Analysis of the Diversity of Corticolous Lichens Associated with Tree Trunks in the Understories of Four Tropical Dry Forests of the Atlántico Department in Colombia
Abstract
1. Introduction
2. Materials and Methods
2.1. Sampling Sites
2.1.1. Morro—Tubará
2.1.2. Distrito Regional de Manejo Integrado (DMI) Luriza—Usiacurí
2.1.3. Reserva Natural de la Sociedad Civil Los Charcones (Los Charcones)—Piojó
2.1.4. Distritos Regionales de Manejo Integrado Banco Totumo Bijibana—Repelón
2.2. Specimen Sampling and Collection
2.3. Data Treatment and Statistical Analysis
3. Results
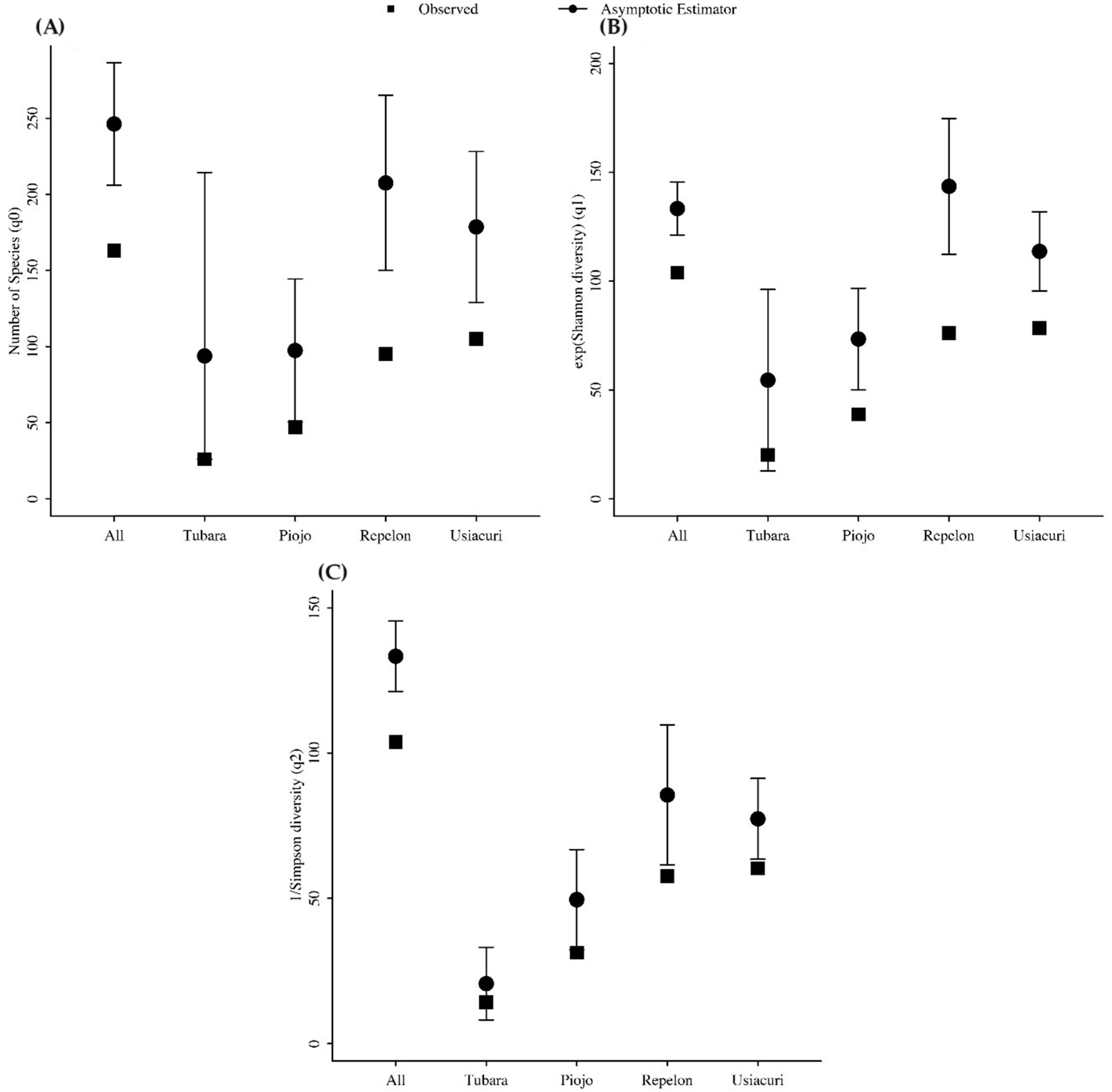
3.1. Gamma Diversity
3.2. Alpha Diversity
3.3. Beta Diversity
4. Discussion
5. Conclusions
Supplementary Materials
Author Contributions
Funding
Data Availability Statement
Acknowledgments
Conflicts of Interest
References
- Janzen, D. Tropical dry forests: The most endangered major tropical ecosystem. In Biodiversity; Wilson, E.O., Frances, M.P., Eds.; National Academy Press: Washington, DC, USA, 1988; pp. 130–137. [Google Scholar]
- Pizano, C.; González, R.; López, R.; Jurado, R.; Cuadros, H.; Castaño, A.; Rojas, A.; Perez, K.; Vergara, H.; Idárraga, A.; et al. El bosque seco tropical en Colombia: Distribución y estado de conservación. In Biodiversidad, 1st ed.; Gómez, M., Moreno, L., Andrade, G., Rueda, C., Eds.; Instituto de Investigación de Recursos Biológicos Alexander von Humbold: Bogotá, Colombia, 2016. [Google Scholar]
- González, R.; García, H.; Isaacs, P.; Cuadros, H.; López, R.; Rodríguez, N.; Pérez, K.; Mijares, F.; Castaño, A.; Jurado, R.; et al. Disentangling the environmental heterogeneity, floristic distinctiveness and current threats of tropical dry forests in Colombia. Environ. Res. Lett. 2018, 13, 045007. [Google Scholar] [CrossRef]
- Global Forest Watch, GFW. Available online: https://www.globalforestwatch.org/dashboards/country/COL/4?category=land-cover (accessed on 19 March 2024).
- Aldana, J.; Montes, C.; González, J. Understanding the past to envision a sustainable future: A social–ecological history of the Barranquilla metropolitan area (Colombia). Sustainability 2018, 10, 2247. [Google Scholar] [CrossRef]
- González-M, R.; Norden, N.; Posada, J.; Pizano, C.; García, H.; Idárraga-Piedrahita, A.; López-Camacho, R.; Nieto, J.; Rodríguez, M.G.; Torres, A.; et al. Climate severity and land-cover transformation determine plant community attributes in Colombian dry forests. Biotropica 2019, 51, 826–837. [Google Scholar] [CrossRef]
