Aspen and Spruce Densities Affect Tree Size, Future Stand Volume, and Aboveground Carbon Following Precommercial Thinning
Abstract
1. Introduction
2. Materials and Methods
2.1. Statistical Analysis
2.2. Growth Projections Using MGM21
3. Results
3.1. Height and Diameter Trends for Aspen and Spruce
3.2. Effects of Thinning on Aspen Growth
3.3. Effects of Thinning on Spruce Growth
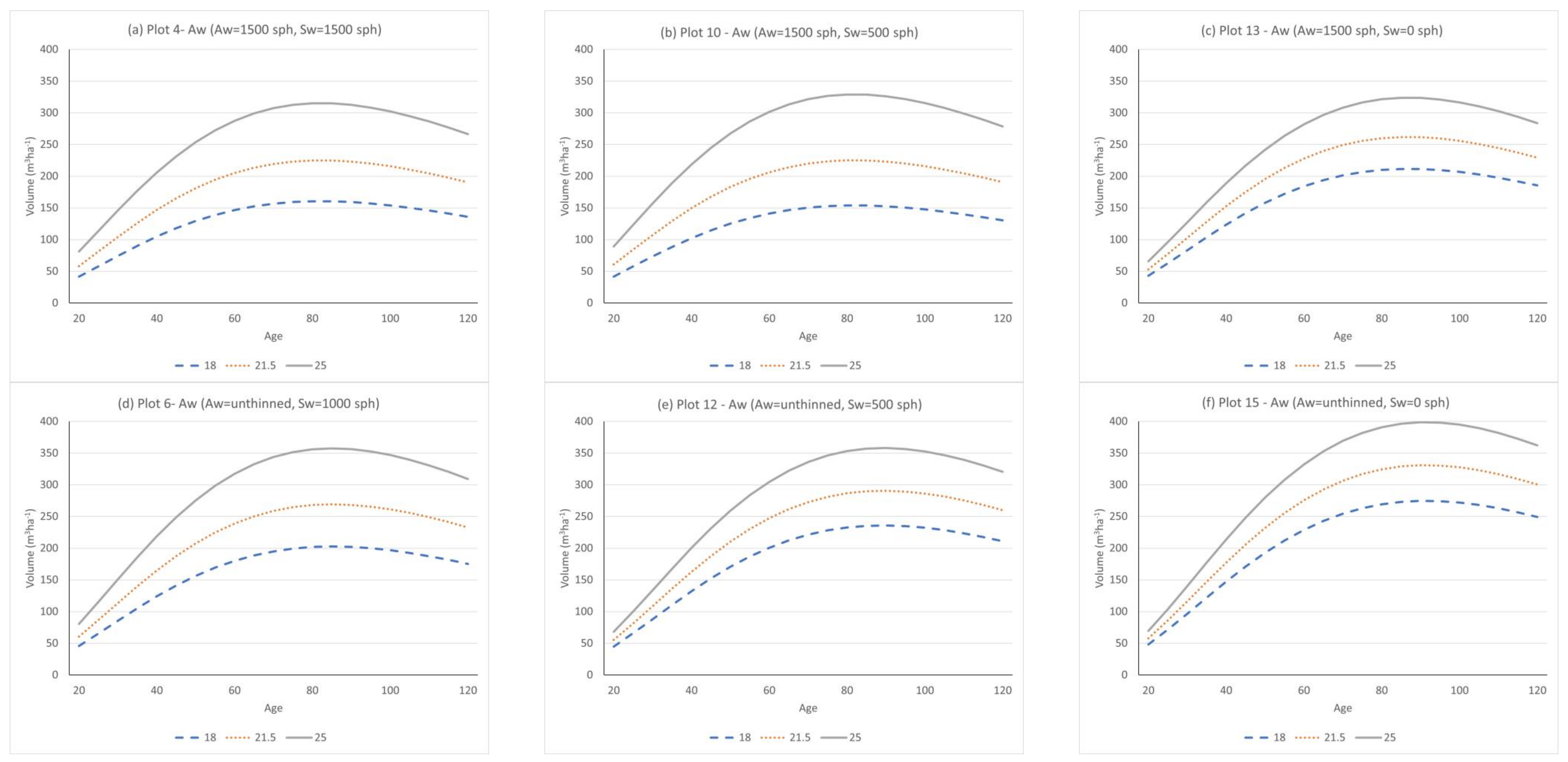
3.4. Mixedwood Growth Model (MGM) Projections
4. Discussion
4.1. Trembling Aspen Responses
4.2. White Spruce Responses
4.3. Effects of Aspen and Spruce Densities on Growth and Yield
4.4. Effects of Aspen and Spruce Densities on Stemwood Biomass and Carbon
4.5. Practical Implications to Forest Management
4.6. Study Limitations and Research Needs
5. Conclusions
Author Contributions
Funding
Data Availability Statement
Acknowledgments
Conflicts of Interest
References
- Chen, H.Y.H.; Popadiouk, R.V. Dynamics of North American boreal mixedwoods. Environ. Rev. 2002, 10, 137–166. [Google Scholar] [CrossRef]
- Bergeron, Y.; Chen, H.Y.H.; Kenkel, N.C.; Leduc, A.; Macdonald, S.E. Boreal mixedwood stand dynamics: Ecological processes underlying multiple pathways. For. Chron. 2014, 90, 202–213. [Google Scholar] [CrossRef]
- Chavez, V.; Macdonald, S.E. Partitioning vascular understory diversity in mixedwood boreal forests: The importance of mixed canopies for diversity conservation. For. Ecol. Manag. 2012, 271, 19–26. [Google Scholar] [CrossRef]
- Peterson, E.B.; Peterson, N.M. Aspen Managers’ Handbook for British Columbia; Rep. No. 230; BC Ministry of Forests FRDA: Victoria, BC, Canada, 1995. Available online: https://www.for.gov.bc.ca/hfd/pubs/Docs/Frr/FRR230.pdf (accessed on 22 September 2023).
- Macdonald, S.E.; Lecomte, N.; Bergeron, Y.; Brais, S.; Chen, H.; Comeau, P.; Drapeau, P.; Lieffers, V.; Quideau, S.; Spence, J.; et al. Ecological implications of changing the composition of boreal mixedwood forests. In A State of Knowledge Report; Sustainable Forest Management Network: Edmonton, AB, Canada, 2010; 48p, Available online: https://sfmn.ualberta.ca/sfmn/wp-content/uploads/sites/83/2018/09/Ecological-Implications-of-Changing-the-Composition.pdf?ver=2016-02-23-145412-847 (accessed on 22 September 2023).
- Cavard, X.; Macdonald, S.E.; Bergeron, Y.; Chen, H.Y.H. Importance of mixedwoods for biodiversity conservation: Evidence for understory plants, songbirds, soil fauna, and ectomycorrhizae in northern forests. Environ. Rev. 2011, 19, 142–161. [Google Scholar] [CrossRef]
- Pastor, J. Nutrient cycling in aspen ecosystems. In Aspen Symposium ’89: Proceedings; General Technical Report NC-140; U.S. Department of Agriculture Forest Service: St. Paul, MN, USA, 1990; pp. 21–38. Available online: https://www.nrs.fs.usda.gov/pubs/gtr/gtr_nc140.pdf (accessed on 7 December 2023).
