Next Article in Journal
Nature-Based Solution for Climate Change Adaptation: Coastal Habitats Restoration in Xiamen Bay, China
Previous Article in Journal
Surface Treatment of Oak Wood with Silica Dioxide Nanoparticles and Paraloid B72
 
 
Font Type:
Arial Georgia Verdana
Font Size:
Aa Aa Aa
Line Spacing:
Column Width:
Background:
Article

Cold Tolerance Assay Reveals Evidence of Climate Adaptation Among American Elm (Ulmus americana L.) Genotypes

by
John R. Butnor
1,*,
Cornelia Pinchot Wilson
2,
Melike Bakır
3,
Anthony W. D’Amato
4,
Charles E. Flower
2,
Christopher F. Hansen
4,
Stephen R. Keller
5,
Kathleen S. Knight
2 and
Paula F. Murakami
1
1
USDA Forest Service, Northern Research Station, 81 Carrigan Drive, Burlington, VT 05405, USA
2
USDA Forest Service, Northern Research Station, 359 Main Rd., Delaware, OH 43015, USA
3
Department of Agricultural Biotechnology, Faculty of Agriculture, Erciyes University, Kayseri 38030, Türkiye
4
Rubenstein School of Environment and Natural Resources, University of Vermont, Burlington, VT 05405, USA
5
Department of Plant Biology, College of Agriculture and Life Sciences, University of Vermont, Burlington, VT 05405, USA
*
Author to whom correspondence should be addressed.
Forests 2024, 15(11), 1843; https://doi.org/10.3390/f15111843
Submission received: 18 September 2024 / Revised: 9 October 2024 / Accepted: 17 October 2024 / Published: 22 October 2024
(This article belongs to the Section Forest Ecophysiology and Biology)

Abstract

The American elm (Ulmus americana L.), once a dominant species in North American floodplain forests, has suffered significant population declines due to Dutch elm disease (DED). Despite this, some elms persist, potentially exhibiting disease resistance and climate-adaptive traits that could facilitate restoration. Understanding these traits is crucial for selecting genotypes suited to current and future climatic conditions, particularly in colder regions. This study evaluated the mid-winter cold tolerance of American elm genotypes across a climatic gradient to ascertain evidence of local climate adaptation. We used relative electrolyte leakage (REL) to assess mid-winter cold tolerance of current-year shoots on eleven survivor genotypes from New England and one susceptible, control genotype from Ohio. The lethal temperature, at which 50% of cellular leakage occurs (LT50), was determined and compared with 30-year climate data to identify potential climate adaptation. Genotypes from colder regions exhibited greater cold hardiness, indicating local adaptation to climate. Observed mid-winter LT50 values (−42.8 °C to −37.7 °C) were in excess of the 30-year minimum air temperature, even at the coldest source location. This calls into question whether mid-winter cold tolerance is the critical period for injury to American elm and more attention should be given to environmental conditions that cause de-acclimation to cold. By understanding the adaptive capacity of American elm, managers can better select mother trees for regional seed orchards, ensuring the long-term success of restoration initiatives.

1. Introduction

American elm (Ulmus americana L.) historically occupied the rich, fertile soils of floodplain forests of the northeastern and prairie regions of North America. Once a codominant canopy tree, and in some forests even a dominant one, American elm’s physical size and distribution along waterways has been significantly reduced by Dutch elm disease (DED)—a vascular wilt disease caused by Ophiostoma ulmi and O. novo-ulmi fungi [1] and vectored by several species of bark beetles. DED was first discovered in the United States at two separate locations in Ohio in 1930, followed by reports in New Jersey and other states in successive years, and was eventually traced to importation of infested elm logs from Europe. In the United States, American elm is widely susceptible to DED, resulting in the loss of millions of trees in the decades following the introduction of the pathogen. This change in forest structure has led to a shift in floodplain forest composition, further impacting local food webs and other ecosystem processes [2].
Despite the prevalence of DED, American elm persists throughout its historical range in eastern North America from North Dakota, across the upper Midwest to northern New England and the Canadian Maritimes, south to northern Florida, and across the Gulf Coast to eastern Texas [3]. Rare American elms with resistance to DED have been identified and used for both breeding and horticultural plantings [4]. The wide distribution of American elm lends itself to the evolution of climate adaptative traits that locally adapt populations to different environments associated with extreme fluctuations in temperature (freeze events and heat stress) and moisture (flooding, drought) [5].
For elm restoration efforts to be successful, careful attention to climate suitability is critical, especially in cold regions at the northern limit of the species’ range. American elm flowers in the early spring and is susceptible to freeze injury of flowers and ripening seed during exceptional cold periods [3]. Winter injury of American elm shoots leading to dieback visible during the growing season has been reported as early as 1912 [6]. Widespread winter injury of shoots has been observed in northern New England at large progeny tests of American elm crosses in Lemington, Vermont following the 2016–2017 winter [7] and Benson, Vermont following the 2021–2022 winter (John Butnor, observed). The extreme minimum temperature recorded during the winter of observed injury was −30.8 °C in Lemington and −27.1 °C in Benson. Repeated episodes of winter shoot injury that ultimately impairs production of vegetative and reproductive tissues could limit the success of species restoration in northern New England. This highlights the importance of selecting planting stock for restoration that is currently adapted to the local conditions as well as robust to predicted future conditions. Preliminary evidence demonstrated that crossing known DED-resistant American elm genotypes (‘Valley Forge’ and ‘R18-2’) with pollen from colder plant hardiness zones resulted in significantly greater mid-winter cold hardiness, as assessed with relative electrolyte leakage methods [7], suggesting climate adaptation could be successfully integrated into breeding programs to meet restoration needs.
Large American elm trees that persist in the environment without preventative treatments of fungicide are commonly referred to as “survivor trees” and are thought to have some putative resistance to development of DED. It is likely that at least some of these survivor trees have protective, heritable characteristics that protect against DED rather than escaping infection by chance alone [8,9]. The US Forest Service, Northern Research Station (NRS), in collaboration with many federal, state, university, and non-profit partners, leads the NRS American Elm Breeding and Restoration Partnership with the primary objectives of developing improved methods for phenotyping DED resistance in these survivor American elms to guide the establishment of regional genetically diverse American elm seed orchards. Clonally propagated survivor elms and progeny are grown in experimental plantings and inoculated with DED to test disease resistance heritability. This allows the program to identify survivor elms that have good disease resistance and are quality parents likely to produce vigorous offspring with acceptable resistance. Identified trees from a climatic region can then be planted together in seed orchards [10], and the seeds produced from natural crossing among the trees can be used to grow trees for restoration plantings either in the same region or in projected suitable habitats. This approach favors climate suitability, gene diversity, and evolvability over absolute disease resistance. Understanding the adaptive capacity of the species will allow managers to better select mother trees for regional seed orchards and can inform the development of seed transfer zones for American elm.
The purpose of this study is to evaluate whether American elm trees are cold-adapted to the climate conditions where they originate, and if that manifests in differences in shoot cold tolerance. Understanding this relationship will help inform recommendations for how far north it is possible to move trees without risking tree mortality due to maladaptation to cold temperatures. Considering that the genetics of both DED resistance and climate suitability are complex and not well understood, we decided to focus evaluations of mid-winter cold tolerance on cloned genotypes rather than crosses that may have greater variation in traits due to sexual reproduction. We assayed cold tolerance of eleven survivor genotypes from a climate gradient in New England and one genotype from Ohio growing in a common planting, with known geographic source coordinates. To assess cold tolerance, we used the relative electrolyte leakage (REL) methodology [11,12]. The temperature where electrolyte leakage is 50% of total leakage and cellular repair is unlikely (LT50) was compared with modeled 30-year climate data to look for evidence of climate adaptation. Additional DED-tolerant genotypes that have been incorporated into recent elm breeding programs, but have unverified, ambiguous, or unknown geographic provenance [13], were also examined to give some context to their climate suitability.