- Morillas, L.; Roales, J.; Cruz, C.; Munzi, S. Lichen as multipartner symbiotic relationships. Encyclopedia 2022, 2, 1421–1431. [Google Scholar] [CrossRef]
- Yang, J.; Soon-Ok, O.; Jae-Seoun, H. Lichen as bioindicators: Assessing their response to heavy metal pollution in their native ecosystem. Mycobiology 2023, 51, 343–353. [Google Scholar] [CrossRef] [PubMed]
- Stanton, D.; Ormond, A.; Mossmann, N.; Colesie, C. Lichen ecophysiology in a changing climate. Am. J. Bot. 2023, 110, 2. [Google Scholar] [CrossRef] [PubMed]
- Hawksworth, D.L.; Grube, M. Lichens redefined as complex ecosystems. New Phytol. 2020, 227, 1281–1283. [Google Scholar] [CrossRef]
- Moncada, B.; Coca, L.; Diaz, D.; Jaramillo, M.; Simijaca, D.; Soto, E.; Lücking, R. Diversity, ecogeography, and importance of lichens of Colombia. In Catalogue of Fungi of Colombia; de Almeida, R.F., Lücking, R., Vasco-Palacios, A.M., Gaya, E., Diazgranados, M., Eds.; Kew Publishing: London, UK, 2022; pp. 77–90. [Google Scholar]
- Lücking, R.; Moncada, B.; Martínez-Habibe, M.; Salgado-Negret, B.; Celis, M.; Rojas-Zamora, O.; Rodríguez, M.G.; Brokamp, G.; Borsch, T. Lichen diversity in Colombian caribbean dry forest remnants. Caldasia 2019, 41, 194–214. [Google Scholar] [CrossRef]
- Bhagarathi, L.; Maharaj, G.; DaSilva, P.; Subramanian, G. A review of the diversity of lichens and what factors affect their distribution in the neotropics. GSC Biol. Pharm. Sci. 2022, 20, 27–63. [Google Scholar] [CrossRef]
- Chuquimarca, L.; Gaona, F.; Iñiguez-Armijos, C.; Benítez, A. Lichen responses to disturbance: Clues for biomonitoring land-use effects on riparian Andean ecosystem. Diversity 2019, 11, 73. [Google Scholar] [CrossRef]
- Ellis, C.J.; Asplund, J.; Benesperi, R.; Branquinho, C.; Di Nuzzo, L.; Hurtado, P.; Martínez, I.; Matos, P.; Nascimbene, J.; Pinho, P.; et al. Functional traits in lichen ecology: A review of challenge and opportunity. Microorganisms 2021, 9, 766. [Google Scholar] [CrossRef] [PubMed]
- Miranda-González, R. Lichen Studies of Tropical Dry Forest: A Systematic and Ecological Approach. Ph.D. Thesis, Oregon State University, Corvallis, OR, USA, 2019. [Google Scholar]
- Andermann, T.; Antonelli, A.; Barrett, R.; Silvestro, D. Estimating alpha, beta, and gamma diversity through deep learning. Front. Plant Sci. 2022, 13, 839407. [Google Scholar] [CrossRef]
