Does It Matter Whether to Use Circular or Square Plots in Forest Inventories? A Multivariate Comparison
Abstract
1. Introduction
2. Materials and Methods
2.1. Study Area
2.2. Forest Inventory Data
2.3. Database Preparation
2.4. Statistical Analysis
3. Results
4. Discussion
5. Conclusions
Author Contributions
Funding
Data Availability Statement
Acknowledgments
Conflicts of Interest
References
- Motta, R. National Forest Inventories: Contributions to Forest Biodiversity Assessments (2010). iForest 2011, 4, 250–251. [Google Scholar] [CrossRef]
- Pucher, C.; Neumann, M.; Hasenauer, H. An Improved Forest Structure Data Set for Europe. Remote Sens. 2022, 14, 395. [Google Scholar] [CrossRef]
- Marvin, D.C.; Asner, G.P. Spatially Explicit Analysis of Field Inventories for National Forest Carbon Monitoring. Carbon Balance Manag. 2016, 11, 9. [Google Scholar] [CrossRef] [PubMed]
- White, J.C.; Wulder, M.A.; Varhola, A.; Vastaranta, M.; Coops, N.C.; Cook, B.D.; Pitt, D.; Woods, M. A Best Practices Guide for Generating Forest Inventory Attributes from Airborne Laser Scanning Data Using an Area-Based Approach. For. Chron. 2013, 89, 722–723. [Google Scholar] [CrossRef]
- Lombardi, F.; Marchetti, M.; Corona, P.; Merlini, P.; Chirici, G.; Tognetti, R.; Burrascano, S.; Alivernini, A.; Puletti, N. Quantifying the Effect of Sampling Plot Size on the Estimation of Structural Indicators in Old-Growth Forest Stands. For. Ecol. Manag. 2015, 346, 89–97. [Google Scholar] [CrossRef]
- Yim, J.-S.; Shin, M.-Y.; Son, Y.; Kleinn, C. Cluster Plot Optimization for a Large Area Forest Resource Inventory in Korea. For. Sci. Technol. 2015, 11, 139–146. [Google Scholar] [CrossRef]
- Hernández, L.; Alberdi, I.; McRoberts, R.E.; Morales-Hidalgo, D.; Redmond, J.; Vidal, C. Wood Resources Assessment Beyond Europe. In National Forest Inventories; Springer International Publishing: Cham, Switzerland, 2016; pp. 105–118. [Google Scholar]
- Gschwantner, T.; Lanz, A.; Vidal, C.; Bosela, M.; Di Cosmo, L.; Fridman, J.; Gasparini, P.; Kuliešis, A.; Tomter, S.; Schadauer, K. Comparison of Methods Used in European National Forest Inventories for the Estimation of Volume Increment: Towards Harmonisation. Ann. For. Sci. 2016, 73, 807–821. [Google Scholar] [CrossRef]
- Hernández, L. “Inventarios Forestales Nacionales de América Latina y El Caribe. Hacia La Armonización de La Información Forestal” de Carla Ramírez, Iciar Alberdi, Carlos Bahamondez y Joberto Veloso de Freitas (Coords.), 2021. Ecosistemas 2022, 31, 2449. [Google Scholar] [CrossRef]
- Nesha, K.; Herold, M.; De Sy, V.; de Bruin, S.; Araza, A.; Málaga, N.; Gamarra, J.G.P.; Hergoualc’h, K.; Pekkarinen, A.; Ramirez, C.; et al. Exploring Characteristics of National Forest Inventories for Integration with Global Space-Based Forest Biomass Data. Sci. Total Environ. 2022, 850, 157788. [Google Scholar] [CrossRef]
- Packalen, P.; Strunk, J.; Maltamo, M.; Myllymäki, M. Circular or Square Plots in ALS-Based Forest Inventories—Does It Matter? For. Int. J. For. Res. 2023, 96, 49–61. [Google Scholar] [CrossRef]
