FireDA: A Domain Adaptation-Based Method for Forest Fire Recognition with Limited Labeled Scenarios
Abstract
1. Introduction
- A fire recognition model for scenarios with limited labels is proposed, which significantly reduces the data annotation workload required by traditional DL-based models.
- This study introduces domain adaptation methods for fire recognition, utilizing publicly available labeled fire datasets to train the network and transferring knowledge to scenarios with limited labels.
- A novel domain adaptation method that combines feature distribution alignment and target domain proxy classification loss is proposed.
- The proposed domain adaptation method incorporates a neighborhood aggregation mechanism that exploits the structural information of unlabeled samples to provide more accurate pseudo-labels for calculating LMMD and PCL.
- Extensive interpretability analyses are conducted to demystify the “black box” of the proposed fire recognition method, revealing their internal operational mechanisms.
2. Related Work
2.1. Pre-Training Fine-Tuning Techniques for Fire Recognition
2.2. Domain Adaptation for Fire Recognition
2.3. Basic Theory of Domain Adaptation
3. Methodology of Proposed FireDA
3.1. Memory Bank
3.2. Neighborhood Aggregation
3.3. Updating Mechanisms
3.4. Loss Functions
3.4.1. LMMD
3.4.2. Pseudo-Label-Based Proxy Classification Loss in the Target Domain
3.4.3. Supervised Classification Loss in the Source Domain
4. Experiment Settings
4.1. Datasets
4.2. Experimental Setup and Baselines
4.3. Evaluation Metrics
4.4. Implement Details
5. Results and Analysis
5.1. Ablation Study
5.2. Visualization
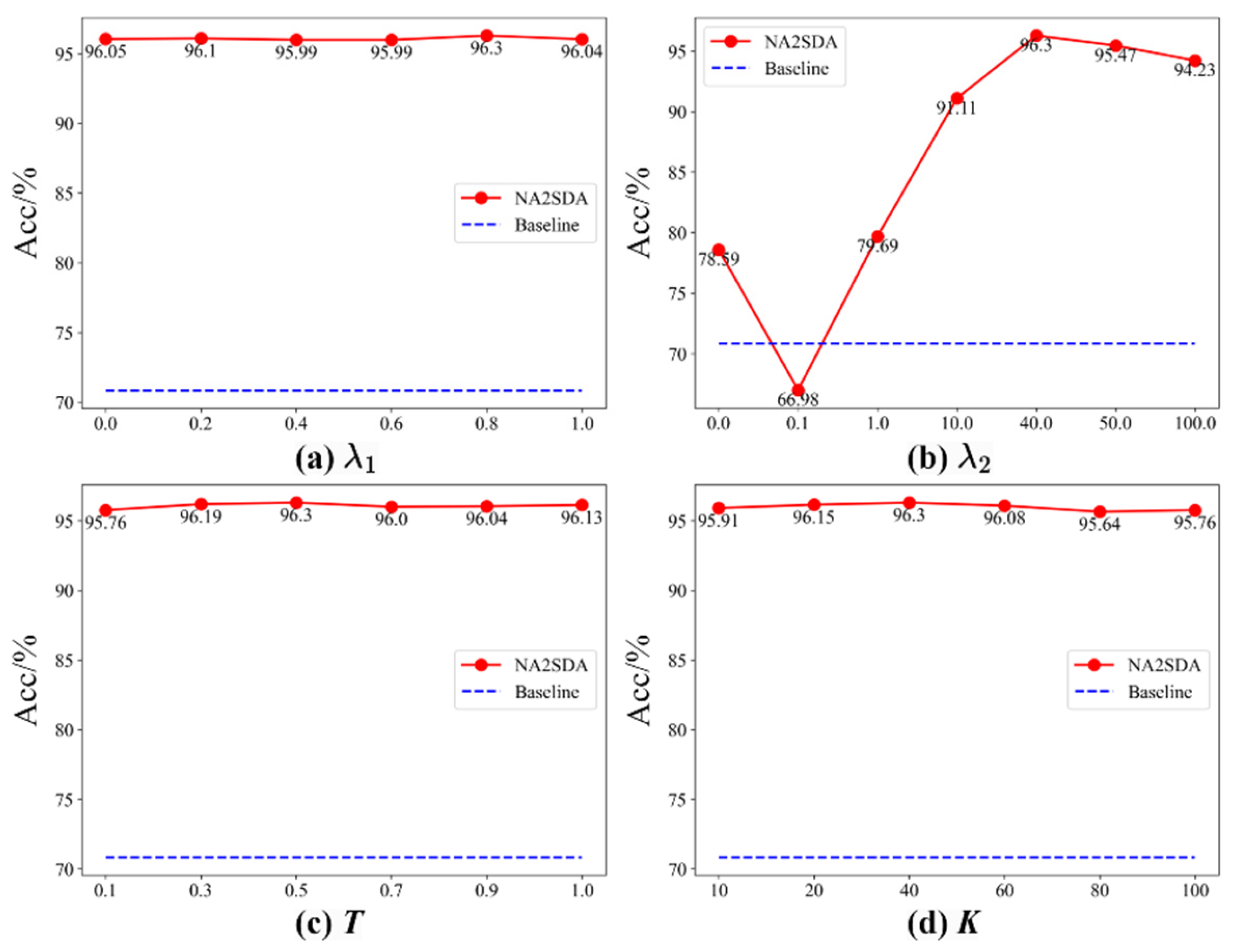
5.3. Parameter Sensitivity Analysis
5.4. Robustness Evaluation
5.5. Comparison to the SOTA Methods
5.6. Limitations and Future Research
- The FireDA model, utilizing ResNet18 as its backbone, has a size of 45 M, which is suboptimal for deployment on edge computing platforms with limited processing capabilities. This is in contrast to the more lightweight fire recognition networks described in [37,94]. Consequently, it is crucial to enhance the FireDA by reducing its size.
