Foliar Water Uptake and Its Relationship with Photosynthetic Capacity and Anatomical Structure between Female and Male Populus euphratica at Different Growth Stages
Abstract
1. Introduction
- (1)
- The water absorption capacity of P. euphratica leaves exhibits gender differences, and different water absorption strategies are shown in each growth stage.
- (2)
- The response characteristics of the leaf structure and photosynthetic physiology of male and female P. euphratica to wetting are different and show different rules in the growth stage.
2. Materials and Methods
2.1. Study Area and Plant Materials
2.2. Plant Material and Environmental Factors
2.3. Leaf Water Absorption Experiment
2.4. In Situ Wetting Experiment
- (1)
- Experimental design
- (2)
- Determination of leaf water potential at predawn and midday
- (3)
- Determination of photosynthetic and chlorophyll fluorescence parameters
- (4)
- Leaf anatomical sample collection and determination
2.5. Statistical Analysis
3. Results
3.1. Dynamics of Foliar Water Uptake
3.2. The Effects of Wetting on Water Potential
3.3. The Effects of Wetting on Plant Photosynthesis and Fluorescence
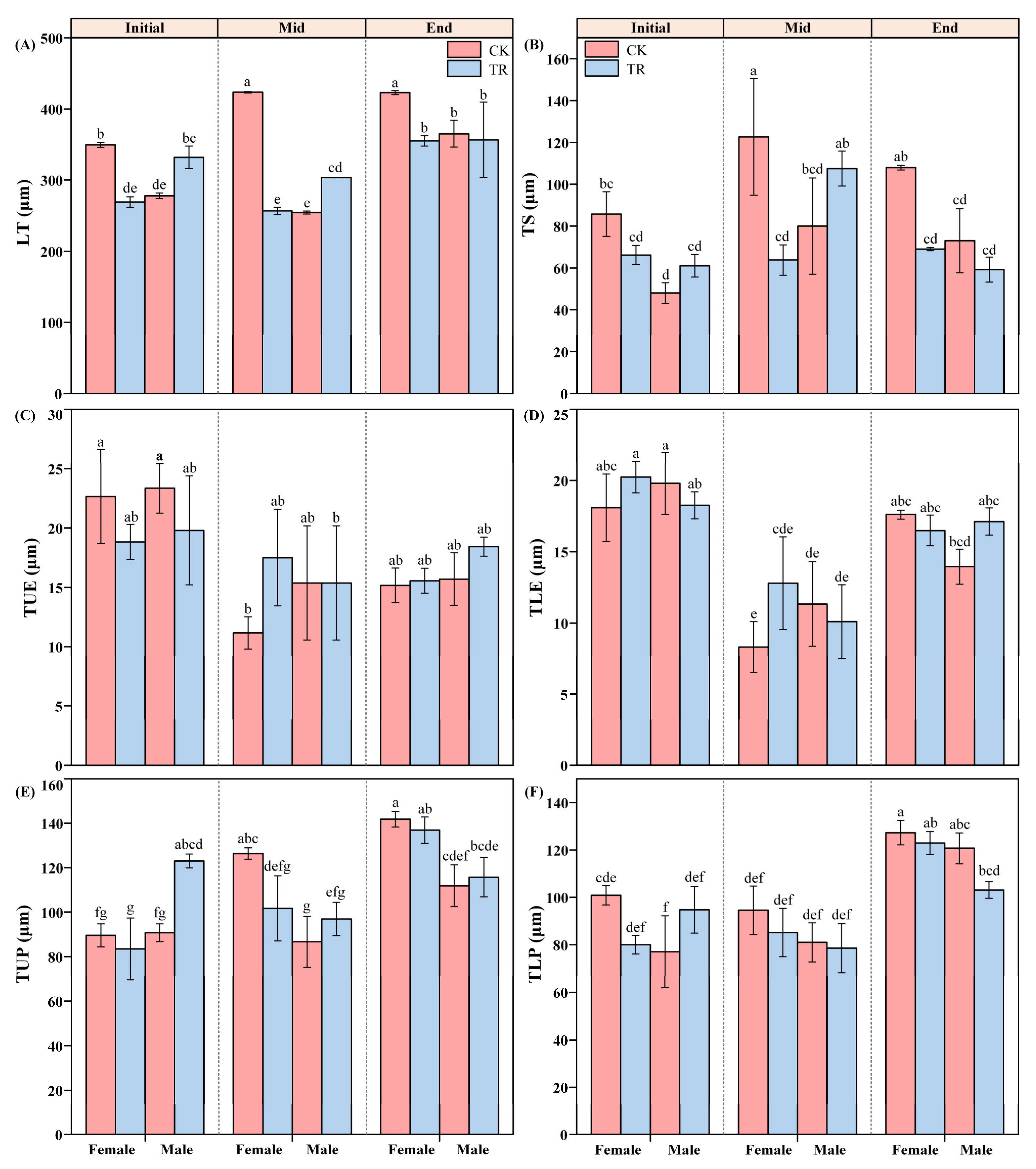
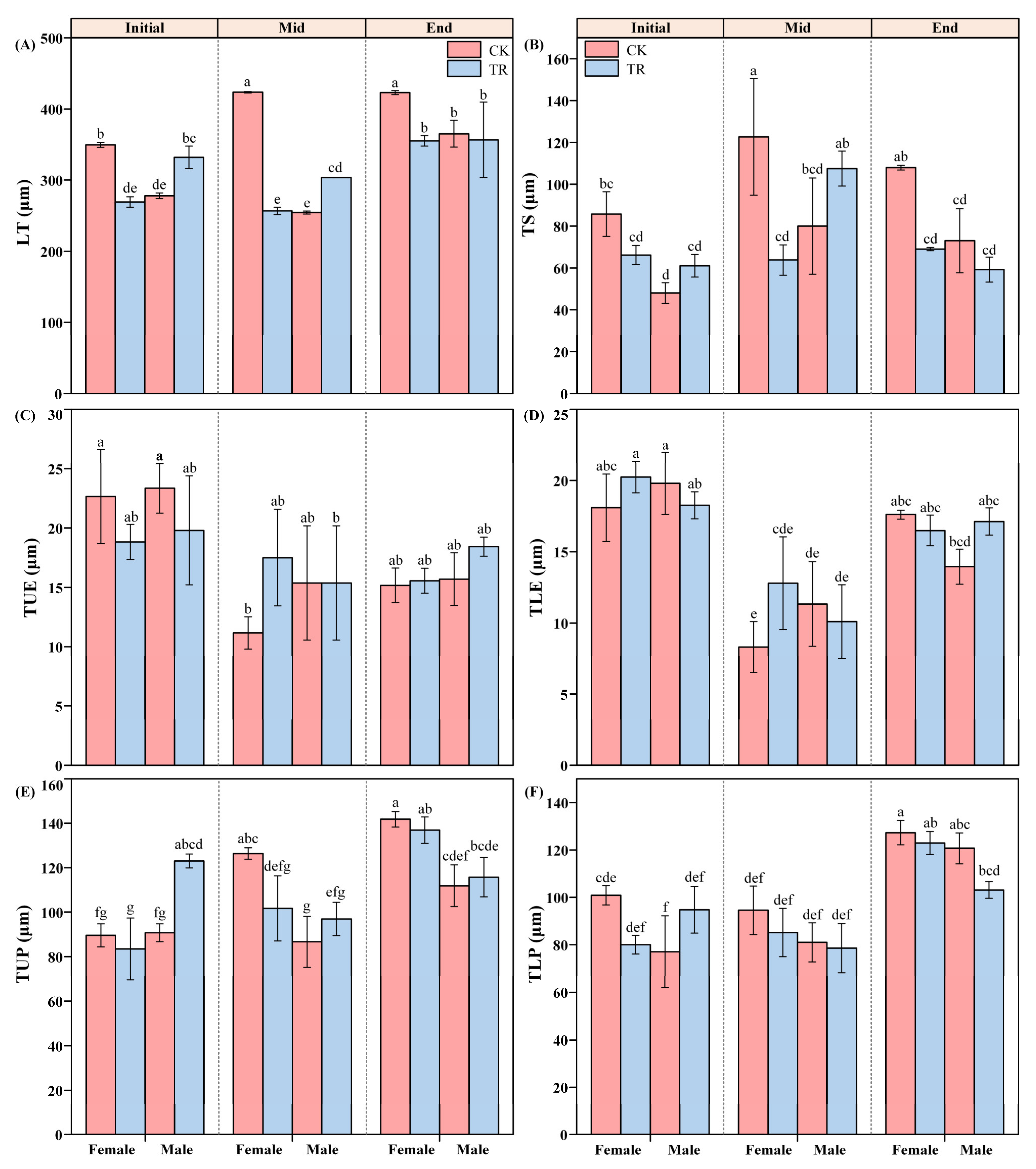
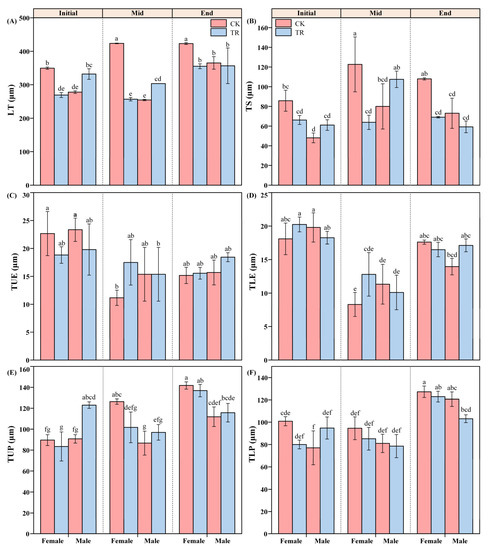
3.4. The Effects of Wetting on Leaf Anatomical Structure
3.5. Driving Factor Analysis of Wetting Treatment for P. euphratica
4. Discussion
4.1. Foliar Water Uptake Capacity
4.2. Response of Leaf Ecophysiology to Wetting
5. Conclusions
Supplementary Materials
Author Contributions
Funding
Institutional Review Board Statement
Informed Consent Statement
Data Availability Statement
Conflicts of Interest
References
- Berry, Z.C.; Emery, N.C.; Gotsch, S.G.; Goldsmith, G.R. Foliar Water Uptake: Processes, Pathways, and Integration into Plant Water Budgets. Plant Cell Environ. 2019, 42, 410–423. [Google Scholar] [CrossRef]
- Dawson, T.E.; Goldsmith, G.R. The Value of Wet Leaves. New Phytol. 2018, 219, 1156–1169. [Google Scholar] [CrossRef]
- Schreel, J.D.M.; Steppe, K. Foliar Water Uptake in Trees: Negligible or Necessary? Trends Plant Sci. 2020, 25, 590–603. [Google Scholar] [CrossRef]
- Goldsmith, G.R.; Matzke, N.J.; Dawson, T.E. The Incidence and Implications of Clouds for Cloud Forest Plant Water Relations. Ecol. Lett. 2013, 16, 307–314. [Google Scholar] [CrossRef] [PubMed]
- Gong, X.-W.; Lü, G.-H.; He, X.-M.; Sarkar, B.; Yang, X.-D. High Air Humidity Causes Atmospheric Water Absorption via Assimilating Branches in the Deep-Rooted Tree Haloxylon Ammodendron in an Arid Desert Region of Northwest China. Front. Plant Sci. 2019, 10, 573. [Google Scholar] [CrossRef] [PubMed]
- Wang, H.; Li, Z.; Yang, J. Effects of Leaf Hydrophilicity and Stomatal Regulation on Foliar Water Uptake Capacity of Desert Plants. Forests 2023, 14, 551. [Google Scholar] [CrossRef]