2. Methods

2.1. Selected Genotypes, Clonal Propagation and Field Sites

This study made use of trees in two experimental plantings. A resistance trial planting in Ohio (Westerville, OH, USA, 40.1163, −82.8338), established by NRS American Elm Breeding and Restoration Partnership, contained clonally propagated survivor elms from New England as well as clonally propagated commercially available elms that serve as resistant controls. Inoculation of this planting with DED is planned for 2025. A planting in Vermont (South Burlington, VT, USA, 44.4287, −73.2046), established as part of the National Elm Trial [14], included clonally propagated commercially available elms to test performance in different locations across the country.
During the spring of 2016, branches from 21 large surviving American elms located across a climate continuum in New England states (plant hardiness zones 5a through 6b) were collected and shipped to the NRS lab in Delaware, OH, USA. A scion from a presumed DED-susceptible American elm genotype with a confirmed source location from Ohio was also collected. Trees were propagated by grafting followed by softwood cuttings, and trees were planted between October 2018 and November 2022 in two resistance trial sites in central OH.
A total of 11 genotypes of the 21 American elm survivor trees as well as the local DED-susceptible control represented in the Westerville, Ohio resistance trial site were selected for mid-winter cold tolerance assay in January 2023. USDA plant hardiness zones offer broad categorical information on minimum air temperatures that affect plant survival but lack the spatial resolution to capture differences related to fine-scale topography as well as extreme events that can cause extensive plant injury. Using products such as ClimateNA [15], geographic coordinates and altitude can be entered to obtain an array of quantitative climate variables. The present study examined genotypes from a range of latitudes between 40.4° and 44.6° North, creating a climate gradient. Using geographic coordinates of survivor elm locations, we calculated 30-year mean annual temperature (MAT) ranging from 5.7° to 10.8 °C and extreme minimum temperature (EMT) ranging from −35.9° to −27.7 °C along this north-to-south gradient (Table 1 and Figure 1) [15].
Additional DED-resistant genotypes that are commercially available and commonly included in resistance trials as resistant control trees, but have imprecise, unverified, ambiguous, or unknown geographic provenance, were also analyzed during the same measurement period. Five genotypes were selected for cold tolerance assay in Westerville, OH, and five genotypes were selected at the National Elm Trial installation at the University of Vermont, Horticulture Research and Education Center in South Burlington, Vermont (Table 2) [14]. Genotypes ‘Princeton’ and ‘Valley Forge’ were replicated in both Ohio and Vermont and provide an opportunity for comparing mid-winter cold hardiness between sites with different climatic conditions. The Ohio genotypes were propagated by the USFS NRS [9] and the genotypes in Vermont were procured from commercial suppliers and planted in 2005 [14]. Source location and related climate data for these genotypes are speculative based on commentary in the literature (Table 2). The source locations of ‘New Harmony’ and ‘Prairie Expedition™’ seem to have a high degree of certainty [13,16,17]. ‘Jefferson’ was described as a triploid hybrid American elm collected from the National Mall in Washington, DC, USA, though its origin is believed to be from Connecticut [18]. All other commercially available genotypes used in this study are known to be tetraploid [13]. Using amplified fragment length polymorphism (AFLP) markers, ‘Jefferson’ associated closely with pure American elm accessions and was confirmed to be an American elm [19].

2.2. Tissue Collection and Cold Tolerance Assay

One to four trees from each genotype included in the study were sampled at each site. On 23 January 2023, 3 current-year shoots, each 20 to 30 cm long and 2 to 4 mm in diameter, were collected from the mid to upper canopy of trees in both Ohio (n = 47 trees) and Vermont (n = 19 trees) (Table 1 and Table 2). The Ohio samples were placed in plastic bags, packed in a cooler with ice packs, and shipped overnight to the USDA Forest Service, NRS Laboratory in South Burlington, VT, USA, while the Vermont samples were placed in plastic bags and stored under refrigeration at the same NRS Laboratory.
The relative electrolyte leakage tissue preparation and assay follows the same conceptual course reported by prior efforts at the NRS laboratory in Burlington, VT, USA, where elm shoots are exposed to a series of increasingly colder temperatures in a programable freezer, and samples are removed in a stepwise manner [11,12]. The current protocol has several workflow and equipment updates that necessitate a full description of the methods. The entire laboratory protocol requires four days to complete, and the procedures are described here by day:
Day 1. Tissue was kept under refrigeration until processing. Shoots from one tree were washed in 0.01% Tween®20 non-ionic detergent (Sigma-Aldrich, St. Louis, MO, USA) diluted in deionized (DI) water, rinsed in DI water, and patted dry with paper towels. Current-year shoots were cut into 3–4 mm segments with a sharp razor blade and placed in a clean plastic weighing boat. The experiment utilized 11 exposure temperatures (+4°, −10°, −20°, −25°, −30°, −35°, −40°, −50°, −60°, −70°, −80 °C). Deep well plates (48 wells × 3.5 mL) were labeled to have three methodological replicates for each tree at every temperature (66 trees × 11 temperatures × 3 replicates = 2178 wells). The plates were kept on crushed ice in trays until they were filled with 2–3 shoot segments from each tree. Plates were subsequently sealed with adhesive foil and placed in a refrigerator (+4 test temperature only) or a programable environmental chamber (all other test temperatures) that can be used for heating or cooling (model BTZ-475, Espec Corp., Hudsonville, MI, USA). This chamber was pre-cooled to 4 °C for stepwise freezing beginning in the early morning of Day 2.
Day 2. The initial temperature ramp from +4 °C to −10 °C began at 4:00 am at a rate of −6 °C per hour; upon achieving the target temperature (−10 °C), soaking was performed for 45 min. At the end of the soak interval, all well plates labeled −10 °C were moved to a refrigerator (4 °C) and the process continued for the other temperatures using the same ramp rate and soak time. The programmable chamber was rated to a minimum temperature of −70 °C, when the ramp from −60 to −70 °C began, and the −80 °C plates were placed in an adjacent ultra-freezer. From the initial ramp down to completion, the entire environmental chamber profile required ~17 h to run.
Day 3. Beginning at 8:15 am, all plates were removed from the refrigerator and 2.5 mL of the 0.01% Tween® solution was pipetted into each well and resealed with adhesive aluminum film. The plates were placed in a cabinet shaker for 1 h to aid hydration and left at room temperature until 12:15 am, at which time the shaker was programmed to turn on for an additional 8 h.
Day 4. At 8:15 am, the plates were removed from the shaker cabinet, and the adhesive films were removed. Initial conductivity was measured using a custom-built analyzer capable of simultaneously measuring 2 plates (96 wells) in a few seconds. The custom analyzer comprised a conductivity bridge handset fitted with 96 paired stainless-steel electrodes, precisely aligned to fit into the wells (Figure 2), and was multiplexed to a datalogger to sequentially measure electrical conductivity with a half-bridge circuit. The plates were resealed with adhesive aluminum film and covered with a second layer of high-temperature aluminum HVAC tape. Using the environmental chamber in heating mode, the plates were exposed to 95 °C and held there for 2.5 h to cause extensive electrolyte leakage. The electrical conductivity of water is highly dependent on temperature and needs to be measured at a constant temperature, in this case, room temperature. With specific times dependent on the number of plates, the chamber was cooled to 3 °C for ~1 h and then run at 24 °C for an additional 1 to 2 h until the plates achieved a constant temperature. The plates were removed from the chamber, and placed in the shaker cabinet for 1 h, and final conductivity was measured with the multi-electrode system.