- Man, R.; Lieffers, V.J. Are mixtures of aspen and white spruce more productive than single species stands? For. Chron. 1999, 75, 505–513. [Google Scholar] [CrossRef]
- Kabzems, R.; Bokalo, M.; Comeau, P.G.; MacIsaac, D.A. Managed mixtures of aspen and white spruce 21 to 25 years after establishment. Forests 2016, 7, 5. [Google Scholar] [CrossRef]
- Kweon, D.; Comeau, P.G. Factors influencing overyielding in young boreal mixedwood stands in western Canada. For. Ecol. Manag. 2019, 432, 546–557. [Google Scholar] [CrossRef]
- Comeau, P.G. Effects of thinning on dynamics and drought resistance of aspen-white spruce mixtures: Results from two study sites in Saskatchewan. Front. For. Glob. Chang. 2021, 3, 621752. [Google Scholar] [CrossRef]
- Stiell, W.M.; Berry, A.B. Limiting white pine weevil attacks by side shade. For. Chron. 1985, 61, 5–9. [Google Scholar] [CrossRef]
- Taylor, S.P.; Alfaro, R.I.; DeLong, C.; Rankin, L. The effects of overstory shading on white pine weevil damage to white spruce and its effect on spruce growth rates. Can. J. For. Res. 1996, 26, 306–312. [Google Scholar] [CrossRef]
- Morrison, D.; Merler, H.; Norris, D. Detection, Recognition and Management of Armillaria and Phellinus Root Diseases in the Southern Interior of British Columbia; Rep. No. 179; BC Ministry of Forests FRDA: Victoria, BC, Canada, 1991.
- Gerlach, J.P.; Reich, P.B.; Puettmann, K.; Baker, T. Species, diversity, and density affect tree seedling mortality from Armillaria root rot. Can. J. For. Res. 1997, 27, 1509–1512. [Google Scholar] [CrossRef]
- Forrester, D.I. Transpiration and water-use efficiency in mixed-species forests versus monocultures: Effects of tree size, stand density and season. Tree Physiol. 2015, 35, 289–304. [Google Scholar] [CrossRef] [PubMed]
- Ammer, C. Unraveling the importance of inter- and intraspecific competition for the adaptation of forests to climate change. In Progress in Botany; Canovas, F.M., Lüttge, U., Matyssek, R., Eds.; Springer: Berlin/Heidelberg, Germany, 2017; Volume 78, pp. 345–367. [Google Scholar] [CrossRef]
- Bell, D.M.; Bradford, J.B.; Lauenroth, W.K. Forest stand structure, productivity, and age mediate climatic effects on aspen decline. Ecology 2014, 95, 2040–2046. [Google Scholar] [CrossRef] [PubMed]
- Filipescu, C.N.; Comeau, P.G. Influence of Populus tremuloides density on air and soil temperature. Scand. J. For. Res. 2011, 26, 421–428. [Google Scholar] [CrossRef]
- Lieffers, V.J.; Stadt, K.J. Growth of understory Picea glauca, Calamagrostis canadensis and Epilobium angustifolium in relation to overstory light. Can. J. For. Res. 1994, 24, 1193–1198. [Google Scholar] [CrossRef]
- Middleton, G.R.; Munro, B.D. Wood Density of Alberta White Spruce—Implications for Silvicultural Practices; Forintek Canada Corp.: Vancouver, BC, Canada, 2002; 21p. Available online: https://library.fpinnovations.ca/en/permalink/fpipub5573 (accessed on 7 December 2023).
- Comeau, P.G. Effects of aspen and spruce density on size and number of lower branches 20 years after thinning of two boreal mixedwood stands. Forests 2021, 12, 211. [Google Scholar] [CrossRef]
- Bickerstaff, A. The Effect of Thinning upon the Growth and Yield of Aspen Stands; Silviculture Research Note. No. 80; Dominion Forest Service: Ottawa, ON, Canada, 1946. [Google Scholar]
- Steneker, G.A. Guide to the Silvicultural Management of Trembling Aspen in the Prairie Provinces; Information Report NOR X 164; Government of Canada, Canadian Forestry Service, Northern Forestry Centre: Edmonton, AB, USA, 1976; Available online: https://cfs.nrcan.gc.ca/publications/download-pdf/12097 (accessed on 7 December 2023).
- Perala, D.A. Thinning Strategies for Aspen: A Predictive Model; Paper NC-RP-161; USDA Forest Service Research: Asheville, NC, USA, 1978.
- Bokalo, M.; Comeau, P.G.; Titus, S.J. Early development of tended mixtures of aspen and spruce in western Canadian boreal forests. For. Ecol. Manag. 2007, 242, 175–184. [Google Scholar] [CrossRef]
- Bjelanovic, I.; Comeau, P.; Meredith, S.; Roth, B. Precommercial thinning increases spruce yields in boreal mixedwoods in Alberta. Forests 2021, 12, 412. [Google Scholar] [CrossRef]
- Huang, S.; Meng, S.X.; Yang, Y.A. Growth and Yield Projection System (GYPSY) for Natural and Post-Harvest Stands in Alberta; T/216; Government of Alberta: Edmonton, AB, Canada, 2009; pp. 1–22. Available online: https://www.alberta.ca/growth-and-yield-projection-system.aspx (accessed on 20 September 2023).
- Lambert, M.C.; Ung, C.H.; Raulier, F. Canadian national tree aboveground biomass equations. Can. J. For. Res. 2005, 35, 1996–2018. [Google Scholar] [CrossRef]
- Penner, M.; Robinson, C.; Woods, M. The response of good and poor aspen clones to thinning. For. Chron. 2001, 77, 874–884. [Google Scholar] [CrossRef]
- Bella, I.E.; Yang, R.C. Should we thin young aspen stands? In Aspen Management for the 21st Century. Proceedings of a Symposium; Navratil, S., Chapman, P.B., Eds.; 1991; pp. 135–139. Available online: https://cfs.nrcan.gc.ca/publications/download-pdf/19159 (accessed on 7 December 2023).
