Effects of Deciduous Forests on Adolescent Emotional Health in Urban Areas: An Example from the Autumn Ginkgo Forest in Chengdu
Abstract
1. Introduction
Purpose and Assumptions
2. Materials and Methods
2.1. Study Site and Participants
2.2. Measure
2.2.1. Physiological Measurement
2.2.2. Psychometrics
2.3. Experimental Procedure
2.4. Data Statistics and Analysis
3. Results
3.1. Physiological Results
3.1.1. Blood Pressure, Pulse Rate
3.1.2. Emotional indicators
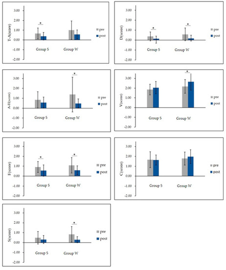
3.2. Psychometric Results
4. Discussion
4.1. Physiological Index Influence
4.2. Psychological Index Influence
4.3. Suggestions for Urban Landscape Forest Planning Based on Different Emotional Feedback
5. Limitations
6. Conclusions
Author Contributions
Funding
Data Availability Statement
Conflicts of Interest
References
- Xie, J.; Luo, S.; Furuya, K.; Sun, D. Urban Parks as Green Buffers during the COVID-19 Pandemic. Sustainability 2020, 12, 6751. [Google Scholar] [CrossRef]
- Tsunetsugu, Y.; Lee, J.; Park, B.-J.; Tyrväinen, L.; Kagawa, T.; Miyazaki, Y. Physiological and psychological effects of viewing urban forest landscapes assessed by multiple measurements. Landsc. Urban Plan. 2013, 113, 90–93. [Google Scholar] [CrossRef]
- Lyu, B.; Zeng, C.; Xie, S.; Li, D.; Lin, W.; Li, N.; Jiang, M.; Liu, S.; Chen, Q. Benefits of A Three-Day Bamboo Forest Therapy Session on the Psychophysiology and Immune System Responses of Male College Students. Int. J. Environ. Res. Public Health 2019, 16, 4991. [Google Scholar] [CrossRef] [PubMed]
- Peschardt, K.K.; Stigsdotter, U.K. Associations between park characteristics and perceived restorativeness of small public urban green spaces. Landsc. Urban Plan. 2013, 112, 26–39. [Google Scholar] [CrossRef]
- Jiang, B.; Zhang, T.; Sullivan, W.C. Healthy Cities: Mechanisms and Research Questions Regarding the Impacts of Urban Green Landscapes on Public Health and Well-being. Landsc. Archit. Front. 2015, 3, 24–35. [Google Scholar]
- Yang, M.; Deng, X.; An, S. The Immediate and Lasting Effect of Emotion Regulation in Adolescents: An ERP Study. Int. J. Environ. Res. Public Health 2021, 18, 10242. [Google Scholar] [CrossRef]
- Restubog, S.L.D.; Ocampo, A.C.G.; Wang, L. Taking control amidst the chaos: Emotion regulation during the COVID-19 pandemic. J. Vocat. Behav. 2020, 119, 103440. [Google Scholar] [CrossRef]
- Cracco, E.; Goossens, L.; Braet, C. Emotion regulation across childhood and adolescence: Evidence for a maladaptive shift in adolescence. Eur. Child Adolesc. Psychiatry 2017, 26, 909–921. [Google Scholar] [CrossRef]
- McLaughlin, K.A.; Hatzenbuehler, M.L.; Mennin, D.S.; Nolen-Hoeksema, S. Emotion dysregulation and adolescent psychopathology: A prospective study. Behav. Res. Ther. 2011, 49, 544–554. [Google Scholar] [CrossRef]
- Lennarz, H.K.; Hollenstein, T.; Lichtwarck-Aschoff, A.; Kuntsche, E.; Granic, I. Emotion regulation in action: Use, selection, and success of emotion regulation in adolescents’ daily lives. Int. J. Behav. Dev. 2019, 43, 1–11. [Google Scholar] [CrossRef]
