.; Zhu, X.J.; Li, Y.N.; Yu, G.R. Hysteresis Responses of Evapotranspiration to Meteorological Factors at a Diel Timescale: Patterns and Causes. PLoS ONE 2014, 9, 10. [Google Scholar] [CrossRef] [PubMed]
- Chen, Z.; Zhang, Z.; Sun, G.; Chen, L.; Xu, H.; Chen, S. Biophysical controls on nocturnal sap flow in plantation forests in a semi-arid region of northern China. Agric. For. Meteorol. 2020, 284, 107904. [Google Scholar] [CrossRef]
- Phillips, N.; Oren, R.; Zimmermann, R.; Wright, S.J. Temporal patterns of water flux in trees and lianas in a Panamanian moist forest. Trees-Struct. Funct. 1999, 14, 116–123. [Google Scholar] [CrossRef]
- Oguntunde, P.G.; van de Giesen, N.C.; Vlek, P.L.G.; Eggers, H. Water Flux in a Cashew Orchard during a Wet-to-Dry Transition Period: Analysis of Sap Flow and Eddy Correlation Measurements. Earth Interact. 2004, 8, 17. [Google Scholar] [CrossRef]
- Tu, J.; Wei, X.H.; Huang, B.B.; Fan, H.B.; Jian, M.F.; Li, W. Improvement of sap flow estimation by including phenological index and time-lag effect in back-propagation neural network models. Agric. For. Meteorol. 2019, 276, 7. [Google Scholar] [CrossRef]
- Ma, T.; Wang, T.; Yang, D.; Yang, S. Impacts of vegetation restoration on water resources and carbon sequestration in the mountainous area of Haihe River basin, China. Sci. Total Environ. 2023, 869, 161724. [Google Scholar] [CrossRef] [PubMed]
- Lei, H.; Yang, D.; Huang, M. Impacts of climate change and vegetation dynamics on runoff in the mountainous region of the Haihe River basin in the past five decades. J. Hydrol. 2014, 511, 786–799. [Google Scholar] [CrossRef]
- Tie, Q.; Hu, H.C.; Tian, F.Q.; Guan, H.D.; Lin, H. Environmental and physiological controls on sap flow in a subhumid mountainous catchment in North China. Agric. For. Meteorol. 2017, 240, 46–57. [Google Scholar] [CrossRef]
- Wang, Q.M.; Jiang, S.; Zhai, J.Q.; He, G.H.; Zhao, Y.; Zhu, Y.N.; He, X.; Li, H.H.; Wang, L.Z.; He, F.; et al. Effects of vegetation restoration on evapotranspiration water consumption in mountainous areas and assessment of its remaining restoration space. J. Hydrol. 2022, 605, 12. [Google Scholar] [CrossRef]
- Peng, H.; Jia, Y.W.; Zhan, C.S.; Xu, W.H. Topographic controls on ecosystem evapotranspiration and net primary productivity under climate warming in the Taihang Mountains, China. J. Hydrol. 2020, 581, 9. [Google Scholar] [CrossRef]
- Ji, S.; Ren, S.; Li, Y.; Dong, J.; Wang, L.; Quan, Q.; Liu, J. Diverse responses of spring phenology to preseason drought and warming under different biomes in the North China Plain. Sci Total Env. 2021, 766, 144437. [Google Scholar] [CrossRef]
- Xiao-Qiu, C.Y.-Z.L.W.-G.C. Process-based simulation of autumn phenology of trees and the regional differentiation attribution in northern China. Chin. J. Plant Ecol. 2022, 46, 753–765. [Google Scholar] [CrossRef]
- Fuchs, S.; Leuschner, C.; Link, R.; Coners, H.; Schuldt, B. Calibration and comparison of thermal dissipation, heat ratio and heat field deformation sap flow probes for diffuse-porous trees. Agric. For. Meteorol. 2017, 244–245, 151–161. [Google Scholar] [CrossRef]
- Flo, V.; Martinez-Vilalta, J.; Steppe, K.; Schuldt, B.; Poyatos, R. A synthesis of bias and uncertainty in sap flow methods. Agric. For. Meteorol. 2019, 271, 362–374. [Google Scholar] [CrossRef]