- Fridman, J.; Holm, S.; Nilsson, M.; Nilsson, P.; Ringvall, A.; Ståhl, G. Adapting National Forest Inventories to Changing Requirements—The Case of the Swedish National Forest Inventory at the Turn of the 20th Century. Silva Fenn. 2014, 48, 1095. [Google Scholar] [CrossRef]
- VanderSchaaf, C.L. Using Forest Inventory and Analysis Plots to Estimate Sample Sizes for Alternative Inventory Methods. For. Sci. 2015, 61, 535–539. [Google Scholar] [CrossRef]
- Packard, K.C.; Radtke, P.J. Forest Sampling Combining Fixed- and Variable-Radius Sample Plots. Can. J. For. Res. 2007, 37, 1460–1471. [Google Scholar] [CrossRef]
- de Oliveira Lima, M.B.; Miguel, É.P.; de Meira, M.S.; Nappo, M.E.; Rezende, A.V.; Matias, R.A.M. Comparison of Sampling Methods for Description of Floristic-Structure in Woody Vegetation. Aust. J. Crop Sci. 2017, 11, 1573–1578. [Google Scholar] [CrossRef]
- Hogland, J.; Anderson, N.; St. Peter, J.; Drake, J.; Medley, P. Mapping Forest Characteristics at Fine Resolution across Large Landscapes of the Southeastern United States Using NAIP Imagery and FIA Field Plot Data. ISPRS Int. J. Geoinf. 2018, 7, 140. [Google Scholar] [CrossRef]
- CONAFOR. Inventario Nacional Forestal y de Suelos. Informe de Resultados 2009–2014; CONAFOR: Zapopan, Mexico, 2018. [Google Scholar]
- CONAFOR. National System of Forest Information: National Forest and Soils Inventory; CONAFOR: Zapopan, Mexico, 2012. [Google Scholar]
- McRoberts, R.E.; Bechtold, W.A.; Patterson, P.L.; Scott, C.T.; Reams, G.A. The Enhanced Forest Inventory and Analysis Program of the USDA Forest Service: Historical Perspective and Announcement of Statistical Documentation. J. For. 2005, 103, 304–308. [Google Scholar] [CrossRef]
- Westfall, J.A.; Edgar, C.B. Addressing Non-Response Bias in Urban Forest Inventories: An Estimation Approach. Front. For. Glob. Change 2022, 5, 895969. [Google Scholar] [CrossRef]
- Gollob, C.; Ritter, T.; Wassermann, C.; Nothdurft, A. Influence of Scanner Position and Plot Size on the Accuracy of Tree Detection and Diameter Estimation Using Terrestrial Laser Scanning on Forest Inventory Plots. Remote Sens. 2019, 11, 1602. [Google Scholar] [CrossRef]
- Hetzer, J.; Huth, A.; Wiegand, T.; Dobner, H.J.; Fischer, R. An Analysis of Forest Biomass Sampling Strategies across Scales. Biogeosciences 2020, 17, 1673–1683. [Google Scholar] [CrossRef]
- Vorster, A.G.; Evangelista, P.H.; Stovall, A.E.L.; Ex, S. Variability and Uncertainty in Forest Biomass Estimates from the Tree to Landscape Scale: The Role of Allometric Equations. Carbon Balance Manag. 2020, 15, 8. [Google Scholar] [CrossRef]
- Paul, T.S.H.; Kimberley, M.O.; Beets, P.N. Thinking Outside the Square: Evidence That Plot Shape and Layout in Forest Inventories Can Bias Estimates of Stand Metrics. Methods Ecol. Evol. 2019, 10, 381–388. [Google Scholar] [CrossRef]
- Esteban, J.; McRoberts, R.; Fernández-Landa, A.; Tomé, J.; Nӕsset, E. Estimating Forest Volume and Biomass and Their Changes Using Random Forests and Remotely Sensed Data. Remote Sens. 2019, 11, 1944. [Google Scholar] [CrossRef]