- Frati, L.; Brunialti, G. Recent trends and future challenges for lichen biomonitoring in forests. Forests 2023, 14, 647. [Google Scholar] [CrossRef]
- Hurtado, P.; Prieto, M.; Martínez-Vilalta, J.; Giordani, P.; Aragón, G.; López-Angulo, J.; Košuthová, A.; Merinero, S.; Díaz-Peña, E.; Rosas, T.; et al. Disentangling functional trait variation and covariation in epiphytic lichens along a continent-wide latitudinal gradient. Proc. R. Soc. B 2020, 287, 20192862. [Google Scholar] [CrossRef] [PubMed]
- Kappen, L. Response to extreme environments. In The Lichens; Ahmadjian, V., Hale, M.E., Eds.; Academic Press: Los Ángeles, CA, USA, 1973; pp. 311–380. [Google Scholar]
- Benítez, Á.; Aragón, G.; Prieto, M. Lichen diversity on tree trunks in tropical dry forests is highly influenced by host tree traits. Biodivers. Conserv. 2019, 28, 2909–2929. [Google Scholar] [CrossRef]
- Trindade, C. Epiphytic Lichens as Surrogates for Biodiversity and Ecosystem Resilience in Native Oakwoods of the Baixo Tâmega Region (Northern Portugal). Master’s Thesis, Universidade do Porto, Porto, Portugal, 2009. [Google Scholar]
- Alcaldía Municipal de Tubará. Esquema de Ordenamiento Territorial Tubará Atlántico 2001–2010. Available online: https://www.tubara-atlantico.gov.co/planes/esquema-de-ordenamiento (accessed on 3 July 2024).
- López Rodríguez, A.C. Ordenamiento Ambiental de la Zona Costera del Departamento del Atlántico. Informe Final; Instituto de Investigaciones Marinas y Costeras: Santa Marta, Colombia, 2007. [Google Scholar]
- Corporación Autónoma Regional del Atlántico, Acto Administrativo 0003, República de Colombia, 2011. Available online: https://www.crautonoma.gov.co/documentos/acuerdos/0003%20de%202011-2011-03-22-30.pdf (accessed on 28 May 2024).
- García, S. Composición y estructura de la fauna de escarabajos (Insecta: Coleoptera) atraídos por trampas de luz en la Reserva Ecológica Luriza, Atlántico, Colombia. Bol. Soc. Entomol. Aragon. 2010, 47, 373–381. [Google Scholar]
- Rodríguez, G.; Banda, K.; Reyes, S.; Estupiñán, A. Lista comentada de las plantas vasculares de bosques secos prioritarios para la conservación en los departamentos de Atlántico y Bolívar (Caribe colombiano). Biota. Colomb. 2012, 13, 7–19. [Google Scholar]
- Parques Nacionales Naturales de Colombia, Resolución 0030, Ministerio de Ambiente y Desarrollo Sostenible, 2022. Available online: https://www.parquesnacionales.gov.co/wp-content/uploads/2022/04/resol-030-de-2022.pdf (accessed on 3 July 2024).