- Tong, Y.Q.; Liu, J.; Han, X.; Zhang, T.; Dong, Y.H.; Wu, M.G.; Qin, S.J.; Wei, Y.W.; Chen, Z.J.; Zhou, Y.B. Radial and seasonal variation of sap flow and its response to meteorological factors in sandy Pinus sylvestris var. mongolica plantations in the Three North Shelterbelt of China. Agric. For. Meteorol. 2023, 328, 9. [Google Scholar] [CrossRef]
- Du, S.; Wang, Y.L.; Kume, T.; Zhang, J.G.; Otsuki, K.; Yamanaka, N.; Liu, G.B. Sapflow characteristics and climatic responses in three forest species in the semiarid Loess Plateau region of China. Agric. For. Meteorol. 2011, 151, 1–10. [Google Scholar] [CrossRef]
- Liu, C.W.; Du, T.S.; Li, F.S.; Kang, S.Z.; Li, S.E.; Tong, L. Trunk sap flow characteristics during two growth stages of apple tree and its relationships with affecting factors in an arid region of northwest China. Agric. Water Manag. 2012, 104, 193–202. [Google Scholar] [CrossRef]
- Xu, X.Y.; Tong, L.; Li, F.S.; Kang, S.Z.; Qu, Y.P. Sap flow of irrigated Populus alba var. pyramidalis and its relationship with environmental factors and leaf area index in an arid region of Northwest China. J. For. Res. 2011, 16, 144–152. [Google Scholar] [CrossRef]
- Chuang, Y.L.; Oren, R.; Bertozzi, A.L.; Phillips, N.; Katul, G.G. The porous media model for the hydraulic system of a conifer tree: Linking sap flux data to transpiration rate. Ecol. Model. 2006, 191, 447–468. [Google Scholar] [CrossRef]
- Huang, L.; Zhang, Z.S.; Li, X.R. Sap flow of Artemisia ordosica and the influence of environmental factors in a revegetated desert area: Tengger Desert, China. Hydrol. Process. 2010, 24, 1248–1253. [Google Scholar] [CrossRef]
- Han, C.; Chen, N.; Zhang, C.K.; Liu, Y.J.; Khan, S.; Lu, K.L.; Li, Y.G.; Dong, X.X.; Zhao, C.M. Sap flow and responses to meteorological about the Larix principis-rupprechtii plantation in Gansu Xinlong mountain, northwestern China. For. Ecol. Manag. 2019, 451, 9. [Google Scholar] [CrossRef]
- Horna, V.; Schuldt, B.; Brix, S.; Leuschner, C. Environment and tree size controlling stem sap flux in a perhumid tropical forest of Central Sulawesi, Indonesia. Ann. For. Sci. 2011, 68, 1027–1038. [Google Scholar] [CrossRef]
- Kume, T.; Takizawa, H.; Yoshifuji, N.; Tanaka, K.; Tantasirin, C.; Tanaka, N.; Suzuki, M. Impact of soil drought on sap flow and water status of evergreen trees in a tropical monsoon forest in northern Thailand. For. Ecol. Manag. 2007, 238, 220–230. [Google Scholar] [CrossRef]
- Meinzer, F.C.; Andrade, J.L.; Goldstein, G.; Holbrook, N.M.; Cavelier, J.; Wright, S.J. Partitioning of soil water among canopy trees in a seasonally dry tropical forest. Oecologia 1999, 121, 293–301. [Google Scholar] [CrossRef]
- Bovard, B.D.; Curtis, P.S.; Vogel, C.S.; Su, H.B.; Schmid, H.P. Environmental controls on sap flow in a northern hardwood forest. Tree Physiol. 2005, 25, 31–38. [Google Scholar] [CrossRef]
- Guo, W.H.; Li, B.; Zhang, X.S.; Wang, R.Q. Effects of water stress on water use efficiency and water balance components of Hippophae rhamnoides and Caragana intermedia in the soil-plant-atmosphere continuum. Agrofor. Syst. 2010, 80, 423–435. [Google Scholar] [CrossRef]
- Wang, X.Z.; Zhang, W.H.; Miao, Y.X.; Gao, L.H. Root-Zone Warming Differently Benefits Mature and Newly Unfolded Leaves of Cucumis sativus L. Seedlings under Sub-Optimal Temperature Stress. PLoS ONE 2016, 11, 20. [Google Scholar] [CrossRef] [PubMed]
- Lee, S.H.; Chung, G.C.; Jang, J.Y.; Ahn, S.J.; Zwiazek, J.J. Overexpression of PIP2;5 Aquaporin Alleviates Effects of Low Root Temperature on Cell Hydraulic Conductivity and Growth in Arabidopsis (vol 159, pg 479, 2012). Plant Physiol. 2012, 159, 1291. [Google Scholar] [CrossRef] [PubMed]