- Huang, W.; Sun, G.; Dubayah, R.; Zhang, Z.; Ni, W. Mapping Forest Above-Ground Biomass and Its Changes from LVIS Waveform Data. In Proceedings of the 2012 IEEE International Geoscience and Remote Sensing Symposium, Munich, Germany, 22–27 July 2012; IEEE: Piscataway, NJ, USA, 2012; pp. 6561–6564. [Google Scholar]
- Hudak, A.T.; Strand, E.K.; Vierling, L.A.; Byrne, J.C.; Eitel, J.U.H.; Martinuzzi, S.; Falkowski, M.J. Quantifying Aboveground Forest Carbon Pools and Fluxes from Repeat LiDAR Surveys. Remote Sens. Environ. 2012, 123, 25–40. [Google Scholar] [CrossRef]
- Agresti, A. Foundations of Linear and Generalized Linear Models; Wiley: Hoboken, NJ, USA, 2015; ISBN 978-1-118-73003-4. [Google Scholar]
- Ramírez-Albores, J.E. Riqueza y Diversidad de Aves de Un Área de La Faja Volcánica Transmexicana, Tlaxcala, México. Acta Zoológica Mex. 2013, 29, 486–512. [Google Scholar] [CrossRef]
- Avendaño Hernandez, D.M.; Acosta Mireles, M.; Carrillo Anzures, F.; Etchevers Barra, J.D. Estimación de Biomasa y Carbono En Un Bosque de Abies Religiosa. Rev. Fitotec. Mex. 2009, 32, 233–238. [Google Scholar] [CrossRef]
- Carrillo Anzúres, F.; Acosta Mireles, M.; Flores Ayala, E.; Juárez Bravo, J.E.; Bonilla Padilla, E. Estimación de Biomasa y Carbono En Dos Especies Arboreas En La Sierra Nevada, México. Rev. Mex. Cienc. Agric. 2018, 5, 779–793. [Google Scholar] [CrossRef]
- Ruiz-Aquino, F.; Valdez-Hernández, J.I.; Manzano-Méndez, F.; Rodríguez-Ortiz, G.; Romero-Manzanares, A.; Fuentes-López, M.E. Ecuaciones de Biomasa Aérea Para Quercus Laurina y Q. Crassifolia En Oaxaca. Madera Bosques 2014, 20, 33–48. [Google Scholar] [CrossRef]
- Aguilar-Hernández, L.; García-Martínez, R.; Gómez-Miraflor, A.; Martínez-Gómez, O. Estimación de Biomasa Mediante La Generación de Una Ecuación Alométrica Para Madroño (Arbutus Xalapensis). In IV Congreso Internacional y XVIII Congreso Nacional de Ciencias Agronómicas; Universidad Autónoma Chapingo: Texcoco, Mexico, 2016; pp. 529–530. (In Spanish) [Google Scholar]
- SAS Institute Inc. SAS/ETS® 13.2 User’s Guide: The SEVERITY Procedure; SAS Institute Inc.: Cary, NC, USA, 2014. [Google Scholar]
- Gorgoso-Varela, J.J.; Ponce, R.A.; Rodríguez-Puerta, F. Modeling Diameter Distributions with Six Probability Density Functions in Pinus Halepensis Mill. Plantations Using Low-Density Airborne Laser Scanning Data in Aragón (Northeast Spain). Remote Sens. 2021, 13, 2307. [Google Scholar] [CrossRef]
- Stroup, W.W. Rethinking the Analysis of Non-Normal Data in Plant and Soil Science. Agron. J. 2015, 107, 811–827. [Google Scholar] [CrossRef]
- Lo, S.; Andrews, S. To Transform or Not to Transform: Using Generalized Linear Mixed Models to Analyse Reaction Time Data. Front. Psychol. 2015, 6, 1171. [Google Scholar] [CrossRef]
- Ibrahim, A.D. Evaluation of Probability Distribution Functions for Modeling Forest Tree Diameters on Agricultural Landscapes in Ogun State, Nigeria. Open J. For. 2022, 12, 432–442. [Google Scholar] [CrossRef]