- García-Q, H.; Carbonó-DelaHoz, E.; Barranco-Pérez, W. Diversidad beta del bosque seco tropical en el norte del Caribe colombiano. Rev. Acad. Colomb. Cienc. Ex. Fis. Nat. 2021, 45, 95–108. [Google Scholar] [CrossRef]
- Corporación Autónoma Regional del Atlántico. Atlántico Respira Ambiente, Informe de gestión, Vigencia 2021. Plan de Acción Institucional 2020–2023 “Atlántico Sostenible y Resiliente”. Available online: https://www.crautonoma.gov.co/documentos/INFORME%20CRA/2021/1INFOR_1.PDF (accessed on 22 May 2024).
- Concesión Costera Cartagena Barranquilla SAS; Fundación Umacha; Corporación Autónoma Regional del Atlántico. Conservando Banco Totumo Bijibana Depto Atlántico, Gobierno de Colombia. Available online: https://runapadmin.parquesnacionales.gov.co/default/general/descargarplan?pid=246 (accessed on 22 May 2024).
- Gradstein, S.; Hietz, P.; Lücking, R.; Luecking, A.; Sipman, H.; Vester, H.; Wolf, J.; Gardette, E. How to sample the epiphytic diversity of tropical rain forests. Ecotropica 1996, 2, 59–72. [Google Scholar]
- Orange, A.; James, P.; White, F. Microchemical Methods for the Identification of Lichens, 2nd ed.; British Lichen Society: London, UK, 2010. [Google Scholar]
- Elix, J.A. Catalogue of Standardized Chromatographic Data and Biosynthetic Relationships for Lichen Substances; Autor: Canberra, Australia, 2014. [Google Scholar]
- Pielou, E.C. The measurement of diversity in different types of biological collections. J. Theor. Biol. 1966, 13, 131–144. [Google Scholar] [CrossRef]
- Simpson, E. Measurement of diversity. Nature 1949, 163, 688. [Google Scholar] [CrossRef]
- Shannon, C.A. Mathematical theory of communication. Bell. Syst. Tech. J. 1948, 27, 379–423. [Google Scholar] [CrossRef]
- Oksanen, J.; Simpson, G.; Blanchet, G.; Kindt, K.; Legendre, P.; Minchin, P.; O’Hara, R.; Solymos, P.; Stevens, H.; Szoecs, E.; et al. Package «vegan»: Community Ecology Package. Cran 2022, 2, 1–295. [Google Scholar]
- Baselga, A.; Orme, D.; Villéger, S.; Bortoli, S.; Leprieur, F.; Logez, M.; Martinez-Santalla, S.; Martin-Devasa, R.; Gomez-Rodriguez, C.; Crujeiras, R.; et al. Package «betapart»: Partitioning Beta Diversity into Turnover and Nestedness Components. Cran 2013. Available online: https://cran.r-project.org/web/packages/betapart/betapart.pdf (accessed on 28 May 2024).
- Chao, A.; Gotelli, N.; Hsieh, T.; Sander, E.; Ma, K.; Colwell, R.; Ellison, A. Rarefaction and extrapolation with Hill numbers: A framework for sampling and estimation in species diversity studies. Ecol. Monogr. 2014, 84, 45–67. [Google Scholar] [CrossRef]
- Rincón, A.; Aguirre, J.; Lücking, R. Líquenes corticícolas en el caribe colombiano. Caldasia 2011, 33, 331–347. [Google Scholar]
- Coca, L.F. Catálogo Ilustrado de los Líquenes y Musgos del Departamento del Atlántico, Colombia; Herbario Universidad de Caldas: Manizales, Colombia, 2021. [Google Scholar]
- Hillebrand, H.; Bennett, D.; Cadotte, M. Consequences of dominance: A review of even-ness effects on local and regional ecosystem processes. Ecology 2008, 89, 1510–1520. [Google Scholar] [CrossRef]
- Ramírez-Morán, N.; León-Gómez, M.; Lücking, R. Uso de biotipos de líquenes como bioindicadores de perturbación en fragmentos de bosque altoandino (Reserva Biológica “encenillo”, Colombia). Caldasia 2016, 38, 31–52. [Google Scholar] [CrossRef]
- Pennington, R.T.; Lavin, M.; Oliveira-Filho, A. Woody plant diversity, evolution, and ecology in the tropics: Perspectives from seasonally dry tropical forests. Annu. Rev. Ecol. Evol. S 2009, 40, 437–457. [Google Scholar] [CrossRef]
- Soto-Medina, E.; Lücking, R.; Silverstone-Sopkin, P.A.; Torres, A.M. Changes in functional and taxonomic diversity and composition of corticolous lichens in an altitudinal gradient in Colombia. Cryptogam. Mycol. 2019, 40, 97–115. [Google Scholar] [CrossRef]
- Ellis, C. Lichen epiphyte diversity: A species, community and trait-based review. Perspect. Plant Ecol. 2012, 14, 131–152. [Google Scholar] [CrossRef]
- GBIF. Available online: https://www.gbif.org/es/ (accessed on 10 April 2024).
