Quantitative Evaluation of the Integrity of Natural Ecosystems and Anthropogenic Impacts in Shennongjia National Park, China
Abstract
1. Introduction
2. Materials
2.1. Overview of the Study Area
2.2. Data Sources and Processing
3. Methods
3.1. Ecosystem Integrity Index
3.2. Anthropogenic Activity Indicator System
3.2.1. Population Density
3.2.2. Traditional Utilization Activities
3.2.3. Industrial and Mining Activities
3.2.4. Ecotourism Activities
3.2.5. Traffic Accessibility
3.3. Analysis of the Impact of Anthropogenic Activities on Natural Ecosystem Integrity
3.3.1. Ordinary Least Squares Model
3.3.2. Geographically Weighted Regression Model
4. Results
4.1. Spatial Distribution Pattern of the Landscape
4.2. Spatial Distribution Pattern of Natural Ecosystem Integrity
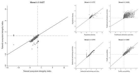
4.3. Quantitative Analysis of the Impact of Anthropogenic Activities on the Natural Ecosystem Integrity
Degree of Impact of Anthropogenic Activity Indicators on Natural Ecosystem Integrity
5. Discussion
5.1. Quantitative Analysis of the Integrity of Natural Ecosystems
5.2. Quantitative Analysis of the Impact of Anthropogenic Activities on the Integrity of Natural Ecosystems
5.3. Suggested Strategies for Enhancing the Integrity of Natural Ecosystems
5.4. Innovations
5.5. Limitations and Perspectives
6. Conclusions
Author Contributions
Funding
Institutional Review Board Statement
Informed Consent Statement
Data Availability Statement
Conflicts of Interest
References
- Woodley, S.; Kay, J.; Francis, G. Monitoring and Measuring Ecosystem Integrity in Canadian National Parks; St. Lucie Press: Ottawa, ON, Canada, 1993. [Google Scholar]
- Karr, J.R. Measuring Biological Integrity: Lessons from Streams. In Ecological Integrity and the Management of Ecosystems; St. Lucie Press: Ottawa, ON, Canada, 1993; pp. 83–104. [Google Scholar]
- Deng, R.; Shao, H.; Wang, B.; Zhang, C.; Zhou, Z.; Fan, J. Remote Assessment on Ecosystem Integrity of the Qinghai-Tibet Plateau and Research on National Parks Group Construction Sequence. Acta Ecol. Sin. 2021, 41, 847–860. [Google Scholar] [CrossRef]
- Zhang, M.; Wang, K.; He, P. Advances in Assessment of Ecosystem Integrity. Trop. Geogr. 2005, 25, 10–13. [Google Scholar]
- Huang, B.; Ouyang, Z.; Zheng, H.; Wang, X.; Miao, H. Connotation of Ecological Integrity and Its Assessment Methods: A Review. Chin. J. Appl. Ecol. 2006, 17, 2196–2202. [Google Scholar]
- Dai, Y.; Xue, Y.; Zhang, Y.; Li, D. Summary Comments on Assessment Methods of Ecosystem Integrity for National Parks. Biodivers. Sci. 2019, 27, 104–113. [Google Scholar] [CrossRef]
- Andreasen, J.K.; O’Neill, R.V.; Noss, R.; Slosser, N.C. Considerations for the Development of a Terrestrial Index of Ecological Integrity. Ecol. Indic. 2001, 1, 21–35. [Google Scholar] [CrossRef]
- Woodley, S. Ecological Integrity and Canada’s National Parks. Georg. Wright Forum 2010, 27, 151–160. [Google Scholar]
- Raab, D.; Bayley, S.E. A Vegetation-Based Index of Biotic Integrity to Assess Marsh Reclamation Success in the Alberta Oil Sands, Canada. Ecol. Indic. 2012, 15, 43–51. [Google Scholar] [CrossRef]
- Unnasch, R.S.; Braun, D.P.; Comer, P.J.; Eckert, G.E. The Ecological Integrity Assessment Framework: A Framework for Assessing the Ecological Integrity of Biological and Ecological Resources of the National Park System. Report to the National Park Service; National Park Service: Washington, DC, USA, 2009. Available online: http://www.npshistory.com/publications/eq/rmp/ecological-integrity-framework.pdf (accessed on 21 February 2023).