2.3. Weather Data

Weather data were accessed for West Campus, OH (21 km from Westerville, OH, USA) and South Burlington, VT via the Network for Environment and Weather Applications (NEWA) on 1 May 2024, https://www.newa.cornell.edu/.

2.4. Data Processing

Relative electrolyte leakage was calculated as the percent cellular leakage at each temperature interval relative to maximum leakage caused by exposure to heat. Similar to prior work [11,12], the data are plotted with temperature intervals on the x-axis and relative electrolyte leakage (%) on the y-axis. For each individual tree, three replicates were sampled at each temperature, and electrolyte leakage was calculated using the mean values. This methodological replication is needed to constrain variation in tissue samples related to shoot diameter, pre-existing damage, the difference between branches, and leakage due to sectioning. The results were fitted to a logistic equation (Equation (1)) using the Dose–Response Curve package (DRC) [22,23] in R [24]. Key model parameters utilized in DRC included the inflection point, which represents the lethal temperature where 50% of cellular leakage has occurred (LT50), minimum leakage percent (YMIN), and maximum leakage percent (YMAX). Parameters were fit using the logistic model of Kovaleski and Grossman [23],
y = Y M I N + Y M A X Y M I N ( 1 + e x p k log T log L T 50 )
where y is the predicted percent relative electrolyte leakage (REL), YMIN is minimum REL (%), YMAX (%) is maximum REL, k is the slope, T is test temperature (°C), and LT50 (°C) is the inflection point where 50% of REL has occurred.

2.5. Statistical Analysis

All statistical analyses were performed using R software [24]. Linear regression analysis was performed to describe the relationship between shoot cold tolerance predictions and climate statistics from the genotype’s origin. Due to the relatively small sample size and differences in sample size between groups, non-parametric statistics were used to evaluate differences between groups. When comparing two groups, the Mann–Whitney test was applied, and simultaneous tests of 3 or more groups were accomplished with the Kruskal–Wallis rank sum test.

3. Results

3.1. Cold Tolerance of Genotypes with Known Source Location Propagated by NRS in Delaware, Ohio

American elm shoot cold tolerance was readily assessed with REL methodology. The response of shoot electrolyte leakage to increasingly cold temperature exposures was modeled with Equation (1). Well-fitted REL curves were characterized by a smooth transition from minimum leakage YMIN and YMAX, allowing for ready determination of the LT50 inflection point (Figure 3). It was common to see differences in absolute values between YMIN and YMAX between genotypes or between individuals of the same genotype. For example, genotypes 34 and 44 have similar YMIN values, though genotype 34 exhibits greater leakage at colder temperatures and has an LT50 value of almost 7 °C lower, indicating greater cold tolerance.
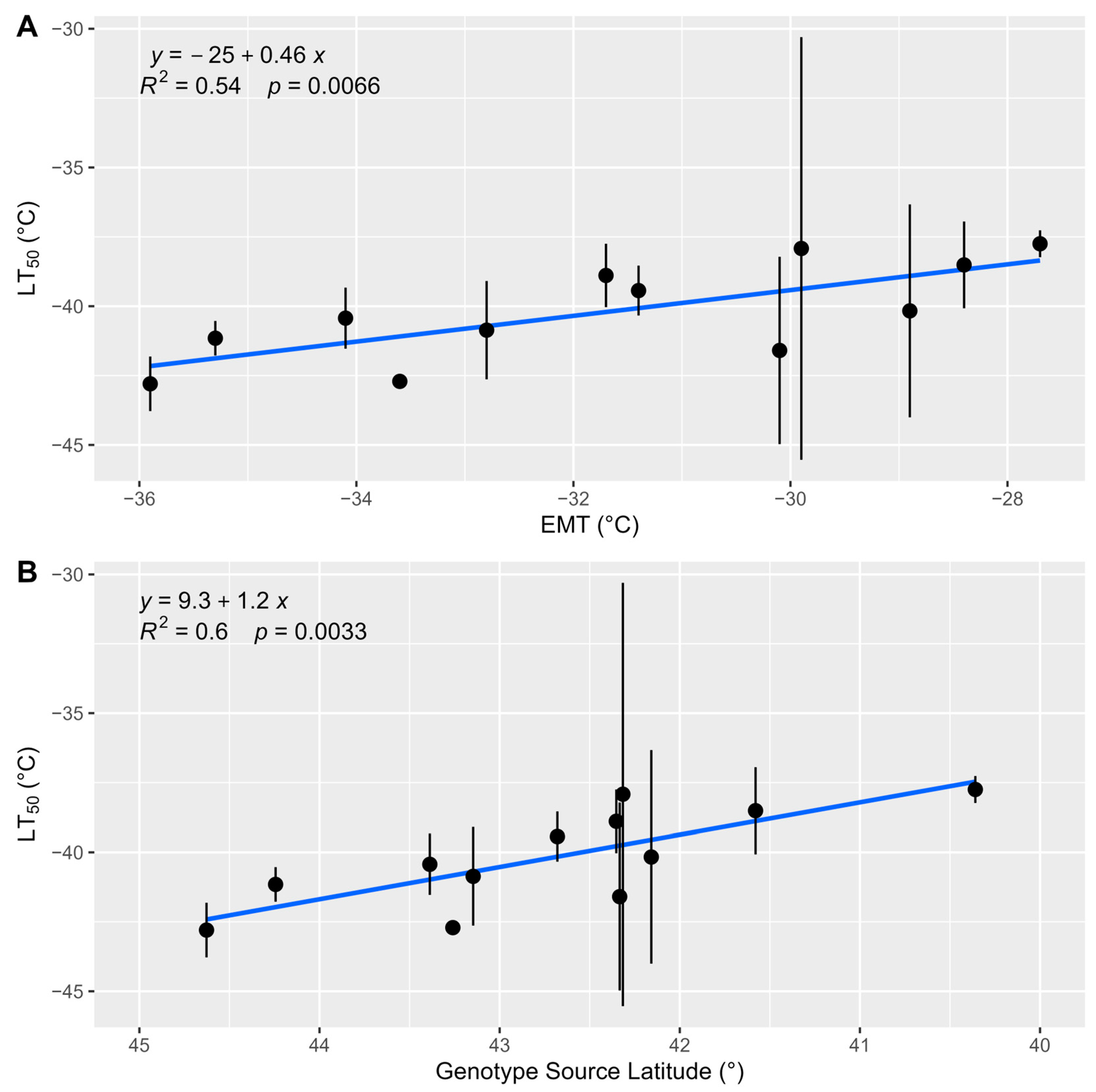
Using the DRC package, LT50 was calculated for each tree with a known source location, and the mean value (±s.e.) for each genotype (−42.8 °C to −37.7 °C) was plotted against climate-variable EMT and source latitude (Figure 4). Source EMT explained 55% of the variation in mean LT50 in the 12 genotypes collected in 2016 and grown in Westerville, OH (Figure 4A). Genotypes from colder regions exhibited lower (i.e., more cold tolerant) LT50 values when grown in a common garden, indicating genetic variation in susceptibility to mid-winter freezing injury that reflects the gradient in source climate. While EMT modeled with ClimateNA is a derivative of latitude, longitude, and elevation, latitude alone actually accounted for more variation in LT50 (Figure 4B). For all genotypes, the LT50 value was lower than the EMT of their place of origin (Figure 1 and Figure 3; Table 1), with a mean difference of −8.5 °C. The relatively small sample size did not permit significant mean separation between individual genotypes growing in Westerville, OH (Kruskal–Wallace test, χ2 = 9.533, df = 11, p = 0.58); the range and relative variability of LT50 among genotypes is illustrated in Figure 5. A Mann–Whitney rank sum test between genotypes with the highest (CON) and lowest (G59) LT50 values (Figure 5) approached significance (W = 9, p = 0.08), but was similarly constrained by the small sample size.