- Rice, J.A.; MacDonald, G.B.; Weingartner, D.H. Precommercial thinning of trembling aspen in northern Ontario: Part 1—Growth responses. For. Chron. 2001, 77, 893–901. [Google Scholar] [CrossRef]
- Prévost, M.; Gauthier, M.M. Precommercial thinning increases growth of overstory aspen and understory balsam fir in a boreal mixedwood stand. For. Ecol. Manag. 2012, 278, 17–26. [Google Scholar] [CrossRef]
- Diaconu, D.; Kahle, H.P.; Spiecker, H. Tree- and stand-level thinning effects on growth of European beech (Fagus sylvatica L.) on a northeast- and a southwest-facing slope in southwest Germany. Forests 2015, 6, 3256–3277. [Google Scholar] [CrossRef]
- Comeau, P.G.; Hoepting, M.K.; Mihajlovich, M. Using spot treatments to regenerate an intimate mixture of trembling aspen and white spruce in Alberta: Results at age 15. For. Chron. 2023, 99, 80–91. [Google Scholar] [CrossRef]
- Opio, C.; Jacob, N.; Coopersmith, D. Height to diameter ratio as a competition index for young conifer plantations in northern British Columbia. For. Ecol. Manag. 2000, 137, 245–252. [Google Scholar] [CrossRef]
- Wang, J.; Wang, Y.; Tian, D.; Wang, W.; Jiang, L. Modeling response of tree slenderness to climate, soil, diversity and competition in natural secondary forests. For. Ecol. Manag. 2023, 545, 121253. [Google Scholar] [CrossRef]
- Zhang, X.; Wang, H.; Chhin, S.; Zhang, J. Effects of competition, age and climate on tree slenderness of Chinese fir plantations in southern China. For. Ecol. Manag. 2020, 458, 117815. [Google Scholar] [CrossRef]
- Groot, A.; Schneider, R. Predicting maximum branch diameter from crown dimensions, stand characteristics and tree species. For. Chron. 2011, 87, 542–551. [Google Scholar] [CrossRef]
- Forrester, D.I.; Ammer, C.; Annighöfer, P.J.; Barbeito, I.; Bielak, K.; Bravo-Oviedo, A.; Coll, L.; del Río, M.; Drössler, L.; Heym, M.; et al. Effects of crown architecture and stand structure on light absorption in mixed and monospecific Fagus sylvatica and Pinus sylvestris forests along a productivity and climate gradient through Europe. J. Ecol. 2018, 106, 746–760. [Google Scholar] [CrossRef]
- Warner, E.; Cook-Patton, S.C.; Lewis, O.T.; Brown, N.; Koricheva, J.; Eisenhauer, N.; Ferlian, O.; Gravel, D.; Hall, J.S.; Jactel, H.; et al. Young mixed planted forests store more carbon than monocultures—A meta-analysis. Front. For. Glob. Chang. 2023, 6, 1226514. [Google Scholar] [CrossRef]
- Laganière, J.; Cavard, X.; Brassard, B.W.; Paré, D.; Bergeron, Y.; Chen, H.Y.H. The influence of boreal tree species mixtures on ecosystem carbon storage and fluxes. For. Ecol. Manag. 2015, 354, 119–129. [Google Scholar] [CrossRef]
- Zhao, J.; Wei, X.; Li, L. The potential for storing carbon by harvested wood products. Front. For. Glob. Chang. 2022, 5, 1055410. [Google Scholar] [CrossRef]
- Lamlon, S.H.; Savidge, R.A. A reassessment of carbon content in wood: Variation within and between 41 North American species. Biomass Bioenergy 2003, 25, 381–388. [Google Scholar] [CrossRef]
- Armstrong, G.W. Considerations for boreal mixedwood silviculture: A view from the dismal science. For. Chron. 2014, 90, 44–49. [Google Scholar] [CrossRef]
- Comeau, P.; Johnson, K.; Bokalo, M. Validation of the Mixedwood Growth Model (MGM) against tha Alberta Provincial Growth and Yield Initiative (PGYI) Dataset. Available online: https://ales-ssl.ales.ualberta.ca/mgm/MGM21_Validation_against_the_PGYI20_Dataset_April_27_2021.pdf (accessed on 17 December 2023).
- Comeau, P.G.; Johnson, K.M.; Oboite, F.O.; Bokalo, M. Modelling influences of climate change on the dynamics of western boreal forests in Canada using the Mixedwood Growth Model (MGM). 2023; unpublished work. [Google Scholar]








| Agency | Installation | Est. Yr | Lat. | Long. | Elev. | MAT (°C) | MAP (mm) | CMI (mm) | Last Meas. | Age at Last Meas. | SI-Sw | SI-Aw |
|---|---|---|---|---|---|---|---|---|---|---|---|---|
| Government of Alberta | Median | 1992 | 55.317 | −114.070 | 622 | 1.7 | 477 | 4.38 | 2017 | 25 | 20.6 | 24.3 |
| Alberta Pacific Forest Industries | Median | 2001 | 55.216 | −111.913 | 648 | 1.4 | 478 | 3.89 | 2020 | 19 | 19.4 | 22.6 |
| Alberta Pacific Forest Industries | Superior | 1993 | 55.041 | −111.948 | 596 | 1.6 | 453 | 1.09 | 2019 | 26 | 18.8 | 24.2 |
| Canadian Forest Products | Median | 2001 | 54.760 | −117.400 | 755 | 2.5 | 530 | 7.47 | 2021 | 20 | 19.1 | 19.4 |
| Canadian Forest Products | Superior | 2001 | 54.754 | −117.369 | 800 | 2.5 | 533 | 7.83 | 2020 | 20 | 22.6 | 22.0 |
| Louisiana Pacific Canada—Dawson Creek | Median | 2000 | 53.758 | −120.051 | 900 | 2.2 | 481 | 6.08 | 2020 | 20 | 12.9 | 23.4 |
| Louisiana Pacific Canada—Dawson Creek | Superior-Rep1 | 2000 | 55.392 | −121.687 | 671 | 3.1 | 499 | 4.57 | 2020 | 20 | 11.4 | 18.2 |
