Abstract
Magnetic fields play an important role in regulating plant growth and development, especially in improving plant stress tolerance. However, the physiological mechanism underlying the magnetic effects is still unclear. Here, we examined changes in reactive oxygen species (ROS) levels and ion flux in poplar (Populus × deltoides ‘Lulin-2’) seedling roots under salt stress in a static magnetic field (SMF). SMF treatment significantly increased seedling growth and mitigated the effects of salt stress on root growth. Furthermore, SMF treatment activated ROS and calcium signals in poplar roots. Relative to the SMF treatment group, control plants had significantly higher levels of cytoplasmic free Ca2+ ([Ca2+]cyt) and ROS following exposure to high salt concentrations. Under salt conditions, SMF treatment reduced increases in Na+ concentrations and maintained stable K+ and Ca2+ concentrations and K+/Na+ and Ca2+/Na+ ratios. NMT analysis suggests that SMF treatment may drive cation effluxes in poplar seedling roots. Susceptibility tests of Na+-transport inhibitors indicated that SMF treatment contributed to Na+ repulsion and H+ uptake under salt stress. Moreover, SMF exposure allowed roots to retain the ability to reduce salt-induced K+ and Ca2+ root effluxes, and qRT-PCR results demonstrate that SMF treatment can increase the expression of stress-responsive genes such as PtrRBOHF, PtrNHX1 and PtrHA5 in poplar seedlings. Therefore, we conclude that treating poplar seedlings with SMF can help them establish a stable tolerance to salt stress by regulating ROS, [Ca2+]cyt, and their regulatory networks. This study examined the physiological responses of poplar to SMF exposure under salt stress, providing insights into plant magnetobiological effects.
1. Introduction
Soil salinization is a global threat that diminishes soil fertility and agro-forestry production [1,2]. High concentrations of salt in the soil solution limit plant metabolism and growth via ion toxicity, high osmotic pressure, and oxidative damage to plants’ cell membranes [2,3,4]. Improving salt stress tolerance is thus an important goal of contemporary agricultural research, and many studies have focused on biological and chemical techniques to promote salt stress tolerance. Alternative, less environmentally-damaging approaches, including magnetic field (MF) treatment, have demonstrated success in promoting plant growth [5].
As a component of the natural environment, MFs help regulate plant growth and animal activity, and evolutionary processes are closely associated with the geomagnetic field (GMF) [5]. Previous work demonstrates that plant morphogenesis, nutrient uptake, and biological rhythm is disrupted in artificial environments with near-null MFs [6,7] and that MFs can be modulated to promote plant growth and development [8,9,10]. The radical pair mechanism has been proposed as a driver of the biological effects of MFs; this explanation postulates that MFs affect the spin coherence dynamics of transient radical pairs in cryptochrome proteins, altering the quantum yield of the protein signals [11,12,13,14,15]. Numerous studies have shown that MFs can be leveraged to improve the growth and yield of some crops, even under stress [10,16,17,18,19]. However, the MF-induced physiological responses of plants under salt stress have not been fully elucidated.
Changes to intracellular ion concentrations have a profound impact on cytoplasmic metabolic activity, including in vivo homogenesis of Na+ and K+. In salt-sensitive plants, Na/K ion homogenesis is easily disrupted under salt stress. For example, when Populus euramericana ‘I-107’, a salt-sensitive poplar, was exposed to a soil solution with NaCl concentrations of 68 mmol·L−1, the concentrations of Na+ increased substantially while the concentrations of K+ decreased markedly [20]. In contrast, the salt-tolerant poplar P. euphratica was better able to maintain Na/K homogenesis under long-term salt stress relative to the salt-sensitive P. popularis [21]. Previous studies have revealed several core stress signaling pathways involved in plant salt tolerance, in which the salt-overly-sensitive (SOS) pathway extrudes Na+ into the apoplast through Na+/H+ antiporter and H+-ATPase. The genes encoding these ion transporters (e.g., SOS1, NHXs, HAs) are widely activated under salt stress and they play a key role in maintaining intracellular ion homeostasis by regulating the activity of ion channels [2]. The ion channels within plant cell membranes are generally regarded as playing an important role in the mechanism by which ion homogenesis regulates plant growth and improves stress tolerance [22,23]. Non-selective cation channels (NSCCs) mediate the entry of Na+ and K+ into plant cells [24]. Studies have shown that MFs can increase cell membrane permeability by influencing membrane structure, thereby modulating ion transport and affecting metabolic processes [10,25,26]. Research exploring the relationship between ion flux and ion channels is thus critical for understanding the physiological responses plants to MFs and salt stress.
Two important cell signals, calcium ions (Ca2+) and reactive oxygen species (ROS), are produced in large quantities and regulate a variety of biological processes in plants experiencing stress [27,28]. ROS and Ca2+ signals have been the focus of extensive research within plant stress physiology, and most work supports the idea that rapid increases in the concentrations of ROS and cytoplasmic free Ca2+ ([Ca2+]cyt) are early cellular signals triggered by MFs conditions [29,30,31,32,33]. This suggests that signal molecule research is the basis for understanding plant stress response and adaptation. A growing body of evidence demonstrates that ROS serve as important signal molecules and influence physiological processes by oxidizing proteins, lipids, and polynucleotides [27,34,35,36,37,38,39]. In particular, hydrogen peroxide (H2O2) produced by RBOHs (plant respiratory burst oxidase homologue) has the function of regulation and signal transduction. Genetic analysis revealed that RBOHF and RBOHD are required for the accumulation of reactive oxygen intermediates in plant defense responses [40]. [Ca2+]cyt is also regarded as a universal secondary signal in most plant responses to stress. For example, the salt-tolerant function of plants achieved via the SOS pathway must have been previously activated by Ca2+ signals [41]. Many investigations have suggested that signal transduction via superoxides, for example, might be an important pathway for converting MF-activated cryptochromes into cellular signals [42,43,44,45,46]. However, it is still unclear how MFs regulate ROS production and whether plants can adapt by leveraging MF-activated cellular signals.
To observe the physiological responses of poplar trees to MF treatment and to explore the relationship between magnetobiological effects and salt stress tolerance, we designed a static MF (SMF) experiment. We also analyzed poplar (Populus × deltoides ‘Lulin-2’) growth phenotypes, ROS and [Ca2+]cyt levels, root ion concentrations (Na+, K+, Ca2+), root surface ion fluxes (Na+, H+, K+, Ca2+), and the expression of stress-responsive genes in poplar seedlings under MF and salt stress. We hypothesized that: (1) SMFs promote root growth and development by modulating ROS and [Ca2+]cyt levels in poplar seedlings; (2) SMF-induced salt tolerance may depend on the homeostasis of ROS and ion flux within plant roots. By examining the physiological response to SMF under salt stress, this study provides new insights into plant magnetobiological effects.
2. Materials and Methods
2.1. Static MF Setup
The SMF design was adapted from published methods [47,48]. We created a 50 (±2) mT SMF by placing two ferrite permanent magnets 5 cm apart from one another. The SMF frame was fixed via an A3 steel panel with high magnetic permeability, and pure iron panels were used to homogenize MF intensity (Figure S1).
2.2. Plant Materials and Experimental Conditions
Seedlings of a salt-sensitive poplar (Populus × deltoides ‘Lulin-2’) were used. Before the study, the poplar materials for the test were widely screened and the medium-cultured seedings were finally used, due to their advantages of easily observing root growth and conveniently controlling experiments. Additionally, all the seeds were collected from the same tree, and the large number of seeds were sowed to screen uniform traits of poplar seedings, which ensured the effects of genetic heterogeneity on the experiment could be as reduced as possible. Poplar seeds were sown in a petri dish containing ½ MS medium (pH = 6.0), after which the petri dish was sealed and placed in an incubator at 25 ± 2 °C and exposed to light for 14 h each day. After 7 days, same-sized seedlings (i.e., seedlings with similar root length and number of leaves) were selected and transferred to another large petri dish containing ½ MS medium (pH = 6.0). 10–13 seedlings were transferred to each petri dish, after which they were stacked vertically in the SMF devices.