- Lee, S.H.; Chung, G.C. Sensitivity of root system to low temperature appears to be associated with the root hydraulic properties through aquaporin activity. Sci. Hortic. 2005, 105, 1–11. [Google Scholar] [CrossRef]
- Xia, Z.Q.; Zhang, G.X.; Zhang, S.B.; Wang, Q.; Fu, Y.F.; Lu, H.D. Efficacy of Root Zone Temperature Increase in Root and Shoot Development and Hormone Changes in Different Maize Genotypes. Agriculture 2021, 11, 13. [Google Scholar] [CrossRef]
- Wang, H.L.; Tetzlaff, D.; Soulsby, C. Hysteretic response of sap flow in Scots pine (Pinus sylvestris) to meteorological forcing in a humid low-energy headwater catchment. Ecohydrology 2019, 12, 11. [Google Scholar] [CrossRef]
- Zha, T.S.; Qian, D.; Jia, X.; Bai, Y.J.; Tian, Y.; Bourque, C.P.A.; Ma, J.Y.; Feng, W.; Wu, B.; Peltola, H. Soil moisture control of sap-flow response to biophysical factors in a desert-shrub species, Artemisia ordosica. Biogeosciences 2017, 14, 4533–4544. [Google Scholar] [CrossRef]
- Zhang, Q.; Manzoni, S.; Katul, G.; Porporato, A.; Yang, D.W. The hysteretic evapotranspiration—Vapor pressure deficit relation. J. Geophys. Res. Biogeosci. 2014, 119, 125–140. [Google Scholar] [CrossRef]
- O’Grady, A.P.; Eamus, D.; Hutley, L.B. Transpiration increases during the dry season: Patterns of tree water use in eucalypt open-forests of northern Australia. Tree Physiol. 1999, 19, 591–597. [Google Scholar] [CrossRef] [PubMed]
- Kume, T.; Komatsu, H.; Kuraji, K.; Suzuki, M. Less than 20-min time lags between transpiration and stem sap flow in emergent trees in a Bornean tropical rainforest. Agric. For. Meteorol. 2008, 148, 1181–1189. [Google Scholar] [CrossRef]
- Tsuruta, K.; Kume, T.; Komatsu, H.; Otsuki, K. Effects of soil water decline on diurnal and seasonal variations in sap flux density for differently aged Japanese cypress (Chamaecyparis obtusa) trees. Ann. For. Res. 2018, 61, 5–18. [Google Scholar] [CrossRef]
- Wan, L.; Zhang, Q.; Cheng, L.; Liu, Y.; Qin, S.; Xu, J.; Wang, Y. What determines the time lags of sap flux with solar radiation and vapor pressure deficit? Agric. For. Meteorol. 2023, 333, 109414. [Google Scholar] [CrossRef]
- O’Brien, J.J.; Oberbauer, S.F.; Clark, D.B. Whole tree xylem sap flow responses to multiple environmental variables in a wet tropical forest. Plant Cell Environ. 2004, 27, 551–567. [Google Scholar] [CrossRef]
- Matheny, A.M.; Bohrer, G.; Vogel, C.S.; Morin, T.H.; He, L.L.; Frasson, R.P.D.; Mirfenderesgi, G.; Schäfer, K.V.R.; Gough, C.M.; Ivanov, V.Y.; et al. Species-specific transpiration responses to intermediate disturbance in a northern hardwood forest. J. Geophys. Res. Biogeosci. 2014, 119, 2292–2311. [Google Scholar] [CrossRef]










| Sample Point | Tree Name | Tree Number | H 1 m | DBH 2 cm | Anatomical Structure of Xylem | As cm2 | Soil Profile 3 |
|---|---|---|---|---|---|---|---|
| A | Juglans regia (H) 4 | A−H1, A−H2 | 10.5 | 18.3 | Semi-ring porous to diffuse-porous | 250.9 | 5 layers (0–100 cm) |
| B | Populus hopeiensis (YS) | B−YS1, B−YS2 | 20.5 | 29.7 | Diffuse-porous | 253.1 | / |
| C | Robinia pseudoacacia (CH) | C−CH1, C−CH2 | 10 | 21.4 | Ring-porous | 133 | 3 layers (0–60 cm) |
| D | Ziziphus jujuba Mill. var. spinosa (Bunge) Hu ex H. F. Chow. (SZ) | D−SZ1, D−SZ2 | 9.8 | 13.8 | Diffuse-porous | 127.2 | 2 layers (0–40 cm) |
| Vitex negundo L. var. heterophylla (Franch.) Rehd. (J) | D−J1, D−J2 | 2.7 | 6.2 | Ring-porous | 16.1 | ||