- Yang, X.-D.; Lv, G.-H.; Ali, A.; Ran, Q.-Y.; Gong, X.-W.; Wang, F.; Liu, Z.-D.; Qin, L.; Liu, W.-G. Experimental Variations in Functional and Demographic Traits of Lappula Semiglabra among Dew Amount Treatments in an Arid Region. Ecohydrology 2017, 10, e1858. [Google Scholar] [CrossRef]
- Steppe, K.; Vandegehuchte, M.W.; Van De Wal, B.A.E.; Hoste, P.; Guyot, A.; Lovelock, C.E.; Lockington, D.A. Direct Uptake of Canopy Rainwater Causes Turgor-Driven Growth Spurts in the Mangrove Avicennia Marina. Tree Physiol. 2018, 38, 979–991. [Google Scholar] [CrossRef]
- Carmichael, M.J.; White, J.C.; Cory, S.T.; Berry, Z.C.; Smith, W.K. Foliar Water Uptake of Fog Confers Ecophysiological Benefits to Four Common Tree Species of Southeastern Freshwater Forested Wetlands. Ecohydrology 2020, 13, e2240. [Google Scholar] [CrossRef]
- Li, Z.-K.; Gong, X.-W.; Wang, J.-L.; Chen, Y.-D.; Liu, F.-Y.; Li, H.-P.; Lü, G.-H. Foliar Water Uptake Improves Branch Water Potential and Photosynthetic Capacity in Calligonum Mongolicum. Ecol. Indic. 2023, 146, 109825. [Google Scholar] [CrossRef]
- Renner, S.S. The Relative and Absolute Frequencies of Angiosperm Sexual Systems: Dioecy, Monoecy, Gynodioecy, and an Updated Online Database. Am. J. Bot. 2014, 101, 1588–1596. [Google Scholar] [CrossRef] [PubMed]
- Li, C.; Xu, G.; Zang, R.; Korpelainen, H.; Berninger, F. Sex-Related Differences in Leaf Morphological and Physiological Responses in Hippophae rhamnoides along an Altitudinal Gradient. Tree Physiol. 2007, 27, 399–406. [Google Scholar] [CrossRef]
- Yu, L.; Dong, H.; Li, Z.; Han, Z.; Korpelainen, H.; Li, C. Species-Specific Responses to Drought, Salinity and Their Interactions in Populus Euphratica and P. Pruinosa Seedlings. J. Plant Ecol. 2020, 13, 563–573. [Google Scholar] [CrossRef]
- Olano, J.M.; González-Muñoz, N.; Arzac, A.; Rozas, V.; von Arx, G.; Delzon, S.; García-Cervigón, A.I. Sex Determines Xylem Anatomy in a Dioecious Conifer: Hydraulic Consequences in a Drier World. Tree Physiol. 2017, 37, 1493–1502. [Google Scholar] [CrossRef] [PubMed]
- Liu, M.; Korpelainen, H.; Li, C. Sexual Differences and Sex Ratios of Dioecious Plants under Stressful Environments. J. Plant Ecol. 2021, 14, 920–933. [Google Scholar] [CrossRef]
- Xu, X.; Peng, G.; Wu, C.; Korpelainen, H.; Li, C. Drought Inhibits Photosynthetic Capacity More in Females than in Males of Populus Cathayana. Tree Physiol. 2008, 28, 1751–1759. [Google Scholar] [CrossRef]
- Xu, X.; Yang, F.; Xiao, X.; Zhang, S.; Korpelainen, H.; Li, C. Sex-Specific Responses of Populus Cathayana to Drought and Elevated Temperatures. Plant Cell Environ. 2008, 31, 850–860. [Google Scholar] [CrossRef]