3.2. Cold Tolerance of Commercially Available Genotypes with Unverified Source Location

American elm genotypes with unverified source locations were grown in both Westerville, Ohio (11.2 °C MAT, −27.1 °C EMT) and South Burlington, Vermont (7.5 °C MAT, −32.6 °C EMT). Mean genotype LT50 ranged from −40.7 °C to −35.4 °C (Figure 6), though the small sample size and incomplete replication between sites (Table 2) did not permit analysis of variance or mean analysis separation among individual genotypes across the entire data set. Only genotypes ‘Princeton’ and ‘Valley Forge’ were assessed at both sites and could be directly compared for site and genotype effects on LT50 (individually) with the Mann–Whitney rank-sum test. There was a significant difference between genotypes: W = 36, p-value = 0.038; Princeton ( X - = −36.4 °C), Valley Forge ( X - = 40.1 °C) and no difference between sites: W = 19, p-value = 0.83; VT ( X - = −38.0 °C), OH ( X - = −38.2 °C), (Figure 7). While acknowledging that it would be useful to have more than two genotypes for comparison, the lack of difference in LT50 between VT and OH is instructive considering the difference in air temperature between sites prior to the cold tolerance assay (Figure 8). Ohio had the lowest minimum temperature in the two months prior, but shorter-term low temperatures as well as averages indicate the temperatures in Vermont were colder. For genotypes ‘Princeton’ and ‘Valley Forge’, it appears that differences in air temperature between the Ohio and Vermont plantings in the weeks and months leading up to the mid-winter assay (Table 3 and Figure 8) did not result in variations in cold tolerance as gauged with LT50 measures (Figure 5 and Figure 7).
We used the fitted linear model that described the relationship between mid-winter LT50 and climate-variable EMT from genotypes with known source locations (Figure 4A) and solved for x to calculate a predicted EMT (EMTP) for genotypes with unverified or unknown source location (Equation (2)). To evaluate the accuracy of the EMTLIT (Table 2), we plotted EMTP on the x-axis and EMTLIT on the y-axis and examined where genotypes with uncertain source locations were in relation to the 1:1 line (Figure 9). ‘Princeton’ (OH and VT), ‘New Harmony’ (VT), ‘Jefferson’ (VT), and ‘Valley Forge’ (OH and VT) were proximal to the 1:1 line, indicating EMTLIT and EMTP were in agreement, though ‘Prairie Expedition™’ and ‘Delaware’ deviated notably.
E M T P = L T 50 + 25 0.46

4. Discussion

Cold acclimation is not an instantaneous change, but a gradual, biochemical process that occurs over time as temperatures and photoperiod decrease [25]. Here, we demonstrate that American elm genotypes exhibit genotypic variation in cold tolerance that is predictable by source climate, consistent with local adaptation to mid-winter cold. This parallels prior cold tolerance findings with American elm crosses made with pollen from different cold hardiness zones, despite the potential for additional variation introduced by recombination with sexual reproduction [7]. It has been widely observed that species with both narrow and broad distributions exhibit local adaptation to climate, characterized by populations evolving trait values in response to natural selection that maximize survival and reproduction in their specific local environment [26,27]. This phenomenon is the basis for many seed-sourcing recommendations based on geography and anticipated climate change rather than knowledge of specific traits or multiple interrelated traits [28,29].
The seasonality of cold tolerance is dependent on genetics, phenology, and exposure to acclimating or de-acclimating ambient temperatures [30]. Acclimation in forest trees is usually a slow process initiated by photoperiod and cooler temperatures before the occurrence of freezing conditions [25]. It is instructive that Princeton and Valley Forge, the only cultivars planted in Ohio and Vermont, showed no difference in LT50 between sites. This is notable given the large climate disparities between the locations (MAT difference of 4.7 °C and EMT difference of 5.5 °C) and the variation in air temperatures preceding the assay (Figure 8 and Table 3). However, there was a significant difference in LT50 between the two genotypes. The lack of influence of site suggests that the major driver of mid-winter cold tolerance is endogenous and not environmentally induced once the transition to fully hardened dormancy has been achieved. Once the minimum conditions for complete dormancy are reached, exposure to even colder temperatures does produce lower LT50 values. Simultaneous assay of additional genotypes in reciprocal plantings, along a climate gradient, is needed to better understand the universality of this phenomenon in American elm.
Laboratory-based assessments of plant cold tolerance are conservative by nature, e.g., predicted LT50 may be colder than what plant tissue can tolerate in the field under continuous environmental stress. In the laboratory, tissue is exposed to damaging temperatures for a short amount of time in the absence of wind, surface warming and freezing with sunlight, and rapid temperature fluctuations and may overstate the temperature threshold for damage. With that in mind, laboratory assessments are very useful for comparative analysis such as cold tolerance across a climate continuum or between specific genotypes. Our results indicate that there is genotypic variation in American elm cold tolerance that correlates with source climate, but caution is needed when directly extrapolating quantitative LT50 results to field conditions. It appears that there is risk associated with moving American elm genotypes too far north as part of seed orchard planning and future seed sourcing strategies. Extreme cold temperatures may reduce survival and growth and increase time to reproductive maturity in individuals from latitudes too far south. This complicates the challenge of deploying breeding stock ahead of anticipated climate predictions. More research to evaluate strategies to reduce the effects of maladaptation on long-term elm plantings is needed, e.g., alternative seed-sourcing approaches [10] and silvicultural treatments [31]. Increased canopy cover, for example, was associated with reduced winter dieback in a study evaluating planted American chestnuts under various silvicultural treatments [31].
Mid-winter cold tolerance is just one part of a suite of adaptations that trees use to avoid winter injury. Resources are withdrawn from leaves before they drop in the fall, biochemical acclimation protects them from injury in the mid-winter and the timing of de-acclimation, and spring phenology helps trees escape injury in the spring [25,32]. When buds flush in the spring, the emerging tissues have very little tolerance to freezing conditions [33]. Aside from direct injury to shoots and vegetative buds, damage to flower buds that break dormancy in the late winter or early spring could also be critical to the reproductive success of certain genotypes. This may be especially important for American elm, which flowers in the early spring.
Prior investigation of American elm found that differences in cold tolerance among geographic locations was most evident in mid-winter when tissue was in deep dormancy [7]. Therefore, we chose the mid-winter period as the focus for the current experiment. However, it is not clear whether the timing of spring de-acclimation to cold or absolute mid-winter cold hardiness is equally critical to avoiding injury. While acclimation to winter conditions is a long process preceding freezing conditions, de-acclimation can happen more rapidly during late winter and early spring thaws [25]. Both mid-winter and spring injuries do not become apparent in elm until leaf-out, when dieback is visible, obfuscating the nature of the injury. This could be addressed by using cold tolerance assays that are less time-consuming than REL, such as differential thermal analysis (DTA) [34], and could be conducted with greater frequency under field conditions. REL and differential thermal analysis (DTA) measure cold tolerance in different ways that are not interchangeable. DTA only works in species and tissues that are protected from freezing by supercooling and the temperature at which intracellular water freezes is detected [34,35]. American elm buds and shoots are able tosupercool, making DTA a viable approach to increase sample sizes and sampling frequency. Compared to requiring one week to measure 66 samples with REL in the present experiment, it could be run overnight in an automated chamber with DTA. Identification of critical periods for injury during de-acclimation can only be revealed by more frequent monitoring and may be more tenable with DTA.
Even with protocol improvements, REL is a labor-intensive assay that requires one day of field collection to obtain fresh tissue, immediately followed by four days of laboratory procedures. Raw data from REL are inherently variable and improved by using multiple methodological replicates from an individual tree and taking the average value. We tried to account for sources of variation by modeling genotype effects and only collecting visually undamaged current-year shoots, but differences in tree health, shoot morphology, shoot diameter, age, neighbor effects, and preexisting damage did exist. The trees from Delaware, Ohio had some variation in age, being planted over four years (2018–2022) due to propagation bottlenecks, and the trees in South Burlington, Vermont were planted between 2005 and 2007. In the present study, we assayed 66 individual trees × 11 test temperatures × 3 methodological replicates, requiring the preparation of 2178 individual tissue samples. Larger sample sizes and, if necessary, assaying fewer genotypes to achieve better replication are advisable for more robust statistical inference. Some genotypes, particularly G38, G44, and G45, exhibited more variation than others (Figure 5) and could be related to site suitability, genotype-specific differences in plasticity, and physiologic characteristics beyond cold tolerance.
In some plant species, polyploidy has been associated with enhanced tolerance of environmental stressors, including cold [36]. In the present study, only genotype ‘Jefferson’ was a known triploid, while the other commercial genotypes were tetraploids. There was no obvious trend in LT50, as Jefferson was near the mean of the group of tetraploids (Figure 6). The ploidy level of the 11 survivor trees from New England (Figure 1) was not tested but assumed to be tetraploid due to the prevalence of tetraploids in the northern United States [37] and the successful compatibility of these genotypes in crosses with known tetraploids in the US Forest Service breeding program.
The exercise of predicting the source EMTP and comparing it with EMTLIT showed that many of the DED-resistant genotypes with unverified sourcing were consistent with the climatic conditions from which they were reported to originate (Table 2 and Figure 9). Some notable exceptions were ‘Delaware’ and ‘Prairie Expedition™’. The process used to speculate the source EMT of ‘Delaware’ was very simplistic, taking 4 cardinal points in North Dakota, and taking the mean probably overestimated the source EMT. However, confidence was high that ‘Prairie Expedition™’ was sourced from Fargo, ND, USA [17], though it was not consistent with our LT50 results. Despite the extensive geographic range of American elm, many of the DED-resistant cultivars used today originated from northerly locations [13]. Why more southerly genotypes have not been incorporated into breeding programs is unclear, but based on our results, they would be predicted to have greater risk of injury if moved more than ~4° North of their source location.