- Kalb, K. Brasilianischen Flechten, 1. Die Gattung Pyxine; Schweizerbart Science Publishers: Stuttgart, Germany, 1987; ISBN 978-3-443-58003-2. [Google Scholar]
- Aptroot, A. Three new species of Lithothelium (Pyrenulaceae) from China and Thailand, with a revised world key and annotated list of species. Lichenologist 2006, 38, 541–548. [Google Scholar] [CrossRef]
- Aptroot, A. A revision of the lichen genus Stirtonia. Lichenologist 2009, 41, 615–625. [Google Scholar] [CrossRef]
- Aptroot, A. A World Key to the Species of Anthracothecium and Pyrenula. Lichenologist 2012, 44, 5–53. [Google Scholar] [CrossRef]
- Aptroot, A.; Lücking, R. A revisionary synopsis of the Trypetheliaceae (Ascomycota: Trypetheliales). Lichenologist 2016, 48, 607–608. [Google Scholar] [CrossRef]
- Aptroot, A.; Anjos, A.; Barreto, X.; Monique dos Santos, V.; Muryel, M.; Cáceres, M. Revision of the Corticolous Mazosia Species, with a Key to Mazosia Species with 3-Septate Ascospores. Lichenologist 2014, 46, 563–572. [Google Scholar] [CrossRef]
- Aptroot, A.; Sipman, H.; Käffer, M.; Martins, S.; Ferraro, L.; Cáceres, M. A World Key to Stirtonia (Arthoniaceae), with Three New Stirtonia Species and One New Crypthonia Species from the Neotropics. Lichenologist 2014, 46, 673–679. [Google Scholar] [CrossRef]
- Awasthi, D. A Monograph of the Lichen Genus Dirinaria. Bibl. Lichenol. 1975, 2, 1–108. [Google Scholar]
- Kalb, K. New or otherwise interesting lichens. Bibl. Lichenol. 2001, 78, 141–167. Available online: https://biotanz.landcareresearch.co.nz/scientific-names/6e9d4e17-9531-4644-9e4e-0c6f342521b0 (accessed on 3 July 2024).
- Botanishcen Garten Berlin: BGBM: Hyperphyscia Key. Available online: https://www.bgbm.org/sipman/keys/Hyperphyscia2.htm (accessed on 3 July 2024).
- Breuss, O.; Lücking, R. Three new lichen species from Nicaragua, with keys to the known species of Eugeniella and Malmidea. Lichenologist 2015, 47, 9–20. [Google Scholar] [CrossRef]
- Bungartz, F.; Dután-Patiño, V.; Elix, J. The lichen genera Cryptothecia, Herpothallon and Helminthocarpon (Arthoniales) in the Galapagos Islands, Ecuador. Lichenologist 2013, 45, 739–762. [Google Scholar] [CrossRef]
- Cáceres, M. The Corticolous Crustose and Microfoliose Lichens of Northeastern Brazil. Diversity, Ecology, and Conservation. Ph.D. Thesis, Universität Bayreuth, Bayreuth, Germany, 2007. [Google Scholar]
- Egea, J.; Torrente, P. The Lichen Genus Bactrospora. Lichenologist 1993, 25, 211–255. [Google Scholar] [CrossRef]
- Egea, J.; Torrente, P. El Género de Hongos Liquenizados Lecanactis (Ascomycotina); Schweizerbart Science Publishers: Stuttgart, Germany, 1994; Available online: https://www.schweizerbart.de/publications/detail/isbn/9783443580339/ (accessed on 3 July 2024).