- Juvany, M.; Munné-Bosch, S. Sex-Related Differences in Stress Tolerance in Dioecious Plants: A Critical Appraisal in a Physiological Context. J. Exp. Bot. 2015, 66, 6083–6092. [Google Scholar] [CrossRef]
- Leigh, A.; Nicotra, A. Sexual Dimorphism in Reproductive Allocation and Water Use Efficiency in Maireana Pyramidata (Chenopodiaceae), a Dioecious, Semi-Arid Shrub. Aust. J. Bot. 2003, 51, 509–514. [Google Scholar] [CrossRef]
- Rozas, V.; DeSoto, L.; Olano, J. Sex-Specific, Age-Dependent Sensitivity of Tree-Ring Growth to Climate in the Dioecious Tree Juniperus Thurifera. New Phytol. 2009, 182, 687–697. [Google Scholar] [CrossRef]
- Li, C.; Ren, J.; Luo, J.; Lu, R. Sex-Specific Physiological and Growth Responses to Water Stress in Hippophae rhamnoides L. Populations. Acta Physiol. Plant. 2004, 26, 123–129. [Google Scholar] [CrossRef]
- Munné-Bosch, S.; Nogués, S.; Alegre, L. Diurnal Variations of Photosynthesis and Dew Absorption by Leaves in Two Evergreen Shrubs Growing in Mediterranean Field Conditions. New Phytol. 2002, 144, 109–119. [Google Scholar] [CrossRef]
- Gouvra, E.; Grammatikopoulos, G. Beneficial Effects of Direct Foliar Water Uptake on Shoot Water Potential of Five Chasmophytes. Can. J. Bot. 2011, 81, 1278–1284. [Google Scholar] [CrossRef]
- dos Santos Garcia, J.; Boanares, D.; França, M.G.C.; Sershen; López-Portillo, J. Foliar Water Uptake in Eight Mangrove Species: Implications of Morpho-Anatomical Traits. Flora 2022, 293, 152100. [Google Scholar] [CrossRef]
- Boanares, D.; Isaias, R.R.M.S.; De Sousa, H.C.; Kozovits, A.R. Strategies of Leaf Water Uptake Based on Anatomical Traits. Plant Biol. 2018, 20, 848–856. [Google Scholar] [CrossRef]
- Liu, Y.; Li, X.; Chen, G.; Li, M.; Liu, M.; Liu, D. Epidermal Micromorphology and Mesophyll Structure of Populus Euphratica Heteromorphic Leaves at Different Development Stages. PLoS ONE 2015, 10, e0137701. [Google Scholar] [CrossRef]
- Yang, F.; Deng, D.; Zhao, L.; Zhu, L. Comparative study on leaf morphological and structural characteristics of male and female Podocarpus macrophyllus. Acta Agric. Jiangxi 2021, 33, 42–47. [Google Scholar] [CrossRef]
- Vesala, T.; Sevanto, S.; Grönholm, T.; Salmon, Y.; Nikinmaa, E.; Hari, P.; Hölttä, T. Effect of Leaf Water Potential on Internal Humidity and CO2 Dissolution: Reverse Transpiration and Improved Water Use Efficiency under Negative Pressure. Front. Plant Sci. 2017, 8, 54. [Google Scholar] [CrossRef]
- Binks, O.; Coughlin, I.; Mencuccini, M.; Meir, P. Equivalence of Foliar Water Uptake and Stomatal Conductance? Plant Cell Environ. 2020, 43, 524–528. [Google Scholar] [CrossRef] [PubMed]
- Ishibashi, M.; Terashima, I. Effects of Continuous Leaf Wetness on Photosynthesis: Adverse Aspects of Rainfall. Plant Cell Environ. 1995, 18, 431–438. [Google Scholar] [CrossRef]