5. Conclusions

This experiment demonstrated that American elm genotypes exhibit clonal trait variation consistent with local adaptation to climate as assessed under mid-winter conditions with laboratory cold tolerance methods. On a continuum of climate, genotypes that evolved in colder climates have greater tolerance to extreme minimum winter temperatures. This finding suggests that planting American elms too far north from their origin location may result in lower fitness due to maladaptation to current local temperatures.
Mid-winter cold tolerance of the New England genotypes (LT50) ranged from −42.8 °C to −37.7 °C, and all values were lower than the 30-year minimum air temperature at the coldest source location in northern Vermont. This calls into question whether mid-winter cold tolerance is the critical period for injury to American elm and attention should be given to environmental conditions that cause de-acclimation to cold and phenological adaptations such as early budbreak. American elms have evolved to survive seasonal temperature changes; however, rapid or extreme fluctuations in temperature may expose them to risk, especially with predicted climate instability.
This effort further defined the mid-winter cold hardiness of several widely deployed DED-resistant American elm genotypes to give additional perspective to their deployment. We also demonstrated (with two genotypes) that once mid-winter acclimation is complete and maximum cold tolerance is achieved, additional cooling does not yield more cold protection.

Author Contributions

Conceptualization, J.R.B. and C.P.W.; data curation, J.R.B.; data analysis, J.R.B.; investigation, J.R.B., C.P.W., M.B., C.F.H. and P.F.M.; methodology, J.R.B.; visualization, J.R.B. and P.F.M.; writing—original draft, J.R.B., C.P.W. and P.F.M.; writing—review and editing, J.R.B., C.P.W., M.B., A.W.D., C.E.F., C.F.H., S.R.K., K.S.K. and P.F.M. All authors have read and agreed to the published version of the manuscript.

Funding

This research was supported by the USDA Forest Service, Northern Research Station with additional material and financial support from The Nature Conservancy and the Manton Foundation.

Data Availability Statement

The data in this study are available online via Zenodo [38].

Acknowledgments

We thank Christian Marks and The Nature Conservancy for their role in identification of New England survivor elms and collection of scions. We appreciate the assistance of Kirsten Lehtoma and Mikayla Bailey who collected elm branch samples in OH, as well as Timothy Fox, Nancy Hayes-Plazolles, Allison Patrick, and Josh Wigal for their roles in the propagation, planting, and maintenance of the planted elms in Ohio. We thank the Columbus Metroparks for hosting the American elm resistance trial planting in Ohio. James Slavicek (retired NRS scientist) was involved in the conception and initiation of the resistance trial planting. Several teams of interns and term technicians have been involved in propagation, planting, and maintenance of the resistance trial plantings from Spring 2016 to January 2023: Anastasia Sipes, Suart Mattix, Breanne Held, Alice Vossbrinck, Robert Reed, Parker Jones, Alan Coburn, Spencer Calhoun, Ruby Stathers, Christina Boehm, Alex Fotis, Edlyn Jusino, Chris Voise, Emily Melnik, Sara Miller, Lillian Ostrander, Ben Phillips, Beth Tull, Grace Gutierrez, Gavin Nupp, and Maranda Jackson. We also thank Mark Starrett and Terrence Bradshaw for access to and information regarding the National Elm Trial planting located at the University of Vermont Horticulture Research and Education Center in South Burlington Vermont. Jake Kittell (retired) at the University of Vermont Instrumentation and Model Facility was key to fabricating the conductivity bridge handset used to measure relative electrolyte leakage.

Conflicts of Interest

The authors declare no conflicts of interest.