The poplar seedlings were divided into two groups: control and SMF. The SMF treatment group was exposed to the SMF for 7 days. Then, the two groups of seedlings (control and SMF) were both treated with 100 mM and 400 mM salt solutions. Two different treatment durations were tested: long-term (LT = 7 d; 100 mM) and short-term (ST = 24 h; 400 mM). Thus, a total six treatments were included in this study: control, SMF, NaCl (LT), NaCl (ST), SMF + NaCl (LT) and SMF + NaCl (ST).
2.3. Measurement of ROS and [Ca2+]cyt
ROS and [Ca2+]cyt levels in roots of poplar seedlings treated with SMF or salt stress were measured using two specific fluorescent probes: 2,7-dichlorodihydrofluorescein diacetate (H2DCF-DA; Macklin Biochemical Technology, Shanghai, China) to measure ROS levels and Rhod-2 AM (Yeasen Biotechnology, Shanghai, China) to measure [Ca2+]cyt levels. The immediate and short-term responses of ROS and [Ca2+]cyt were tested following NaCl exposure. Poplar root tips (1–2 cm) were collected from individuals in each of five treatment groups, including control, SMF, NaCl (ST), SMF + NaCl (ST), and NaCl-Shock (100/400 mM 10 min). After collection, the root tip samples were placed in 5 µM H2DCF-DA (prepared in ½ MS liquid solution, pH = 6.0) and incubated at 25 °C for 5 min. A second set of samples was placed in 2 µM Rhod-2 AM (prepared in ½ MS liquid solution, pH = 6.0) and incubated at 25 °C for 30 min. After incubation, the root tips were washed in ½ MS solution 3–4 times prior to observation using laser confocal microscopy (LSM 880; Carl Zeiss AG, Oberkochen, Germany) and specific probe fluorescence was recorded. The excitation wavelength of H2DCF-DA is 488 nm, and its emission wavelength is 510–530 nm; the excitation wavelength of Rhod-2 AM is 543 nm, and its emission wavelength is 570–590 nm. Image J software (Version 1.48, National Institutes of Health, Bethesda, MD, USA) was used to analyze all images [49].
2.4. Intracellular Ion Concentrations
Following the approach outlined by Sun et al. (2010) [50], a scanning electron microscope (SU8100, Hitachi, Kyoto, Japan) equipped with an energy dispersive X-ray spectrometer (ULTIMMAX100; Oxford, Abingdon, UK) was employed to measure the relative changes of Na+, K+, and Ca2+ concentrations in root cross-sections. After the 7th day of exposure to NaCl stress, 1-cm long root tips were selected from each of four treatment groups (control, SMF, NaCl (LT), and SMF + NaCl (LT)) and treated with fixation solution. Dehydrated samples were coated with gold using a high-vacuum sputter coater (MC1000, Hitachi, Kyoto, Japan). Probe measurements were taken using a broad electron beam that covered whole cells. K+, Na+ and Ca2+ levels were expressed as a percentage of the total atomic number for all the major elements (C, O, K, Na, Ca, and Mg).
2.5. Root Surface Net Ion Flux
2.5.1. Steady-State Measurements of Net Na+, H+, K+ and Ca2+ Fluxes
Following previously published methods [50,51], the net fluxes of Na+, H+, K+, and Ca2+ on poplar fine root surface were examined using non-invasive micro-test technology (NMT) (100-SIM-YG; Younger, Amherst, MA, USA). 2–3 cm long fine roots were collected from all six treatment groups and washed with ultra-pure water, placed in basic test solution (Na+ (0.1 mM NaCl, 0.1 mM CaCl2), H+ (0.1 mM CaCl2, 0.3 mM MES), K+ (0.1 mM KCl, 0.1 mM CaCl2), Ca2+ (0.1 CaCl2)), and allowed to equilibrate for 30 min. The net fluxes of the four ions on root surfaces were measured at 50–400 μm intervals along the root tip (0–2000 μm) over a period of 30–40 min.
Prior to ion flux measurements, ion-selective microelectrodes for the target ions were calibrated: (1) Na+, 0.1 mM, 1.0 mM; (2) H+, pH 5.5, 6.5; (3) K+, 0.05 mM, 0.5 mM; and (4) Ca2+, 0.05 mM, 0.5 mM. Only electrodes with Nernstian slopes > 50 mV/decade (25 mV/decade for Ca2+ electrodes) were used. Ion flux rates were calculated using Fick’s law of diffusion: J = −D(dc/dx), where J is ion flux in the x direction, dc/dx is the ion concentration gradient, and D represents the ion diffusion coefficient in a particular medium.
2.5.2. Ion Channel Inhibitor Treatment
The root tips collected from the NaCl (ST) and SMF + NaCl (ST) groups were subjected to sodium orthovanadate (500 μm), amiloride (50 μm), tetraethylammonium chloride (TEA, 50 μm), or LaCl3 (200 μm) for 30 min. Before Na+ flux was measured, solutions containing sodium orthovanadate were replaced with 10 mL of fresh solution, but test solutions containing amiloride and TEA were not replaced [51]. Steady fluxes of Na+ (sodium orthovanadate or amiloride treatment) and K+ (TEA treatment) were measured in SMF pretreated with or without inhibitors at pH 6.0.
2.5.3. Transient Ion Flux Kinetics
Root samples were collected from the SMF and control groups. After equilibration to the basic test solution, steady fluxes of H+, K+, and Ca2+ in the apical region (500 μm from the root apex) were recorded for 5–6 min before the salt shock. Then, 1000 mM of NaCl solution was slowly added to the test solution until a final NaCl concentration of 100 mM was reached. Ion flux continued to be measured for 30–40 min. For transient flux kinetics, data collected during the first 2–3 min were discarded due to the diffusion effects of stock addition [51].
2.6. qRT-PCR Analyses
Poplar leaves were collected after the seedlings had been exposed to SMF for 24 h (SMF (24 h)) or 7 days (SMF (7d)). Relative expression levels of PtrRBOHF and other stress-responsive genes were quantified via qRT-PCR (Bio-Rad CFX96, ABI, Hercules, CA, USA) using gene-specific primers (http://plants.ensembl.org/index.html, accessed on 14 October 2022) (Table S1). We used Vazyme kits (Vazyme, Nanjing, China) for total RNA extraction, reverse transcription, and qRT-PCR according to the manufacturer’s instructions.
2.7. Data Analysis
Three-dimensional ion fluxes were calculated using MageFlux 1.0, developed by Xu Yue (http://xuyue.net/mageflux, accessed on 18 August 2022). A completely randomized design was employed, and all data presented in this study were expressed as means ± SE with at least three plant replicates. Statistical analysis was used one-way ANOVA in SPSS 23.0 (IBM Corp., Armonk, NY, USA) and followed the least significant difference (LSD) test at a significance level of p < 0.05.
3. Results
3.1. Poplar Seedling Growth and ROS and [Ca2+]cyt Levels
Compared to the control group, salt treatment (NaCl (LT)) inhibited poplar seedling growth (Figure 1a) and decreased root length and fresh weight (FW) (Figure 1b,c). SMF treatment promoted seedling growth relative to control treatment, even under salt addition (NaCl (LT) + SMF) (Figure 1a). Root length and FW also increased significantly in this group (Figure 1b,c). These morphological effects indicate that SMF positively affects poplar seedlings.
Figure 1.
Effects of static magnetic field (SMF) and long-term 100 mM NaCl (LT) treatments on the growth of poplar (Populus × deltoides ‘Lulin-2’) seedlings (N = 30). (a) Morphological traits of poplar seedlings after different treatments. Effect of SMF on seedling root length (b), (c) increased root length of seedling under different treatment and (d) fresh weight of seedling roots after salt treatment. The increased root length is the difference between the final root length of each treatment group (b) and the initial root length before treatment. Different lower-case letters indicate significant difference (p < 0.05), and results are expressed as mean ± SE.