- Moraes, W.B.; Madden, L.V.; Gillespie, J.; Paul, P.A. Environment, Grain Development, and Harvesting Strategy Effects on Zearalenone Contamination of Grain from Fusarium Head Blight-Affected Wheat Spikes. Phytopathology 2023, 113, 225–238. [Google Scholar] [CrossRef] [PubMed]
- SAHIN, A.; ERCANLI, I. An Evaluation of Various Probability Density Functions for Predicting Diameter Distributions in Pure and Mixed-Species Stands in Türkiye. For. Syst. 2023, 32, e016. [Google Scholar] [CrossRef]
- Gebregziabher, M.; Zhao, Y.; Dismuke, C.E.; Axon, N.; Hunt, K.J.; Egede, L.E. Joint Modeling of Multiple Longitudinal Cost Outcomes Using Multivariate Generalized Linear Mixed Models. Health Serv. Outcomes Res. Methodol. 2013, 13, 39–57. [Google Scholar] [CrossRef]
- Jaffa, M.A.; Gebregziabher, M.; Luttrell, D.K.; Luttrell, L.M.; Jaffa, A.A. Multivariate Generalized Linear Mixed Models with Random Intercepts to Analyze Cardiovascular Risk Markers in Type-1 Diabetic Patients. J. Appl. Stat. 2016, 43, 1447–1464. [Google Scholar] [CrossRef]
- SAS Institute Inc. SAS/ETS® User’s Guide: The MIXED Procedure; SAS Institute Inc.: Cary, NC, USA, 2024. [Google Scholar]
- Parreira da Silva, G.; Aparecido Laureano, H.; Rasmussen Petterle, R.; Justiniano Ribeiro Júnior, P.; Hugo Bonat, W. Multivariate Generalized Linear Mixed Models for Count Data. Austrian J. Stat. 2024, 53, 44–69. [Google Scholar] [CrossRef]
- SAS Institute Inc. SAS/QC® 15.1 User’s Guide: The Capability Procedure; SAS Institute Inc.: Cary, NC, USA, 2018. [Google Scholar]
- Toure, L.; Conde, S. Probability Laws Derived from the Gamma Function. Open J. Stat. 2024, 14, 106–118. [Google Scholar] [CrossRef]
- Zenner, E.K.; Teimouri, M. Modeling in Forestry Using Mixture Models Fitted to Grouped and Ungrouped Data. Forests 2021, 12, 1196. [Google Scholar] [CrossRef]
- Knapp, N.; Attinger, S.; Huth, A. A Question of Scale: Modeling Biomass, Gain and Mortality Distributions of a Tropical Forest. Biogeosciences 2022, 19, 4929–4944. [Google Scholar] [CrossRef]
- Corona, P. Integration of Forest Mapping and Inventory to Support Forest Management. iForest 2010, 3, 59–64. [Google Scholar] [CrossRef]
- Dettmann, G.T.; Radtke, P.J.; Coulston, J.W.; Green, P.C.; Wilson, B.T.; Moisen, G.G. Review and Synthesis of Estimation Strategies to Meet Small Area Needs in Forest Inventory. Front. For. Glob. Change 2022, 5, 813569. [Google Scholar] [CrossRef]
- Verwijst, T.; Telenius, B. Biomass Estimation Procedures in Short Rotation Forestry. For. Ecol. Manag. 1999, 121, 137–146. [Google Scholar] [CrossRef]
- Berger, A.; Gschwantner, T.; Schadauer, K. The Effects of Truncating the Angle Count Sampling Method on the Austrian National Forest Inventory. Ann. For. Sci. 2020, 77, 16. [Google Scholar] [CrossRef]
- Guo, Z.; Fang, J.; Pan, Y.; Birdsey, R. Inventory-Based Estimates of Forest Biomass Carbon Stocks in China: A Comparison of Three Methods. For. Ecol. Manag. 2010, 259, 1225–1231. [Google Scholar] [CrossRef]