References

  1. Brasier, C.M. Ophiostoma novo-ulmi sp. nov., causative agent of current Dutch elm disease pandemics. Mycopathologia 1991, 115, 151–161. [Google Scholar] [CrossRef]
  2. Marks, C.O. The ecological role of American elm (Ulmus americana L.) in floodplain forests of northeastern North America. In Proceedings of the American Elm Restoration Workshop 2016; Cornelia, C.P., Knight, K.S., Haugen, L.M., Flower, C.E., Slavicek, J.M., Eds.; Gen. Tech. Rep. NRS-P-174; U.S. Department of Agriculture, Forest Service, Northern Research Station: Newtown Square, PA, USA, 2017; pp. 74–98. [Google Scholar]
  3. Bey, C.F. Ulmus americana L. American elm. In Silvics of North America. Agriculture Handbook 654; Burns, R.M., Honkala, B.H., Eds.; U.S. Department of Agriculture, Forest Service: Newtown Square, PA, USA, 1990; Volume 2, pp. 801–807. [Google Scholar]
  4. Townsend, A.; Bentz, S.; Douglass, L. Evaluation of 19 American elm clones for tolerance to Dutch elm disease. J. Econ. Entom. 2005, 23, 21–24. [Google Scholar] [CrossRef]
  5. Knight, K.S.; Haugen, L.M.; Pinchot, C.C.; Schaberg, P.G.; Slavicek, J.M. American elm (Ulmus americana) in restoration plantings: A review. In Proceedings of the American Elm Restoration Workshop 2016; Cornelia, C.P., Knight, K.S., Haugen, L.M., Flower, C.E., Slavicek, J.M., Eds.; Gen. Tech. Rep. NRS-P-174; U.S. Department of Agriculture, Forest Service, Northern Research Station: Newtown Square, PA, USA, 2017; pp. 133–140. [Google Scholar]
  6. Humphrey, C. Winter injury to white elm. J. Phytopathol. 1913, 3, 62–63. [Google Scholar]
  7. Schaberg, P.G.; Murakami, P.F.; Hansen, C.F.; Hawley, G.J.; Marks, C.O.; Slavicek, J.M. Preliminary assessments of shoot cold tolerance for American elm bred for enhanced tolerance to Dutch elm disease. Can. J. For. Res. 2021, 51, 1386–1390. [Google Scholar] [CrossRef]
  8. Sherif, S.M.; Erland, L.A.; Shukla, M.R.; Saxena, P.K. Bark and wood tissues of American elm exhibit distinct responses to Dutch elm disease. Sci. Rep. 2017, 7, 7114. [Google Scholar] [CrossRef]
  9. Pinchot, C.; Knight, K.; Flower, C.; Haugen, L.; Pike, C.; Warren, J.; LaBonte, N.; Hayes-Plazolles, N.; Lehtoma, K.; Fox, T.; et al. The Ecological case for breeding American elm. In Proceedings of the McManus, Katherine A., comp. 32nd USDA Interagency Research Forum on Invasive Species, Annapolis, MD, USA, 9–12 January 2024. in press. [Google Scholar]
  10. Bucharova, A.; Bossdorf, O.; Hölzel, N.; Kollmann, J.; Prasse, R.; Durka, W. Mix and match: Regional admixture provenancing strikes a balance among different seed-sourcing strategies for ecological restoration. Conserv. Genet. 2019, 20, 7–17. [Google Scholar] [CrossRef]
  11. Butnor, J.R.; Johnsen, K.H.; Anderson, P.H.; Hall, K.B.; Halman, J.M.; Hawley, G.J.; Maier, C.A.; Schaberg, P.G. Growth, Photosynthesis, and Cold Tolerance of Eucalyptus benthamii Planted in the Piedmont of North Carolina. For. Sci. 2019, 65, 59–67. [Google Scholar] [CrossRef]
  12. Gurney, K.M.; Schaberg, P.G.; Hawley, G.J.; Shane, J.B. Inadequate Cold Tolerance as a Possible Limitation to American Chestnut Restoration in the Northeastern United States. Restor. Ecol. 2011, 19, 55–63. [Google Scholar] [CrossRef]
  13. Haugen, L.M.; Bentz, S.E. American elm clones of importance in Dutch elm disease tolerance studies. In Proceedings of the American Elm Restoration Workshop 2016; Cornelia, C.P., Knight, K.S., Haugen, L.M., Flower, C.E., Slavicek, J.M., Eds.; Gen. Tech. Rep. NRS-P-174; U.S. Department of Agriculture, Forest Service, Northern Research Station: Newtown Square, PA, USA, 2017; pp. 109–118. [Google Scholar]
  14. Griffin, J.J.; Jacobi, W.R.; McPherson, E.G.; Sadof, C.S.; McKenna, J.R.; Gleason, M.L.; Gauthier, N.W.; Potter, D.A.; Smitley, D.R.; Adams, G.C. Ten-year performance of the United States national elm trial. Arboric. Urban For. 2017, 43, 107–120. [Google Scholar] [CrossRef]
  15. Wang, T.; Hamann, A.; Spittlehouse, D.; Carroll, C. Locally downscaled and spatially customizable climate data for historical and future periods for North America. PLoS ONE 2016, 11, e0156720. [Google Scholar] [CrossRef]
  16. Wall, J. Return of the native: The American elm finds tolerance for a dread disease. Penn State Ag Science Magazine. Summer/Fall 2000; pp. 29–32. [profile for alumnus A.M. “Denny” Townsend]. 2000. [Google Scholar]
  17. Cheng, Z.-M.; Shi, N.-Q.; Herman, D.E.; Capps, T.K. American Elm: Building in Resistance to Dutch Elm Disease. J. For. 1997, 95, 24–27. [Google Scholar] [CrossRef]
  18. Sherald, J.L.; Santamour Jr, F.S.; Hajela, R.K.; Hajela, N.; Sticklen, M.B. A Dutch elm disease resistant triploid elm. Can. J. For. Res. 1994, 24, 647–653. [Google Scholar] [CrossRef]
  19. Pooler, M.R.; Townsend, A.M. DNA Fingerprinting of Clones and Hybrids of American Elm and Other Elm Species with AFLP Markers. J. Environ. Hortic. 2005, 23, 113–117. [Google Scholar] [CrossRef]
  20. Green, P.S. Registration of cultivar names in Ulmus. Arnoldia 1964, 24, 41–80. [Google Scholar] [CrossRef]
  21. Townsend, A.M. USDA Genetic Research on Elms. In The Elms: Breeding, Conservation, and Disease Management; Dunn, C.P., Ed.; Springer US: Boston, MA, USA, 2000; pp. 271–278. [Google Scholar]
  22. Ritz, C.; Baty, F.; Streibig, J.C.; Gerhard, D. Dose-Response Analysis Using R. PLoS ONE 2016, 10, e0146021. [Google Scholar] [CrossRef]
  23. Kovaleski, A.P.; Grossman, J.J. Standardization of electrolyte leakage data and a novel liquid nitrogen control improve measurements of cold hardiness in woody tissue. Plant Methods 2021, 17, 53. [Google Scholar] [CrossRef]
  24. R Core Team. R: A Language and Environment for Statistical Computing. R Foundation for Statistical Computing, Vienna, Austria. 2024. Available online: https://www.R-project.org/ (accessed on 2 January 2024).
  25. Vitasse, Y.; Lenz, A.; Körner, C. The interaction between freezing tolerance and phenology in temperate deciduous trees. Front. Plant Sci. 2014, 5, 541. [Google Scholar] [CrossRef]
  26. Bradshaw, A.D. Evolutionary Significance of Phenotypic Plasticity in Plants. In Advances in Genetics, Caspari, E.W., Thoday, J.M., Eds.; Academic Press: New York, NY, USA, 1965; Volume 13, pp. 115–155. [Google Scholar]
  27. Lortie, C.J.; Hierro, J.L. A synthesis of local adaptation to climate through reciprocal common gardens. J. Ecol. 2022, 110, 1015–1021. [Google Scholar] [CrossRef]
  28. Havens, K.; Vitt, P.; Still, S.; Kramer, A.T.; Fant, J.B.; Schatz, K. Seed Sourcing for Restoration in an Era of Climate Change. Nat. Areas J. 2015, 35, 122–133. [Google Scholar] [CrossRef]
  29. Breed, M.F.; Stead, M.G.; Ottewell, K.M.; Gardner, M.G.; Lowe, A.J. Which provenance and where? Seed sourcing strategies for revegetation in a changing environment. Conserv. Genet. 2013, 14, 1–10. [Google Scholar] [CrossRef]
  30. Novokreshchenova, M.; Skowyra, K.; Kempf, M. Progress in physiological and genetic research concerning forest tree response to low temperature. Lesne Prace Badawcze 2019, 80, 277–284. [Google Scholar] [CrossRef]
  31. Saielli, T.M.; Schaberg, P.G.; Hawley, G.J.; Halman, J.M.; Gurney, K.M. Genetics and Silvicultural Treatments Influence the Growth and Shoot Winter Injury of American Chestnut in Vermont. For. Sci. 2014, 60, 1068–1076. [Google Scholar] [CrossRef]
  32. Guo, X.; Khare, S.; Silvestro, R.; Huang, J.; Sylvain, J.D.; Delagrange, S.; Rossi, S. Minimum spring temperatures at the provenance origin drive leaf phenology in sugar maple populations. Tree Physiol. 2020, 40, 1639–1647. [Google Scholar] [CrossRef] [PubMed]
  33. Kovaleski, A.P. Woody species do not differ in dormancy progression: Differences in time to budbreak due to forcing and cold hardiness. Proc. Natl. Acad. Sci. USA 2022, 119, e2112250119. [Google Scholar] [CrossRef] [PubMed]
  34. Wample, R.; Reisenauer, G.; Bary, A.; Schuetze, F. Microcomputer-controlled Freezing, Data Acquisition and Analysis System for Cold Hardiness Evaluation. HortScience 1990, 25, 973–976. [Google Scholar] [CrossRef]
  35. Mills, L.J.; Ferguson, J.C.; Keller, M. Cold-Hardiness Evaluation of Grapevine Buds and Cane Tissues. Am. J. Enol. Vitic. 2006, 57, 194–200. [Google Scholar] [CrossRef]
  36. Tossi, V.E.; Martínez Tosar, L.J.; Laino, L.E.; Iannicelli, J.; Regalado, J.J.; Escandón, A.S.; Baroli, I.; Causin, H.F.; Pitta-Álvarez, S.I. Impact of polyploidy on plant tolerance to abiotic and biotic stresses. Front. Plant Sci. 2022, 13, 869423. [Google Scholar] [CrossRef]
  37. Whittemore, A.T.; Olsen, R.T. Ulmus americana (Ulmaceae) is a polyploid complex. Am. J. Bot. 2011, 98, 754–760. [Google Scholar] [CrossRef]
  38. Butnor, J. American elm genotype mid-winter cold tolerance assay. Zenodo 2024. [Google Scholar] [CrossRef]
Figure 1. Map of sources for eleven genotypes with verifiable locations in New England that were analyzed for mid-winter cold tolerance. The color scale indicates the 30-year 1991 to 2020 extreme minimum temperature (EMT) for the source location in °C. One additional Dutch elm disease-susceptible control source from Ohio is not depicted on this map.
Figure 1. Map of sources for eleven genotypes with verifiable locations in New England that were analyzed for mid-winter cold tolerance. The color scale indicates the 30-year 1991 to 2020 extreme minimum temperature (EMT) for the source location in °C. One additional Dutch elm disease-susceptible control source from Ohio is not depicted on this map.
Forests 15 01843 g001
Figure 2. The electrical conductivity bridge handset fitted with 96 paired stainless-steel electrodes precisely aligned to fit into honeycombed well plates was used to measure relative electrolyte leakage. Designed by John Butnor USDA Forest Service and fabricated at the University of Vermont Instrumentation and Model Facility, Burlington, VT 05405, USA. Photo credit: John R Butnor, USDA Forest Service, Northern Research Station.
Figure 2. The electrical conductivity bridge handset fitted with 96 paired stainless-steel electrodes precisely aligned to fit into honeycombed well plates was used to measure relative electrolyte leakage. Designed by John Butnor USDA Forest Service and fabricated at the University of Vermont Instrumentation and Model Facility, Burlington, VT 05405, USA. Photo credit: John R Butnor, USDA Forest Service, Northern Research Station.