- Due to the inherent requirements of the domain adaptation approach, NA2SDA still necessitates a few labeled samples from the target domain for model selection during training. This limitation hinders its application in scenarios where the target domain is nearly unlabeled. Consequently, further research is needed into a model evaluation method that does not rely on labeled target domain samples for hyperparameter tuning and model checkpoint selection.
6. Conclusions
Author Contributions
Funding
Data Availability Statement
Acknowledgments
Conflicts of Interest
References
- Pourghasemi, H.R.; Gayen, A.; Lasaponara, R.; Tiefenbacher, J.P. Application of Learning Vector Quantization and Different Machine Learning Techniques to Assessing Forest Fire Influence Factors and Spatial Modelling. Environ. Res. 2020, 184, 109321. [Google Scholar] [CrossRef] [PubMed]
- Shen, P.; Crippa, P.; Castruccio, S. Assessing Urban Mortality from Wildfires with a Citizen Science Network. Air Qual. Atmos. Health 2021, 14, 2015–2027. [Google Scholar] [CrossRef]
- Filkov, A.I.; Ngo, T.; Matthews, S.; Telfer, S.; Penman, T.D. Impact of Australia’s Catastrophic 2019/20 Bushfire Season on Communities and Environment. Retrospective Analysis and Current Trends. J. Saf. Sci. Resil. 2020, 1, 44–56. [Google Scholar] [CrossRef]
- Brando, P.; Macedo, M.; Silvério, D.; Rattis, L.; Paolucci, L.; Alencar, A.; Coe, M.; Amorim, C. Amazon Wildfires: Scenes from a Foreseeable Disaster. Flora 2020, 268, 151609. [Google Scholar] [CrossRef]
- Jain, M.; Saxena, P.; Sharma, S.; Sonwani, S. Investigation of Forest Fire Activity Changes Over the Central India Domain Using Satellite Observations During 2001–2020. GeoHealth 2021, 5, e2021GH000528. [Google Scholar] [CrossRef]
- Nguyen, D.-L.; Putro, M.D.; Jo, K.-H. Lightweight Convolutional Neural Network for Fire Classification in Surveillance System. IEEE Access 2023, 11, 101604–101615. [Google Scholar] [CrossRef]
- Mahbub, M.; Hossain, M.M.; Gazi, M.S.A. Cloud-Enabled IoT-Based Embedded System and Software for Intelligent Indoor Lighting, Ventilation, Early Stage Fire Detection and Prevention. Comput. Netw. 2021, 184, 107673. [Google Scholar] [CrossRef]
- Calderara, S.; Piccinini, P.; Cucchiara, R. Vision Based Smoke Detection System Using Image Energy and Color Information. Mach. Vis. Appl. 2011, 22, 705–719. [Google Scholar] [CrossRef]
- Yuan, F. A Double Mapping Framework for Extraction of Shape-Invariant Features Based on Multi-Scale Partitions with AdaBoost for Video Smoke Detection. Pattern Recognit. 2012, 45, 4326–4336. [Google Scholar] [CrossRef]
- Chen, J.; Wang, Y.; Tian, Y.; Huang, T. Wavelet Based Smoke Detection Method with RGB Contrast-Image and Shape Constrain. In Proceedings of the 2013 Visual Communications and Image Processing (VCIP), Kuching, Malaysia, 17–20 November 2013; pp. 1–6. [Google Scholar]
- Qiu, T.; Yan, Y.; Lu, G. An Autoadaptive Edge-Detection Algorithm for Flame and Fire Image Processing. IEEE Trans. Instrum. Meas. 2012, 61, 1486–1493. [Google Scholar] [CrossRef]
- Chunyu, Y.; Jun, F.; Jinjun, W.; Yongming, Z. Video Fire Smoke Detection Using Motion and Color Features. Fire Technol. 2010, 46, 651–663. [Google Scholar] [CrossRef]
- Foggia, P.; Saggese, A.; Vento, M. Real-Time Fire Detection for Video-Surveillance Applications Using a Combination of Experts Based on Color, Shape, and Motion. IEEE Trans. Circuits Syst. Video Technol. 2015, 25, 1545–1556. [Google Scholar] [CrossRef]
- Stadler, A.; Windisch, T.; Diepold, K. Comparison of Intensity Flickering Features for Video Based Flame Detection Algorithms. Fire Saf. J. 2014, 66, 1–7. [Google Scholar] [CrossRef]