Compared to the control group, [Ca2+]cyt and ROS levels in poplar roots appeared to increase after one week of SMF exposure (Figure S2a,b). However, under NaCl (ST) − SMF treatment, the levels of ROS and [Ca2+]cyt in poplar roots were significantly higher than in the NaCl (ST) + SMF group. Furthermore, both salt-shock tests showed similar results for the accumulation of ROS and [Ca2+]cyt over short periods of time (Figure 2a,b). Thus, SMF treatment decreased [Ca2+]cyt and ROS levels in poplar seedlings.
Figure 2.
Levels of cytoplasmic free Ca2+ ([Ca2+]cyt) and reactive oxygen species (ROS) in poplar roots under salt stress and static magnetic field (SMF) treatment (N = 4~6). After SMF treatment, poplar seedlings were treated with short-term NaCl (100 mM NaCl for 24 h) or NaCl shock (100 mM or 400 mM NaCl for 10 min). (a) The relative fluorescence intensity of [Ca2+]cyt. Root samples were impregnated with Ca2+-specific fluorescent probe Rhod-2 AM and incubated for 30 min. (b) Relative fluorescence intensity of ROS. Root samples were impregnated with ROS-specific fluorescent probe H2DCF-DA and incubated for 5 min. Each data point represents mean ± SE. Asterisks in (a,b) indicate significant differences between groups treated with SMF (+SMF) and groups that did not receive SMF treatment (−SMF) (p < 0.05).
3.2. Concentrations of Na+, K+ and Ca2+ in Roots
Compared to the control group, the relative concentrations of Na+, K+, and Ca2+ in fine roots decreased by 28.7%, 32.4%, and 17.6% after exposure to SMF (Figure 3a–c), respectively; however, only the concentrations of Na+ were significant (Figure 3a). Salt stress significantly increased Na+ concentrations in poplar seedling roots (Figure 3a), while driving significantly reductions in the concentrations of K+ and Ca2+ (Figure 3b,c). In the NaCl (ST) + SMF treatment group, concentrations of Na+, K+, and Ca2+ and the ratios of K+/Na+ and Ca2+/Na+ did not differ significantly from the control group (Figure 3a–e). These results indicate that SMF played an important role in maintaining ion homeostasis in plant roots under salt treatment.
Figure 3.
Effects of static magnetic field (SMF) and long-term NaCl (LT) treatments on Na+, K+, Ca2+, K+/Na+, and Ca2+/Na+ in poplar roots (N = 4). Concentrations of Na+, K+, and Ca2+ are expressed as atomic mass fraction (%). (a) Na+ concentrations. (b) K+ concentrations. (c) Ca2+ concentrations. (d) K+/Na+ ratio. (e) Ca2+/Na+ ratio. Different lowercase letters indicate significant difference (p < 0.05), and results are expressed as mean ± SE.
3.3. Root Surface Ion Flux Dynamics
3.3.1. Na+ Flux
NMT analysis showed that the NaCl (ST) treatment caused a net influx of Na+ to the root surface 50–300 μm from the root tip (Figure 4a), while NaCl (LT) treatment caused a steady influx of Na+ across the entire root tip, from 50–2000 μm (Figure 4b). The Na+ flux was not significantly different in SMF-treated roots relative to control roots (Figure 4e). However, SMF demonstrated an obvious role in promoting Na+ efflux in the NaCl (ST) and NaCl (LT) treatment groups (Figure 4c,d). These findings suggest that SMF helped promote Na+ efflux and was involved in preventing Na+ accumulation in poplar roots under salt stress conditions (Figure 4f). Pharmacological experiments probing the structure of ion channel inhibitors also showed that the Na+/H+ antiporter inhibitor (amiloride), the plasma membrane (PM) H+-ATPase inhibitor (sodium orthovanadate), and the NSCCS inhibitor (LaCl3) significantly reduced the Na+ efflux induced by high-concentration salt in SMF-treated roots (Figure 5a).
Figure 4.
Effects of static magnetic field (SMF) and NaCl treatments on Na+ flux in poplar seedling roots (N = 4~6). (a) Net Na+ flux under short-term NaCl (ST) treatment (400 mM NaCl for 24 h). (b) Net Na+ flux under long-term NaCl (LT) treatment (100 mM NaCl for 7 d). (c,d) Net Na+ flux under NaCl (ST/LT) after one-week exposure to SMF. (e) Net Na+ flux under SMF treatment (exposure to SMF for 7 d). (f) Steady Na+ flux under SMF (+SMF) and no-SMF (−SMF) treatment in control, NaCl (ST) and NaCl (LT) groups. Steady Na+ flux was measured and averaged along root axes (0–2000 μm from the apex) at intervals of 50–400 μm. Asterisks indicate significant difference between treatments (p < 0.05), and results are expressed as mean ± SE.
Figure 5.
Effects of pharmacological agents on net fluxes of Na+, H+, K+, and Ca2+ in NaCl and static magnetic field (SMF) treatments (N = 3~4). (a) before measuring Na+ flux, poplar roots were treated with 50 µM amiloride, 500 µM sodium orthovanadate, or 200 µM LaCl3 for 30 min. (b) before measuring H+ flux, poplar roots were treated with 500 µM sodium orthovanadate or 50 µM amiloride for 30 min. (c) before measuring Ca2+ flux, poplar roots were treated with 200 µM LaCl3 for 30 min. (d) before measuring H+ flux, poplar roots were treated with 50 µM TEA or 500 µM sodium orthovanadate for 30 min. Net flux was measured for a duration of 5–15 min. Different lowercase letters indicate significant difference (p < 0.05), and results are expressed as mean ± SE.
3.3.2. H+ Flux
NMT analysis revealed a net influx of H+ on the root surface in the control group and H+ influx limitation under salt stress. Specifically, NaCl (ST) treatment drove an obvious increase in H+ efflux (Figure 6a) and NaCl (LT) treatment reduced H+ influx and promoted net H+ efflux (Figure 6b). Similarly, SMF treatment significantly reduced H+ influx (Figure 6e). SMF thus clearly inhibited H+ efflux under salt treatment (Figure 6c,d), supporting our finding that SMF plays a positive role in reducing H+ efflux in poplar seedlings under salt stress (Figure 6f). We also found that the Na+/H+ antiporter inhibitor (amiloride) and the PM H+-ATPase inhibitor (sodium orthovanadate) both significantly reduced H+ influx induced by salt stress in SMF-treated groups (Figure 5b). Moreover, H+ transient flux kinetics also showed that SMF helped maintain a stable net H+ influx under salt stress (Figure S3a).
Figure 6.
Effects of static magnetic field (SMF) and NaCl treatments on H+ flux in poplar seedling roots (N = 4~6). (a) Net H+ flux under short-term NaCl (ST) treatment (400 mM NaCl for 24 h). (b) Net H+ flux under long-term NaCl (LT) treatment (100 mM NaCl for 7 d). (c,d) Net H+ flux under NaCl (ST/LT) after one-week exposure to SMF. (e) Net H+ flux under SMF treatment (exposure to SMF for 7 d). (f) Steady H+ flux under SMF (+SMF) and no-SMF (−SMF) treatment in control, NaCl (ST) and NaCl (LT) groups. Steady H+ flux was measured and averaged along root axes (0–2000 μm from the apex) at intervals of 50–400 μm. Asterisks indicate significant difference between treatments (p < 0.05), and results are expressed as mean ± SE.