- Takagi, K.; Yone, Y.; Takahashi, H.; Sakai, R.; Hojyo, H.; Kamiura, T.; Nomura, M.; Liang, N.; Fukazawa, T.; Miya, H.; et al. Forest Biomass and Volume Estimation Using Airborne LiDAR in a Cool-Temperate Forest of Northern Hokkaido, Japan. Ecol. Inform. 2015, 26, 54–60. [Google Scholar] [CrossRef]
- Kotivuori, E.; Maltamo, M.; Korhonen, L.; Strunk, J.L.; Packalen, P. Prediction Error Aggregation Behaviour for Remote Sensing Augmented Forest Inventory Approaches. For. An. Int. J. For. Res. 2021, 94, 576–587. [Google Scholar] [CrossRef]
- Paudel, P.; Mandal, R.A. Comparing Growing Stock Using Circular, Square and Rectangular Plots Shape in Inventory (A Study from Community Forests in Chitwan District, Nepal). M Sc Project View Project Growing Stock and Regeneration Status Assessment in Thinned and Un-Thinned Stands. Open Access J. Environ. Soil Sci. 2019, 4, 448–454. [Google Scholar] [CrossRef]
- Flores-de-Santiago, F.; Flores-Verdugo, F. A Comparison of Forest Structural Methods of Semiarid Mangrove Species Using a Field-Based Approach. Cienc. Mar. 2024, 50, 1–7. [Google Scholar] [CrossRef]
- Kangas, A.; Maltamo, M. Forest Inventory: Methodology and Applications; Springer Science & Business Media: Dordrecht, The Netherlands, 2006; ISBN 978-1-4020-4379-6. [Google Scholar]
- Kershaw, J.A.; Ducey, M.J.; Beers, T.W.; Husch, B. Forest Mensuration; Wiley: Hoboken, NJ, USA, 2016; ISBN 9781118902035. [Google Scholar]
- White, J.C.; Coops, N.C.; Wulder, M.A.; Vastaranta, M.; Hilker, T.; Tompalski, P. Remote Sensing Technologies for Enhancing Forest Inventories: A Review. Can. J. Remote Sens. 2016, 42, 619–641. [Google Scholar] [CrossRef]
- Wulder, M.A.; White, J.C.; Nelson, R.F.; Næsset, E.; Ørka, H.O.; Coops, N.C.; Hilker, T.; Bater, C.W.; Gobakken, T. Lidar Sampling for Large-Area Forest Characterization: A Review. Remote Sens. Environ. 2012, 121, 196–209. [Google Scholar] [CrossRef]









| Allometric Model | Species | Source |
|---|---|---|
| Abies religiosa | [30] | |
| Pinus montezumae | [31] | |
| Quercus sp. | [32] | |
| Arbutus xalapensis and Alnus firmifolia | [33] |
| Criteria | Definition |
|---|---|
| Akaike Information Criterion (AIC) | AIC is a measure of the relative quality of a statistical model for a given set of data. AIC helps in comparing multiple models, selecting the one that minimises information loss. A lower AIC value indicates a better model. |
| Finite Sample Corrected Akaike Information Criterion (AICc) | AICc is a modified version of AIC, adjusted for small sample sizes. It corrects the bias that arises when the number of parameters is close to the sample size. |
| Schwarz’s Bayesian Information Criterion (BIC) | BIC is similar to AIC but introduces a stronger penalty for models with more parameters, making it more conservative. |
| Kolmogorov–Smirnov (KS) Test | The KS test is a non-parametric test used to compare a sample with a reference probability distribution, or to compare two samples. It measures the largest difference between the empirical distribution function of the sample and the cumulative distribution function of the reference. |