- Espinosa, P.; De Meulder, B.; Ollero, A. River Restoration and Rehabilitation as a New Urban Design Strategy: Learning to Re-see Urban Rivers. Int. J. Constr. Environ. 2016, 7, 57–73. [Google Scholar] [CrossRef]
- Wolch, J.R.; Byrne, J.; Newell, J.P. Urban green space, public health, and environmental justice: The challenge of making cities ‘just green enough’. Landsc. Urban Plan. 2014, 125, 234–244. [Google Scholar] [CrossRef]
- DuBose, J.; MacAllister, L.; Hadi, K.; Sakallaris, B. Exploring the Concept of Healing Spaces. HERD Health Environ. Res. Des. J. 2018, 11, 43–56. [Google Scholar] [CrossRef] [PubMed]
- Velarde, M.; Fry, G.; Tveit, M. Health effects of viewing landscapes—Landscape types in environmental psychology. Urban For. Urban Green. 2007, 6, 199–212. [Google Scholar] [CrossRef]
- Kim, S.; Park, H.; Choo, S. Effects of Changes to Architectural Elements on Human Relaxation-Arousal Responses: Based on VR and EEG. Int. J. Environ. Res. Public Health 2021, 18, 4305. [Google Scholar] [CrossRef] [PubMed]
- Deng, L.; Luo, H.; Ma, J.; Huang, Z.; Sun, L.X.; Jiang, M.Y.; Zhu, C.Y.; Li, X. Effects of integration between visual stimuli and auditory stimuli on restorative potential and aesthetic preference in urban green spaces. Urban For. Urban Green. 2020, 53, 126702. [Google Scholar] [CrossRef]
- Song, C.; Ikei, H.; Miyazaki, Y. Effects of forest-derived visual, auditory, and combined stimuli. Urban For. Urban Green. 2021, 64, 127253. [Google Scholar] [CrossRef]
- Kuper, R. Here and Gone: The Visual Effects of Seasonal Changes in Plant and Vegetative Characteristics on Landscape Preference Criteria. Landsc. J. 2013, 32, 65–78. [Google Scholar] [CrossRef]
- Zhao, J.; Xu, W.; Li, R. Visual preference of trees: The effects of tree attributes and seasons. Urban For. Urban Green. 2017, 25, 19–25. [Google Scholar] [CrossRef]
- Paddle, E.; Gilliland, J. Orange Is the New Green: Exploring the Restorative Capacity of Seasonal Foliage in Schoolyard Trees. Int. J. Environ. Res. Public Health 2016, 13, 497. [Google Scholar] [CrossRef]
- Giergiczny, M.; Czajkowski, M.; Żylicz, T.; Angelstam, P. Choice experiment assessment of public preferences for forest structural attributes. Ecol. Econ. 2015, 119, 8–23. [Google Scholar] [CrossRef]
- Norouzi, N.; Fani, M. Comparison of weak and strong theories of environmental sustainability in the conceptual context of sustainable development. Trends J. Sci. Res. 2021, 1, 108–122. [Google Scholar] [CrossRef]
- Dudek, T.; Marć, M.; Zabiegała, B. Chemical Composition of Atmospheric Air in Nemoral Scots Pine Forests and Submountainous Beech Forests: The Potential Region for the Introduction of Forest Therapy. Int. J. Environ. Res. Public Health 2022, 19, 15838. [Google Scholar] [CrossRef] [PubMed]
- Wallner, P.; Kundi, M.; Arnberger, A.; Eder, R.; Allex, B.; Weitensfelder, L.; Hutter, H.-P. Reloading Pupils’ Batteries: Impact of Green Spaces on Cognition and Wellbeing. Int. J. Environ. Res. Public Health 2018, 15, 1205. [Google Scholar] [CrossRef] [PubMed]