| E | Koelreuteria paniculata Laxm. (L) | E−L1, E−L2 | 3.5 | 6.5 | Ring-porous | 22.5 | / |
| Pinus tabuliformis Carr. (Y) | E−Y1, E−Y2 | 1.3 | 6.2 | Ring-porous | 18.1 | ||
| Total | 10 |
| YS | J | Y | L | |||||
|---|---|---|---|---|---|---|---|---|
| Hourly Scale | Daily Scale | Hourly Scale | Daily Scale | Hourly Scale | Daily Scale | Hourly Scale | Daily Scale | |
| TSI | 0.805 | 0.669 | 0.686 | 0.436 | 0.408 | 0.067 | 0.735 | 0.723 |
| Ta | 0.004 | - 1 | 0.023 | 0.033 | 0.012 | 0.23 | 0.001 | - |
| VPD | 0.001 | - | 0.008 | - | 0.05 | - | 0.002 | - |
| RH | 0.017 | - | 0.001 | 0.126 | 0.032 | - | 0.015 | - |
| WS | 0.002 | 0.017 | 0.000 | - | 0.011 | - | - | - |
| P | - | - | - | - | 0.001 | - | - | - |
| H | CH | SZ | ||||
|---|---|---|---|---|---|---|
| Hourly Scale | Daily Scale | Hourly Scale | Daily Scale | Hourly Scale | Daily Scale | |
| TSI | 0.812 | 0.722 | 0.604 | 0.218 | 0.686 | 0.422 |
| Ta | 0.027 | 0.081 | 0.015 | 0.059 | 0.023 | 0.059 |
| VPD | 0.002 | - 1 | 0.009 | 0.001 | 0.013 | 0.100 |
| RH | 0.000 | 0.034 | 0.002 | 0.014 | 0.001 | - |
| WS | 0.001 | - | 0.020 | - | 0.001 | - |
| P | 0.001 | - | - | - | 0.001 | - |
| W20 | 0.002 | 0.005 | - | - | 0.009 | 0.010 |
| W40 | - | - | 0.005 | - | - | 0.082 |
| W60 | - | - | - | - | - | - |
| W80 | 0.001 | - | - | - | - | - |
| W100 | 0.001 | - | - | - | - | - |
| EC20 | - | - | - | - | - | 0.056 |
| EC40 | - | - | - | - | - | - |
| EC60 | - | - | 0.018 | 0.090 | - | - |
| EC80 | - | 0.007 | - | - | - | - |
| EC100 | - | - | - | - | - | - |
| T20 | 0.001 | - | 0.001 | - | 0.006 | 0.009 |
| T40 | 0.001 | - | 0.016 | 0.084 | 0.002 | 0.082 |
| T60 | - | - | 0.036 | 0.187 | - | - |
| T80 | - | - | - | - | - | - |
| T100 | - | - | - | - | - | - |
Disclaimer/Publisher’s Note: The statements, opinions and data contained in all publications are solely those of the individual author(s) and contributor(s) and not of MDPI and/or the editor(s). MDPI and/or the editor(s) disclaim responsibility for any injury to people or property resulting from any ideas, methods, instructions or products referred to in the content. |
© 2024 by the authors. Licensee MDPI, Basel, Switzerland. This article is an open access article distributed under the terms and conditions of the Creative Commons Attribution (CC BY) license (https://creativecommons.org/licenses/by/4.0/).
Share and Cite
Han, S.; Wang, Q.; Zhao, Y.; Zhai, J.; Wang, X.; Hao, Y.; Li, L.; Li, X.; Li, H.; Cao, J. Response of Typical Tree Species Sap Flow to Environmental Factors in the Hilly Areas of Haihe River Basin, China. Forests 2024, 15, 294. https://doi.org/10.3390/f15020294
Han S, Wang Q, Zhao Y, Zhai J, Wang X, Hao Y, Li L, Li X, Li H, Cao J. Response of Typical Tree Species Sap Flow to Environmental Factors in the Hilly Areas of Haihe River Basin, China. Forests. 2024; 15(2):294. https://doi.org/10.3390/f15020294
Chicago/Turabian StyleHan, Shuying, Qingming Wang, Yong Zhao, Jiaqi Zhai, Xiang Wang, Yan Hao, Linghui Li, Xing Li, Haihong Li, and Jiansheng Cao. 2024. "Response of Typical Tree Species Sap Flow to Environmental Factors in the Hilly Areas of Haihe River Basin, China" Forests 15, no. 2: 294. https://doi.org/10.3390/f15020294
APA StyleHan, S., Wang, Q., Zhao, Y., Zhai, J., Wang, X., Hao, Y., Li, L., Li, X., Li, H., & Cao, J. (2024). Response of Typical Tree Species Sap Flow to Environmental Factors in the Hilly Areas of Haihe River Basin, China. Forests, 15(2), 294. https://doi.org/10.3390/f15020294