- Dimitropoulos, K.; Barmpoutis, P.; Grammalidis, N. Spatio-Temporal Flame Modeling and Dynamic Texture Analysis for Automatic Video-Based Fire Detection. IEEE Trans. Circuits Syst. Video Technol. 2015, 25, 339–351. [Google Scholar] [CrossRef]
- Rafiee, A.; Dianat, R.; Jamshidi, M.; Tavakoli, R.; Abbaspour, S. Fire and Smoke Detection Using Wavelet Analysis and Disorder Characteristics. In Proceedings of the 2011 3rd International Conference on Computer Research and Development, Shanghai, China, 11–13 March 2011; pp. 262–265. [Google Scholar]
- Horng, W.-B.; Peng, J.-W.; Chen, C.-Y. A New Image-Based Real-Time Flame Detection Method Using Color Analysis. In Proceedings of the 2005 IEEE Networking, Sensing and Control, 2005, Tucson, AZ, USA, 19–22 March 2005; pp. 100–105. [Google Scholar]
- Chen, T.-H.; Wu, P.-H.; Chiou, Y.-C. An Early Fire-Detection Method Based on Image Processing. In Proceedings of the 2004 International Conference on Image Processing 2004 ICIP’04, Singapore, 24–27 October 2004; Volume 3, pp. 1707–1710. [Google Scholar]
- Habiboğlu, Y.H.; Günay, O.; Çetin, A.E. Covariance Matrix-Based Fire and Flame Detection Method in Video. Mach. Vis. Appl. 2012, 23, 1103–1113. [Google Scholar] [CrossRef]
- Marbach, G.; Loepfe, M.; Brupbacher, T. An Image Processing Technique for Fire Detection in Video Images. Fire Saf. J. 2006, 41, 285–289. [Google Scholar] [CrossRef]
- Çelik, T.; Demirel, H. Fire Detection in Video Sequences Using a Generic Color Model. Fire Saf. J. 2009, 44, 147–158. [Google Scholar] [CrossRef]
- Celik, T.; Demirel, H.; Ozkaramanli, H.; Uyguroglu, M. Fire Detection Using Statistical Color Model in Video Sequences. J. Vis. Commun. Image Represent. 2007, 18, 176–185. [Google Scholar] [CrossRef]
- Celik, T.; Ozkaramanlt, H.; Demirel, H. Fire Pixel Classification Using Fuzzy Logic and Statistical Color Model. In Proceedings of the 2007 IEEE International Conference on Acoustics, Speech and Signal Processing—ICASSP ’07, Honolulu, HI, USA, 15–20 April 2007; pp. I-1205–I-1208. [Google Scholar]
- Mueller, M.; Karasev, P.; Kolesov, I.; Tannenbaum, A. Optical Flow Estimation for Flame Detection in Videos. IEEE Trans. Image Process. 2013, 22, 2786–2797. [Google Scholar] [CrossRef]
- Chen, J.; He, Y.; Wang, J. Multi-Feature Fusion Based Fast Video Flame Detection. Build. Environ. 2010, 45, 1113–1122. [Google Scholar] [CrossRef]
- Han, X.-F.; Jin, J.S.; Wang, M.-J.; Jiang, W.; Gao, L.; Xiao, L.-P. Video Fire Detection Based on Gaussian Mixture Model and Multi-Color Features. SIViP 2017, 11, 1419–1425. [Google Scholar] [CrossRef]
- Toreyin, B.U.; Dedeoglu, Y.; Cetin, A.E. Flame Detection in Video Using Hidden Markov Models. In Proceedings of the IEEE International Conference on Image Processing 2005, Genova, Italy, 14 September 2005; p. II-1230. [Google Scholar]
- Zhang, D.; Han, S.; Zhao, J.; Zhang, Z.; Qu, C.; Ke, Y.; Chen, X. Image Based Forest Fire Detection Using Dynamic Characteristics with Artificial Neural Networks. In Proceedings of the 2009 International Joint Conference on Artificial Intelligence, Hainan, China, 25–26 April 2009; pp. 290–293. [Google Scholar]
- Ko, B.C.; Cheong, K.-H.; Nam, J.-Y. Fire Detection Based on Vision Sensor and Support Vector Machines. Fire Saf. J. 2009, 44, 322–329. [Google Scholar] [CrossRef]
- Pérez-Porras, F.-J.; Triviño-Tarradas, P.; Cima-Rodríguez, C.; Meroño-de-Larriva, J.-E.; García-Ferrer, A.; Mesas-Carrascosa, F.-J. Machine Learning Methods and Synthetic Data Generation to Predict Large Wildfires. Sensors 2021, 21, 3694. [Google Scholar] [CrossRef] [PubMed]