3.3.3. K+ Flux
NaCl (ST) treatment caused a net efflux of K+ 50–500 μm from the root tip (Figure 7a), while NaCl (LT) treatment caused net K+ efflux 500–1600 μm from the root tip (Figure 7b). However, in SMF-treated roots, NaCl (ST) and NaCl (LT) treatment did not lead to a stronger net efflux of K+ (Figure 7c,d). Although SMF treated roots showed significant efflux of K+ 200–2000 μm from the root tip (Figure 7e), net K+ efflux under salt treatment was still obvious (Figure 7f). Furthermore, TEA, a K+ channel inhibitor, significantly reduced salt-induced K+ efflux from control roots, while the PM H+-ATPase inhibitor (sodium orthovanadate) promoted K+ efflux (Figure 5c). Transient K+ kinetics showed that salt shock caused an obvious efflux of K+ from control roots, but the flux rate was lower in SMF-treated roots (Figure S3b), indicating that SMF can help cells retain K+.
Figure 7.
Effects of static magnetic field (SMF) and NaCl treatments on K+ flux in poplar seedling roots (N = 4~6). (a) Net K+ flux under short-term NaCl (ST) treatment (400 mM NaCl for 24 h). (b) Net K+ flux under long-term NaCl (LT) treatment (100 mM NaCl for 7 d). (c,d) Net K+ flux under NaCl (ST/LT) after one-week exposure to SMF. (e) Net K+ flux under SMF treatment (exposure to SMF for 7 d). (f) Steady K+ flux under SMF (+SMF) and no-SMF (−SMF) treatment in control, NaCl (ST) and NaCl (LT) groups. Steady K+ flux was measured and averaged along root axes (0–2000 μm from the apex) at intervals of 50–400 μm. Asterisks indicate significant difference between treatments (p < 0.05), and results are expressed as mean ± SE.
3.3.4. Ca2+ Flux
Ca2+ flux varied considerably across different treatment groups. Compared to the control, the NaCl (ST) treatment induced significant Ca2+ efflux along the roots’ apical regions (Figure 8a), whereas NaCl (LT) and SMF treatment did not influence the magnitude of root tip Ca2+ fluxes (Figure 8b,e). SMF treatment significantly promoted Ca2+ influx under NaCl (ST) and NaCl (LT) treatments (Figure 8c,d). In general, SMF appeared to significantly increase Ca2+ influx under salt stress (Figure 8f). Salt shock induced a transient increase in Ca2+ efflux in control roots, but no corresponding changes were observed in SMF treated roots, and the salt shock-induced Ca2+ efflux was more pronounced in the roots sampled from the control group than in SMF-treated roots (Figure S3c). LaCl3, an NSCC and Ca2+-permeable channel inhibitor, limited Ca2+ efflux from salt treated roots, but did not have a significant effect on Ca2+ flux in the SMF +NaCl treatment groups (Figure 5d).
Figure 8.
Effects of static magnetic field (SMF) and NaCl treatments on Ca2+ flux in poplar seedling roots (N = 4~6). (a) Net Ca2+ flux under short-term NaCl (ST) treatment (400 mM NaCl for 24 h). (b) Net Ca2+ flux under long-term NaCl (LT) treatment (100 mM NaCl for 7 d). (c,d) Net Ca2+ flux under NaCl (ST/LT) after one-week exposure to SMF. (e) Net Ca2+ flux under SMF treatment (exposure to SMF for 7 d). (f) Steady Ca2+ flux under SMF (+SMF) and no-SMF (−SMF) treatment in control, NaCl (ST) and NaCl (LT) groups. Steady Ca2+ flux was measured and averaged along root axes (0–2000 μm from the apex) at intervals of 50–400 μm. Asterisks indicate significant difference between treatments (p < 0.05), and results are expressed as mean ± SE.
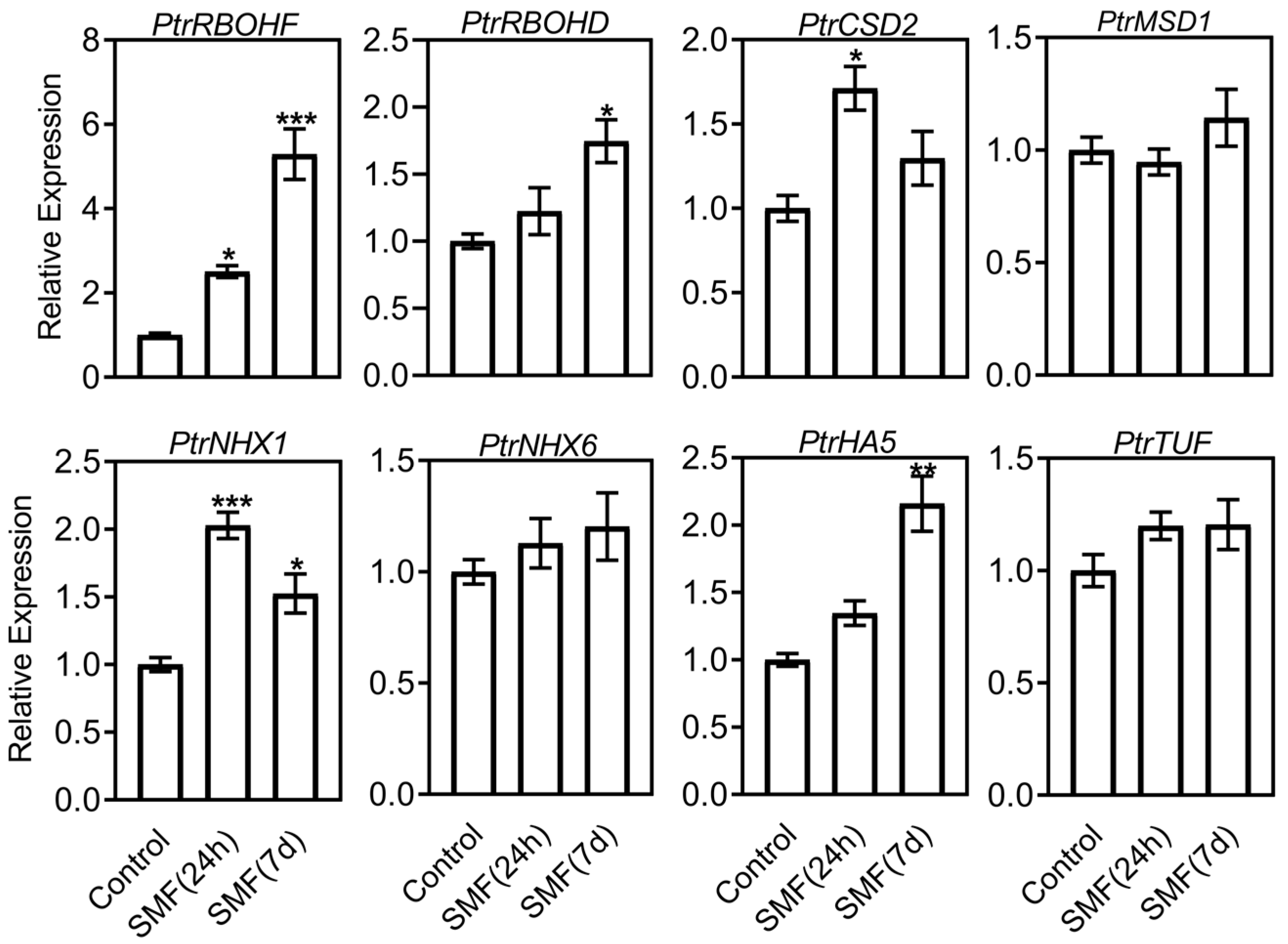
3.4. Expression of Stress-Responsive ROS Production and Ion Transporter Genes
The results of qRT-PCR showed that SMF treatment significantly promoted the expression of particular genes (Figure 9). Compared with the control group, SMF treatment (SMF (7d)) significantly increased the transcription levels of PtrRBOHF (5.3-fold), PtrRBOHD (1.7-fold), and PtrHA5 (2.2-fold). During the first 24 h of SMF treatment (SMF (24h)), SMF significantly increased the expression of PtrNHX1 (2.0-fold) and PtrCSD2 (1.71-fold); however, the expression of PtrNHX6, PtrTUF, and PtrMSD1 did not change. These results indicate that SMF treatment can promote ROS production and affect the PM proton reverse transport system and the activity of proton transport ATP enzymes by increasing the transcription of the stress-responsive genes.