| Louisiana Pacific Canada—Dawson Creek | Superior-Rep2 | 2003 | 55.222 | −121.663 | 730 | 3.0 | 511 | 7.88 | 2020 | 17 | 18.5 | 19.1 |
| Louisiana Pacific Canada—Swan River | Median | 1998 | 56.485 | −101.251 | 640 | 1.0 | 519 | 7.47 | 2021 | 23 | 23.1 | 17.4 |
| Louisiana Pacific Canada—Swan River | Superior | 1998 | 51.702 | −101.550 | 619 | 1.0 | 511 | 5.61 | 2021 | 23 | 25.9 | 20.9 |
| Mercer Peace River Pulp | Median | 1992 | 56.385 | −118.589 | 788 | 1.0 | 436 | 3.28 | 2019 | 27 | 22.1 | 20.9 |
| Mercer Peace River Pulp | Superior | 1992 | 56.414 | −117.729 | 728 | 1.1 | 423 | −0.22 | 2019 | 27 | 22.1 | 21.9 |
| NWT | Median | 1993 | 61.342 | −120.749 | 240 | −2.2 | 388 | −2.34 | 2015 | 22 | 15.5 | 20.3 |
| NWT | Superior | 1993 | 61.239 | −120.469 | 270 | −2.3 | 369 | −3.08 | 2015 | 22 | 17.9 | 23.6 |
| Saskatchewan Environment-Prince Albert | Median | 1990 | 53.759 | −105.551 | 548 | 0.7 | 483 | 4.60 | 2021 | 31 | 21.9 | 22.0 |
| Saskatchewan Environment-Prince Albert | Superior | 1990 | 53.678 | −105.937 | 535 | 1.0 | 476 | 2.68 | 2021 | 31 | 20.9 | 23.2 |
| Saskatchewan Environment-Big River | Median | 1992 | 54.092 | −107.066 | 515 | 1.1 | 433 | −1.19 | 2018 | 26 | 21.4 | 25.0 |
| Saskatchewan Environment-Big River | Superior | 1992 | 54.052 | −106.979 | 505 | 1.2 | 436 | −1.04 | 2018 | 26 | 19.6 | 25.1 |
| WestFraser | Median | 1992 | 53.760 | −116.678 | 1050 | 2.9 | 544 | 10.76 | 2019 | 27 | 19.5 | 20.3 |
| WestFraser | Superior-Rep1 | 1992 | 53.804 | −116.644 | 1100 | 2.9 | 555 | 13.33 | 2019 | 27 | 21.2 | 19.8 |
| WestFraser | Superior-Rep2 | 1994 | 53.796 | −116.610 | 1085 | 2.9 | 551 | 12.28 | 2019 | 25 | 19.0 | 18.5 |
| Weyerhaeuser Canada—Grand Prairie | Median | 1991 | 54.886 | −118.898 | 703 | 2.4 | 476 | 1.01 | 2018 | 27 | 15.7 | 19.6 |
| Weyerhaeuser Canada—Grand Prairie | Superior | 1991 | 54.913 | −118.919 | 711 | 2.35 | 466 | −0.74 | 2018 | 27 | 16.0 | 20.1 |
| Aspen Density (stems·ha−1) | |||||||
|---|---|---|---|---|---|---|---|
| 0 | 200 | 500 | 1500 | 4000 | Natural | ||
| Spruce Density (stems·ha−1) | 1000 | 1 | 2 | 3 | 4 | 5 | 6 |
| 500 | 7 | 8 | 9 | 10 | 11 | 12 | |
| 0 | x | x | x | 13 | 14 | 15 | |
| Species: | Aspen (Top 200 Trees ha−1) | Spruce | ||||||||||
|---|---|---|---|---|---|---|---|---|---|---|---|---|
| Variable: | Height | DBH | Height | DBH | ||||||||
| Source | Num df | Den df | p-Value | Num df | Den df | p-Value | Num df | Den df | p-Value | Num df | Den df | p-Value |
| Age | 1 | 2770 | <0.0001 | 1 | 2810 | <0.0001 | 1 | 771 | <0.0001 | 1 | 718 | <0.0001 |
| Age2 | 1 | 2701 | 0.0408 | 1 | 2537 | 0.0307 | 1 | 2855 | <0.0001 | 1 | 2521 | <0.0001 |
| Age3 | 1 | 2504 | 0.0869 | 1 | 2540 | 0.0260 | ||||||
| Aspen Treatment Density (Aw) | 4 | 371 | 0.8060 | 4 | 395 | 0.0491 | 5 | 470 | <0.0001 | 5 | 456 | <0.0001 |
| Spruce Planting Density (Sw) | 1 | 370 | 0.3683 | 1 | 396 | 0.1384 | 1 | 470 | 0.7155 | 1 | 456 | 0.0026 |
| Aw × Sw | 4 | 370 | 0.9179 | 4 | 398 | 0.8299 | 5 | 469 | 0.8771 | 5 | 456 | 0.1926 |
| Age × Aw | 4 | 343 | 0.7916 | 4 | 352 | 0.0003 | 5 | 469 | <0.0001 | 5 | 456 | <0.0001 |
| Age × Sw | 1 | 344 | 0.2011 | 1 | 353 | 0.0353 | 1 | 469 | 0.9822 | 1 | 456 | 0.0121 |
| Age × Aw × Sw | 4 | 344 | 0.9046 | 4 | 353 | 0.5848 | 5 | 469 | 0.9072 | 5 | 456 | 0.4198 |
| Source | df | HT | DBH | Slendernes | CW | HTLC | SPH | BA |
|---|---|---|---|---|---|---|---|---|
| p-Value | p-Value | p-Value | p-Value | p-Value | p-Value | p-Value | ||
| Agency (A) | 10 | - | - | - | - | - | - | - |
| Installation (I) | 1 | 0.2073 | 0.3467 | 0.5691 | 0.6068 | 0.1742 | 0.3300 | 0.6683 |
| Aspen Treatment Density (Aw) | 3 | <0.0001 | 0.0109 | <0.0001 | 0.4947 | <0.0001 | <0.0001 | <0.0001 |
| Spruce Planting Density (Sw) | 1 | 0.7137 | 0.2358 | 0.6205 | 0.4446 | 0.9486 | 0.3300 | 0.7211 |
| A × I | 9 | - | - | - | - | - | - | - |
| Replicate (A × I) | 20 | - | - | - | - | - | - | - |
| Aw × Sw | 3 | 0.2765 | 0.1504 | 0.3674 | 0.6113 | 0.4175 | 0.4190 | 0.8348 |
| I × Aw | 3 | 0.3653 | 0.6592 | 0.7982 | 0.9297 | 0.3922 | 0.0851 | 0.8719 |
| I × Sw | 1 | 0.9301 | 0.6139 | 0.5167 | 0.9994 | 0.7343 | 0.0905 | 0.8783 |
| I × Aw × Sw | 3 | 0.2199 | 0.9002 | 0.1516 | 0.6781 | 0.4960 | 0.0353 | 0.9462 |
| Residual Error | 272 | - | - | - | - | - | - | - |
| Total | 326 | - | - | - | - | - | - | - |
| Source | df | HT | DBH | Slendernes | CW | HTLC | SPH | BA |
|---|---|---|---|---|---|---|---|---|
| p-Value | p-Value | p-Value | p-Value | p-Value | p-Value | p-Value | ||
| Agency (A) | 10 | - | - | - | - | - | - | - |
| Installation (I) | 1 | 0.6718 | 0.4282 | 0.3710 | 0.9925 | 0.3438 | 0.5983 | 0.5819 |
| Aspen Treatment Density (Aw) | 4 | <0.0001 | <0.0001 | <0.0001 | <0.0001 | <0.0001 | <0.0001 | <0.0001 |