- Lin, W.; Chen, Q.; Jiang, M.; Tao, J.; Liu, Z.; Zhang, X.; Wu, L.; Xu, S.; Kang, Y.; Zeng, Q. Sitting or Walking? Analyzing the Neural Emotional Indicators of Urban Green Space Behavior with Mobile EEG. J. Urban Health 2020, 97, 191–203. [Google Scholar] [CrossRef]
- Wei, H.; Hauer, R.J.; Guo, S. Daytime dynamic of spontaneous expressions of pedestrians in an urban forest park. Urban For. Urban Green. 2021, 68, 127326. [Google Scholar] [CrossRef]
- Chang, W.-Y.; Lo, M.-T.; Huang, C.-F. The Influence of Emotional Environmental Pictures on Behavior Intentions: The Evidence of Neuroscience Technology. Int. J. Environ. Res. Public Health 2019, 16, 5142. [Google Scholar] [CrossRef] [PubMed]
- Kobayashi, H.; Ikei, H.; Song, C.; Kagawa, T.; Miyazaki, Y. Comparing the impact of forest walking and forest viewing on psychological states. Urban For. Urban Green. 2020, 57, 126920. [Google Scholar] [CrossRef]
- Wu, L.; Dong, Q.; Luo, S.; Jiang, W.; Hao, M.; Chen, Q. Effects of Spatial Elements of Urban Landscape Forests on the Restoration Potential and Preference of Adolescents. Land 2021, 10, 1349. [Google Scholar] [CrossRef]
- Lin, W.; Chen, Q.; Zhang, X.; Tao, J.; Liu, Z.; Lyu, B.; Li, N.; Li, D.; Zeng, C. Effects of Different Bamboo Forest Spaces on Psychophysiological Stress and Spatial Scale Evaluation. Forests 2020, 11, 616. [Google Scholar] [CrossRef]
- Yu, C.-P.; Hsieh, H. Beyond restorative benefits: Evaluating the effect of forest therapy on creativity. Urban For. Urban Green. 2020, 51, 126670. [Google Scholar] [CrossRef]
- Janeczko, E.; Bielinis, E.; Wójcik, R.; Woźnicka, M.; Kędziora, W.; Łukowski, A.; Elsadek, M.; Szyc, K.; Janeczko, K. When Urban Environment Is Restorative: The Effect of Walking in Suburbs and Forests on Psychological and Physiological Relaxation of Young Polish Adults. Forests 2020, 11, 591. [Google Scholar] [CrossRef]
- Hassan, A.; Tao, J.; Li, G.; Jiang, M.; Aii, L.; Jiang, Z.; Liu, Z.; Chen, Q. Effects of Walking in Bamboo Forest and City Environments on Brainwave Activity in Young Adults. Evid.-Based Complement. Altern. Med. 2018, 2018, 9653857. [Google Scholar] [CrossRef] [PubMed]
- Mehdipanah, R.; Israel, B.A.; Richman, A.; Allen, A.; Rowe, Z.; Gamboa, C.; Schulz, A.J. Urban HEART Detroit: The Application of a Health Equity Assessment Tool. J. Urban Health 2021, 98, 146–157. [Google Scholar] [CrossRef] [PubMed]
- Wang, Y.; Xu, M. Electroencephalogram Application for the Analysis of Stress Relief in the Seasonal Landscape. Int. J. Environ. Res. Public Health 2021, 18, 8522. [Google Scholar] [CrossRef] [PubMed]
- Gerstenberg, T.; Baumeister, C.F.; Schraml, U.; Plieninger, T. Hot routes in urban forests: The impact of multiple landscape features on recreational use intensity. Landsc. Urban Plan. 2020, 203, 103888. [Google Scholar] [CrossRef]
- Kuper, R. Preference and restorative potential for landscape models that depict diverse arrangements of defoliated, foliated, and evergreen plants. Urban For. Urban Green. 2020, 48, 126570. [Google Scholar] [CrossRef]