- Hanba, Y.; Moriya, A.; Kimura, K. Effect of Leaf Surface Wetness and Wetability on Photosynthesis in Bean and Pea. Plant Cell Environ. 2004, 27, 413–421. [Google Scholar] [CrossRef]
- Li, Z.; Wu, N.; Liu, T.; Chen, H.; Tang, M. Effect of arbuscular mycorrhizal inoculation on water status and photosynthesis of Populus cathayana males and females under water stress. Physiol. Plant 2015, 155, 192–204. [Google Scholar] [CrossRef]
- Keyimu, M.; Halik, Ü.; Betz, F.; Dulamsuren, C. Vitality Variation and Population Structure of a Riparian Forest in the Lower Reaches of the Tarim River, NW China. J. For. Res. 2017, 29, 749–760. [Google Scholar] [CrossRef]
- Li, W.; Lü, G.; Zhang, L.; Wang, H.; Li, Z.; Wang, J.; Ma, H.; Liu, Z. Analysis of Potential Water Source Differences and Utilization Strategies of Desert Plants in Arid Regions. Ecol. Environ. Sci. 2019, 28, 1557–1566. [Google Scholar] [CrossRef]
- Zhang, Y.; Hao, X.; Sun, H.; Hua, D.; Qin, J. How Populus Euphratica Utilizes Dew in an Extremely Arid Region. Plant Soil 2019, 443, 493–508. [Google Scholar] [CrossRef]
- Fan, X.; Hao, X.; Zhang, S.; Zhao, Z.; Zhang, J.; Li, Y. Populus euphratica Counteracts Drought Stress through the Dew Coupling and Root Hydraulic Redistribution Processes. Ann. Bot. 2023, 131, 451–461. [Google Scholar] [CrossRef] [PubMed]
- Yang, X.; Lü, G.; Wang, Y.; Zhang, X. Water use efficiency of halophytes in Ebinur Lake Wetland Nature Reserve of Xinjiang. Chin. J. Econ. 2010, 29, 2341–2346. [Google Scholar] [CrossRef]
- Gong, X.; Lü, G. Species Diversity and Dominant Species’ Niches of eremophyte communities of the Tugai forest in the Ebinur basin of Xinjiang, China. Biodivers. Sci. 2017, 25, 34–45. [Google Scholar] [CrossRef]
- Liang, X.; Su, D.; Yin, S.; Wang, Z. Leaf Water Absorption and Desorption Functions for Three Turfgrasses. J. Hydrol. 2009, 376, 243–248. [Google Scholar] [CrossRef]
- Schreel, J.D.M.; von der Crone, J.S.; Kangur, O.; Steppe, K. Influence of Drought on Foliar Water Uptake Capacity of Temperate Tree Species. Forests 2019, 10, 562. [Google Scholar] [CrossRef]
- Cavallaro, A.; Carbonell Silleta, L.; Pereyra, D.A.; Goldstein, G.; Scholz, F.G.; Bucci, S.J. Foliar Water Uptake in Arid Ecosystems: Seasonal Variability and Ecophysiological Consequences. Oecologia 2020, 193, 337–348. [Google Scholar] [CrossRef] [PubMed]
- Maxwell, S.; Delaney, H. Designing Experiments and Analyzing Data: A Model Comparison Perspective; Routledge Academic Inc. Publisher: London, UK, 2003; ISBN 978-1-4106-0924-3. [Google Scholar]
- Boanares, D.; Kozovits, A.R.; Lemos-Filho, J.P.; Isaias, R.M.S.; Solar, R.R.R.; Duarte, A.A.; Vilas-Boas, T.; França, M.G.C. Foliar Water-uptake Strategies Are Related to Leaf Water Status and Gas Exchange in Plants from a Ferruginous Rupestrian Field. Am. J. Bot. 2019, 106, 935–942. [Google Scholar] [CrossRef]