Figure 9.
Effects of static magnetic field (SMF) treatment on the expression of stress-responsive genes in poplar seedlings (N = 3). Asterisks indicate significant difference (* p < 0.05, ** p < 0.01, *** p < 0.001), and results are expressed as mean ± SE.
4. Discussion
4.1. Seedling Physiological Responses to SMF and Salt Stress
For decades, many scientific reports have shown the positive effects of MF treatment on plants, and that appropriate MF intensity can stimulate plant growth and crop yield [5,18,19,52]. However, the mechanism underlying this effect has not been fully elucidated. In this study, lateral root tips of poplar seedlings in SMF treatment appeared more than those in the control plants, especially in the groups that did not receive salt treatment (Figure 1a). Root morphology and activity play important roles in plant growth and development [53], with multiple studies demonstrating that complex root architectures can facilitate the absorption and use of water and nutrients and help plants respond to stress [4,54,55]. Highly proliferating apical tissues may be the specific sites of ROS accumulation [56,57] and ROS levels are associated with root growth, cell wall differentiation, and various responses to biotic and abiotic stress [58]. The images generated from laser confocal microscopy demonstrate that SMF treatment induced the accumulation of more ROS and [Ca2+]cyt at root tips relative to the control treatment (Figure 2a,c), further confirming our first hypothesis. However, the mechanisms by which SMF regulates ROS production are still unclear [59]. Interestingly, both Ca2+ channels and NADPH oxidase are localized on the cell membrane [40] and even small changes in membrane voltage may trigger significant changes in cellular function [29]. Here, we found that SMF-induced changes in ROS concentrations were correlated with the activation of the [Ca2+]cyt signal and differential expression of RBOH genes (Figure 2 and Figure 9), which are generally regarded as the main target of magnetic effects. Therefore, we conclude that ROS expression is mediated by the SMF-induced responses of Ca2+ channels and NADPH oxidase, helping to regulate poplar seedling root development.
Imbalances among intracellular ions are usually another important plant response to most types of environmental stress and are considered a key process of root stress physiology [60]. We found that SMF can induce cation efflux from roots, driving the loss of intracellular ions (Figure 3, Figure 4 and Figure 7). The electrolyte leakage that occurs under most stress conditions is usually accompanied by the production of ROS, and both NaCl and SMF treatments drove the production of ROS (Figure 2d). This finding may seem to suggest that SMF treatment can have adverse effects on poplar seedings; however, the ROS produced by NADPH oxidase activates Ca2+ influx channels in roots, and changes to [Ca2+]cyt and cellular proteins would directly affect the activity of various channels in the membrane [61]. For example, ROS produced by AtrbohD and AtrbohF in Arabidopsis can activate PM Ca2+ permeation channels, including NSCCs, resulting in increasing [Ca2+]cyt concentrations [62]. Therefore, we conclude that SMF modulates ion proportion and ion channel activity by inducing the accumulation of ROS and [Ca2+]cyt. However, as typical signaling substances, ROS and [Ca2+]cyt activation requires external stimulus [29,33,39,41,63]. Exposure to SMF can stimulate poplar seedlings to produce more ROS and [Ca2+]cyt in the root tip (Figure 2), producing a kind of stress stimulus to poplar seedlings.
4.2. SMF Improves Poplar Salt Tolerance by Maintaining Ion Homeostasis
Na+/K+ homeostasis in the cytoplasm determines plant salt tolerance [2,21,51]. Salt stress drives the accumulation of Na+ in plant cells, disrupting Na+/K+ homeostasis. In this study, NaCl (LT) treatment drove significantly higher Na+ concentrations and significantly lower K+ concentrations (Figure 3a,b), reducing K+/Na+ (Figure 3d). Furthermore, NMT analysis demonstrates that ST and LT NaCl stress would affect the ion absorption process of seedling roots in varying degrees, especially NaCl (LT) treatment would lead to the significant loss of K+ in the meristem zone and the influx of Na+ in the whole root tip (Figure 4 and Figure 7). However, SMF treatment helped slow K+ and Ca2+ efflux under salt stress (Figure 7 and Figure 8), implying that SMF may help poplar seedlings retain K+ and Ca2+ in the cytoplasm. Moreover, the Na+/H+ antiporter inhibitor (amiloride) and the PM H+-ATPase inhibitor (sodium orthovanadate) significantly reduced Na+ efflux and H+ influx in SMF-treated roots under salt stress (Figure 5), suggesting that Na+ ions may be repelled by Na+/H+ antiporters and PM H+-ATPase. Multiple studies have shown that ROS can increase the activity of PM H+-ATPase and regulate the Na+/K+ homeostasis by increasing the level of cytoplasmic Ca2+, thereby inducing poplar salt tolerance [50,64]. In this study, NaCl treatment resulted in explosive increases in ROS and Ca2+ accumulation in poplar roots (Figure 2). Results from qRT-PCR analysis showed that SMF treatment significantly increased the PtrHA5 and PtrNHX1 expression, indicating that SMF treatment increased the activities of PM H+-ATPase and Na+/H+ antiporters to promote active Na+ efflux. Thus, SMF treatment can maintain ion homeostasis in roots, improving salt tolerance among poplar seedings.
This work supports the idea that SMF treatment can positively affect ion channel activities of cell membranes and various intracellular signals via multiple pathways. First, SMF can change the ion concentrations in roots, intracellular and extracellular. Especially, the disruption of intracellular ion homeostasis will cause a series of physiological reactions, such as the activation of ROS and [Ca2+]cyt signals, and change the flux of ions through membrane channels (Figure 10). Changes of ion channel activity and intracellular signaling substance content will interact and intersect, resulting in a wider range of signal feedback. Many studies have shown that environmental stress signals can be sensed quickly by plants, driving the accumulation of transcription factors, antioxidants, osmoprotectants, and other enzymes (or proteins) that mediate the establishment of stress memory [27,39,63,65]. The feedback between stress-induced systemic ROS signals and systemic acquired acclimation has also been demonstrated [66,67]. For example, some specific ROS/antioxidant signatures associated with stress increase plant fitness and can be used to monitor how well plants are adapting to changing environments [68]. Therefore, we speculate that SMF causes initial stress memory in poplar seedlings by inducing intracellular ion disequilibrium. More importantly, this systemic acquired acclimation is what facilitated salt stress tolerance in poplar seedlings in this study.
Figure 10.
The physiological regulation pathway by which static magnetic fields improve salt stress tolerance of poplar seedlings.
5. Conclusions
SMF treatment activated ROS and [Ca2+]cyt signals in poplar seedlings and promoted root growth. Salt stress disrupted intracellular ion homeostasis in poplar roots, inducing explosive increases in ROS and calcium signals. However, SMF treatment enhanced the activities of plasma membrane H+-ATPase and Na+/H+ antiporters to maintain ion homeostasis in roots under salt stress. As such, SMF treatment promoted the salt tolerance of poplar by promoting the accumulation of ROS and [Ca2+]cyt.