- Ekman, S. The corticolous and lignicolous species of Bacidia and Bacidina in North America. Opera Bot. 1996, 127, 1–148. [Google Scholar]
- Ertz, D. Revision of the Corticolous Opegrapha Species from the Paleotropics; Cramer in der Gebrüder Borntraeger Verlagsbuchhandlung: Stuttgart, Germany, 2009; Volume 102. Available online: https://books.google.com.co/books/about/Revision_of_the_Corticolous_Opegrapha_Sp.html?id=9gkmAQAAMAAJ&redir_esc=y (accessed on 3 July 2024).
- Feuerstein, S.; Cunha-Dias, I.; Aptroot, A.; Eliasaro, S.; Cáceres, M. Three New Diorygma (Graphidaceae) Species from Brazil, with a Revised World Key. Lichenologist 2014, 46, 753–761. [Google Scholar] [CrossRef]
- Guderley, R. Die Lecanora Subfusca-Gruppe in Süd- Und Mittelamerika. J. Hattori Bot. Lab. 1999, 87, 131–257. [Google Scholar] [CrossRef]
- Guderley, R.; Lumbsch, T.; Elix, E. Four New Species of Lecanora sensu stricto (Lecanorales, Ascomycotina) from Tropical South America. Bryologist 2000, 103, 139–144. [Google Scholar] [CrossRef]
- Guzmán-Guillermo, J.; Barrera, C.; Llarena-Hernández, R. The Lichenized Fungi of the Genus Glyphis in Veracruz, Mexico. Acta Botánica Mex. 2021, 128, e1803. [Google Scholar] [CrossRef]
- Harris, R.C. More Florida Lichens Including the 10c Tour of the Pyrenolichens; The New York Botanical Garden: New York, NY, USA, 1995; Available online: https://biotanz.landcareresearch.co.nz/references/e2e79a3a-3ddf-4030-aaba-4c469255591e (accessed on 3 July 2024).
- Herrera, M.; Barcenas-Peña, A.; Miranda-González, R.; Mejía, M.; González, J.; Colín, P.; Téllez, N.; Lücking, R. New lichenized Arthoniales and Ostropales from Mexican seasonally dry tropical forest. Bryologist 2019, 122, 62–83. [Google Scholar] [CrossRef]
- Hongsanan, S.; Hyde, K.; Phookamsak, R.; Wanasinghe, D.; McKenzie, E.; Sarma, V.; Boonmee, S.; Lücking, R.; Bhat, D.J.; Liu, N.G.; et al. Refined Families of Dothideomycetes: Orders and Families Incertae Sedis in Dothideomycetes. Fungal Divers. 2020, 105, 17–318. [Google Scholar] [CrossRef]
- Huneck, S.; Morales, A.; Kalb, K. The chemistry of Dirinaria and Pyxine species (Pyxinaceae) from South America. J. Haltori Bot. Lab. 1987, 62, 331–338. [Google Scholar] [CrossRef]
- Ram, T.J.; Sinha, G.P. A world key to Cryptothecia and Myriostigma (Arthoniaceae), with new species and new records from the Andaman and Nicobar Islands, India. Phytotaxa 2016, 266, 103. [Google Scholar] [CrossRef]
- Jungbluth, P. Estudos Taxonômicos em Physcia (Schreb.) Michx. e Pyxine Fr. (Physciaceae, Ascomycota). São Paulo, 2010. Available online: http://www2.ib.unicamp.br/profs/cjoly/0%20-%20Produ%E7%E3o%20Tematico/3%20-%20Teses/2010/JUNGBLUTH,%20P.%202010%20IBt.pdf (accessed on 3 July 2024).
- Jungbluth, P.; Aptroot, A.; Cáceres, M. A world key to the species of Pyxine with lichexanthone, with a new species from Brazil. Lichenologist 2014, 46, 1–4. [Google Scholar] [CrossRef]
- Kalb, K.; Buaruang, K.; Mongkolsuk, P.; Boonpragob, K. New or otherwise interesting lichens VI, including a lichenicolous fungus. Phytotaxa 2001, 42. [Google Scholar] [CrossRef]
- Lücking, R.s.f. Working Key to Corticolous Species of Porina. Available online: https://es.scribd.com/document/468185639/key-porina-luecking-ined (accessed on 3 July 2024).
