Effect of Trail Condition, Slope, and Direction of Extraction on Forwarding Performance: Insights from a Controlled Comparative Study
Abstract
1. Introduction
2. Materials and Methods
2.1. Study Area and Machine Description
2.2. Experimental Design and Data Collection
2.3. Statistical Analysis
3. Results
3.1. Effects on Operational Speed
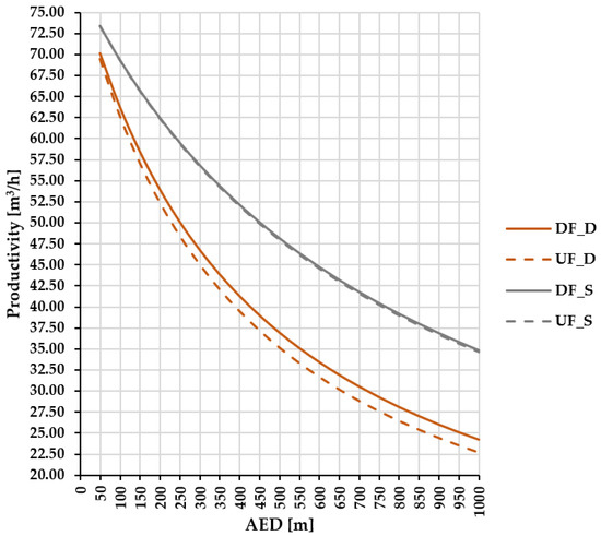
3.2. Effects on Cycle Time, Efficiency, and Productivity
4. Discussion
5. Conclusions
Author Contributions
Funding
Data Availability Statement
Acknowledgments
Conflicts of Interest
References
- Heinimann, H.R. Forest operations engineering and management—The ways behind and ahead of a scientific discipline. Croat. J. For. Eng. 2007, 28, 107–121. [Google Scholar]
- Technodiversity. Available online: https://technodiversity-moodle.ibe.cnr.it/ (accessed on 5 September 2024).
- Heinimann, H.R. A computer model to differentiate skidder and cable-yarder based road network concepts on steep slopes. J. For. Res. 1998, 3, 1–9. [Google Scholar] [CrossRef]
- Laschi, A.; Foderi, C.; Fabiano, F.; Neri, F.; Cambi, M.; Mariotti, B.; Marchi, E. Forest road planning, construction and maintenance to improve forest fire: A review. Croat. J. For. Eng. 2019, 40, 207–219. [Google Scholar]
- Pentek, T.; Picman, D.; Potocnik, I.; Dvorscak, P.; Nevecerel, H. Analysis of an existing forest road network. Croat. J. For. Eng. 2005, 26, 39–50. [Google Scholar]
- Moskalik, T.; Borz, S.A.; Dvorák, J.; Ferencik, M.; Glushkov, S.; Muiste, P.; Lazdinš, A.; Styranivsky, O. Timber harvesting methods in Eastern European countries: A review. Croat. J. For. Eng. 2017, 38, 231–241. [Google Scholar]
- Lundbäck, M.; Häggström, C.; Nordfjell, T. Worldwide trends in methods for harvesting and extracting industrial roundwood. Int. J. For. Eng. 2021, 32, 202–215. [Google Scholar] [CrossRef]
- Mederski, P.S.; Borz, S.A.; Đuka, A.; Lazdiņš, A. Challenges in Forestry and Forest Engineering—Case Studies from Four Countries in East Europe. Croat. J. For. Eng. 2021, 42, 117–134. [Google Scholar] [CrossRef]
- Borz, S.A.; Marcu, M.V.; Cataldo, M.F. Evaluation of an HSM 208F 14tone HVT-R2 Forwarder Prototype under Conditions of Steep-Terrain Low-Access Forests. Croat. J. For. Eng. 2021, 42, 185–200. [Google Scholar] [CrossRef]
- Holzleitner, F.; Stampfer, K.; Visser, R. Utilization rates and cost factors in timber harvesting based on long-term machine data. Croat. J. For. Eng. 2011, 32, 501–508. [Google Scholar]
- Kärhä, K.; Eliasson, L.; Kühmaier, M.; Spinelli, R. Fuel Consumption and CO2 Emissions in Fully Mechanized Cut-to-Length (CTL) Harvesting Operations of Industrial Roundwood: A Review. Curr. For. Rep. 2024, 10, 255–272. [Google Scholar] [CrossRef]
- Gerasimov, Y.; Seliverstov, A. Industrial Round-Wood Losses Associated with Harvesting Systems in Russia. Croat. J. For. Eng. 2010, 31, 111–126. [Google Scholar]
- Borz, S.A.; Rommel, D.; Ziesak, M.; Vasiliauskas, G. Operational requirements and preferences towards forwarding technology. Bull. Transilv. Univ. 2009, 121, 1–12. [Google Scholar]