- Dampage, U.; Bandaranayake, L.; Wanasinghe, R.; Kottahachchi, K.; Jayasanka, B. Forest Fire Detection System Using Wireless Sensor Networks and Machine Learning. Sci. Rep. 2022, 12, 46. [Google Scholar] [CrossRef] [PubMed]
- Khan, A.; Hassan, B.; Khan, S.; Ahmed, R.; Abuassba, A. DeepFire: A Novel Dataset and Deep Transfer Learning Benchmark for Forest Fire Detection. Mob. Inf. Syst. 2022, 2022, 1–14. [Google Scholar] [CrossRef]
- Wu, H.; Zhang, A.; Han, Y.; Nan, J.; Li, K. Fast Stochastic Configuration Network Based on an Improved Sparrow Search Algorithm for Fire Flame Recognition. Knowl.-Based Syst. 2022, 245, 108626. [Google Scholar] [CrossRef]
- Wen, Z.; Xie, L.; Feng, H.; Tan, Y. Infrared Flame Detection Based on a Self-Organizing TS-Type Fuzzy Neural Network. Neurocomputing 2019, 337, 67–79. [Google Scholar] [CrossRef]
- Ullah, F.U.M.; Obaidat, M.S.; Ullah, A.; Muhammad, K.; Hijji, M.; Baik, S.W. A Comprehensive Review on Vision-Based Violence Detection in Surveillance Videos. ACM Comput. Surv. 2023, 55, 1–44. [Google Scholar] [CrossRef]
- Cheng, G.; Chen, X.; Wang, C.; Li, X.; Xian, B.; Yu, H. Visual Fire Detection Using Deep Learning: A Survey. Neurocomputing 2024, 596, 127975. [Google Scholar] [CrossRef]
- Li, S.; Yan, Q.; Liu, P. An Efficient Fire Detection Method Based on Multiscale Feature Extraction, Implicit Deep Supervision and Channel Attention Mechanism. IEEE Trans. Image Process. 2020, 29, 8467–8475. [Google Scholar] [CrossRef]
- Hu, C.; Tang, P.; Jin, W.; He, Z.; Li, W. Real-Time Fire Detection Based on Deep Convolutional Long-Recurrent Networks and Optical Flow Method. In Proceedings of the 2018 37th Chinese Control Conference (CCC), Wuhan, China, 25–27 July 2018; pp. 9061–9066. [Google Scholar]
- Dunnings, A.J.; Breckon, T.P. Experimentally Defined Convolutional Neural Network Architecture Variants for Non-Temporal Real-Time Fire Detection. In Proceedings of the 2018 25th IEEE International Conference on Image Processing (ICIP), Athens, Greece, 7–10 October 2018; pp. 1558–1562. [Google Scholar]
- Muhammad, K.; Ahmad, J.; Baik, S.W. Early Fire Detection Using Convolutional Neural Networks during Surveillance for Effective Disaster Management. Neurocomputing 2018, 288, 30–42. [Google Scholar] [CrossRef]
- Majid, S.; Alenezi, F.; Masood, S.; Ahmad, M.; Gündüz, E.S.; Polat, K. Attention Based CNN Model for Fire Detection and Localization in Real-World Images. Expert Syst. Appl. 2022, 189, 116114. [Google Scholar] [CrossRef]
- He, L.; Gong, X.; Zhang, S.; Wang, L.; Li, F. Efficient Attention Based Deep Fusion CNN for Smoke Detection in Fog Environment. Neurocomputing 2021, 434, 224–238. [Google Scholar] [CrossRef]
- Muhammad, K.; Ahmad, J.; Mehmood, I.; Rho, S.; Baik, S.W. Convolutional Neural Networks Based Fire Detection in Surveillance Videos. IEEE Access 2018, 6, 18174–18183. [Google Scholar] [CrossRef]
- Huang, L.; Liu, G.; Wang, Y.; Yuan, H.; Chen, T. Fire Detection in Video Surveillances Using Convolutional Neural Networks and Wavelet Transform. Eng. Appl. Artif. Intell. 2022, 110, 104737. [Google Scholar] [CrossRef]
- Sharma, J.; Granmo, O.-C.; Goodwin, M.; Fidje, J.T. Deep Convolutional Neural Networks for Fire Detection in Images. In Engineering Applications of Neural Networks; Boracchi, G., Iliadis, L., Jayne, C., Likas, A., Eds.; Communications in Computer and Information Science; Springer International Publishing: Cham, Switzerland, 2017; Volume 744, pp. 183–193. ISBN 978-3-319-65171-2. [Google Scholar]
- Muhammad, K.; Ahmad, J.; Lv, Z.; Bellavista, P.; Yang, P.; Baik, S.W. Efficient Deep CNN-Based Fire Detection and Localization in Video Surveillance Applications. IEEE Trans. Syst. Man Cybern. Syst. 2019, 49, 1419–1434. [Google Scholar] [CrossRef]