- Liu, Q.; Cheng, Q.; Wei, J.; Gu, G. Dynamic Evaluation of Ecosystem Integrity in Greater Khingan Range Area, China. Chin. J. Appl. Ecol. 2019, 30, 3119–3125. [Google Scholar] [CrossRef]
- Peng, Y.; Huang, Z.; Lin, L.; Wang, R.; Cui, G. Exploring Evaluation Methods for Integrity and Authenticity of Terrestrial Natural Ecosystems in National Parks: The Case of Qianjiangyuan National Park System Pilot. Biodivers. Sci. 2021, 29, 1295–1307. [Google Scholar] [CrossRef]
- Liu, X.; Liu, C.; Zhang, C.; Wei, Y.; Huang, B. Ecosystem Integrity and Authenticity Assessment Framework in the Qinghai-Tibet Plateau National Park Cluster. Acta Ecol. Sin. 2021, 41, 833–846. [Google Scholar] [CrossRef]
- Jiang, Y.; Tian, J.; Zhao, J.; Tang, X. The Connotation and Assessment Framework of National Park Ecosystem Integrity: A Case Study of the Amur Tiger and Leopard National Park. Biodivers. Sci. 2021, 29, 1279–1287. [Google Scholar] [CrossRef]
- Fu, M.; Liu, W.; Li, B.; Ren, Y.; Li, S.; Bai, X.; Li, J.; Zhu, Y. Construction and Application of an Evaluation Index System for Ecological and Environmental Protection Effectiveness of National Parks. Chin. J. Ecol. 2021, 40, 4109–4118. [Google Scholar] [CrossRef]
- Tang, X.; Jiang, Y.; Yang, R. Specification for National Park Establishment; Yunnan Provincial Quality and Technical Supervision Bureau: Yunnan, China, 2021. Available online: http://www.forestry.gov.cn/uploadfile/main/2014-8/file/2014-8-8-1a686a35cd6d43a2b7f9c27e40c2c53e.pdf (accessed on 21 February 2023).
- Tang, X.; Li, B.; Chen, J. Specification for Assessment of National Park; Yunnan Provincial Quality and Technical Supervision Bureau: Yunnan, China, 2020. [Google Scholar]
- Sun, H.; Tang, F.; Yin, Z. Regulation of Resources Surveying and Evaluating in National Park. China. 2020. Available online: http://www.forestry.gov.cn/html/lykj/lykj_1708/20191227162425483619611/file/20191227220747983162895.pdf (accessed on 21 February 2023).
- Chen, J. 70 Years of Development in China’s Natural Protected Area System. Land Green. 2019, 10, 50–53. [Google Scholar]
- Liu, X.; Fu, Z.; Wen, R.; Jin, C.; Wang, X.; Wang, C.; Xiao, R.; Hou, P. Characteristics of Human Activities and the Spatio-Temporal Changes of National Nature Reserves in China. Geogr. Res. 2020, 39, 2391–2402. [Google Scholar]
- Wittemyer, G.; Elsen, P.; Bean, W.T.; Burton, A.C.O.; Brashares, J.S. Accelerated Human Population Growth at Protected Area Edges. Science 2008, 321, 123–126. [Google Scholar] [CrossRef]
- Sun, Y.; Zhao, D.; Wu, T.; Wei, B.; Gao, S.; Li, Y.; Cao, F. Temporal and Spatial Dynamic Changes and Landscape Pattern Response of Hemeroby in Dayang Estuary of Liaoning Province, China. Acta Ecol. Sin. 2012, 32, 3645–3655. [Google Scholar] [CrossRef]
- Zhang, M.; Liu, Q.; Wang, J.; Cai, Y.; Bai, Z.; Ye, J. Monitoring Human Activities in Jiaozi Mountain Nature Reserve Based on Remote Sensing during 1992–2018. J. Ecol. Rural Environ. 2020, 36, 1097–1105. [Google Scholar] [CrossRef]