- Paraskevopoulou, A.T.; Kamperi, E.; Demiris, N.; Economou, M.; Theleritis, C.; Kitsonas, M.; Papageorgiou, C. The impact of seasonal colour change in planting on patients with psychotic disorders using biosensors. Urban For. Urban Green. 2018, 36, 50–56. [Google Scholar] [CrossRef]
- Guo, L.N.; Zhao, R.L.; Ren, A.H.; Niu, L.X.; Zhang, Y.L. Stress Recovery of Campus Street Trees as Visual Stimuli on Graduate Students in Autumn. Int. J. Environ. Res. Public Health 2019, 17, 148. [Google Scholar] [CrossRef]
- Griffiths, B.J.; Mayhew, S.D.; Mullinger, K.J.; Jorge, J.; Charest, I.; Wimber, M.; Hanslmayr, S. Alpha/beta power decreases track the fidelity of stimulus-specific information. eLife 2019, 8, e49562. [Google Scholar] [CrossRef]
- Zangeneh Soroush, M.; Maghooli, K.; Kamaledin Setarehdan, S.; Nasrabadi, A.M. A Review on EEG Signals Based Emotion Recognition. Int. Clin. Neurosci. J. 2018, 4, 118–129. [Google Scholar] [CrossRef]
- Kim, Y.J.; Shin, D.J.; Kim, J.Y. A Study on the Characteristics on Brain Wave of Indoor Space Lighting by EEG Experiment. J. Korean Inst. Spat. Des. 2019, 14, 71–80. [Google Scholar]
- Abraham, A.; Sommerhalder, K.; Abel, T. Landscape and well-being: A scoping study on the health-promoting impact of outdoor environments. Int. J. Public Health 2010, 55, 59–69. [Google Scholar] [CrossRef] [PubMed]
- Li, H.; Zhang, X.; Bi, S.; Cao, Y.; Zhang, G. Psychological benefits of green exercise in wild or urban greenspaces: A meta-analysis of controlled trials. Urban For. Urban Green. 2022, 68, 127458. [Google Scholar] [CrossRef]
- Neale, C.; Aspinall, P.; Roe, J.; Tilley, S.; Mavros, P.; Cinderby, S.; Coyne, R.; Thin, N.; Bennett, G.; Thompson, C.W. The Aging Urban Brain: Analyzing Outdoor Physical Activity Using the Emotiv Affectiv Suite in Older People. J. Urban Health Bull. N. Y. Acad. Med. 2017, 94, 869–880. [Google Scholar] [CrossRef]
- Ochiai, H.; Ikei, H.; Song, C.; Kobayashi, M.; Miura, T.; Kagawa, T.; Li, Q.; Kumeda, S.; Imai, M.; Miyazaki, Y. Physiological and psychological effects of forest therapy on middle-aged males with high-normal blood pressure. Int. J. Environ. Res. Public Health 2015, 12, 2532–2542. [Google Scholar] [CrossRef]
- Lee, M.S.; Lee, J.Y.; Park, B.J.; Miyazaki, Y. Interaction with indoor plants may reduce psychological and physiological stress by suppressing autonomic nervous system activity in young adults: A randomized crossover study. J. Physiol. Anthropol. 2015, 34, 21. [Google Scholar] [CrossRef]
- Ramirez, R.; Palencia-Lefler, M.; Giraldo, S.; Vamvakousis, Z. Musical neurofeedback for treating depression in elderly people. Frontiers in Neuroscience. Front. Neurosci. 2015, 9, 354. [Google Scholar] [CrossRef]
- McNair, D.M.; Lorr, M.; Droppleman, L.F.; EdITS. Manual for the Profile of Mood States Manual (POMS); Educational and Industrial Testing Service: Princeton, NJ, USA, 1992. [Google Scholar]
- Profile of Mood StatesForbes, E.E.; Dahl, R.E. Neural systems of positive affect: Relevance to understanding child and adolescent depression? Dev. Psychopathol. 2005, 17, 827–850. [Google Scholar]