| Spruce Planting Density (Sw) | 1 | 0.8226 | 0.3320 | 0.5397 | 0.7923 | 0.2371 | 0.3899 | 0.9749 |
| A × I | 9 | - | - | - | - | - | - | - |
| Replicate (A × I) | 19 | - | - | - | - | - | - | - |
| Aw × Sw | 4 | 0.9769 | 0.3390 | 0.4685 | 0.1364 | 0.7584 | 0.5927 | 0.7405 |
| I × Aw | 4 | 0.1650 | 0.2471 | 0.5172 | 0.5511 | 0.3283 | 0.3918 | 0.9368 |
| I × Sw | 1 | 0.8730 | 0.8840 | 0.7671 | 0.8982 | 0.0625 | 0.1383 | 0.8510 |
| I × Aw × Sw | 4 | 0.7850 | 0.9976 | 0.9200 | 0.8057 | 0.9570 | 0.0782 | 0.9932 |
| Residual Error | 340 | - | - | - | - | - | - | - |
| Total | 397 | - | - | - | - | - | - | - |
| Source | df | HT | DBH | Slenderness | CW | HTLC | SPH | BA |
|---|---|---|---|---|---|---|---|---|
| p-Value | p-Value | p-Value | p-Value | p-Value | p-Value | p-Value | ||
| Agency (A) | 6 | - | - | - | - | - | - | - |
| Installation (I) | 1 | 0.2329 | 0.3441 | 0.0720 | 0.2537 | 0.4929 | 0.2103 | 0.6716 |
| Aspen Treatment Density (Aw) | 4 | 0.0010 | <0.0001 | <0.0001 | <0.0001 | <0.0001 | <0.0001 | <0.0001 |
| Spruce Planting Density (Sw) | 1 | 0.1346 | 0.1762 | 0.8035 | 0.1909 | 0.2978 | 0.2533 | 0.2227 |
| A × I | 4 | - | - | - | - | - | - | - |
| Replicate (A × I) | 10 | - | - | - | - | - | - | - |
| Aw × Sw | 4 | 0.5198 | 0.4927 | 0.1084 | 0.8385 | 0.4933 | 0.2627 | 0.5223 |
| I × Aw | 4 | 0.3651 | 0.0021 | 0.0056 | 0.7459 | 0.5860 | 0.0521 | 0.4855 |
| I × Sw | 1 | 0.6091 | 0.5043 | 0.3445 | 0.8205 | 0.2995 | 0.2823 | 0.7067 |
| I × Aw × Sw | 4 | 0.0111 | 0.7156 | 0.3293 | 0.9275 | 0.1254 | 0.4036 | 0.3505 |
| Residual Error | 178 | - | - | - | - | - | - | - |
| Total | 217 | - | - | - | - | - | - | - |
| Treatment | ||||||
|---|---|---|---|---|---|---|
| Variable | Age | 200 | 500 | 1500 | 4000 | Unthinned |
| HT (m) | 10 | 6.18 b (1.600) | 6.79 a (1.752) | 6.88 a (1.759) | 6.95 a (1.705) | 6.04 b (1.706) |
| HT (m) | 20 | 11.09 c (2.261) | 12.08 ab (2.118) | 12.13 a (1.912) | 12.28 a (1.911) | 11.42 bc (1.967) |
| HT (m) | 28 | 14.74 b (1.465) | 15.49 ab (1.957) | 15.73 a (1.870) | 15.82 a (1.870) | 15.26 ab (1.832) |
| DBH (cm) | 10 | 6.87 a (1.908) | 7.38 a (1664) | 7.29 a (1.578) | 7.09 a (1.330) | 5.09 b (1.397) |
| DBH (cm) | 20 | 14.44 ab (3.230) | 15.14 a (2.589) | 13.93 b (1.974) | 12.95 c (1.458) | 10.96 d (2.162) |
| DBH (cm) | 28 | 20.62 a (2.244) | 19.86 a (2.527) | 17.99 b (1.651) | 16.50 c (1.779) | 14.76 d (2.115) |
| Slenderness | 10 | 0.93 c (0.176) | 0.92 c (0.135) | 0.94 bc (0.125) | 0.98 b (0.155) | 1.22 a (0.252) |
| Slenderness | 20 | 0.85 bc (0.556) | 0.80 c (0.109) | 0.88 bc (0.115) | 0.95 b (0.128) | 1.07 a (0.196) |
| Slenderness | 28 | 0.72 e (0.074) | 0.79 d (0.079) | 0.88 c(0.104) | 0.97 b (0.105) | 1.05 a (0.152) |
| CW (m) | 10 | 1.20 a (0.357) | 1.24 a (0.299) | 1.23 a (0.330) | 1.18 a (0.268) | 0.86 b (0.338) |
| CW (m) | 20 | 1.97 ab (0.541) | 2.06 a (0.619) | 1.81 bc (0.418) | 1.68 c (0.376) | 1.41 d (0.475) |
| CW (m) | 28 | 2.68 a (0.636) | 2.48 a (0.438) | 2.14 b (0.420) | 1.83 c (0.348) | 1.61 d (0.516) |
| HTLC (m) | 10 | 1.58 c (0.615) | 1.68 bc (0.587) | 1.70 bc (0.717) | 1.87 ab (0.785) | 2.02 a (0.835) |
| HTLC (m) | 20 | 2.96 e (0.986) | 3.45 d (1.393) | 3.97 c (1.435) | 4.71 b (1.412) | 5.27 a (1.546) |
| HTLC (m) | 28 | 4.97 d (1.070) | 5.75 c (1.503) | 6.91 b (1.599) | 7.41 ab (1.659) | 7.86 a (1.553) |
| SPH (stems·ha−1) | 10 | 182 c (41.5) | 492 c (91.5) | 1364 c (216.1) | 3599 b (453.5) | 17,775 a (7605.4) |
| SPH (stems·ha−1) | 20 | 160 c (41.4) | 467 c (92.1) | 1354 c (217.9) | 3590 b (458.5) | 17,466 a (7736.9) |
| SPH (stems·ha−1) | 28 | 150 c (54.0) | 464 c (122.8) | 1356 c (223.5) | 3507 b (571.6) | 16,490 a (5898.8) |
| BA (m2·ha−1) | 10 | 1.25 e (0.670) | 2.70 d (1.156) | 5.21 c (2.422) | 8.72 b (3.214) | 12.01 a (5.654) |
| BA (m2·ha−1) | 20 | 1.26 e (0.656) | 2.70 d (1.150) | 5.23 c (2.444) | 8.86 b (3.113) | 11.94 a (5.705) |
| BA (m2·ha−1) | 28 | 1.62 e (0.596) | 3.16 d (1.205) | 6.18 c (2.223) | 10.10 b (3.008) | 12.94 a (3.621) |
| Source | df | HT | RCD | HDR | CW | HTLC |
|---|---|---|---|---|---|---|
| p-Value | p-Value | p-Value | p-Value | p-Value | ||
| Agency (A) | 10 | - | - | - | - | - |
| Installation (I) | 1 | 0.2180 | 0.1263 | 0.2348 | 0.1662 | 0.7794 |
| Aspen Treatment Density (Aw) | 5 | 0.0064 | <0.0001 | <0.0001 | 0.0832 | 0.0852 |
| Spruce Planting Density (Sw) | 1 | 0.2822 | 0.7305 | 0.2739 | 0.0962 | 0.9316 |
| A × I | 9 | - | - | - | - | - |
| Replicate (A × I) | 20 | - | - | - | - | - |
| Aw × Sw | 5 | 0.7804 | 0.7928 | 0.8974 | 0.5788 | 0.8032 |
| I × Aw | 5 | 0.0049 | 0.0059 | 0.1714 | 0.0022 | 0.6081 |
| I × Sw | 1 | 0.3241 | 0.3296 | 0.3034 | 0.3630 | 0.4518 |
| I × Aw × Sw | 5 | 0.3074 | 0.0554 | 0.3393 | 0.4178 | 0.7897 |