- Xu, Y.; Xu, X.; Tang, Q. Human Activity Intensity of Land Surface: Concept, Methods and Application in China. J. Geogr. Sci. 2016, 26, 1349–1361. [Google Scholar] [CrossRef]
- Carver, S.; Comber, A.; McMorran, R.; Nutter, S. A GIS Model for Mapping Spatial Patterns and Distribution of Wild Land in Scotland. Landsc Urban Plan 2012, 104, 395–409. [Google Scholar] [CrossRef]
- Zhang, X.; Ning, X.; Wang, H.; Liu, Y.; Liu, R. Impact of Human Footprint on Landscape Fragmentation in the Northeastern China Tiger and Leopard National Park. Acta Ecol. Sin. 2022, 42, 4688–4702. [Google Scholar] [CrossRef]
- Cao, J.; Yang, Y.; Deng, Z.; Hu, Y. Spatial and Temporal Evolution of Ecological Vulnerability Based on Vulnerability Scoring Diagram Model in Shennongjia, China. Sci. Rep. 2022, 12, 5168. [Google Scholar] [CrossRef] [PubMed]
- Zhang, Y.; Li, L.; Li, D.; Wu, G. Evaluation of Habitat Suitability Based on Patches of the Sichuan Snub-Nosed Monkey (Rhinopithecus Roxellana) in Shennongjia, Hubei Province. Acta Ecol. Sin. 2018, 38, 3784–3791. [Google Scholar] [CrossRef]
- Leng, H.; Gao, Y.; Feng, L. Current Land Use Classification. China. 2017. Available online: http://www.gov.cn/xinwen/2017-11/05/content_5237375.htm (accessed on 21 February 2023).
- Cui, G.; Guo, Z.; Wang, Q.; Xing, S.; Zhang, J. Key Technologies for the Construction and Management of Nature Reserves; China Forestry Publishing House: Beijing, China, 2018. [Google Scholar]
- Huang, Z.; Peng, Y.; Wang, R.; Cui, G.; Zhang, B.; Lu, N. Exploring the Rapid Assessment Method for Nature Reserve Landscape Protection Effectiveness—A Case Study of Liancheng National Nature Reserve, Gansu, China. Sustainability 2021, 13, 3904. [Google Scholar] [CrossRef]
- Li, F.; Zhang, S.; Yang, J.; Bu, K.; Wang, Q.; Tang, J.; Chang, L. The Effects of Population Density Changes on Ecosystem Services Value: A Case Study in Western Jilin, China. Ecol. Indic. 2016, 61, 328–337. [Google Scholar] [CrossRef]
- He, D.; Chu, J.; Yang, H. Environmental Changes in Yellow River Delta with Terrace Construction and Agricultural Cropping. PeerJ 2021, 9, e12469. [Google Scholar] [CrossRef]
- Odgaard, M.V.; Bøcher, P.K.; Dalgaard, T.; Moeslund, J.E.; Svenning, J.-C. Human-Driven Topographic Effects on the Distribution of Forest in a Flat, Lowland Agricultural Region. J. Geogr. Sci. 2014, 24, 76–92. [Google Scholar] [CrossRef]
- Ogoc, M.N. Socio-Cultural, Economic and Environmental Impacts of Ecotourism in Birilarosa Protected Landscape and Seascape (BLPLS). Asian J. Environ. Ecol. 2021, 15, 27–37. [Google Scholar] [CrossRef]
- Venter, O.; Sanderson, E.W.; Magrach, A.; Allan, J.R.; Beher, J.; Jones, K.R.; Possingham, H.P.; Laurance, W.F.; Wood, P.; Fekete, B.M.; et al. Sixteen Years of Change in the Global Terrestrial Human Footprint and Implications for Biodiversity Conservation. Nat. Commun. 2016, 7, 12558. [Google Scholar] [CrossRef]