| Anderson–Darling (AD) Test | The AD test is used to check if a sample comes from a specific distribution. It gives more weight to the tails compared to the KS test, making it more sensitive to deviations in these areas. |
| Cramer–von Mises (CvM) Test | The CyM test determines if a sample comes from a specified distribution. It is based on the integrated squared difference between the empirical and the theoretical cumulative distribution functions. |
| Sampling Unit Type | Variable | Mean | Standard Deviation | Minimum | Maximum |
|---|---|---|---|---|---|
| Circular | DE | 15.33 | 9.47 | 2 | 42 |
| Circular | BA | 1.19 | 0.66 | 0.15 | 3.19 |
| Circular | AGB | 9976 | 5813 | 434.72 | 27,854 |
| Square | DE | 15.17 | 9.82 | 1 | 41 |
| Square | BA | 1.15 | 0.67 | 0.15 | 3.19 |
| Square | AGB | 9509 | 5798 | 434.72 | 26,772 |
| SSU/Variable | Circular | Circular | Circular | Square | Square | Square | |
|---|---|---|---|---|---|---|---|
| DE | BA | AGB | DE | BA | AGB | ||
| Circular | DE | 1.000 | 0.3866 (0.0023) | 0.2617 (0.0434) | 0.9961 (<0.0001) | 0.4246 (0.0007) | 0.3141 (0.0145) |
| Circular | BA | 0.3866 (0.0023) | 1.000 | 0.8584 (<0.0001) | 0.3904 (0.0020) | 0.9875 (<0.001) | 0.8754 (<0.0001) |
| Circular | AGB | 0.2617 (0.0434) | 0.8584 (<0.0001) | 1.000 | 0.2510 (0.0530) | 0.8199 (<0.0001) | 0.9811 (<0.0001) |
| Square | DE | 0.9961 (<0.0001) | 0.3904 (0.0020) | 0.2510 (0.0530) | 1.000 | 0.4383 (0.0005) | 0.3148 (0.0143) |
| Square | BA | 0.4246 (0.0007) | 0.9875 (<0.0001) | 0.8199 (<0.0001) | 0.4383 (0.0005) | 1.000 | 0.8650 (<0.0001) |
| Square | AGB | 0.3141 (0.0145) | 0.8754 (<0.0001) | 0.9811 (<0.0001) | 0.3148 (0.0143) | 0.8650 (<0.0001) | 1.000 |
| Variable | Distribution | AIC | AICC | BIC | KS | AD | CvM |
|---|---|---|---|---|---|---|---|
| Density | Weibull | 860.25 * | 860.34 * | 865.82 * | 1.13 * | 2.40 * | 0.24 |
| Gamma | 861.53 | 861.64 | 867.11 | 1.31 | 2.44 | 0.23 * | |
| Burr | 862.25 | 862.45 | 870.61 | 1.13 | 2.40 | 0.24 | |
| Basal area | Gamma | 211.15 * | 211.25 * | 216.73 * | 0.97 | 0.79 | 0.15 |
| Burr | 212.71 | 212.92 | 221.07 | 0.72 | 0.44 * | 0.07 | |
| Lognormal | 213.05 | 213.15 | 218.63 | 0.64 * | 0.53 | 0.07 * | |
| Aboveground biomass | Gamma | 2393 * | 2393 * | 2399 * | 1.27 * | 1.23 * | 0.21 * |
| Burr | 2396 | 2396 | 2402 | 1.31 | 1.29 | 0.23 | |
| Weibull | 2396 | 2396 | 2404 | 1.42 | 1.68 | 0.30 |
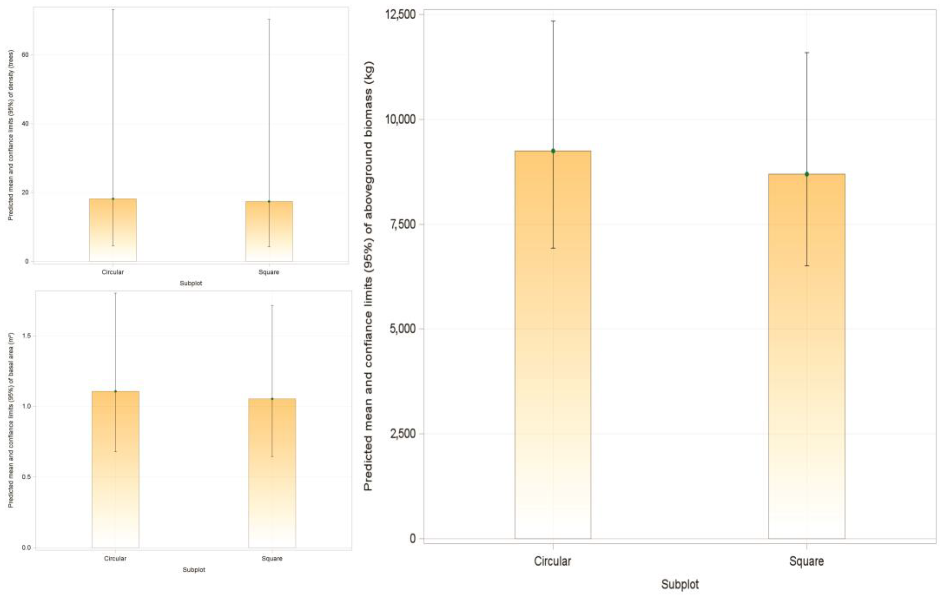
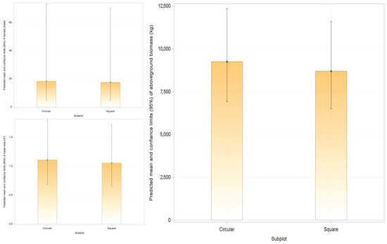
| SSU Type | Variable | Mean | Standard Error | Lower Limit | Upper Limit |
|---|---|---|---|---|---|
| Circular | DE | 18.16 | 12.86 | 4.51 | 73.17 |
| Circular | BA | 1.11 | 0.27 | 0.68 | 1.81 |
| Circular | AGB | 9250.07 | 1355.56 | 6932.97 | 12,342.00 |
| Square | DE | 17.44 | 12.35 | 4.33 | 70.28 |
| Square | BA | 1.05 | 0.26 | 0.65 | 1.72 |
| Square | AGB | 8689.63 | 1273.53 | 6512.92 | 11,594.00 |
| SSU | Variable | SSU | Variable | Estimation | Standard Error | t-Value | p-Value | Lower Limit | Upper Limit |
|---|---|---|---|---|---|---|---|---|---|
| Circular | BA | Circular | AGB | −9.0314 | 0.2879 | −31.37 | <0.0001 | −9.8570 | −8.2058 |