Supplementary Materials
The following supporting information can be downloaded at: https://www.mdpi.com/article/10.3390/f15010138/s1, Figure S1. Design model of static magnetic field (SMF). The model includes permanent magnets of opposite polarity (S, N) facing one other across a gap (5 cm), a shaped steel poles, and a yoke that forms the flux return path. The direction of the magnetic field is perpendicular to the poles (B0). The intensity of SMF created was 50 (±2) mT. Figure S2. Levels of cytoplasmic free Ca2+ ([Ca2+]cyt) and reactive oxygen species (ROS) in poplar roots under salt stress and static magnetic field (SMF) treatment (N = 4~6). After SMF treatment, poplar seedlings were treated with short-term NaCl (100 mM NaCl for 24 h) or NaCl shock (100 mM or 400 mM NaCl for 10 min). (a) Root samples were impregnated with Ca2+-specific fluorescent probe Rhod-2 AM and incubated for 30 min, after which laser confocal microscopy was used to quantify red fluorescence in apical zone cells. (b) Root samples were impregnated with ROS-specific fluorescent probe H2DCF-DA and incubated for 5 min., after which laser confocal microscopy was used to quantify green fluorescence in apical zone cells. Figure S3. Effects of static magnetic field (SMF) treatment on transient flux kinetics of K+, H+ and Ca2+ in poplar seedling roots (N = 4). Control and SMF roots were treated with instantaneous 100 mM NaCl. (a) K+, (b) H+ and (c) Ca2+ kinetics were recorded at the root apex, ~500 μm from the root tip, after 1000 mM NaCl was added to the measuring chamber. Before the salt shock, steady fluxes of K+, H+ and Ca2+ were monitored for 5 min. Table S1. Primers used in this study.
Author Contributions
Conceptualization, J.H. and H.Z.; methodology, J.H.; software, N.W.; validation, W.H., S.M. and N.W.; formal analysis, W.H.; data curation, J.H.; writing—original draft preparation, J.H.; writing—review and editing, Y.W.; supervision, H.Z.; project administration, F.M. and H.T.; funding acquisition, Y.W. All authors have read and agreed to the published version of the manuscript.
Funding
This work was supported by the National Natural Science Foundation of China (32071751), the Key Research and Development Program of Shandong province (2021SFGC020503), and the National Key Research and Development Program of China (2021YFD2201201).
Data Availability Statement
The data that support the findings of this study are available from the corresponding author upon reasonable request.
Conflicts of Interest
The authors declare no conflict of interest.
References
- Bailey-Serres, J.; Parker, J.E.; Ainsworth, E.A.; Oldroyd, G.E.D.; Schroeder, J.I. Genetic Strategies for Improving Crop Yields. Nature 2019, 575, 109–118. [Google Scholar] [CrossRef]
- Yang, Y.; Guo, Y. Unraveling Salt Stress Signaling in Plants: Salt Stress Signaling. J. Integr. Plant Biol. 2018, 60, 796–804. [Google Scholar] [CrossRef]
- Gong, Z.; Xiong, L.; Shi, H.; Yang, S.; Herrera-Estrella, L.R.; Xu, G.; Chao, D.-Y.; Li, J.; Wang, P.-Y.; Qin, F.; et al. Plant Abiotic Stress Response and Nutrient Use Efficiency. Sci. China Life Sci. 2020, 63, 635–674. [Google Scholar] [CrossRef]
- Zou, Y.; Zhang, Y.; Testerink, C. Root Dynamic Growth Strategies in Response to Salinity. Plant Cell Environ. 2022, 45, 695–704. [Google Scholar] [CrossRef]
- Occhipinti, A.; De Santis, A.; Maffei, M.E. Magnetoreception: An Unavoidable Step for Plant Evolution? Trends Plant Sci. 2014, 19, 1–4. [Google Scholar] [CrossRef]
- Agliassa, C.; Maffei, M.E. Reduction of Geomagnetic Field (GMF) to near Null Magnetic Field (NNMF) Affects Some Arabidopsis Thaliana Clock Genes Amplitude in a Light Independent Manner. J. Plant Physiol. 2019, 232, 23–26. [Google Scholar] [CrossRef]
- Narayana, R.; Fliegmann, J.; Paponov, I.; Maffei, M.E. Reduction of Geomagnetic Field (GMF) to near Null Magnetic Field (NNMF) Affects Arabidopsis Thaliana Root Mineral Nutrition. Life Sci. Space Res. 2018, 19, 43–50. [Google Scholar] [CrossRef]
- Maffei, M.E. Magnetic Field Effects on Plant Growth, Development, and Evolution. Front. Plant Sci. 2014, 5, 445. [Google Scholar] [CrossRef]
- Nyakane, N.E.; Markus, E.D.; Sedibe, M.M. The Effects of Magnetic Fields on Plants Growth: A Comprehensive Review. IJFE 2019, 5, 79–87. [Google Scholar] [CrossRef]
- Radhakrishnan, R. Magnetic Field Regulates Plant Functions, Growth and Enhances Tolerance against Environmental Stresses. Physiol. Mol. Biol. Plants 2019, 25, 1107–1119. [Google Scholar] [CrossRef]
- Dodson, C.A.; Hore, P.J.; Wallace, M.I. A Radical Sense of Direction: Signalling and Mechanism in Cryptochrome Magnetoreception. Trends Biochem. Sci. 2013, 38, 435–446. [Google Scholar] [CrossRef]
- Hore, P.J. Are Biochemical Reactions Affected by Weak Magnetic Fields? Proc. Natl. Acad. Sci. USA 2012, 109, 1357–1358. [Google Scholar] [CrossRef]
- Ikeya, N.; Woodward, J.R. Cellular Autofluorescence Is Magnetic Field Sensitive. Proc. Natl. Acad. Sci. USA 2021, 118, e2018043118. [Google Scholar] [CrossRef]
- Maeda, K.; Robinson, A.J.; Henbest, K.B.; Hogben, H.J.; Biskup, T.; Ahmad, M.; Schleicher, E.; Weber, S.; Timmel, C.R.; Hore, P.J. Magnetically Sensitive Light-Induced Reactions in Cryptochrome Are Consistent with Its Proposed Role as a Magnetoreceptor. Proc. Natl. Acad. Sci. USA 2012, 109, 4774–4779. [Google Scholar] [CrossRef]
- Xu, J.; Jarocha, L.E.; Zollitsch, T.; Konowalczyk, M.; Henbest, K.B.; Richert, S.; Golesworthy, M.J.; Schmidt, J.; Déjean, V.; Sowood, D.J.C.; et al. Magnetic Sensitivity of Cryptochrome 4 from a Migratory Songbird. Nature 2021, 594, 535–540. [Google Scholar] [CrossRef]
- Afzal, I.; Saleem, S.; Skalicky, M.; Javed, T.; Bakhtavar, M.A.; ul Haq, Z.; Kamran, M.; Shahid, M.; Sohail Saddiq, M.; Afzal, A.; et al. Magnetic Field Treatments Improves Sunflower Yield by Inducing Physiological and Biochemical Modulations in Seeds. Molecules 2021, 26, 2022. [Google Scholar] [CrossRef]
- Sarraf, M.; Deamici, K.M.; Taimourya, H.; Islam, M.; Kataria, S.; Raipuria, R.K.; Abdi, G.; Brestic, M. Effect of Magnetopriming on Photosynthetic Performance of Plants. Int. J. Mol. Sci. 2021, 22, 9353. [Google Scholar] [CrossRef]