- Boanares, D.; Ferreira, B.G.; Kozovits, A.R.; Sousa, H.C.; Isaias, R.M.S.; França, M.G.C. Pectin and Cellulose Cell Wall Composition Enables Different Strategies to Leaf Water Uptake in Plants from Tropical Fog Mountain. Plant Physiol. Biochem. 2018, 122, 57–64. [Google Scholar] [CrossRef] [PubMed]
- Yu, L.; Huang, Z.; Tang, S.; Korpelainen, H.; Li, C. Populus Euphratica Males Exhibit Stronger Drought and Salt Stress Resistance than Females. Environ. Exp. Bot. 2023, 205, 105114. [Google Scholar] [CrossRef]
- Chin, A.R.O.; Guzmán-Delgado, P.; Görlich, A.; HilleRisLambers, J. Towards multivariate functional trait syndromes: Predicting foliar water uptake in trees. Ecology, 2023; online version of record. [Google Scholar] [CrossRef] [PubMed]
- Chin, A.R.O.; Guzmán-Delgado, P.; Kerhoulas, L.P.; Zwieniecki, M.A. Acclimation of interacting leaf surface traits affects foliar water uptake. Tree Physiol. 2023, 43, 418–429. [Google Scholar] [CrossRef]
- Losso, A.; Dämon, B.; Hacke, U.; Mayr, S. High potential for foliar water uptake in early stages of leaf development of three woody angiosperms. Physiol. Plant 2023, 175, e13961. [Google Scholar] [CrossRef]
- Ru, C.; Hu, X.; Chen, D.; Wang, W.; Song, T. Heat and Drought Priming Induce Tolerance to Subsequent Heat and Drought Stress by Regulating Leaf Photosynthesis, Root Morphology, and Antioxidant Defense in Maize Seedlings. Environ. Exp. Bot. 2022, 202, 105010. [Google Scholar] [CrossRef]
- Eller, C.B.; Lima, A.L.; Oliveira, R.S. Foliar Uptake of Fog Water and Transport Belowground Alleviates Drought Effects in the Cloud Forest Tree Species, Drimys brasiliensis (Winteraceae). New Phytol. 2013, 199, 151–162. [Google Scholar] [CrossRef]
- Holanda, A.E.R.; Souza, B.C.; Carvalho, E.C.D.; Oliveira, R.S.; Martins, F.R.; Muniz, C.R.; Costa, R.C.; Soares, A.A. How Do Leaf Wetting Events Affect Gas Exchange and Leaf Lifespan of Plants from Seasonally Dry Tropical Vegetation? Plant Biol. 2019, 21, 1097–1109. [Google Scholar] [CrossRef]
- Wang, H.; Zhou, Y.; Qin, L.; Gong, X.; Lü, G. Influence of Dew on Fluorescence Parameter and Water Use Efficiency of Halostachys caspica in Different Salinity Habitats. Arid Zone Res. 2017, 34, 1124–1132. [Google Scholar] [CrossRef]
- Yu, L.; Tang, S.; Guo, C.; Korpelainen, H.; Li, C. Differences in Ecophysiological Responses of Populus euphratica Females and Males Exposed to Salinity and Alkali Stress. Plant Physiol. Biochem. 2023, 198, 107707. [Google Scholar] [CrossRef] [PubMed]
- Krause, G.H.; Weis, E. Chlorophyll Fluorescence and Photosynthesis: The Basics. Annu. Rev. Plant Biol. 2003, 42, 313–349. [Google Scholar] [CrossRef]