Forests 15 01843 g002
Figure 3. Examples of REL curves from genotypes 34 and 44 (Table 1). The best quality curves present a smooth sigmoid relationship from initial minimum leakage YMIN (right) to maximum leakage exposure to progressively colder temperatures YMAX (left). The LT50 is the inflection point of the curve, where 50% of the freezing-related leakage has occurred; in this example, G34 has an LT50 value of −42.7 °C, indicating it is more cold tolerant than G44, with an LT50 value of −35.9 °C.
Figure 3. Examples of REL curves from genotypes 34 and 44 (Table 1). The best quality curves present a smooth sigmoid relationship from initial minimum leakage YMIN (right) to maximum leakage exposure to progressively colder temperatures YMAX (left). The LT50 is the inflection point of the curve, where 50% of the freezing-related leakage has occurred; in this example, G34 has an LT50 value of −42.7 °C, indicating it is more cold tolerant than G44, with an LT50 value of −35.9 °C.
Forests 15 01843 g003
Figure 4. Linear regression (blue line) of mean LT50 values (±s.e., black lines) of 12 American elm genotypes with climate-variable 30-year extreme minimum temperature (EMT) of genotype source location (A) and genotype source latitude (B). Eleven genotypes are from a latitudinal gradient in New England, with one Dutch elm disease-susceptible control genotype from Ohio that was propagated and grown at the same location. The black dot without s.e. lines was a single observation.
Figure 4. Linear regression (blue line) of mean LT50 values (±s.e., black lines) of 12 American elm genotypes with climate-variable 30-year extreme minimum temperature (EMT) of genotype source location (A) and genotype source latitude (B). Eleven genotypes are from a latitudinal gradient in New England, with one Dutch elm disease-susceptible control genotype from Ohio that was propagated and grown at the same location. The black dot without s.e. lines was a single observation.
Forests 15 01843 g004
Figure 5. LT50 values of the 12 American elm genotypes with verified source location. Boxplots display median and interquartile range, with whiskers showing the minimum and maximum of the range, excluding outliers.
Figure 5. LT50 values of the 12 American elm genotypes with verified source location. Boxplots display median and interquartile range, with whiskers showing the minimum and maximum of the range, excluding outliers.
Forests 15 01843 g005
Figure 6. LT50 values of 8 widely deployed American elm genotypes with unverified source locations: ‘Valley Forge’ (VF), ‘Prairie Expedition™’ (PE), ‘Jefferson’ (J), ‘Delaware’2 (D), ‘Princeton’ (P), ‘R18.2’ (R18), susceptible ‘NA57845’ (S). The planting sites are indicated as Vermont (.V) and Ohio (.O). Only ‘Valley Forge and ‘Princeton’ were common to both sites. Boxplots display median and interquartile range, with whiskers showing the minimum and maximum of the range, excluding outliers.
Figure 6. LT50 values of 8 widely deployed American elm genotypes with unverified source locations: ‘Valley Forge’ (VF), ‘Prairie Expedition™’ (PE), ‘Jefferson’ (J), ‘Delaware’2 (D), ‘Princeton’ (P), ‘R18.2’ (R18), susceptible ‘NA57845’ (S). The planting sites are indicated as Vermont (.V) and Ohio (.O). Only ‘Valley Forge and ‘Princeton’ were common to both sites. Boxplots display median and interquartile range, with whiskers showing the minimum and maximum of the range, excluding outliers.
Forests 15 01843 g006
Figure 7. Boxplots of LT50 results from genotypes ‘Valley Forge’ and ‘Princeton’, planted in both Ohio and Vermont. Differences in LT50 were significant between genotypes (A; W = 36, p-value = 0.038), but not by state (B; W = 19, p-value = 0.83) using the Mann–Whitney test. Boxplots display median and interquartile range, with whiskers showing the minimum and maximum of the range, excluding outliers which are indicated with a black dot.
Figure 7. Boxplots of LT50 results from genotypes ‘Valley Forge’ and ‘Princeton’, planted in both Ohio and Vermont. Differences in LT50 were significant between genotypes (A; W = 36, p-value = 0.038), but not by state (B; W = 19, p-value = 0.83) using the Mann–Whitney test. Boxplots display median and interquartile range, with whiskers showing the minimum and maximum of the range, excluding outliers which are indicated with a black dot.
Forests 15 01843 g007
Figure 8. Hourly air temperature recorded in Columbus Ohio approximately 21 km from the Westerville, OH, USA, planting site (OH) and the University of Vermont Horticultural Research and Education Center, South Burlington, VT, USA, (VT), plotted 2 weeks prior (A) and 2 months prior (B) to collection for cold tolerance assay on 24 January 2023.
Figure 8. Hourly air temperature recorded in Columbus Ohio approximately 21 km from the Westerville, OH, USA, planting site (OH) and the University of Vermont Horticultural Research and Education Center, South Burlington, VT, USA, (VT), plotted 2 weeks prior (A) and 2 months prior (B) to collection for cold tolerance assay on 24 January 2023.
Forests 15 01843 g008
Figure 9. Comparison of extreme minimum temperature predicted from the LT50 results in the present study (EMTP) (Figure 4A, Equation (2)) to source information from the literature (EMTLIT) (EMTP) for several DED-resistant genotypes with otherwise unverified source location, plotted with the dashed 1:1 line.
Figure 9. Comparison of extreme minimum temperature predicted from the LT50 results in the present study (EMTP) (Figure 4A, Equation (2)) to source information from the literature (EMTLIT) (EMTP) for several DED-resistant genotypes with otherwise unverified source location, plotted with the dashed 1:1 line.
Forests 15 01843 g009
Table 1. Source information for New England survivor American elm genotypes growing in Westerville, assayed for mid-winter cold tolerance. Geographic coordinates were used to model source mean annual temperature (MAT) and extreme minimum temperature (EMT) for a 30-year period from 1991 to 2020 using ClimateNA v7.20 [15].
Table 1. Source information for New England survivor American elm genotypes growing in Westerville, assayed for mid-winter cold tolerance. Geographic coordinates were used to model source mean annual temperature (MAT) and extreme minimum temperature (EMT) for a 30-year period from 1991 to 2020 using ClimateNA v7.20 [15].
USFS ID #nLatitudeLongitudeMAT (°C)EMT (°C)
59344.62723−71.54975.7−35.9
42344.24376−72.42615.5−35.3
35343.38765−72.65726.6−34.1
34143.25981−72.58087.3−33.6
33243.14694−72.45867.9−32.8
32342.3525−72.85788.2−31.7
26342.67952−72.47138.8−31.4
44342.3337−72.66119.4−30.1
45342.31597−72.63049.6−29.9
38342.15818−72.629910.2−28.9
36341.57942−72.401710−28.4
local DED-susceptible control340.35927−83.146710.8−27.7
Table 2. Speculative source locations from the literature of widely used DED-resistant genotypes growing in Delaware, Ohio that do not have completely verifiable source information. Speculative geographic coordinates from the literature were used to model source mean annual temperature (MATLIT) and extreme minimum temperature (EMTLIT) for a 30-year period from 1991 to 2020 using ClimateNA [15].
Table 2. Speculative source locations from the literature of widely used DED-resistant genotypes growing in Delaware, Ohio that do not have completely verifiable source information. Speculative geographic coordinates from the literature were used to model source mean annual temperature (MATLIT) and extreme minimum temperature (EMTLIT) for a 30-year period from 1991 to 2020 using ClimateNA [15].
GenotypeSite (n)LatitudeLongitudeMATLIT (°C)EMTLIT (°C)Reported Source Location
New HarmonyVT (4)39.93−83.8010.9−27.4Springfield, OH, USA [13,16]
PrincetonOH (3)
VT (4)
40.35−74.6611.8−25.8Speculation; it could have come from Princeton, NJ, USA, or east coastal region [20]
Prairie Expedition™VT (4)46.88−96.795.5−38.8Fargo, ND, USA [17]
Valley ForgeOH (3)
VT (4)
NANA9.75−33.4Thought to originate from Nebraska [13,16], ClimateNA used to acquire mean climate data of four cardinal points in NE, and mean is shown
Jefferson (N3487)VT (3)NANA9.7−28.7Planted trees on National Mall, Washington, DC, USA [18], reported from Connecticut. ClimateNA used to acquire mean climate data of four cardinal points in CT and mean is shown.
R18-2 (NA57846)OH (3)NANANANAWas one of 11 survivors out of 21,000 seedlings screened by Cornell University and the Boyce Thompson Institute [4].
Delaware-2OH (3)NANA4.9−40.2Seed originated from North Dakota and was selected by the Bureau of Plant Industry in New Jersey in the 1940s [21]. ClimateNA used to acquire mean climate data of four cardinal points in ND and mean is shown.
NA 57845OH (2)NANANANARandomly selected genotype of unknown origin that is susceptible to DED [4].
Table 3. Summary statistics for air temperature recorded in Columbus Ohio approximately 5 km from the Westerville, OH, USA, planting site (OH) and the University of Vermont Horticultural Research and Education Center, South Burlington, VT, USA (VT).
Table 3. Summary statistics for air temperature recorded in Columbus Ohio approximately 5 km from the Westerville, OH, USA, planting site (OH) and the University of Vermont Horticultural Research and Education Center, South Burlington, VT, USA (VT).
SitePeriod Before Sample CollectionMean Air Temperature
(°C)
Maximum Air Temperature (°C)Minimum Air Temperature
(°C)
Ohio1 week3.716.1−2.1
Vermont −1.03.3−7.7
Ohio2 weeks2.216.1−9.2
Vermont −2.53.3−11.9
Ohio1 month4.017.6−9.2
Vermont −0.113.3−11.9
Ohio2 months2.517.6−21.0
Vermont −0.413.3−13.4
Disclaimer/Publisher’s Note: The statements, opinions and data contained in all publications are solely those of the individual author(s) and contributor(s) and not of MDPI and/or the editor(s). MDPI and/or the editor(s) disclaim responsibility for any injury to people or property resulting from any ideas, methods, instructions or products referred to in the content.