| Residual Error | 429 | - | - | - | - | - |
| Total | 491 | - | - | - | - | - |
| Source | df | HT | DBH | Slenderness | CW | HTLC |
|---|---|---|---|---|---|---|
| p-Value | p-Value | p-Value | p-Value | p-Value | ||
| Agency (A) | 10 | - | - | - | - | - |
| Installation (I) | 1 | 0.7536 | 0.4082 | 0.6940 | 0.9849 | 0.3533 |
| Aspen Treatment Density (Aw) | 5 | <0.0001 | <0.0001 | <0.0001 | <0.0001 | <0.0001 |
| Spruce Planting Density (Sw) | 1 | 0.5258 | 0.0019 | 0.9190 | 0.0001 | 0.1422 |
| A × I | 9 | - | - | - | - | - |
| Replicate (A × I) | 19 | - | - | - | - | - |
| Aw × Sw | 5 | 0.5492 | 0.2767 | 0.0448 | 0.1009 | 0.0932 |
| I × Aw | 5 | 0.0396 | 0.5296 | 0.0196 | 0.0475 | 0.8642 |
| I × Sw | 1 | 0.2304 | 0.4760 | 0.1300 | 0.7081 | 0.0775 |
| I × Aw × Sw | 5 | 0.7703 | 0.5308 | 0.4156 | 0.9048 | 0.4306 |
| Residual Error | 418 | - | - | - | - | - |
| Total | 479 | - | - | - | - | - |
| Source | df | HT | DBH | Slenderness | CW | HTLC |
|---|---|---|---|---|---|---|
| p-Value | p-Value | p-Value | p-Value | p-Value | ||
| Agency (A) | 6 | - | - | - | - | - |
| Installation (I) | 1 | 0.0839 | 0.8733 | 0.6394 | 0.9675 | 0.5502 |
| Aspen Treatment Density (Aw) | 5 | <0.0001 | <0.0001 | <0.0001 | <0.0001 | 0.2009 |
| Spruce Planting Density (Sw) | 1 | 0.6546 | 0.0057 | 0.9711 | 0.0056 | <0.0001 |
| A × I | 4 | - | - | - | - | - |
| Replicate (A × I) | 10 | - | - | - | - | - |
| Aw × Sw | 5 | 0.1834 | 0.0415 | 0.6557 | 0.0300 | 0.0117 |
| I × Aw | 5 | 0.1018 | 0.3381 | 0.4640 | 0.0326 | 0.1337 |
| I × Sw | 1 | 0.5789 | 0.7092 | 0.2405 | 0.9036 | 0.9675 |
| I × Aw × Sw | 5 | 0.8171 | 0.9803 | 0.9884 | 0.9382 | 0.1071 |
| Residual Error | 220 | - | - | - | - | - |
| Total | 263 | - | - | - | - | - |
| Sw Density = 500 | Sw Density = 1000 | Sw Density = Both | |||||||||||||||||
|---|---|---|---|---|---|---|---|---|---|---|---|---|---|---|---|---|---|---|---|
| Aspen Density (stems·ha−1) | Aspen Density (stems·ha−1) | Aspen Density (stems·ha−1) | |||||||||||||||||
| Var | Age | 0 | 200 | 500 | 1500 | 4000 | U | 0 | 200 | 500 | 1500 | 4000 | U | 0 | 200 | 500 | 1500 | 4000 | U |
| HT (m) | 10 | 1.49 ab (0.617) | 1.44 ab (0.550) | 1.49 ab (0.599) | 1.50 ab (0.635) | 1.53 a (0.529) | 1.34 b (0.553) | 1.41 ab (0.564) | 1.46 ab (0.575) | 1.45 ab (0.550) | 1.46 ab (0.532) | 1.48 a (0.531) | 1.37 b (0.549) | 1.45 ab (0.589) | 1.45 ab (0.559) | 1.47 ab (0.572) | 1.49 a (0.582) | 1.51 a (0.527) | 1.36 b (0.548) |
| HT (m) | 20 | 5.28 a (1.751) | 5.18 a (1.569) | 5.11 a (1.470) | 4.93 ab (1.776) | 4.57 b (1.623) | 3.54 c (1.469) | 4.97 ab (1.670) | 5.23 a (1.668) | 5.07 a (1.657) | 4.85 ab (1.593) | 4.51 ab (1.544) | 3.68 c (1.404) | 5.06 a (1.707) | 5.14 a (1.609) | 5.03 a (1.557) | 4.83 ab (1.677) | 4.48 b (1.575) | 3.54 c (1.430) |
| HT (m) | 28 | 8.41 a (2.083) | 7.91 ab (1.792) | 7.94 ab (1.728) | 7.22 bc (1.581) | 6.52 c (1.741) | 4.61 d (1.731) | 7.94 ab (1.687) | 8.27 a (1.491) | 7.83 ab (1.601) | 7.38 b (1.300) | 6.46 c (1.498) | 5.03 d (1.559) | 8.13 a (1.888) | 8.05 a (1.639) | 7.84 a (1.647) | 7.26 b (1.432) | 6.45 c (1.605) | 4.78 d (1.642) |
| RCD (cm) | 10 | 3.08 a (1.259) | 2.92 ab (1.114) | 2.78 abc (1.137) | 2.69 bc (1.153) | 2.45 c (0.902) | 2.04 d (0.827) | 2.93 a (1.146) | 2.92 a (1.078) | 2.81 a (1.092) | 2.73 a (1.023) | 2.46 b (0.987) | 1.99 c (0.771) | 3.04 a (1.199) | 2.95 ab (1.089) | 2.83 ab (1.108) | 2.74 b (1.083) | 2.48 c (0.940) | 2.05 d (0.795) |
| DBH (cm) | 20 | 8.72 a (3.540) | 8.07 ab (3.197) | 7.48 bc (2.978) | 6.75 c (3.000) | 5.60 d (2.572) | 3.83 e (1.662) | 7.76 a (3.070) | 7.76 ab (3.013) | 7.20 b (2.859) | 6.29 c (2.568) | 5.39 d (2.227) | 3.94 e (1.498) | 8.23 a (3.331) | 7.91 ab (3.093) | 7.34 b (2.905) | 6.51 c (2.788) | 5.49 d (2.301) | 3.88 e (1.572) |
| DBH (cm) | 28 | 15.68 a (3.854) | 13.53 ab (3.851) | 12.64 b (3.709) | 10.27 c (3.889) | 8.14 d (3.501) | 5.35 e (1.790) | 13.96 a (2.477) | 13.23 b (2.821) | 11.49 c (2.704) | 10.01 d (2.544) | 7.97 e (2.364) | 6.00 f (1.695) | 14.82 a (3.334) | 13.38 b (3.343) | 12.06 c (3.273) | 10.14 d (2.968) | 8.05 e (2.956) | 5.67 f (1.743) |
| HDR | 10 | 0.46 c (0.093) | 0.46 c (0.078) | 0.50 bc (0.073) | 0.52 b (0.079) | 0.58 a (0.104) | 0.62 a (0.114) | 0.45 e (0.071) | 0.47 de (0.078) | 0.48 d (0.074) | 0.52 c (0.092) | 0.57 b (0.071) | 0.62 a (0.118) | 0.45 e (0.082) | 0.46 de (0.078) | 0.49 d (0.074) | 0.52 c (0.085) | 0.57 b (0.089) | 0.62 a (0.115) |
| Slend. | 20 | 0.66 b (0.119) | 0.72 b (0.179) | 0.74 b (0.143) | 0.81 b (0.162) | 0.90 b (0.162) | 1.32 a (1.117) | 0.73 e (0.165) | 0.75 de (0.132) | 0.80 cd (0.163) | 0.92 bc (0.452) | 0.95 b (0.169) | 1.11 a (0.282) | 0.69 d (0.147) | 0.74 cd (0.157) | 0.77 bcd (0.154) | 0.86 bc (0.343) | 0.92 b (0.165) | 1.22 a (0.818) |