- Nematollahi, S.; Fakheran, S.; Kienast, F.; Jafari, A. Application of InVEST Habitat Quality Module in Spatially Vulnerability Assessment of Natural Habitats (Case Study: Chaharmahal and Bakhtiari Province, Iran). Environ. Monit. Assess. 2020, 192, 487. [Google Scholar] [CrossRef]
- Bao, Y.; Liu, K.; Li, T.; Hu, S. Effects of Land Use Change on Habitat Based on InVEST Model—Taking Yellow River Wetland Nature Reserve in Shanxi Province as an Example. Arid. Zone Res. 2015, 32, 622–629. [Google Scholar] [CrossRef]
- Yang, Y. Evolution of Habitat Quality and Association with Land-Use Changes in Mountainous Areas: A Case Study of the Taihang Mountains in Hebei Province, China. Ecol. Indic. 2021, 129, 107967. [Google Scholar] [CrossRef]
- Li, M.; Zhou, Y.; Xiao, P.; Tian, Y.; Huang, H.; Xiao, L. Evolution of Habitat Quality and Its Topographic Gradient Effect in Northwest Hubei Province from 2000 to 2020 Based on the InVEST Model. Land 2021, 10, 857. [Google Scholar] [CrossRef]
- Huang, M.; Yue, W.; Feng, S.; Zhang, J. Spatial-Temporal Evolution of Habitat Quality and Analysis of Landscape Patterns in Dabie Mountain Area of West Anhui Province Based on InVEST Model. Acta Ecol. Sin. 2020, 40, 2895–2906. [Google Scholar] [CrossRef]
- Woolmer, G.; Trombulak, S.C.; Ray, J.C.; Doran, P.J.; Anderson, M.G.; Baldwin, R.F.; Morgan, A.; Sanderson, E.W. Rescaling the Human Footprint: A Tool for Conservation Planning at an Ecoregional Scale. Landsc. Urban Plan. 2008, 87, 42–53. [Google Scholar] [CrossRef]
- Tran, D.X.; Pearson, D.; Palmer, A.; Lowry, J.; Gray, D.; Dominati, E.J. Quantifying Spatial Non-Stationarity in the Relationship between Landscape Structure and the Provision of Ecosystem Services: An Example in the New Zealand Hill Country. Sci. Total Environ. 2022, 808, 152126. [Google Scholar] [CrossRef] [PubMed]
- Li, X.; Wang, X.; Jiang, X.; Han, J.; Wang, Z.; Wu, D.; Lin, Q.; Li, L.; Zhang, S.; Dong, Y. Prediction of Riverside Greenway Landscape Aesthetic Quality of Urban Canalized Rivers Using Environmental Modeling. J. Clean. Prod. 2022, 367, 133066. [Google Scholar] [CrossRef]
- Zhu, C.; Zhang, X.; Zhou, M.; He, S.; Gan, M.; Yang, L.; Wang, K. Impacts of Urbanization and Landscape Pattern on Habitat Quality Using OLS and GWR Models in Hangzhou, China. Ecol. Indic. 2020, 117, 106654. [Google Scholar] [CrossRef]
- Wang, H.; Xu, Y.; Liu, C.; Hang, A.; Lu, L.; Zheng, W. Response of Habitat Quality to Land Use Change Based on Geographical Weighted Regression. Acta Sci. Nat. Univ. Pekin. 2019, 55, 509–518. [Google Scholar] [CrossRef]
- Cui, G.; Zhang, J.; Liu, F. Technical Guidelines for Assessing Conservation Efficiency of Nature Reserves—Part 3: Landscape Conservation. 2014. Available online: https://www.mee.gov.cn/xxgk2018/xxgk/xxgk06/202011/W020201117369058543243.pdf (accessed on 21 February 2023).