- Shabrangy, A.; Ghatak, A.; Zhang, S.; Priller, A.; Chaturvedi, P.; Weckwerth, W. Magnetic Field Induced Changes in the Shoot and Root Proteome of Barley (Hordeum vulgare L.). Front. Plant Sci. 2021, 12, 622795. [Google Scholar] [CrossRef]
- Vaezzadeh, M.; Noruzifar, E.; Faezeh, G.; Salehkotahi, M.; Mehdian, R. Excitation of Plant Growth in Dormant Temperature by Steady Magnetic Field. J. Magn. Magn. Mater. 2006, 302, 105–108. [Google Scholar] [CrossRef]
- Liu, X.; Ma, F.; Zhu, H.; Ma, X.; Guo, J.; Wan, X.; Wang, L.; Wang, H.; Wang, Y. Effects of Magnetized Water Treatment on Growth Characteristics and Ion Absorption, Transportation, and Distribution in Populus × Euramericana ‘Neva’ under NaCl Stress. Can. J. For. Res. 2017, 47, 828–838. [Google Scholar] [CrossRef]
- Sun, J.; Chen, S.; Dai, S.; Wang, R.; Li, N.; Shen, X.; Zhou, X.; Lu, C.; Zheng, X.; Hu, Z.; et al. NaCl-Induced Alternations of Cellular and Tissue Ion Fluxes in Roots of Salt-Resistant and Salt-Sensitive Poplar Species. Plant Physiol. 2009, 149, 1141–1153. [Google Scholar] [CrossRef]
- Demidchik, V.; Maathuis, F.J.M. Physiological Roles of Nonselective Cation Channels in Plants: From Salt Stress to Signalling and Development. New Phytol. 2007, 175, 387–404. [Google Scholar] [CrossRef]
- Sewelam, N.; Kazan, K.; Schenk, P.M. Global Plant Stress Signaling: Reactive Oxygen Species at the Cross-Road. Front. Plant Sci. 2016, 7, 187. [Google Scholar] [CrossRef]
- Zhu, J.-K. Abiotic Stress Signaling and Responses in Plants. Cell 2016, 167, 313–324. [Google Scholar] [CrossRef]
- Dhawi, F.; Al-Khayri, J.M.; Hassan, E. Static Magnetic Field Influence on Elements Composition in Date Palm (Phoenix dactylifera L.). Res. J. Agric. Biol. Sci. 2009, 5, 161–166. [Google Scholar]
- Islam, M.; Maffei, M.E.; Vigani, G. The Geomagnetic Field Is a Contributing Factor for an Efficient Iron Uptake in Arabidopsis Thaliana. Front. Plant Sci. 2020, 11, 325. [Google Scholar] [CrossRef]
- Mittler, R.; Zandalinas, S.I.; Fichman, Y.; Van Breusegem, F. Reactive Oxygen Species Signalling in Plant Stress Responses. Nat. Rev. Mol. Cell Biol. 2022, 23, 663–679. [Google Scholar] [CrossRef]
- Verret, F.; Wheeler, G.; Taylor, A.R.; Farnham, G.; Brownlee, C. Calcium Channels in Photosynthetic Eukaryotes: Implications for Evolution of Calcium-based Signalling. New Phytol. 2010, 187, 23–43. [Google Scholar] [CrossRef] [PubMed]
- Bekhite, M.M.; Figulla, H.-R.; Sauer, H.; Wartenberg, M. Static Magnetic Fields Increase Cardiomyocyte Differentiation of Flk-1+ Cells Derived from Mouse Embryonic Stem Cells via Ca2+ Influx and ROS Production. Int. J. Cardiol. 2013, 167, 798–808. [Google Scholar] [CrossRef] [PubMed]
- Calabrò, E.; Condello, S.; Currò, M.; Ferlazzo, N.; Caccamo, D.; Magazù, S.; Ientile, R. Effects of Low Intensity Static Magnetic Field on FTIR Spectra and ROS Production in SH-SY5Y Neuronal-like Cells: SMF Effects on SH-SY5Y Neuronal-Like Cells. Bioelectromagnetics 2013, 34, 618–629. [Google Scholar] [CrossRef]
- De Nicola, M.; Cordisco, S.; Cerella, C.; Albertini, M.C.; D’Alessio, M.; Accorsi, A.; Bergamaschi, A.; Magrini, A.; Ghibelli, L. Magnetic Fields Protect from Apoptosis via Redox Alteration. Ann. N. Y. Acad. Sci. 2006, 1090, 59–68. [Google Scholar] [CrossRef]
- Solov’yov, I.A.; Chandler, D.E.; Schulten, K. Magnetic Field Effects in Arabidopsis Thaliana Cryptochrome-1. Biophys. J. 2007, 92, 2711–2726. [Google Scholar] [CrossRef] [PubMed]
- Wang, H.; Zhang, X. Magnetic Fields and Reactive Oxygen Species. Int. J. Mol. Sci. 2017, 18, 2175. [Google Scholar] [CrossRef] [PubMed]
- Foyer, C.H.; Noctor, G. Stress-Triggered Redox Signalling: What’s in pROSpect? Plant Cell Environ. 2016, 39, 951–964. [Google Scholar] [CrossRef] [PubMed]
- Görlach, A.; Bertram, K.; Hudecova, S.; Krizanova, O. Calcium and ROS: A Mutual Interplay. Redox Biol. 2015, 6, 260–271. [Google Scholar] [CrossRef] [PubMed]
- Mittler, R. ROS Are Good. Trends Plant Sci. 2017, 22, 11–19. [Google Scholar] [CrossRef]
- Sies, H.; Jones, D.P. Reactive Oxygen Species (ROS) as Pleiotropic Physiological Signalling Agents. Nat. Rev. Mol. Cell Biol. 2020, 21, 363–383. [Google Scholar] [CrossRef]
- Xia, X.-J.; Zhou, Y.-H.; Shi, K.; Zhou, J.; Foyer, C.H.; Yu, J.-Q. Interplay between Reactive Oxygen Species and Hormones in the Control of Plant Development and Stress Tolerance. J. Exp. Bot. 2015, 66, 2839–2856. [Google Scholar] [CrossRef]
- Zhang, H.; Zhu, J.; Gong, Z.; Zhu, J.-K. Abiotic Stress Responses in Plants. Nat. Rev. Genet. 2022, 23, 104–119. [Google Scholar] [CrossRef]
- Suzuki, N.; Miller, G.; Morales, J.; Shulaev, V.; Torres, M.A.; Mittler, R. Respiratory Burst Oxidases: The Engines of ROS Signaling. Curr. Opin. Plant Biol. 2011, 14, 691–699. [Google Scholar] [CrossRef]
- Steinhorst, L.; He, G.; Moore, L.K.; Schültke, S.; Schmitz-Thom, I.; Cao, Y.; Hashimoto, K.; Andrés, Z.; Piepenburg, K.; Ragel, P.; et al. A Ca2+-Sensor Switch for Tolerance to Elevated Salt Stress in Arabidopsis. Dev. Cell 2022, 57, 2081–2094.e7. [Google Scholar] [CrossRef] [PubMed]
- Consentino, L.; Lambert, S.; Martino, C.; Jourdan, N.; Bouchet, P.; Witczak, J.; Castello, P.; El-Esawi, M.; Corbineau, F.; d’Harlingue, A.; et al. Blue-light Dependent Reactive Oxygen Species Formation by Arabidopsis Cryptochrome May Define a Novel Evolutionarily Conserved Signaling Mechanism. New Phytol. 2015, 206, 1450–1462. [Google Scholar] [CrossRef] [PubMed]
- Kattnig, D.R. Radical-Pair-Based Magnetoreception Amplified by Radical Scavenging: Resilience to Spin Relaxation. J. Phys. Chem. B 2017, 121, 10215–10227. [Google Scholar] [CrossRef]
- Mondal, P.; Huix-Rotllant, M. Theoretical Insights into the Formation and Stability of Radical Oxygen Species in Cryptochromes. Phys. Chem. Chem. Phys. 2019, 21, 8874–8882. [Google Scholar] [CrossRef] [PubMed]
- Player, T.C.; Hore, P.J. Viability of Superoxide-Containing Radical Pairs as Magnetoreceptors. J. Chem. Phys. 2019, 151, 225101. [Google Scholar] [CrossRef] [PubMed]
- Zadeh-Haghighi, H.; Simon, C. Magnetic Field Effects in Biology from the Perspective of the Radical Pair Mechanism. J. R. Soc. Interface 2022, 19, 20220325. [Google Scholar] [CrossRef] [PubMed]