- Painchaud, L.; LeBel, L. A multi-criterion evaluation process for determining cost-effective harvesting systems in fragmented boreal forests. Forests 2024, 15, 1046. [Google Scholar] [CrossRef]
- Lyons, C.K.; Borz, S.A.; Harvey, C.; Ramantswana, M.; Sakai, H.; Visser, R. Forest roads: Regional perspectives from around the world. Int. J. For. Eng. 2023, 34, 190–203. [Google Scholar] [CrossRef]
- Ghaffariyan, M.H.; Stampfer, K.; Sessions, J. Forwarding productivity in Southern Austria. Croat. J. For. Eng. 2007, 28, 169–175. [Google Scholar]
- Proto, A.R.; Macri, G.; Visser, R.; Harrill, H.; Russo, D.; Zimbalatti, G. Factors affecting forwarder productivity. Eur. J. For. Res. 2018, 137, 143–151. [Google Scholar] [CrossRef]
- Slamka, M.; Radocha, M. Results of harvesters and forwarders operations in Slovakian forests. For. J. 2010, 56, 1–15. [Google Scholar] [CrossRef][Green Version]
- Tiernan, D.; Zeleke, G.; Owende, P.M.O.; Kanali, C.L.; Lyons, J.; Ward, S.M. Effect of working conditions on forwarder productivity in cut-to-length timber harvesting on sensitive forest sites in Ireland. Biosyst. Eng. 2004, 87, 166–177. [Google Scholar] [CrossRef]
- McDonald, T.P.; Fulton, J.P. Automated time study of skidders using global positioning system data. Comput. Electron. Agric. 2005, 48, 19–37. [Google Scholar] [CrossRef]
- Strandgard, M.; Mitchell, R. Automated time study of forwarders using GPS and a vibration sensor. Croat. J. For. Eng. 2015, 36, 175–184. [Google Scholar]
- Keefe, R.F.; Wempe, A.M.; Becker, R.M.; Zimbelman, E.G.; Nagler, E.S.; Gilbert, S.L.; Caudill, C.C. Positioning methods and the use of location and activity data in forests. Forests 2019, 10, 458. [Google Scholar] [CrossRef]
- Keskin, M.; Akkamis, M.; Sekerli, Y.E. An overview of GNSS and GPS based velocity measurement in comparison to other techniques. In Proceedings of the International Congress on Energy Research, Ananya, Turkey, 31 October–2 November 2018; pp. 392–404. [Google Scholar]
- Keskin, M.; Say, S.M. Feasibility of low-cost GPS receivers for ground speed measurement. Comput. Electron. Agric. 2006, 54, 36–43. [Google Scholar] [CrossRef]
- Björheden, R.; Apel, K.; Thompson, M. IUFRO Forest Work Study Nomenclature; Swedish University of Agricultural Sciences, Department of Operational Efficiency: Grappenberg, Sweden, 1995; p. 16. [Google Scholar]
- Real Statistics Using Excel. Available online: https://real-statistics.com/ (accessed on 26 August 2024).
- Shapiro, S.S.; Wilk, M.B. An analysis of variance test for normality (complete samples). Biometrika 1965, 52, 591–611. [Google Scholar] [CrossRef]
- Mann, H.B.; Whitney, D.R. On a test of whether one of two random variables is stochastically larger than the other. Ann. Math. Stat. 1947, 18, 50–60. [Google Scholar] [CrossRef]
- Laerd Statistics. Assumptions of the Mann Whitney Test. Available online: https://statistics.laerd.com/statistical-guides/mann-whitney-u-test-assumptions.php (accessed on 5 September 2024).