- Muhammad, K.; Khan, S.; Elhoseny, M.; Hassan Ahmed, S.; Wook Baik, S. Efficient Fire Detection for Uncertain Surveillance Environment. IEEE Trans. Ind. Inf. 2019, 15, 3113–3122. [Google Scholar] [CrossRef]
- Li, R.; Hu, Y.; Li, L.; Guan, R.; Yang, R.; Zhan, J.; Cai, W.; Wang, Y.; Xu, H.; Li, L. SMWE-GFPNNet: A High-Precision and Robust Method for Forest Fire Smoke Detection. Knowl.-Based Syst. 2024, 289, 111528. [Google Scholar] [CrossRef]
- Li, Z.; Mihaylova, L.; Yang, L. A Deep Learning Framework for Autonomous Flame Detection. Neurocomputing 2021, 448, 205–216. [Google Scholar] [CrossRef]
- Li, P.; Zhao, W. Image Fire Detection Algorithms Based on Convolutional Neural Networks. Case Stud. Therm. Eng. 2020, 19, 100625. [Google Scholar] [CrossRef]
- Hu, Y.; Zhan, J.; Zhou, G.; Chen, A.; Cai, W.; Guo, K.; Hu, Y.; Li, L. Fast Forest Fire Smoke Detection Using MVMNet. Knowl.-Based Syst. 2022, 241, 108219. [Google Scholar] [CrossRef]
- Mahaveerakannan, R.; Anitha, C.; Thomas, A.K.; Rajan, S.; Muthukumar, T.; Govinda Rajulu, G. An IoT Based Forest Fire Detection System Using Integration of Cat Swarm with LSTM Model. Comput. Commun. 2023, 211, 37–45. [Google Scholar] [CrossRef]
- Barmpoutis, P.; Stathaki, T.; Dimitropoulos, K.; Grammalidis, N. Early Fire Detection Based on Aerial 360-Degree Sensors, Deep Convolution Neural Networks and Exploitation of Fire Dynamic Textures. Remote Sens. 2020, 12, 3177. [Google Scholar] [CrossRef]
- Choi, H.-S.; Jeon, M.; Song, K.; Kang, M. Semantic Fire Segmentation Model Based on Convolutional Neural Network for Outdoor Image. Fire Technol. 2021, 57, 3005–3019. [Google Scholar] [CrossRef]
- Yang, Z.; Wang, T.; Bu, L.; Ouyang, J. Training with Augmented Data: GAN-Based Flame-Burning Image Synthesis for Fire Segmentation in Warehouse. Fire Technol. 2022, 58, 183–215. [Google Scholar] [CrossRef]
- Kou, L.; Wang, X.; Guo, X.; Zhu, J.; Zhang, H. Deep Learning Based Inverse Model for Building Fire Source Location and Intensity Estimation. Fire Saf. J. 2021, 121, 103310. [Google Scholar] [CrossRef]
- Qin, K.; Hou, X.; Yan, Z.; Zhou, F.; Bu, L. FGL-GAN: Global-Local Mask Generative Adversarial Network for Flame Image Composition. Sensors 2022, 22, 6332. [Google Scholar] [CrossRef]
- Zheng, H.; Wang, M.; Wang, Z.; Huang, X. FireDM: A Weakly-Supervised Approach for Massive Generation of Multi-Scale and Multi-Scene Fire Segmentation Datasets. Knowl.-Based Syst. 2024, 290, 111547. [Google Scholar] [CrossRef]
- Muhammad, K.; Ullah, H.; Khan, S.; Hijji, M.; Lloret, J. Efficient Fire Segmentation for Internet-of-Things-Assisted Intelligent Transportation Systems. IEEE Trans. Intell. Transport. Syst. 2023, 24, 13141–13150. [Google Scholar] [CrossRef]
- Lin, Q.; Li, Z.; Zeng, K.; Fan, H.; Li, W.; Zhou, X. FireMatch: A Semi-Supervised Video Fire Detection Network Based on Consistency and Distribution Alignment. Expert Syst. Appl. 2024, 248, 123409. [Google Scholar] [CrossRef]
- Yan, Z.; Wang, L.; Qin, K.; Zhou, F.; Ouyang, J.; Wang, T.; Hou, X.; Bu, L. Unsupervised Domain Adaptation for Forest Fire Recognition Using Transferable Knowledge from Public Datasets. Forests 2022, 14, 52. [Google Scholar] [CrossRef]
- Wu, X.; Lu, X.; Leung, H. An Adaptive Threshold Deep Learning Method for Fire and Smoke Detection. In Proceedings of the 2017 IEEE International Conference on Systems, Man, and Cybernetics (SMC), Banff, AB, Canada, 5–8 October 2017; pp. 1954–1959. [Google Scholar]
- Saeed, F.; Paul, A.; Karthigaikumar, P.; Nayyar, A. Convolutional Neural Network Based Early Fire Detection. Multimed. Tools Appl. 2020, 79, 9083–9099. [Google Scholar] [CrossRef]