| Slend. | 28 | 0.55 c (0.062) | 0.65 bc (0.280) | 0.65 bc (0.097) | 0.78 ab (0.341) | 0.83 ab (0.144) | 0.97 a (0.315) | 0.58 d (0.049) | 0.65 cd (0.069) | 0.72 bc (0.102) | 0.76 b (0.095) | 0.84 ab (0.117) | 0.92 a (0.170) | 0.56 e (0.057) | 0.65 de (0.202) | 0.68 cd (0.103) | 0.77 bc (0.248) | 0.83 b (0.130) | 0.94 a (0.252) |
| CW | 10 | 0.47 (0.103) | 0.45 (0.094) | 0.47 (0.118) | 0.46 (0.117) | 0.47 (0.097) | 0.42 (0.114) | 0.45 (0.103) | 0.45 (0.106) | 0.44 (0.099) | 0.45 (0.109) | 0.45 (0.090) | 0.43 (0.098) | 0.46 (0.103) | 0.45 (0.099) | 0.46 (0.109) | 0.45 (0.112) | 0.46 (0.093) | 0.43 (0.105) |
| CW | 20 | 1.21 a (0.297) | 1.18 a (0.319) | 1.14 ab (0.279) | 1.12 ab (0.317) | 1.03 b (0.278) | 0.78 c (0.256) | 1.08 a (0.280) | 1.13 a (0.292) | 1.09 a (0.288) | 1.05 ab (0.269) | 0.98 b (0.227) | 0.81 c (0.211) | 1.15 a (0.295) | 1.15 a (0.305) | 1.12 a (0.283) | 1.09 a (0.295) | 1.00 b (0.253) | 0.80 c (0.235) |
| CW | 28 | 1.90 a (0.275) | 1.74 ab (0.320) | 1.64 b (0.248) | 1.53 b (0.323) | 1.28 c (0.307) | 1.02 d (0.315) | 1.67 a (0.247) | 1.66 ab (0.191) | 1.60 b (0.271) | 1.44 c (0.276) | 1.27 d (0.239) | 1.07 e (0.248) | 1.79 a (0.285) | 1.7 ab (0.264) | 1.62 b (0.258) | 1.48 c (0.301) | 1.28 d (0.272) | 1.04 e (0.269) |
| HTLC (m) | 10 | 0.28 (0.128) | 0.27 (0.112) | 0.27 (0.114) | 0.27 (0.131) | 0.28 (0.108) | 0.29 (0.105) | 0.28 (0.115) | 0.30 (0.156) | 0.30 (0.114) | 0.29 (0.108) | 0.31 (0.103) | 0.32 (0.100) | 0.29 (0.121) | 0.30 (0.135) | 0.30 (0.113) | 0.29 (0.119) | 0.31 (0.105) | 0.32 (0.101) |
| HTLC (m) | 20 | 0.53 (0.217) | 0.52 (0.216) | 0.51 (0.199) | 0.53 (0.217) | 0.55 (0.201) | 0.60 (0.229) | 0.49 c (0.202) | 0.52 c (0.221) | 0.56 bc (0.236) | 0.55 bc (0.257) | 0.62 ab (0.264) | 0.66 a (0.214) | 0.51 c (0.209) | 0.52 c (0.217) | 0.54 bc (0.218) | 0.54 bc (0.236) | 0.59 ab (0.235) | 0.63 a (0.221) |
| HTLC (m) | 28 | 0.96 (0.522) | 0.88 (0.332) | 0.91 (0.296) | 0.97 (0.367) | 0.95 (0.307) | 0.89 (0.342) | 1.10 ab (0.435) | 1.23 a (0.419) | 1.13 a (0.409) | 1.03 b (0.324) | 1.00 b (0.379) | 0.99 b (0.376) | 1.03 (0.481) | 1.06 (0.417) | 1.02 (0.372) | 1.00 (0.344) | 0.97 (0.342) | 0.94 (0.360) |
| Spruce | Aspen | |||||||
|---|---|---|---|---|---|---|---|---|
| PLOT | Aspen Density (stems·ha−1) | Spruce Density (stems·ha−1) | a | b | c | a | b | c |
| 1 | 0 | 1000 | 0.013406 | 2.103442 | 0.069621 | |||
| 2 | 200 | 1000 | 0.013013 | 2.055303 | 0.075101 | 0.024172 | 1.692271 | 0.107603 |
| 3 | 500 | 1000 | 0.012498 | 1.988504 | 0.083878 | 0.024681 | 1.925144 | 0.096546 |
| 4 | 1500 | 1000 | 0.011594 | 1.888494 | 0.094996 | 0.025084 | 2.062146 | 0.096351 |
| 5 | 4000 | 1000 | 0.010323 | 1.760039 | 0.113647 | 0.025401 | 2.106533 | 0.097945 |
| 6 | unthinned | 1000 | 0.013565 | 2.226961 | 0.006931 ns | 0.025652 | 2.182628 | 0.081048 |
| 7 | 0 | 500 | 0.011652 | 1.937034 | 0.083284 | |||
| 8 | 200 | 500 | 0.011242 | 1.909724 | 0.083304 | 0.024831 | 1.744878 | 0.099654 |
| 9 | 500 | 500 | 0.011176 | 1.908504 | 0.077902 | 0.025498 | 1.978808 | 0.08919 |
| 10 | 1500 | 500 | 0.009829 | 1.751954 | 0.100082 | 0.02438 | 1.996066 | 0.108543 |
| 11 | 4000 | 500 | 0.008973 | 1.703911 | 0.098421 | 0.027075 | 2.251298 | 0.07519 |
| 12 | unthinned | 500 | 0.008933 | 1.714591 | 0.090917 | 0.025794 | 2.304432 | 0.059599 |
| 13 | 1500 | 0 | 0.026231 | 2.280332 | 0.06079 | |||
| 14 | 4000 | 0 | 0.027682 | 2.434509 | 0.043261 | |||
| 15 | unthinned | 0 | 0.025888 | 2.364609 | 0.053273 | |||
| Species | Sw Density (stems·ha−1) | Volume (m3 ha−1) | MAI (m3 ha−1 y−1) | ||||||||||
|---|---|---|---|---|---|---|---|---|---|---|---|---|---|
| Aspen Density (stems·ha−1) | Aspen Density (stems·ha−1) | ||||||||||||
| 0 | 200 | 500 | 1500 | 4000 | U | 0 | 200 | 500 | 1500 | 4000 | U | ||
| Spruce | 0 | - | - | - | - | - | - | - | - | - | - | - | - |
| 500 | 132.4 a (59.89) | 117.0 b (52.69) | 103.8 c (47.14) | 79.5 d (45.37) | 60.6 e (38.84) | 54.9 f (36.14) | 1.47 a (0.665) | 1.30 b (0.585) | 1.15 b (0.524) | 0.88 c (0.504) | 0.67 d (0.432) | 0.61 d (0.402) | |
| 1000 | 208.8 a (80.20) | 188.2 ab (76.08) | 167.0 b (77.03) | 133.4 c (65.55) | 109.6 cd (70.91) | 103.5 d (75.63) | 2.32 a (0.891) | 2.09 ab (0.845) | 1.86 b (0.856) | 1.48 c (0.728) | 1.22 cd (0.788) | 1.15 d (0.840) | |
| All | 170.6 a (80.23) | 152.6 ab (74.33) | 135.4 b (71.05) | 106.5 c (72.03) | 85.1 d (65.00) | 79.2 d (64.48) | 1.90 a (0.891) | 1.70 ab (0.826) | 1.50 b (0.789) | 1.18 c (0.800) | 0.95 d (0.722) | 0.88 d (0.716) | |
| Aspen | 0 | - | - | - | 266.0 b (75.74) | 325.1 a (69.01) | 320.5 a (83.51) | - | - | - | 2.96 b (0.842) | 3.61 a (0.023) | 3.56 a (0.928) |