- Li, N.; Xu, G. Grid Analysis of Land Use Based on Natural Breaks (Jenks) Classification. Bull. Surv. Mapp. 2020, 4, 106–110. [Google Scholar] [CrossRef]
- Liu, Z. Research on the Spatial Distribution of Liangshui Nature Reserve Forest Biomass Based on Geographically Weighted Regression. Master’s Thesis, Northeast Forestry University, Harbin, China, 2015. [Google Scholar]






| Primary Landscape Type | Secondary Landscape Type | Landscape Attribute | Primary Landscape Type | Secondary Landscape Type | Landscape Attribute |
|---|---|---|---|---|---|
| Woodland | High-canopy-density woodland | Protected landscape | Water and Wetland | River wetland | Protected landscape |
| Low-canopy-density woodland | Protected landscape | Lake wetland | Protected landscape | ||
| Shrubland | Protected landscape | Artificial wetland | Protected landscape | ||
| Artificial woodland | Protected landscape | Mud flat | Protected landscape | ||
| Grassland | High-coverage grassland | Protected landscape | Artificial land | Industrial land | Interfered landscape |
| Medium-coverage grassland | Protected landscape | Transportation land | Interfered landscape | ||
| Low-coverage grassland | Protected landscape | Residential land | Interfered landscape | ||
| Cropland | Dry land | Interfered landscape | Other artificial land | Interfered landscape | |
| Greenhouse | Interfered landscape | Bare land | Bare land | Protected landscape |
| Index | Index Meaning | Selection Basis |
|---|---|---|
| Population Density | The degree of population concentration. | The higher the population density, the greater the demand for natural ecosystem resources and the greater the impact on the ecosystem [32]. |
| Traditional Utilization Activities | Agricultural cultivation, farming, fishing and other activities; traditional utilization in Shennongjia National Park is dominated by cultivation. | The traditional use of the national park by its indigenous inhabitants is dominated by agricultural cultivation, which is a potential threat to the natural ecosystem [33]. |
| Industrial and Mining Activities | Activities such as industrial production and mineral exploitation. | Industrial and mining activities cause serious surface damage and threaten the balance of the natural ecosystems within a certain area [34]. |
| Ecotourism Activities | Activities such as ecotourism, forest recreation, research, and education. | Ecotourism activities pose a potential threat to the natural ecosystem of the national park, while providing recreational services and shared access for all [35]. |
| Traffic Accessibility | The degree of ease with which humans can move from one location to another using a particular transport system. | Traffic accessibility increases as the level of the road and the degree of impact on the natural ecosystems along the road increases [30,36]. |
| Road Type | 0–100 m | 100–500 m | 500–1000 m | 1000–3000 m |
|---|---|---|---|---|
| National Highway | 80 | 60 | 40 | 20 |
| County Road | 60 | 40 | 20 | 0 |
| Township Road | 40 | 20 | 10 | 0 |
| Landscape Type | Whole National Park | Strict Protection Zone | |||
|---|---|---|---|---|---|
| Primary Landscape Type | Secondary Landscape Type | Area (hm2) | Proportion (%) | Area (hm2) | Proportion (%) |
| Woodland | High-canopy-density woodland | 111,087.95 | 93.55 | 60,071.09 | 94.23 |
| Low-canopy-density woodland | 1065.83 | 0.90 | 982.19 | 1.54 | |
| Shrubland | 1474.36 | 1.24 | 901.41 | 1.41 | |
| Artificial woodland | 285.26 | 0.24 | 3.57 | 0.01 | |
| Grassland | High-coverage grassland | 1677.81 | 1.41 | 905.17 | 1.42 |
| Medium-coverage grassland | 86.53 | 0.07 | 45.96 | 0.07 | |
| Low-coverage grassland | 115.92 | 0.10 | 94.13 | 0.15 | |