- Abedi, M.; Naser, M.Z. RAI: Rapid, Autonomous and Intelligent Machine Learning Approach to Identify Fire-Vulnerable Bridges. Appl. Soft Comput. 2021, 113, 107896. [Google Scholar] [CrossRef]
- Shahid, M.; Virtusio, J.J.; Wu, Y.-H.; Chen, Y.-Y.; Tanveer, M.; Muhammad, K.; Hua, K.-L. Spatio-Temporal Self-Attention Network for Fire Detection and Segmentation in Video Surveillance. IEEE Access 2022, 10, 1259–1275. [Google Scholar] [CrossRef]
- Zhang, L.; Wang, M.; Fu, Y.; Ding, Y. A Forest Fire Recognition Method Using UAV Images Based on Transfer Learning. Forests 2022, 13, 975. [Google Scholar] [CrossRef]
- Lee, M.; Yoon, S.; Kim, J.; Wang, Y.; Lee, K.; Park, F.C.; Sohn, C.H. Classification of Impinging Jet Flames Using Convolutional Neural Network with Transfer Learning. J. Mech. Sci. Technol. 2022, 36, 1547–1556. [Google Scholar] [CrossRef]
- Pincott, J.; Tien, P.W.; Wei, S.; Calautit, J.K. Development and Evaluation of a Vision-Based Transfer Learning Approach for Indoor Fire and Smoke Detection. Build. Serv. Eng. Res. Technol. 2022, 43, 319–332. [Google Scholar] [CrossRef]
- Yang, H.; Wang, J.; Wang, J. Efficient Detection of Forest Fire Smoke in UAV Aerial Imagery Based on an Improved Yolov5 Model and Transfer Learning. Remote Sens. 2023, 15, 5527. [Google Scholar] [CrossRef]
- Sathishkumar, V.E.; Cho, J.; Subramanian, M.; Naren, O.S. Forest Fire and Smoke Detection Using Deep Learning-Based Learning without Forgetting. Fire Ecol. 2023, 19, 9. [Google Scholar] [CrossRef]
- Dalal, S.; Lilhore, U.K.; Radulescu, M.; Simaiya, S.; Jaglan, V.; Sharma, A. A Hybrid LBP-CNN with YOLO-v5-Based Fire and Smoke Detection Model in Various Environmental Conditions for Environmental Sustainability in Smart City. Environ. Sci. Pollut. Res. 2024. [Google Scholar] [CrossRef]
- Liu, X.; Zhang, G.; Lu, J.; Zhang, J. Risk Assessment Using Transfer Learning for Grassland Fires. Agric. For. Meteorol. 2019, 269–270, 102–111. [Google Scholar] [CrossRef]
- Liu, Z.-G.; Li, X.-Y.; Jomaas, G. Identifying Community Fire Hazards from Citizen Communication by Applying Transfer Learning and Machine Learning Techniques. Fire Technol. 2021, 57, 2809–2838. [Google Scholar] [CrossRef]
- Vorwerk, P.; Kelleter, J.; Müller, S.; Krause, U. Classification in Early Fire Detection Using Multi-Sensor Nodes—A Transfer Learning Approach. Sensors 2024, 24, 1428. [Google Scholar] [CrossRef]
- Wang, M.; Deng, W.; Liu, C.-L. Unsupervised Structure-Texture Separation Network for Oracle Character Recognition. IEEE Trans. Image Process. 2022, 31, 3137–3150. [Google Scholar] [CrossRef] [PubMed]
- Zhao, T.; Shen, Z.; Zou, H.; Zhong, P.; Chen, Y. Unsupervised Adversarial Domain Adaptation Based on Interpolation Image for Fish Detection in Aquaculture. Comput. Electron. Agric. 2022, 198, 107004. [Google Scholar] [CrossRef]
- Liu, W.; Luo, Z.; Cai, Y.; Yu, Y.; Ke, Y.; Junior, J.M.; Gonçalves, W.N.; Li, J. Adversarial Unsupervised Domain Adaptation for 3D Semantic Segmentation with Multi-Modal Learning. ISPRS J. Photogramm. Remote Sens. 2021, 176, 211–221. [Google Scholar] [CrossRef]
- Wang, W.; Zhao, F.; Liao, S.; Shao, L. Attentive WaveBlock: Complementarity-Enhanced Mutual Networks for Unsupervised Domain Adaptation in Person Re-Identification and Beyond. IEEE Trans. Image Process. 2022, 31, 1532–1544. [Google Scholar] [CrossRef]
- Ainam, J.-P.; Qin, K.; Owusu, J.W.; Lu, G. Unsupervised Domain Adaptation for Person Re-Identification with Iterative Soft Clustering. Knowl.-Based Syst. 2021, 212, 106644. [Google Scholar] [CrossRef]