| 500 | - | 72.7 d (40.57) | 145.1 c (65.13) | 242.2 b (95.37) | 303.6 a (86.44) | 285.2 a (111.38) | - | 0.81 d (0.451) | 1.61 c (0.724) | 2.69 b (1.060) | 3.37 a (0.960) | 3.17 a (1.238) | |
| 1000 | - | 69.4 d (43.11) | 141.5 c (66.31) | 237.8 b (99.59) | 286.1 a (100.61) | 269.6 ab (115.21) | - | 0.77 d (0.479) | 1.57 c (0.737) | 2.64 b (1.107) | 3.18 a (1.118) | 3.00 ab (1.280) | |
| All | - | 70.7 d (41.62) | 142.9 c (65.33) | 249.1 b (91.10) | 305.3 a (87.48) | 290.2 a (106.12) | - | 0.79 d (0.462) | 1.59 c (0.726) | 2.77 b (1.012) | 3.39 a (0.972) | 3.22 a (1.179) | |
| Stand | 0 | - | - | - | 266.0 b (75.74) | 325.1 a (69.01) | 320.5 a (83.51) | - | - | - | 2.96 b (0.842) | 3.62 a (0.023) | 3.56 a (0.928) |
| 500 | 132.4 e (59.89) | 189.9 d (58.90) | 249.1 c (62.85) | 321.9 b (83.09) | 364.4 a (67.73) | 340.4 ab (95.28) | 1.49 e (0.665) | 2.11 d (0.654) | 2.77 c (0.698) | 3.58 b (0.923) | 4.05 a (0.752) | 3.78 ab (1.059) | |
| 1000 | 208.8.6 d (80.20) | 259.2 c (78.79) | 310.0 b (78.24) | 372.8 a (86.25) | 397.3 a (65.83) | 374.6 a (95.28) | 2.35 d (0.891) | 2.88 c (0.875) | 3.44 b (0.869) | 4.14 a (0.958) | 4.41 a (0.731) | 4.16 a (1.030) | |
| All | 170.6 e (80.23) | 224.2 d (77.33) | 279.2 c (76.81) | 320.5 b (91.77) | 362.6 a (72.55) | 344.4 a (92.67) | 1.90 e (0.891) | 2.49 d (0.859) | 3.10 c (0.853) | 3.56 b (1.020) | 4.03 a (0.806) | 3.83 a (1.030) | |
| Species | Sw Density (stems·ha−1) | Stemwood Biomass (tonnes.ha−1) | Stemwood Carbon (tonnes.ha−1) | ||||||||||
|---|---|---|---|---|---|---|---|---|---|---|---|---|---|
| Aspen Density (stems·ha−1) | Aspen Density (stems·ha−1) | ||||||||||||
| 0 | 200 | 500 | 1500 | 4000 | U | 0 | 200 | 500 | 1500 | 4000 | U | ||
| Spruce | 0 | - | - | - | - | - | - | - | - | - | - | - | - |
| 500 | 40.5 a (17.11) | 36.0 bc (14.95) | 32.1 c (13.77) | 24.5 d (13.17) | 18.6 e (11.42) | 16.9 e (10.46) | 20.4 a (8.62) | 18.1 bc (7.53) | 16.2 c (6.94) | 12.3 d (6.64) | 9.4 e (5.76) | 8.5 e (5.27) | |
| 1000 | 63.6 a (22.20) | 57.5 ab (21.11) | 51.1 b (21.64) | 40.9 c (18.45) | 33.5 cd (20.54) | 32.2 d (26.07) | 32.0 an (11.18) | 29.0 ab (10.64) | 25.8 b (10.90) | 20.6 c (9.30) | 16.9 cd (10.35) | 16.2 d (13.14) | |
| Aspen | 0 | - | - | - | 100.6 b (28.78) | 122.1 a (26.67) | 118.0 a (31.41) | - | - | - | 47.4 b (13.55) | 57.5 a (12.56) | 55.6 a (14.79) |
| 500 | - | 30.1 d (16.58) | 57.3 c (25.72) | 91.9 b (36.06) | 114.1 a (33.64) | 103.9 ab (41.22) | - | 14.2 d (7.81) | 27.0 c (12.11) | 43.3 b (16.98) | 53.7 a (15.84) | 48.9 ab (19.41) | |
| 1000 | - | 28.6 d (17.78) | 56.0 c (25.94) | 90.1 b (37.92) | 106.3 a (36.94) | 98.7 ab (41.22) | 13.5 d (8.37) | 26.4 c (12.22) | 42.4 b (17.86) | 50.1 a (17.39) | 46.5 ab (19.91) | ||
| Stand Total | 0 | - | - | - | 100.6 b (28.78) | 122.1 a (26.67) | 118.0 a (31.41) | - | - | - | 47.4 b (13.55) | 57.5 a (12.56) | 55.6 a (14.79) |
| 500 | 40.5 e (17.11) | 66.2 d (19.54) | 89.5 c (23.21) | 116.4 b (31.53) | 132.8 a (27.79) | 120.8 ab (35.85) | 20.4 e (8.62) | 32.4 d (9.49) | 43.2 c (10.98) | 55.6 b (14.79) | 63.2 a (12.96) | 57.5 b (16.75) | |
| 1000 | 63.6 d (22.20) | 86.6 c (24.19) | 107.6 b (25.68) | 131.5 a (32.42) | 140.4 a (25.49) | 131.4 a (35.53) | 32.0 d (11.18) | 42.7 c (11.89) | 52.4 b (12.40) | 63.3 a (12.52) | 67.2 a (11.83) | 63.0 a (16.82) | |
Disclaimer/Publisher’s Note: The statements, opinions and data contained in all publications are solely those of the individual author(s) and contributor(s) and not of MDPI and/or the editor(s). MDPI and/or the editor(s) disclaim responsibility for any injury to people or property resulting from any ideas, methods, instructions or products referred to in the content. |
© 2024 by the authors. Licensee MDPI, Basel, Switzerland. This article is an open access article distributed under the terms and conditions of the Creative Commons Attribution (CC BY) license (https://creativecommons.org/licenses/by/4.0/).
Share and Cite
Comeau, P.G.; Bokalo, M. Aspen and Spruce Densities Affect Tree Size, Future Stand Volume, and Aboveground Carbon Following Precommercial Thinning. Forests 2024, 15, 223. https://doi.org/10.3390/f15020223
Comeau PG, Bokalo M. Aspen and Spruce Densities Affect Tree Size, Future Stand Volume, and Aboveground Carbon Following Precommercial Thinning. Forests. 2024; 15(2):223. https://doi.org/10.3390/f15020223
Chicago/Turabian StyleComeau, Philip G., and Mike Bokalo. 2024. "Aspen and Spruce Densities Affect Tree Size, Future Stand Volume, and Aboveground Carbon Following Precommercial Thinning" Forests 15, no. 2: 223. https://doi.org/10.3390/f15020223
APA StyleComeau, P. G., & Bokalo, M. (2024). Aspen and Spruce Densities Affect Tree Size, Future Stand Volume, and Aboveground Carbon Following Precommercial Thinning. Forests, 15(2), 223. https://doi.org/10.3390/f15020223