| Circular | BA | Circular | DE | −2.7982 | 0.7504 | −3.73 | 0.0031 | −4.9500 | −0.6465 |
| Circular | BA | Square | BA | 0.0490 | 0.0551 | 0.89 | 0.9489 * | −0.1091 | 0.2072 |
| Circular | BA | Square | AGB | −8.9689 | 0.2879 | −31.15 | <0.0001 | −9.7945 | −8.1433 |
| Circular | BA | Square | DE | −2.7579 | 0.7504 | −3.68 | 0.0038 | −4.9097 | −0.6062 |
| Circular | AGB | Circular | DE | 6.2332 | 0.7233 | 8.62 | <0.0001 | 4.1592 | 8.3072 |
| Circular | AGB | Square | BA | 9.0804 | 0.2879 | 31.54 | <0.0001 | 8.2548 | 9.9060 |
| Circular | AGB | Square | AGB | 0.0625 | 0.0693 | 0.90 | 0.9457 * | −0.1361 | 0.2611 |
| Circular | AGB | Square | DE | 6.2735 | 0.7233 | 8.67 | <0.0001 | 4.1995 | 8.3475 |
| Circular | DE | Square | BA | 2.8473 | 0.7504 | 3.79 | 0.0024 | 0.6956 | 4.9990 |
| Circular | DE | Square | AGB | −6.1707 | 0.7233 | −8.53 | <0.0001 | −8.2447 | −4.0967 |
| Circular | DE | Square | DE | 0.0403 | 0.0658 | 0.61 | 0.9901 * | −0.1483 | 0.2289 |
| Square | BA | Square | AGB | −9.0179 | 0.2879 | −31.32 | <0.0001 | −9.8435 | −8.1923 |
| Square | BA | Square | DE | −2.8070 | 0.7504 | −3.74 | 0.0030 | −4.9587 | −0.6553 |
| Square | AGB | Square | DE | 6.2110 | 0.7233 | 8.59 | <0.0001 | 4.1369 | 8.2850 |
Disclaimer/Publisher’s Note: The statements, opinions and data contained in all publications are solely those of the individual author(s) and contributor(s) and not of MDPI and/or the editor(s). MDPI and/or the editor(s) disclaim responsibility for any injury to people or property resulting from any ideas, methods, instructions or products referred to in the content. |
© 2024 by the authors. Licensee MDPI, Basel, Switzerland. This article is an open access article distributed under the terms and conditions of the Creative Commons Attribution (CC BY) license (https://creativecommons.org/licenses/by/4.0/).
Share and Cite
Velasco-Bautista, E.; Gonzalez-Hernandez, A.; Romero-Sanchez, M.E.; Guerra-De La Cruz, V.; Perez-Miranda, R. Does It Matter Whether to Use Circular or Square Plots in Forest Inventories? A Multivariate Comparison. Forests 2024, 15, 1847. https://doi.org/10.3390/f15111847
Velasco-Bautista E, Gonzalez-Hernandez A, Romero-Sanchez ME, Guerra-De La Cruz V, Perez-Miranda R. Does It Matter Whether to Use Circular or Square Plots in Forest Inventories? A Multivariate Comparison. Forests. 2024; 15(11):1847. https://doi.org/10.3390/f15111847
Chicago/Turabian StyleVelasco-Bautista, Efrain, Antonio Gonzalez-Hernandez, Martin Enrique Romero-Sanchez, Vidal Guerra-De La Cruz, and Ramiro Perez-Miranda. 2024. "Does It Matter Whether to Use Circular or Square Plots in Forest Inventories? A Multivariate Comparison" Forests 15, no. 11: 1847. https://doi.org/10.3390/f15111847
APA StyleVelasco-Bautista, E., Gonzalez-Hernandez, A., Romero-Sanchez, M. E., Guerra-De La Cruz, V., & Perez-Miranda, R. (2024). Does It Matter Whether to Use Circular or Square Plots in Forest Inventories? A Multivariate Comparison. Forests, 15(11), 1847. https://doi.org/10.3390/f15111847