- Andersen, S.L.; Teicher, M.H. Stress, sensitive periods and maturational events in adolescent depression. Trends Neurosci. 2008, 31, 183–191. [Google Scholar] [CrossRef]
- Sallis, J.F.; Owen, N.; Fisher, E. Ecological models of health behaviour. Health Educ. Behav. 2002, 4, 116. [Google Scholar]
- Song, C.; Ikei, H.; Igarashi, M.; Takagaki, M.; Miyazaki, Y. Physiological and Psychological Effects of a Walk in Urban Parks in Fall. Int. J. Environ. Res. Public Health 2015, 12, 14216–14228. [Google Scholar] [CrossRef] [PubMed]
- Ulrich, R.S.; Simons, R.F.; Losito, B.D.; Fiorito, E.; Miles, M.A.; Zelson, M. Stress recovery during exposure to natural and urban environments. J. Environ. Psychol. 1991, 11, 201–230. [Google Scholar] [CrossRef]
- Li, H.; Dong, W.; Wang, Z.; Chen, N.; Wu, J.; Wang, G.; Jiang, T. Effect of a Virtual Reality-Based Restorative Environment on the Emotional and Cognitive Recovery of Individuals with Mild-to-Moderate Anxiety and Depression. Int. J. Environ. Res. Public Health 2021, 18, 9053. [Google Scholar] [CrossRef] [PubMed]
- Aspinall, P.; Mavros, P.; Coyne, R.; Roe, J. The urban brain: Analysing outdoor physical activity with mobile EEG. Br. J. Sport. Med. 2015, 49, 272–276. [Google Scholar] [CrossRef] [PubMed]
- Zhang, X.J.; Chen, J.; Li, Q.Y.; Liu, J.C.; Tao, J.P. Color quantification and evaluation of landscape aesthetic quality for autumn landscape forest based on visual characteristics in subalpine region of western Sichuan, China. J. Appl. Ecol. 2020, 31, 45–54. [Google Scholar]
- Gotts, Z.M.; Ellis, J.G.; Deary, V.; Barclay, N.; Newton, J.L. The Association between Daytime Napping and Cognitive Functioning in Chronic Fatigue Syndrome. PLoS ONE 2015, 10, e0117136. [Google Scholar] [CrossRef]
- Jang, H.S.; Kim, J.; Kim, K.S.; Pak, C.H. Human brain activity and emotional responses to plant color stimuli. Color Res. Appl. 2014, 39, 307–316. [Google Scholar] [CrossRef]
- Kaplan, R.; Kaplan, S. The Experience of Nature: A Psychological Perspective; Cambridge University Press: Cambridge, UK, 1989; pp. 9–11. [Google Scholar]
- Xie, J.; Liu, B.; Elsadek, M. How Can Flowers and Their Colors Promote Individuals’ Physiological and Psychological States during the COVID-19 Lockdown? Int. J. Environ. Res. Public Health 2021, 18, 10258. [Google Scholar] [CrossRef]
- Sanei, S.; Chambers, J.A. EEG Signal Processing; John Wiley & Sons Ltd.: Hoboken, NJ, USA, 2007; pp. 1–13. [Google Scholar]
- Ramirez, R.; Vamvakousis, Z. Detecting Emotion from EEG Signals Using the Emotive Epoc Device. In Proceedings of the 2012 International Conference on Brain Informatics, Macau, China, 4–7 December 2012; Volume 7670, pp. 175–184. [Google Scholar]
- Pergams, O.R.; Zaradic, P.A. Zaradic Evidence for a fundamental and pervasive shift away from nature-based recreation. Proc. Natl. Acad. Sci. USA 2008, 105, 2295–2300. [Google Scholar] [CrossRef] [PubMed]
- Hartig, T.; Staats, H. The need for psychological restoration as a determinant of environmental preferences. J. Environ. Psychol. 2006, 26, 215–226. [Google Scholar] [CrossRef]