- Wasson, C.S. System Analysis, Design, and Development. Concepts, Principles and Practices; John Wiley & Sons Inc.: Hoboken, NJ, USA, 2006; pp. 17–38. [Google Scholar]
- Acuna, M.; Bigot, M.; Guerra, S.; Hartsough, B.; Kanzian, C.; Kärhä, K.; Lindroos, O.; Magagnotti, N.; Roux, S.; Spinelli, R.; et al. Good Practice Guidelines for Biomass Production Studies; CNR IVALSA Sesto Fiorentino (National Research Council of Italy—Trees and Timber Institute): Sesto Fiorentino, Italy, 2012; p. 52. [Google Scholar]
- Apafaian, A.I.; Proto, A.R.; Borz, S.A. Performance of a mid-sized harvester-forwarder system in integrated harvesting of sawmill, pulpwood and firewood. Ann. For. Res. 2017, 60, 227–241. [Google Scholar]
- Stankić, I.; Poršinsky, T.; Tomašić, Ž.; Tonković, I.; Frntić, M. Productivity models for operational planning of timber forwarding in Croatia. Croat. J. For. Eng. 2012, 33, 61–78. [Google Scholar]
- Proto, A.R.; Macri, G.; Visser, R.; Harrill, H.; Russo, D.; Zimbalatti, G. A case study on productivity of forwarder extraction in small-scale southern Italian forests. Small Scale For. 2018, 17, 71–87. [Google Scholar] [CrossRef]
- Ranacher, P.; Brunauer, R.; Trutschnig, W.; Van der Spek, S.; Reich, S. Why GPS makes distances bigger than they are. Int. J. Geogr. Inf. Sci. 2015, 30, 316–333. [Google Scholar] [CrossRef]







| Operation | Event | Driving Direction | Bunk State | Trail Condition | Abbreviations Used for Comparison for the Same Trail | Abbreviations Used for Comparison between Trails | Abbreviations Used for Simulation of Performance |
|---|---|---|---|---|---|---|---|
| - | Stopped | - | - | Dirt | S | S | - |
| - | Maneuvering | - | Empty | Dirt | ME | ME_D | - |
| - | Driving | Uphill | Empty | Dirt | DUE | DUE_D | - |
| - | Driving | Downhill | Empty | Dirt | DDE | DDE_D | - |
| - | Maneuvering | - | Loaded | Dirt | ML | ML_D | - |
| - | Driving | Uphill | Loaded | Dirt | DUL | DUL_D | - |
| - | Driving | Downhill | Loaded | Dirt | DDL | DDL_D | - |
| - | Stopped | - | - | Stone | S | S | - |
| - | Maneuvering | - | Empty | Stone | ME | ME_S | - |
| - | Driving | Uphill | Empty | Stone | DUE | DUE_S | - |
| - | Driving | Downhill | Empty | Stone | DDE | DDE_S | - |
| - | Maneuvering | - | Loaded | Stone | ML | ML_S | - |
| - | Driving | Uphill | Loaded | Stone | DUL | DUL_S | - |
| - | Driving | Downhill | Loaded | Stone | DDL | DDL_S | - |
| Forwarding | - | Uphill | - | Dirt | - | - | UF_D |
| Forwarding | - | Downhill | - | Dirt | - | - | DF_D |
| Forwarding | - | Uphill | - | Stone | - | - | UF_S |
| Forwarding | - | Downhill | - | Stone | - | - | DF_S |
| Condition of the Trail | Compared Events 1 | Effect r | p-Value |
|---|---|---|---|
| D | ML-ME | 0.354 | <0.001 |
| D | DUL-DUE | 0.417 | <0.001 |
| D | DDL-DDE | 0.261 | <0.001 |
| S | ML-ME | 0.014 | 0.888 |
| S | DUL-DUE | 0.078 | 0.234 |
| S | DDL-DDE | 0.014 | 0.832 |
| Compared Events 1 | Effect r | p-Value |
|---|---|---|
| ML_D-ML_S | 0.339 | <0.001 |
| ME_D-ME_S | 0.063 | 0.549 |
| DUL_D-DUL_S | 0.806 | <0.001 |
| DDL_D-DDL_S | 0.799 | <0.001 |
| DUE_D-DUE_S | 0.781 | <0.001 |
| DDE_D-DDE_S | 0.722 | <0.001 |
Disclaimer/Publisher’s Note: The statements, opinions and data contained in all publications are solely those of the individual author(s) and contributor(s) and not of MDPI and/or the editor(s). MDPI and/or the editor(s) disclaim responsibility for any injury to people or property resulting from any ideas, methods, instructions or products referred to in the content. |
© 2024 by the authors. Licensee MDPI, Basel, Switzerland. This article is an open access article distributed under the terms and conditions of the Creative Commons Attribution (CC BY) license (https://creativecommons.org/licenses/by/4.0/).
Share and Cite
Marcu, M.V.; Borz, S.A. Effect of Trail Condition, Slope, and Direction of Extraction on Forwarding Performance: Insights from a Controlled Comparative Study. Forests 2024, 15, 1790. https://doi.org/10.3390/f15101790
Marcu MV, Borz SA. Effect of Trail Condition, Slope, and Direction of Extraction on Forwarding Performance: Insights from a Controlled Comparative Study. Forests. 2024; 15(10):1790. https://doi.org/10.3390/f15101790
Chicago/Turabian StyleMarcu, Marina Viorela, and Stelian Alexandru Borz. 2024. "Effect of Trail Condition, Slope, and Direction of Extraction on Forwarding Performance: Insights from a Controlled Comparative Study" Forests 15, no. 10: 1790. https://doi.org/10.3390/f15101790
APA StyleMarcu, M. V., & Borz, S. A. (2024). Effect of Trail Condition, Slope, and Direction of Extraction on Forwarding Performance: Insights from a Controlled Comparative Study. Forests, 15(10), 1790. https://doi.org/10.3390/f15101790