- Wu, M.; Deng, P.; Zhao, Y.; Zhao, S.-H.; Chen, J.-N.; Shu, Y.; Huang, T.-F. Effects of drought on leaf growth and chlorophyll fluorescence kinetics parameters in Cyclobalanopsis glauca seedlings of Karst areas. J. Appl. Ecol. 2019, 30, 4071–4081. [Google Scholar] [CrossRef]
- Howarth, J.F.; Durako, M.J. Diurnal Variation in Chlorophyll Fluorescence of Thalassia testudinum Seedlings in Response to Controlled Salinity and Light Conditions. Mar. Biol. 2013, 160, 591–605. [Google Scholar] [CrossRef]
- Bryant, C.; Fuenzalida, T.I.; Zavafer, A.; Nguyen, H.T.; Brothers, N.; Harris, R.J.; Beckett, H.A.A.; Holmlund, H.I.; Binks, O.; Ball, M.C. Foliar Water Uptake via Cork Warts in Mangroves of the Sonneratia Genus. Plant Cell Environ. 2021, 44, 2925–2937. [Google Scholar] [CrossRef] [PubMed]
- Hayes, M.A.; Chapman, S.; Jesse, A.; O’Brien, E.; Langley, J.A.; Bardou, R.; Devaney, J.; Parker, J.D.; Cavanaugh, K.C. Foliar Water Uptake by Coastal Wetland Plants: A Novel Water Acquisition Mechanism in Arid and Humid Subtropical Mangroves. J. Ecol. 2020, 108, 2625–2637. [Google Scholar] [CrossRef]
- Ferreira, J.L.D.; Daniela, B.; Eliodoro, V.C.; Pinheiro, A.S.F. Do photosynthetic metabolism and habitat influence foliar water uptake in orchids? Plant Biol. 2022, 25, 257–267. [Google Scholar]
- Richardson, A.D.; Berlyn, G.P. Spectral Reflectance and Photosynthetic Properties of Betula Papyrifera (Betulaceae) Leaves along an Elevational Gradient on Mt. Mansfield, Vermont, USA. Am. J. Bot. 2002, 89, 88–94. [Google Scholar] [CrossRef]
- Taiz, L.; Zeiger, E. Plant Physiology, 5th ed.; Sinauer Associates, Inc.: Sunderland, MA, USA, 2010; ISBN 978-0-87893-866-7. [Google Scholar]
- Chartzoulakis, K.; Patakas, A.; Kofidis, G.; Bosabalidis, A.; Nastou, A. Water Stress Affects Leaf Anatomy, Gas Exchange, Water Relations and Growth of Two Avocado Cultivars. Sci. Hortic. 2002, 95, 39–50. [Google Scholar] [CrossRef]
- Li, Z.-K.; Chen, Y.-D.; Wang, J.-L.; Jiang, L.-M.; Fan, Y.-X.; Lü, G.-H. Foliar water uptake and its influencing factors differ between female and male Populus euphratica. Environ. Exp. Bot. 2023, 213, 105419. [Google Scholar] [CrossRef]
- Yao, J.-Q.; Chen, Y.-N.; Guan, X.-F.; Zhao, Y.; Chen, J.; Mao, W.-Y. Recent climate and hydrological changes in a mountain–basin system in Xinjiang, China. Earth-Sci. Rev. 2022, 226, 103957. [Google Scholar] [CrossRef]





| Rh/% | Tair/°C | P/kPa | LWS | |
|---|---|---|---|---|
| Initial | 0.42 ± 0.08 b | 19.95 ± 3.57 c | 97.85 ± 0.43 a | 440.08 ± 17.11 b |
| Mid | 0.40 ± 0.10 ab | 26.05 ± 2.88 a | 97.08 ± 0.42 b | 459.39 ± 9.14 a |
| End | 0.47 ± 0.07 a | 22.58 ± 3.62 b | 97.64 ± 0.25 a | 452.31 ± 8.18 ab |
| Time | Sex | TFWU (g·g−1) | ΔLWC (%) | LWCA (%·cm2·mg−1) | FWUi (mg·cm−2·MPa−1) | PRI (%) | ARI (%·MPa−1) |
|---|---|---|---|---|---|---|---|