- Elliot, A.J. A Historically Based Review of Empirical Work on Color and Psychological Functioning: Content, Methods, and Recommendations for Future Research. Rev. Gen. Psychol. 2019, 23, 177–200. [Google Scholar] [CrossRef]
- Gao, Y.; Zhang, T.; Sasaki, K.; Uehara, M.; Jin, Y.; Qin, L. The spatial cognition of a forest landscape and its relationship with tourist viewing intention in different walking passage stages. Urban For. Urban Green. 2021, 58, 126975. [Google Scholar] [CrossRef]
- Gao, Y.; Zhang, T.; Zhang, W.; Meng, H.; Zhang, Z. Research on visual behavior characteristics and cognitive evaluation of different types of forest landscape spaces. Urban For. Urban Green. 2020, 54, 126788. [Google Scholar] [CrossRef]
- Zhang, H.; Chen, B.; Sun, Z.; Bao, Z. Landscape perception and recreation needs in urban green space in Fuyang, Hangzhou, China. Urban For. Urban Green. 2013, 12, 44–52. [Google Scholar] [CrossRef]
- Kexiu, L.; Elsadek, M.; Liu, B.; Fujii, E. Foliage colors improve relaxation and emotional status of university students from different countries. Heliyon 2021, 7, e06131. [Google Scholar] [CrossRef]
- He, D.; Lu, Y.; Xie, B.; Helbich, M. Large-scale greenway intervention promotes walking behaviors: A natural experiment in China. Transp. Res. Part D Transp. Environ. 2021, 101, 103095. [Google Scholar] [CrossRef]
- Li, Z.; Kang, J. Sensitivity analysis of changes in human physiological indicators observed in soundscapes. Landsc. Urban Plan. 2019, 190, 103593. [Google Scholar] [CrossRef]
- Kabisch, N.; Püffel, C.; Masztalerz, O.; Hemmerling, J.; Kraemer, R. Physiological and psychological effects of visits to different urban green and street environments in older people: A field experiment in a dense inner-city area. Landsc. Urban Plan. 2020, 207, 103998. [Google Scholar] [CrossRef]
- Hong, X.-C.; Cheng, S.; Liu, J.; Dang, E.; Wang, J.-B.; Cheng, Y. The Physiological Restorative Role of Soundscape in Different Forest Structures. Forests 2022, 13, 1920. [Google Scholar] [CrossRef]
- Chen, Z.; Zhu, T.-Y.; Liu, J.; Hong, X.-C. Before Becoming a World Heritage: Spatiotemporal Dynamics and Spatial Dependency of the Soundscapes in Kulangsu Scenic Area, China. Forests 2022, 3, 1526. [Google Scholar] [CrossRef]







| Group S | ||||||
| Physiological Indexes | Pre-Test | Post-Test | Rate of Change | p | ||
| Mean | S.D. | Mean | S.D. | |||
| Systolic blood pressure (mmHg) | 113.80 | 14.94 | 114.10 | 13.64 | 0.29 | 0.897 |
| Diastolic blood pressure (mmHg) | 78.02 | 11.99 | 72.27 | 10.06 | −5.76 | 0.008 **1 |
| HR (bpm) | 81.37 | 14.77 | 77.44 | 9.89 | −3.93 | 0.024 *2 |
| Group W | ||||||
| Variable | Pre-Test | Post-Test | Rate of Change | p | ||
| Mean | S.D. | Mean | S.D. | |||
| Systolic blood pressure (mmHg) | 112.63 | 15.80 | 111.75 | 13.10 | −0.88 | 0.925 |
| Diastolic blood pressure (mmHg) | 76.41 | 9.94 | 74.86 | 9.61 | −1.55 | 0.374 |
| HR (bpm) | 77.68 | 12.30 | 75.72 | 11.38 | −1.97 | 0.134 |