- Tzeng, E.; Hoffman, J.; Zhang, N.; Saenko, K.; Darrell, T. Deep Domain Confusion: Maximizing for Domain Invariance. arXiv 2014, arXiv:1412.3474. [Google Scholar]
- Long, M.; Cao, Y.; Wang, J.; Jordan, M. Learning Transferable Features with Deep Adaptation Networks. In Proceedings of the 32nd International Conference on Machine Learning, Lille, France, 7–9 July 2015; pp. 97–105. [Google Scholar]
- Sun, B.; Saenko, K. Deep CORAL: Correlation Alignment for Deep Domain Adaptation. In Computer Vision—ECCV 2016 Workshops; Hua, G., Jégou, H., Eds.; Lecture Notes in Computer Science; Springer International Publishing: Cham, Switzerland, 2016; Volume 9915, pp. 443–450. ISBN 978-3-319-49408-1. [Google Scholar]
- Zhu, Y.; Zhuang, F.; Wang, J.; Ke, G.; Chen, J.; Bian, J.; Xiong, H.; He, Q. Deep Subdomain Adaptation Network for Image Classification. IEEE Trans. Neural Netw. Learn. Syst. 2021, 32, 1713–1722. [Google Scholar] [CrossRef]
- Ganin, Y.; Lempitsky, V. Unsupervised Domain Adaptation by Backpropagation. In Proceedings of the 32nd International Conference on Machine Learning, Lille, France, 7–9 July 2015; pp. 1180–1189. [Google Scholar]
- Pei, Z.; Cao, Z.; Long, M.; Wang, J. Multi-Adversarial Domain Adaptation. In Proceedings of the AAAI Conference on Artificial Intelligence, New Orleans, LA, USA, 2–7 February 2018; Volume 32. [Google Scholar]
- Yu, C.; Wang, J.; Chen, Y.; Huang, M. Transfer Learning with Dynamic Adversarial Adaptation Network. In Proceedings of the 2019 IEEE International Conference on Data Mining (ICDM), Beijing, China, 8–11 November 2019; pp. 778–786. [Google Scholar]
- Shi, Y.; Sha, F. Information-Theoretical Learning of Discriminative Clusters for Unsupervised Domain Adaptation. In Proceedings of the 29th International Conference on Machine Learning ICML 2012, Edinburgh, UK, 26 June–1 July 2012. [Google Scholar]
- Jin, Y.; Wang, X.; Long, M.; Wang, J. Minimum Class Confusion for Versatile Domain Adaptation. In Computer Vision—ECCV 2020; Vedaldi, A., Bischof, H., Brox, T., Frahm, J.-M., Eds.; Lecture Notes in Computer Science; Springer International Publishing: Cham, Switzerland, 2020; Volume 12366, pp. 464–480. ISBN 978-3-030-58588-4. [Google Scholar]
- Prabhu, V.; Khare, S.; Kartik, D.; Hoffman, J. SENTRY: Selective Entropy Optimization via Committee Consistency for Unsupervised Domain Adaptation. In Proceedings of the 2021 IEEE/CVF International Conference on Computer Vision (ICCV), Montreal, QC, Canada, 10–17 October 2021; pp. 8538–8547. [Google Scholar]
- Chen, X.; Wang, S.; Long, M.; Wang, J. Transferability vs. Discriminability: Batch Spectral Penalization for Adversarial Domain Adaptation. In Proceedings of the 36th International Conference on Machine Learning, Long Beach, CA, USA, 9–15 June 2019; pp. 1081–1090. [Google Scholar]
- Cui, S.; Wang, S.; Zhuo, J.; Li, L.; Huang, Q.; Tian, Q. Towards Discriminability and Diversity: Batch Nuclear-Norm Maximization Under Label Insufficient Situations. In Proceedings of the 2020 IEEE/CVF Conference on Computer Vision and Pattern Recognition (CVPR), Seattle, WA, USA, 13–19 June 2020; pp. 3940–3949. [Google Scholar]
- Liang, J.; Hu, D.; Feng, J. Domain Adaptation with Auxiliary Target Domain-Oriented Classifier. In Proceedings of the 2021 IEEE/CVF Conference on Computer Vision and Pattern Recognition (CVPR), Nashville, TN, USA, 20–25 June 2021; pp. 16627–16637. [Google Scholar]
- Shamsoshoara, A.; Afghah, F.; Razi, A.; Zheng, L.; Fulé, P.Z.; Blasch, E. Aerial Imagery Pile Burn Detection Using Deep Learning: The FLAME Dataset. Comput. Netw. 2021, 193, 108001. [Google Scholar] [CrossRef]