| Initial | Female | 0.48 ± 0.22 Ab | 0.49 ± 0.25 Ab | 0.11 ± 0.03 Ab | 5.54 ± 2.52 Ab | 0.70 ± 0.17 Ab | 0.62 ± 0.32 Ac |
| Male | 0.25 ± 0.03 Bb | 0.35 ± 0.05 Ab | 0.12 ± 0.03 Ab | 3.15 ± 0.39 Bb | 0.38 ± 0.10 Ac | 0.38 ± 0.05 Ab | |
| Mid | Female | 0.50 ± 0.07 Ab | 6.95 ± 2.58 Aa | 0.87 ± 0.17 Ba | 7.60 ± 0.95 Ab | 8.28 ± 1.59 Aa | 6.67 ± 1.72 Ab |
| Male | 0.29 ± 0.01 Bb | 4.21 ± 0.22 Ab | 1.17 ± 0.09 Aa | 2.40 ± 0.12 Bb | 4.68 ± 0.35 Bb | 2.80 ± 0.10 Bb | |
| End | Female | 1.00 ± 0.04 Aa | 10.13 ± 3.70 Aa | 0.71 ± 0.27 Ba | 20.58 ± 0.62 Aa | 9.83 ± 3.75 Aa | 14.47 ± 5.28 Aa |
| Male | 0.71 ± 0.08 Ba | 9.00 ± 1.15 Aa | 0.99 ± 0.01 Aa | 11.33 ± 1.36 Ba | 9.69 ± 0.11 Aa | 11.25 ± 1.44 Aa |
| Independent Variable | Dependent Variable | F | p |
|---|---|---|---|
| SLA | FWU capacity | 10.652 | 0.005 ** |
| k | 3.918 | 0.065 | |
| SLW | FWU capacity | 12.515 | 0.003 ** |
| k | 5.281 | 0.035 * | |
| LWC | FWU capacity | 7.591 | 0.014 * |
| k | 4.291 | 0.055 | |
| WSD | FWU capacity | 38.372 | 0.000 *** |
| k | 7.472 | 0.015 * |
| Time | Sex | Treatment | ΨPre (MPa) | ΨMid (MPa) |
|---|---|---|---|---|
| Initial | Female | CK | −1.25 ± 0.14 bc | −1.85 ± 0.28 bc |
| TR | −1.3 ± 0.14 cd | −1.70 ± 0.23 b | ||
| male | CK | −1.16 ± 0.19 a | −1.22 ± 0.14 a | |
| TR | −1.20 ± 0.19 ab | −1.26 ± 0.12 a | ||
| Mid | Female | CK | −1.76 ± 0.13 h | −1.89 ± 0.23 cd |
| TR | −1.38 ± 0.15 ef | −2.01 ± 0.17 cde | ||
| male | CK | −1.74 ± 0.12 h | −1.84 ± 0.12 bc | |
| TR | −1.43 ± 0.10 f | −2.01 ± 0.28 cde | ||
| End | Female | CK | −1.89 ± 0.19 i | −2.07 ± 0.44 def |
| TR | −1.53 ± 0.24 g | −2.17 ± 0.31 ef | ||
| male | CK | −1.35 ± 0.33 de | −2.21 ± 0.20 f | |
| TR | −1.27 ± 0.10 bc | −2.20 ± 0.43 f |
| Time | Sex | Wetting | Fo | Fm | Fv/Fm | Fo’ | Fm’ | Fv’/Fm’ | qP | ETR |
|---|---|---|---|---|---|---|---|---|---|---|
| Initial | Female | CK | 318.57 ± 9.26 cde | 1328.27 ± 54.36 cde | 0.76 ± 0.01 ab | 295.53 ± 12.50 bcd | 886.57 ± 142.82 abc | 0.66 ± 0.05 a | 0.24 ± 0.05 cde | 92.28 ± 15.00 bc |
| TR | 295.60 ± 21.82 de | 1243.73 ± 159.44 de | 0.76 ± 0.02 ab | 281.02 ± 31.81 cd | 582.14 ± 107.29 cd | 0.51 ± 0.05 cde | 0.43 ± 0.04 a | 126.14 ± 21.27 a | ||
| male | CK | 360.98 ± 29.56 bcde | 1035.47 ± 3.23 bcde | 0.65 ± 0.03 c | 273.60 ± 22.84 cd | 665.25 ± 125.33 cd | 0.58 ± 0.04 abc | 0.27 ± 0.00 bcd | 88.77 ± 5.87 bc | |
| TR | 274.41 ± 21.88 e | 792.05 ± 160.33 e | 0.65 ± 0.06 c | 260.25 ± 17.18 d | 451.40 ± 81.36 c | 0.42 ± 0.07 e | 0.40 ± 0.08 ab | 94.82 ± 6.61 bc | ||
| Mid | Female | CK | 400.97 ± 101.83 abc | 1580.22 ± 46.49 abc | 0.75 ± 0.06 ab | 325.60 ± 54.30 bcd | 839.05 ± 374.39 abc | 0.58 ± 0.10 abc | 0.21 ± 0.08 de | 51.33 ± 14.75 de |
| TR | 370.01 ± 21.65 bcd | 1601.33 ± 162.35 bcd | 0.77 ± 0.01 ab | 354.59 ± 37.13 b | 1036.90 ± 162.63 ab | 0.65 ± 0.04 ab | 0.12 ± 0.04 e | 32.78 ± 9.36 e | ||