| The Areas of Brain | Electrodes | α Wave | β Wave | ||||||||
|---|---|---|---|---|---|---|---|---|---|---|---|
| Group S | Group W | Sig. | Group S | Group W | Sig. | ||||||
| Mean | SD | Mean | SD | Mean | SD | Mean | SD | ||||
| Occipital lobe | O1 | 7.98 | 1.90 | 13.27 | 3.00 | 0.55 | 1.70 | 3.35 | 3.32 | 1.68 | 0.39 |
| O2 | 5.82 | 2.28 | 14.36 | 2.37 | 0.026 * | 1.80 | 2.20 | 3.56 | 7.10 | 0.30 | |
| Frontal lobe | AF3 | 2.07 | 2.35 | 20.43 | 1.33 | 0.06 | 0.84 | 0.66 | 5.57 | 1.47 | 0.05 |
| AF4 | 8.28 | 1.02 | 34.62 | 1.03 | 0.08 | 2.03 | 2.60 | 8.56 | 14.90 | 0.06 | |
| FC5 | 4.13 | 1.10 | 15.02 | 3.96 | 0.10 | 1.15 | 2.14 | 3.69 | 8.42 | 0.20 | |
| FC6 | 4.39 | 2.85 | 24.35 | 1.48 | 0.04 | 1.55 | 1.36 | 6.50 | 10.50 | 0.043 * | |
| F3 | 1.94 | 1.18 | 10.46 | 2.85 | 0.13 | 0.81 | 0.86 | 2.75 | 5.46 | 0.13 | |
| F4 | 6.35 | 1.06 | 7.60 | 3.28 | 0.28 | 3.59 | 2.11 | 3.82 | 7.81 | 0.035 * | |
| F7 | 4.68 | 2.85 | 14.14 | 2.43 | 0.14 | 1.35 | 1.96 | 3.77 | 5.81 | 0.09 | |
| F8 | 11.16 | 1.81 | 10.11 | 1.40 | 0.84 | 2.83 | 3.14 | 2.72 | 3.27 | 0.91 | |
| Temporal lobe | T7 | 2.49 | 0.03 | 18.00 | 3.19 | 0.08 | 0.83 | 0.68 | 4.93 | 9.48 | 0.06 |
| T8 | 14.97 | 2.59 | 33.26 | 2.92 | 0.18 | 3.69 | 5.31 | 8.47 | 3.03 | 0.14 | |
| Parietal lobe | P7 | 1.06 | 1.99 | 11.28 | 2.82 | 0.10 | 0.39 | 0.64 | 3.05 | 6.17 | 0.06 |
| P8 | 6.27 | 5.92 | 21.33 | 2.40 | 0.031 * | 2.29 | 1.97 | 5.93 | 1.56 | 0.03 * | |
Disclaimer/Publisher’s Note: The statements, opinions and data contained in all publications are solely those of the individual author(s) and contributor(s) and not of MDPI and/or the editor(s). MDPI and/or the editor(s) disclaim responsibility for any injury to people or property resulting from any ideas, methods, instructions or products referred to in the content. |
© 2023 by the authors. Licensee MDPI, Basel, Switzerland. This article is an open access article distributed under the terms and conditions of the Creative Commons Attribution (CC BY) license (https://creativecommons.org/licenses/by/4.0/).
Share and Cite
Wu, L.; Luo, S.; Li, D.; Chen, Q.; Li, J.; Wen, J. Effects of Deciduous Forests on Adolescent Emotional Health in Urban Areas: An Example from the Autumn Ginkgo Forest in Chengdu. Forests 2023, 14, 1099. https://doi.org/10.3390/f14061099
Wu L, Luo S, Li D, Chen Q, Li J, Wen J. Effects of Deciduous Forests on Adolescent Emotional Health in Urban Areas: An Example from the Autumn Ginkgo Forest in Chengdu. Forests. 2023; 14(6):1099. https://doi.org/10.3390/f14061099
Chicago/Turabian StyleWu, Linjia, Shixian Luo, Di Li, Qibing Chen, Jingting Li, and Jiacai Wen. 2023. "Effects of Deciduous Forests on Adolescent Emotional Health in Urban Areas: An Example from the Autumn Ginkgo Forest in Chengdu" Forests 14, no. 6: 1099. https://doi.org/10.3390/f14061099
APA StyleWu, L., Luo, S., Li, D., Chen, Q., Li, J., & Wen, J. (2023). Effects of Deciduous Forests on Adolescent Emotional Health in Urban Areas: An Example from the Autumn Ginkgo Forest in Chengdu. Forests, 14(6), 1099. https://doi.org/10.3390/f14061099