- Lopresto, V.; Merla, C.; Pinto, R.; Benvenuto, E. High-Intensity Static Magnetic Field Exposure Devices for in Vitro Experiments on Biopharmaceutical Plant Factories in Aerospace Environments. In Proceedings of the 2015 37th Annual International Conference of the IEEE Engineering in Medicine and Biology Society (EMBC), Milan, Italy, 25–29 August 2015; pp. 893–896. [Google Scholar]
- McGinley, J.V.M.; Ristic, M.; Young, I.R. A Permanent MRI Magnet for Magic Angle Imaging Having Its Field Parallel to the Poles. J. Magn. Reson. 2016, 271, 60–67. [Google Scholar] [CrossRef] [PubMed]
- Zhang, H.; Zhang, Y.; Deng, C.; Deng, S.; Li, N.; Zhao, C.; Zhao, R.; Liang, S.; Chen, S. The Arabidopsis Ca2+-Dependent Protein Kinase CPK12 Is Involved in Plant Response to Salt Stress. Int. J. Mol. Sci. 2018, 19, 4062. [Google Scholar] [CrossRef]
- Sun, J.; Wang, M.-J.; Ding, M.-Q.; Deng, S.-R.; Liu, M.-Q.; Lu, C.-F.; Zhou, X.-Y.; Shen, X.; Zheng, X.-J.; Zhang, Z.-K.; et al. H2O2 and Cytosolic Ca2+ Signals Triggered by the PM H+-Coupled Transport System Mediate K+/Na+ Homeostasis in NaCl-Stressed Populus Euphratica Cells: Salt Stress Signalling in P. Euphratica. Plant Cell Environ. 2010, 33, 943–958. [Google Scholar] [CrossRef]
- Li, J.; Bao, S.; Zhang, Y.; Ma, X.; Mishra-Knyrim, M.; Sun, J.; Sa, G.; Shen, X.; Polle, A.; Chen, S. Paxillus Involutus Strains MAJ and NAU Mediate K+/Na+ Homeostasis in Ectomycorrhizal Populus × Canescens under Sodium Chloride Stress. Plant Physiol. 2012, 159, 1771–1786. [Google Scholar] [CrossRef]
- Csillag, A.; Kumar, B.V.; Szabó, K.; Szilasi, M.; Papp, Z.; Szilasi, M.E.; Pázmándi, K.; Boldogh, I.; Rajnavölgyi, É.; Bácsi, A.; et al. Exposure to Inhomogeneous Static Magnetic Field Beneficially Affects Allergic Inflammation in a Murine Model. J. R. Soc. Interface 2014, 11, 20140097. [Google Scholar] [CrossRef] [PubMed]
- Li, M.; Zhu, Y.; Li, S.; Zhang, W.; Yin, C.; Lin, Y. Regulation of Phytohormones on the Growth and Development of Plant Root Hair. Front. Plant Sci. 2022, 13, 865302. [Google Scholar] [CrossRef] [PubMed]
- Verma, S.K.; Sahu, P.K.; Kumar, K.; Pal, G.; Gond, S.K.; Kharwar, R.N.; White, J.F. Endophyte Roles in Nutrient Acquisition, Root System Architecture Development and Oxidative Stress Tolerance. J. Appl. Microbiol. 2021, 131, 2161–2177. [Google Scholar] [CrossRef] [PubMed]
- Vissenberg, K.; Claeijs, N.; Balcerowicz, D.; Schoenaers, S. Hormonal Regulation of Root Hair Growth and Responses to the Environment in Arabidopsis. J. Exp. Bot. 2020, 71, 2412–2427. [Google Scholar] [CrossRef] [PubMed]
- Van Huizen, A.V.; Morton, J.M.; Kinsey, L.J.; Von Kannon, D.G.; Saad, M.A.; Birkholz, T.R.; Czajka, J.M.; Cyrus, J.; Barnes, F.S.; Beane, W.S. Weak Magnetic Fields Alter Stem Cell–Mediated Growth. Sci. Adv. 2019, 5, eaau7201. [Google Scholar] [CrossRef] [PubMed]
- Waszczak, C.; Carmody, M.; Kangasjarvi, J. Reactive Oxygen Species in Plant Signaling. Annu. Rev. Plant Biol. 2018, 69, 209–236. [Google Scholar] [CrossRef] [PubMed]
- Dunand, C.; Crèvecoeur, M.; Penel, C. Distribution of Superoxide and Hydrogen Peroxide in Arabidopsis Root and Their Influence on Root Development: Possible Interaction with Peroxidases. New Phytol. 2007, 174, 332–341. [Google Scholar] [CrossRef] [PubMed]
- Zhang, B.; Wang, L.; Zhan, A.; Wang, M.; Tian, L.; Guo, W.; Pan, Y. Long-Term Exposure to a Hypomagnetic Field Attenuates Adult Hippocampal Neurogenesis and Cognition. Nat. Commun. 2021, 12, 1174. [Google Scholar] [CrossRef]
- Demidchik, V.; Tyutereva, E.V.; Voitsekhovskaja, O.V. The Role of Ion Disequilibrium in Induction of Root Cell Death and Autophagy by Environmental Stresses. Funct. Plant Biol. 2018, 45, 28. [Google Scholar] [CrossRef]
- Demidchik, V.; Shabala, S.; Isayenkov, S.; Cuin, T.A.; Pottosin, I. Calcium Transport across Plant Membranes: Mechanisms and Functions. New Phytol. 2018, 220, 49–69. [Google Scholar] [CrossRef]
- Ma, L.; Zhang, H.; Sun, L.; Jiao, Y.; Zhang, G.; Miao, C.; Hao, F. NADPH Oxidase AtrbohD and AtrbohF Function in ROS-Dependent Regulation of Na+/K+ Homeostasis in Arabidopsis under Salt Stress. J. Exp. Bot. 2012, 63, 305–317. [Google Scholar] [CrossRef] [PubMed]
- Zhao, L.; Bai, T.; Wei, H.; Gardea-Torresdey, J.L.; Keller, A.; White, J.C. Nanobiotechnology-Based Strategies for Enhanced Crop Stress Resilience. Nat. Food 2022, 3, 829–836. [Google Scholar] [CrossRef] [PubMed]
- Zhang, F.; Wang, Y.; Yang, Y.; Wu, H.; Wang, D.; Liu, J. Involvement of Hydrogen Peroxide and Nitric Oxide in Salt Resistance in the Calluses from Populus Euphratica. Plant Cell Env. 2007, 30, 775–785. [Google Scholar] [CrossRef]
- Conrath, U. Molecular Aspects of Defence Priming. Trends Plant Sci. 2011, 16, 524–531. [Google Scholar] [CrossRef] [PubMed]
- Fichman, Y.; Zandalinas, S.I.; Sengupta, S.; Burks, D.; Myers, R.J.; Azad, R.K.; Mittler, R. MYB30 Orchestrates Systemic Reactive Oxygen Signaling and Plant Acclimation. Plant Physiol. 2020, 184, 666–675. [Google Scholar] [CrossRef]
- Zandalinas, S.I.; Fichman, Y.; Devireddy, A.R.; Sengupta, S.; Azad, R.K.; Mittler, R. Systemic Signaling during Abiotic Stress Combination in Plants. Proc. Natl. Acad. Sci. USA 2020, 117, 13810–13820. [Google Scholar] [CrossRef]
- Locato, V.; Cimini, S.; De Gara, L. ROS and Redox Balance as Multifaceted Players of Cross-Tolerance: Epigenetic and Retrograde Control of Gene Expression. J. Exp. Bot. 2018, 69, 3373–3391. [Google Scholar] [CrossRef]
Disclaimer/Publisher’s Note: The statements, opinions and data contained in all publications are solely those of the individual author(s) and contributor(s) and not of MDPI and/or the editor(s). MDPI and/or the editor(s) disclaim responsibility for any injury to people or property resulting from any ideas, methods, instructions or products referred to in the content. |
© 2024 by the authors. Licensee MDPI, Basel, Switzerland. This article is an open access article distributed under the terms and conditions of the Creative Commons Attribution (CC BY) license (https://creativecommons.org/licenses/by/4.0/).