Share and Cite

MDPI and ACS Style

Butnor, J.R.; Wilson, C.P.; Bakır, M.; D’Amato, A.W.; Flower, C.E.; Hansen, C.F.; Keller, S.R.; Knight, K.S.; Murakami, P.F. Cold Tolerance Assay Reveals Evidence of Climate Adaptation Among American Elm (Ulmus americana L.) Genotypes. Forests 2024, 15, 1843. https://doi.org/10.3390/f15111843

AMA Style

Butnor JR, Wilson CP, Bakır M, D’Amato AW, Flower CE, Hansen CF, Keller SR, Knight KS, Murakami PF. Cold Tolerance Assay Reveals Evidence of Climate Adaptation Among American Elm (Ulmus americana L.) Genotypes. Forests. 2024; 15(11):1843. https://doi.org/10.3390/f15111843

Chicago/Turabian Style

Butnor, John R., Cornelia Pinchot Wilson, Melike Bakır, Anthony W. D’Amato, Charles E. Flower, Christopher F. Hansen, Stephen R. Keller, Kathleen S. Knight, and Paula F. Murakami. 2024. "Cold Tolerance Assay Reveals Evidence of Climate Adaptation Among American Elm (Ulmus americana L.) Genotypes" Forests 15, no. 11: 1843. https://doi.org/10.3390/f15111843

APA Style

Butnor, J. R., Wilson, C. P., Bakır, M., D’Amato, A. W., Flower, C. E., Hansen, C. F., Keller, S. R., Knight, K. S., & Murakami, P. F. (2024). Cold Tolerance Assay Reveals Evidence of Climate Adaptation Among American Elm (Ulmus americana L.) Genotypes. Forests, 15(11), 1843. https://doi.org/10.3390/f15111843

Note that from the first issue of 2016, this journal uses article numbers instead of page numbers. See further details here.

Article Metrics

Back to TopTop