| Water and Wetland | River wetland | 636.07 | 0.54 | 98.53 | 0.15 |
| Lake wetland | 1.90 | 0.00 | 1.72 | 0.00 | |
| Artificial wetland | 97.39 | 0.08 | 91.78 | 0.14 | |
| Mud flat | 71.19 | 0.06 | 10.22 | 0.02 | |
| Cropland | Dry land | 663.83 | 0.56 | 16.04 | 0.03 |
| Greenhouse | 8.08 | 0.01 | 0.12 | 0.00 | |
| Artificial land | Industrial land | 322.41 | 0.27 | 8.35 | 0.01 |
| Transportation land | 2.08 | 0.00 | 0.12 | 0.00 | |
| Residential land | 387.03 | 0.33 | 33.09 | 0.05 | |
| Other artificial land | 61.35 | 0.05 | 2.17 | 0.00 | |
| Bare land | Bare land | 700.36 | 0.59 | 482.17 | 0.76 |
| Level | Whole National Park | Strict Protection Zone | |
|---|---|---|---|
| High | Area (hm2) | 85,821.04 | 54,553.73 |
| Proportion (%) | 72.38 | 85.66 | |
| Relatively High | Area (hm2) | 13,081.05 | 4827.94 |
| Proportion (%) | 11.03 | 7.58 | |
| Medium | Area (hm2) | 15,378.09 | 3775.23 |
| Proportion (%) | 12.97 | 5.93 | |
| Relatively Low | Area (hm2) | 3994.8 | 528.13 |
| Proportion (%) | 3.37 | 0.83 | |
| Low | Area (hm2) | 288.02 | 4.22 |
| Proportion (%) | 0.24 | 0.01 | |
| EII Value | 96.06 | 98.83 | |
| Dependent Variable | Explanatory Variables | Regression Coefficient | t | p | VIF |
|---|---|---|---|---|---|
| EII | Population Density | −0.3344 | −11.7910 | 0.000 * | 1.225 |
| Traditional Utilization Activities | −0.1101 | −19.1009 | 0.000 * | 1.3016 | |
| Industrial and Mining Activities | −0.0095 | −2.3769 | 0.000 * | 1.6171 | |
| Ecotourism Activities | −0.0248 | −2.0058 | 0.081 | 1.4935 | |
| Traffic Accessibility | −0.2389 | −33.3603 | 0.000 * | 1.8092 |
| Anthropogenic Activity Indicators | Impact Area (hm2) | Proportion in the Whole Area (%) | Impact Area of Strict Protection Zone (hm2) | Proportion in Total Impact Area (%) |
|---|---|---|---|---|
| Population Density | 1776.47 | 1.52 | 1424.99 | 80.21 |
| Traditional Utilization Activities | 23,063.14 | 19.71 | 12,489.28 | 54.15 |
| Industrial and Mining Activities | 5561.5 | 4.75 | 916.66 | 16.48 |
| Traffic Accessibility | 10,852.3 | 9.28 | 2976.28 | 27.43 |
Disclaimer/Publisher’s Note: The statements, opinions and data contained in all publications are solely those of the individual author(s) and contributor(s) and not of MDPI and/or the editor(s). MDPI and/or the editor(s) disclaim responsibility for any injury to people or property resulting from any ideas, methods, instructions or products referred to in the content. |
© 2023 by the authors. Licensee MDPI, Basel, Switzerland. This article is an open access article distributed under the terms and conditions of the Creative Commons Attribution (CC BY) license (https://creativecommons.org/licenses/by/4.0/).
Share and Cite
Huang, Z.; Cao, J.; Peng, Y.; Ma, K.; Cui, G. Quantitative Evaluation of the Integrity of Natural Ecosystems and Anthropogenic Impacts in Shennongjia National Park, China. Forests 2023, 14, 987. https://doi.org/10.3390/f14050987
Huang Z, Cao J, Peng Y, Ma K, Cui G. Quantitative Evaluation of the Integrity of Natural Ecosystems and Anthropogenic Impacts in Shennongjia National Park, China. Forests. 2023; 14(5):987. https://doi.org/10.3390/f14050987
Chicago/Turabian StyleHuang, Zhihao, Jiashuo Cao, Yangjing Peng, Keming Ma, and Guofa Cui. 2023. "Quantitative Evaluation of the Integrity of Natural Ecosystems and Anthropogenic Impacts in Shennongjia National Park, China" Forests 14, no. 5: 987. https://doi.org/10.3390/f14050987
APA StyleHuang, Z., Cao, J., Peng, Y., Ma, K., & Cui, G. (2023). Quantitative Evaluation of the Integrity of Natural Ecosystems and Anthropogenic Impacts in Shennongjia National Park, China. Forests, 14(5), 987. https://doi.org/10.3390/f14050987