- Lücking, R.; Archer, A.; Aptroot, A. A world-wide key to the genus Graphis (Ostropales: Graphidaceae). Lichenologist 2009, 41, 363. [Google Scholar] [CrossRef]
- Lumbsch, H.T.; Elix, J.A. Lichens 4. Flora of Australia; CSIRO Publishing: Canberra, Australia, 2004; Volume 56A. [Google Scholar]
- Lumbsch, T.; Feige, B.; Elix, J. A Revision of the Usnic Acid Containing Taxa Belonging to Lecanora sensu stricto (Lecanorales: Lichenized Ascomycotina). Bryologist 1995, 98, 561–3577. [Google Scholar] [CrossRef]
- Lumbsch, T.; Ahti, T.; Altermann, S.; Amo de Paz, G.; Aptroot, A.; Arup, U.; Bárcenas Peña, A.; Bawingan, P.; Benatti, M.N.; Betancourt, L.; et al. One hundred new species of lichenized fungi: A signature of undiscovered global diversity. Phytotaxa 2011, 18, 1–3127. [Google Scholar] [CrossRef]
- Lumbsch, T.; Messuti, I.; Nash, T. New or Overlooked Species in the Lecanora subfusca Group from Southwestern North America (Lecanorales, Ascomycotina). Bryologist 2009, 106, 359–552. [Google Scholar] [CrossRef]
- Lumbsch, T.; Plümper, M.; Guderley, R.; Feige, G.B. The corticolous species of Lecanora sensu stricto with pruinose apothecial discs. Symb. Bot. Ups. 1997, 32, 131–3162. [Google Scholar]
- McCarthy, P.M. A Reappraisal of Clathroporina Müll. Arg. (Trichotheliaceae). Lichenologist 1995, 27, 321–350. [Google Scholar] [CrossRef]
- Moberg, R. The genera Hyperphyscia and Physconia in East Africa. Nord. J. Bot. 1987, 7, 719–3728. [Google Scholar] [CrossRef]
- Moberg, R. The lichen genus Physcia in Central and South America. Nord. J. Bot. 1990, 10, 319–3342. [Google Scholar] [CrossRef]
- Moncada, B.; Lücking, R. Introducción a la Biología y Taxonomía de los LÍQUENES colombianos. Una Guía Para Reconocer Su Biodivers. Importancia 2021. [Google Scholar] [CrossRef]
- Nelsen, M.; Lücking, R.; Chaves, J.; Sipman, H.; Umaña, L.; Navarro, E. A first assessment of the Ticolichen biodiversity inventory in Costa Rica: The genus Haematomma (Lecanorales: Lecanoraceae). Lichenologist 2006, 38, 251–3262. [Google Scholar] [CrossRef]
- Plata, E.R.; Lücking, R.; Aptroot, A.; Sipman HJ, M.; Chaves, J.L.; Umaña, L.; Lizano, D. A First Assessment of the Ticolichen biodiversity inventory in Costa Rica: The genus Coenogonium (Ostropales: Coenogoniaceae), with a world-wide key and checklist and a phenotype- based cladistic analysis. Fungal Divers. 2006, 23, 255–321. [Google Scholar]
- Rivas-Plata, E.; Lücking, R.; Sipman, H.; Mangold, A.; Kalb, K.; Lumbsch, T. A World-Wide Key to the Thelotremoid Graphidaceae, Excluding the Ocellularia-Myriotrema-Stegobolus Clade. Lichenologist 2010, 42, 139–3185. [Google Scholar] [CrossRef]
- Ramachandran, V. A New Record of Syncesia. Taiwania 2013, 58, 300–403. [Google Scholar] [CrossRef]
- Saag, L.; Saag, A.; Randlane, T. World Survey of the Genus Lepraria (Stereocaulaceae, Lichenized Ascomycota). Lichenologist 2009, 41, 25–60. [Google Scholar] [CrossRef]
- Santos, L.; Aptroot, A.; Lücking, R.; Cáceres, M. Lecanora s. Lat. (Ascomycota, Lecanoraceae) in Brazil: DNA Barcoding Coupled with Phenotype Characters Reveals Numerous Novel Species. J. Fungi 2023, 9, 415. [Google Scholar] [CrossRef]
- Seavey, F.; Seavey, J. New Additions to the Lichen Genus Enterographa (Roccellaceae) from Everglades National Park Including an Updated World Key. Lichenologist 2014, 46, 83–93. [Google Scholar] [CrossRef]
- Sérusiaux, E.; Aptroot, A. A further new species of Monoblastia (lichenized ascomycetes: Monoblastiaceae) from Papua New Guinea. Nova Hedwig. 1998, 67, 1–2. [Google Scholar] [CrossRef]