| male | CK | 325.10 ± 31.65 cde | 1246.08 ± 299.30 cde | 0.73 ± 0.04 b | 353.63 ± 21.58 b | 791.90 ± 178.99 bcd | 0.54 ± 0.08 bcd | 0.19 ± 0.08 de | 42.80 ± 15.27 de | |
| TR | 352.30 ± 47.69 bcde | 1279.50 ± 367.98 bcde | 0.71 ± 0.05 bc | 302.85 ± 36.28 bcd | 554.50 ± 156.22 cd | 0.44 ± 0.08 de | 0.29 ± 0.09 abcd | 54.61 ± 13.38 de | ||
| End | Female | CK | 386.26 ± 39.07 abc | 1858.62 ± 46.56 abc | 0.82 ± 0.04 a | 332.66 ± 9.17 bc | 705.69 ± 46.34 bcd | 0.53 ± 0.04 cde | 0.28 ± 0.06 bcd | 64.90 ± 15.79 cde |
| TR | 419.39 ± 42.68 ab | 1776.48 ± 151.05 ab | 0.76 ± 0.04 ab | 309.41 ± 12.30 bcd | 650.10 ± 12.92 cd | 0.52 ± 0.01 cde | 0.43 ± 0.15 a | 99.66 ± 37.58 ab | ||
| male | CK | 429.63 ± 64.06 ab | 1699.51 ± 277.76 ab | 0.75 ± 0.02 ab | 323.68 ± 43.64 bcd | 592.58 ± 139.97 cd | 0.44 ± 0.07 de | 0.37 ± 0.03 abc | 71.15 ± 7.23 bcd | |
| TR | 461.23 ± 50.61 a | 1727.73 ± 333.38 a | 0.72 ± 0.08 bc | 469.98 ± 71.60 a | 1138.11 ± 286.62 a | 0.58 ± 0.06 abc | 0.15 ± 0.08 de | 37.61 ± 21.77 e |
Disclaimer/Publisher’s Note: The statements, opinions and data contained in all publications are solely those of the individual author(s) and contributor(s) and not of MDPI and/or the editor(s). MDPI and/or the editor(s) disclaim responsibility for any injury to people or property resulting from any ideas, methods, instructions or products referred to in the content. |
© 2023 by the authors. Licensee MDPI, Basel, Switzerland. This article is an open access article distributed under the terms and conditions of the Creative Commons Attribution (CC BY) license (https://creativecommons.org/licenses/by/4.0/).
Share and Cite
Li, Z.; Chen, Y.; Wang, H.; Zhang, X. Foliar Water Uptake and Its Relationship with Photosynthetic Capacity and Anatomical Structure between Female and Male Populus euphratica at Different Growth Stages. Forests 2023, 14, 1444. https://doi.org/10.3390/f14071444
Li Z, Chen Y, Wang H, Zhang X. Foliar Water Uptake and Its Relationship with Photosynthetic Capacity and Anatomical Structure between Female and Male Populus euphratica at Different Growth Stages. Forests. 2023; 14(7):1444. https://doi.org/10.3390/f14071444
Chicago/Turabian StyleLi, Zhoukang, Yudong Chen, Huimin Wang, and Xueni Zhang. 2023. "Foliar Water Uptake and Its Relationship with Photosynthetic Capacity and Anatomical Structure between Female and Male Populus euphratica at Different Growth Stages" Forests 14, no. 7: 1444. https://doi.org/10.3390/f14071444
APA StyleLi, Z., Chen, Y., Wang, H., & Zhang, X. (2023). Foliar Water Uptake and Its Relationship with Photosynthetic Capacity and Anatomical Structure between Female and Male Populus euphratica at Different Growth Stages. Forests, 14(7), 1444. https://doi.org/10.3390/f14071444