- Yar, H.; Khan, Z.A.; Rida, I.; Ullah, W.; Kim, M.J.; Baik, S.W. An Efficient Deep Learning Architecture for Effective Fire Detection in Smart Surveillance. Image Vis. Comput. 2024, 145, 104989. [Google Scholar] [CrossRef]








| Dataset | Fire Images | Non-Fire Images | Labels |
|---|---|---|---|
| FBD (source) | 1500 | 1500 | ✓ |
| FLAME training set (target) | 20,015 | 11,486 | ✗ |
| FLAME validation set | 5003 | 2871 | ✓ |
| FLAME testing set | 5137 | 3480 | ✓ |
| Model | Layer | Feature |
|---|---|---|
| Backbone | ResNet18 | |
| Classifier | Linear(256) | |
| ReLU() | ||
| Dropout(0.5) | FL3 | |
| Linear(256) | ||
| ReLU() | ||
| Dropout(0.5) | FL6 | |
| Linear(2) | Logits | |
| Softmax() | Preds |
| Catalog | Settings |
|---|---|
| Optimizer | SGD |
| One Cycle | |
| 5% warmup period | |
| Cosine annealing | |
| 64 source + 64 target | |
| Iterations/checkpoints | 10000/250 |
| Training Image transforms | Resize(256) |
| RandomCrop(224) | |
| RandomHorizontalFlip() | |
| Normalize() | |
| Validation/testing Image transforms | Resize(256) |
| CenterCrop(224) | |
| Normalize() |
| Model | Accuracy | F1-Score | Recall | Precision | FNR | FPR |
|---|---|---|---|---|---|---|
| (Baseline, Model 1) | 70.84 | 70.27 | 54.23 | 99.78 | 45.77 | 0.21 |
| + (Model 2) | 78.59 | 79.94 | 67.16 | 98.74 | 32.84 | 1.50 |
| + (Model 3) | 96.05 | 96.88 | 96.46 | 97.30 | 3.54 | 4.67 |
| ++ (FireDA, Model 4) | 96.30 | 97.05 | 95.68 | 98.46 | 4.32 | 2.61 |
| Hyperparameter | Search Space |
|---|---|
| [0.0, 0.2, 0.4, 0.6, 0.8, 1.0] | |
| [0.0, 0.1, 1.0, 10.0, 40.0, 50.0, 100.0] | |
| [0.1, 0.3, 0.5, 0.7, 0.9, 1.0] | |
| [10, 20, 40, 60, 80, 100] |
| Methods | Accuracy | F1-Score | Recall | Precision | FNR | FPR | |
|---|---|---|---|---|---|---|---|
| Supervised CNN-based | Xception [93] | 76.23 | - | - | - | - | - |
| ResNet50+SA [66] | 79.48 | - | - | - | - | - | |
| ToT+ResNet50 [61] | 67.50 | 76.10 | 86.50 | 68.30 | 13.50 | 60.55 | |
| Domain adaptation-based | DSAN+ResNet50 [61] | 63.90 | 66.20 | 60.70 | 78.20 | 39.30 | 31.38 |
| Our model | 78.36 | 81.39 | 79.40 | 83.48 | 20.60 | 23.19 | |
Disclaimer/Publisher’s Note: The statements, opinions and data contained in all publications are solely those of the individual author(s) and contributor(s) and not of MDPI and/or the editor(s). MDPI and/or the editor(s) disclaim responsibility for any injury to people or property resulting from any ideas, methods, instructions or products referred to in the content. |
© 2024 by the authors. Licensee MDPI, Basel, Switzerland. This article is an open access article distributed under the terms and conditions of the Creative Commons Attribution (CC BY) license (https://creativecommons.org/licenses/by/4.0/).
Share and Cite
Yan, Z.; Zheng, X.; Li, W.; Wang, L.; Ding, P.; Zhang, L.; Yin, M.; Wang, X. FireDA: A Domain Adaptation-Based Method for Forest Fire Recognition with Limited Labeled Scenarios. Forests 2024, 15, 1684. https://doi.org/10.3390/f15101684
Yan Z, Zheng X, Li W, Wang L, Ding P, Zhang L, Yin M, Wang X. FireDA: A Domain Adaptation-Based Method for Forest Fire Recognition with Limited Labeled Scenarios. Forests. 2024; 15(10):1684. https://doi.org/10.3390/f15101684
Chicago/Turabian StyleYan, Zhengjun, Xing Zheng, Wei Li, Liming Wang, Peng Ding, Ling Zhang, Muyi Yin, and Xiaowei Wang. 2024. "FireDA: A Domain Adaptation-Based Method for Forest Fire Recognition with Limited Labeled Scenarios" Forests 15, no. 10: 1684. https://doi.org/10.3390/f15101684
APA StyleYan, Z., Zheng, X., Li, W., Wang, L., Ding, P., Zhang, L., Yin, M., & Wang, X. (2024). FireDA: A Domain Adaptation-Based Method for Forest Fire Recognition with Limited Labeled Scenarios. Forests, 15(10), 1684. https://doi.org/10.3390/f15101684