- Sobreira, P.; Bezerra, N.; Aptroot, A.; Cáceres, M. A World Key to Species of the Genus Bactrospora (Roccellaceae) with a New Species from Brazil. Lichenologist 2015, 47, 131–136. [Google Scholar] [CrossRef]
- Sparrius, L. A Monograph of Enterographa and Sclerophyton; Schweizerbart’sche Verlagsbuchhandlung: Stuttgart, Germany, 2004. [Google Scholar]
- Staiger, B. Die Flechtenfamilie Graphidaceae Studien in Richtung Einer Natürlichen Gliederung; Schweizerbart Science Publishers: Stuttgart, Germany, 2002; ISBN 978-3-443-58064-3. [Google Scholar]
- Tehler, A. Syncesia (Arthoniales, Euascomycetidae); Flora Neotropica; Botanical Garden Press: New York, NY, USA, 1997; Volume 74, p. 48. ISBN 9780893274122. [Google Scholar]
- Wetmore, C. The Isidiate Corticolous Caloplaca Species in North and Central America. Bryologist 2004, 107, 284–292. [Google Scholar] [CrossRef]
- Will-Wolf, S.; Aptroot, A.; Chaves, J.; Lücking, R.; Sipman, H.; Umaña-Tenorio, L. A First Assessment of the Ticolichen Biodiversity Inventory in Costa Rica: The family Physciaceae (Lecanorales), Excluding Buellias Lat. and Rinodina. Sin Publicar 2006, 1–6. Available online: https://scholar.google.com.hk/scholar?hl=zh-CN&as_sdt=0%2C5&q=A+first+assessment+of+the+Ticolichen+biodiversity+inventory+in+Costa+Rica%3A+The+family+Physciaceae+%28Lecanorales%29%2C+excluding+Buellias+lat.+and+Rinodina.+2006%2C+1%E2%80%936&btnG= (accessed on 3 July 2024).





Disclaimer/Publisher’s Note: The statements, opinions and data contained in all publications are solely those of the individual author(s) and contributor(s) and not of MDPI and/or the editor(s). MDPI and/or the editor(s) disclaim responsibility for any injury to people or property resulting from any ideas, methods, instructions or products referred to in the content. |
© 2024 by the authors. Licensee MDPI, Basel, Switzerland. This article is an open access article distributed under the terms and conditions of the Creative Commons Attribution (CC BY) license (https://creativecommons.org/licenses/by/4.0/).
Share and Cite
España-Puccini, P.; Gómez, J.P.; Muñoz-Acevedo, A.; Posada-Echeverría, D.; Martínez-Habibe, M.C. Analysis of the Diversity of Corticolous Lichens Associated with Tree Trunks in the Understories of Four Tropical Dry Forests of the Atlántico Department in Colombia. Forests 2024, 15, 2000. https://doi.org/10.3390/f15112000
España-Puccini P, Gómez JP, Muñoz-Acevedo A, Posada-Echeverría D, Martínez-Habibe MC. Analysis of the Diversity of Corticolous Lichens Associated with Tree Trunks in the Understories of Four Tropical Dry Forests of the Atlántico Department in Colombia. Forests. 2024; 15(11):2000. https://doi.org/10.3390/f15112000
Chicago/Turabian StyleEspaña-Puccini, Pierine, Juan P. Gómez, Amner Muñoz-Acevedo, Daniel Posada-Echeverría, and María C. Martínez-Habibe. 2024. "Analysis of the Diversity of Corticolous Lichens Associated with Tree Trunks in the Understories of Four Tropical Dry Forests of the Atlántico Department in Colombia" Forests 15, no. 11: 2000. https://doi.org/10.3390/f15112000
APA StyleEspaña-Puccini, P., Gómez, J. P., Muñoz-Acevedo, A., Posada-Echeverría, D., & Martínez-Habibe, M. C. (2024). Analysis of the Diversity of Corticolous Lichens Associated with Tree Trunks in the Understories of Four Tropical Dry Forests of the Atlántico Department in Colombia. Forests, 15(11), 2000. https://doi.org/10.3390/f15112000

