The Optimization of Thermo-Mechanical Densification to Improve the Water Resistance of Outdoor Bamboo Scrimber
Abstract
1. Introduction
2. Materials
2.1. Raw Materials
2.2. Preparation of Bamboo Scrimber
3. Methods
3.1. Water Resistance
3.2. Failure Mode
3.3. Physical Property Analysis
3.4. Chemical Component Analysis
4. Results and Discussion
4.1. Water Resistance
4.2. Failure Mode Determined by EDF 3D Microscopy and FE-SEM
4.2.1. Cross-Section
4.2.2. Width Surfaces
4.2.3. Thick Surfaces
4.3. Vertical Density Profile
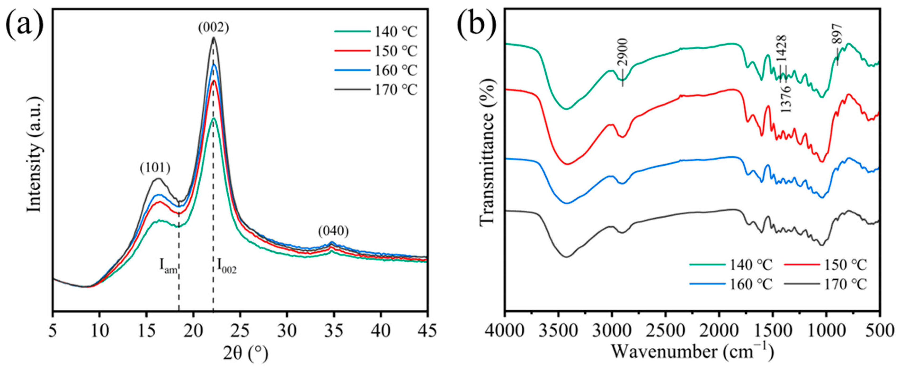
4.4. Analysis of the Crystalline Structure of Cellulose by XRD and FT-IR
4.5. Surface Chemical Component Analysis by XPS
5. Conclusions
Supplementary Materials
Author Contributions
Funding
Data Availability Statement
Conflicts of Interest
References
- Li, Z.; Chen, C.; Mi, R.; Gan, W.; Dai, J.; Jiao, M.; Xie, H.; Yao, Y.; Xiao, S.; Hu, L. A Strong, Tough, and Scalable Structural Material from Fast-Growing Bamboo. Adv. Mater. 2020, 32, 1906308. [Google Scholar] [CrossRef] [PubMed]
- Gu, L.; Zhou, Y.; Mei, T.; Zhou, G.; Xu, L. Carbon Footprint Analysis of Bamboo Scrimber Flooring—Implications for Carbon Sequestration of Bamboo Forests and Its Products. Forests 2019, 10, 51. [Google Scholar] [CrossRef]
- Hao, H.; Tam, L.-H.; Lu, Y.; Lau, D. An atomistic study on the mechanical behavior of bamboo cell wall constituents. Compos. Part B Eng. 2018, 151, 222–231. [Google Scholar] [CrossRef]
- Wang, K.; Peng, H.; Gu, Q.; Zhang, X.; Liu, X.; Dong, Y.; Cai, Y.; Li, Y.; Li, J. Scalable, large-size, and flexible transparent bamboo. Chem. Eng. J. 2023, 451, 138349. [Google Scholar] [CrossRef]
- Sylvayanti, S.P.; Nugroho, N.; Bahtiar, E.T. Bamboo Scrimber’s Physical and Mechanical Properties in Comparison to Four Structural Timber Species. Forests 2023, 14, 146. [Google Scholar] [CrossRef]
- Wang, Y.Y.; Wang, X.Q.; Li, Y.Q.; Huang, P.; Yang, B.; Hu, N.; Fu, S.Y. High-Performance Bamboo Steel Derived from Natural Bamboo. ACS Appl. Mater. Interfaces 2021, 13, 1431–1440. [Google Scholar] [CrossRef] [PubMed]
- Kumar, A.; Vlach, T.; Laiblova, L.; Hrouda, M.; Kasal, B.; Tywoniak, J.; Hajek, P. Engineered bamboo scrimber: Influence of density on the mechanical and water absorption properties. Constr. Build. Mater. 2016, 127, 815–827. [Google Scholar] [CrossRef]
- Ji, Y.; Lei, W.; Huang, Y.; Wu, J.; Yu, W. Influence of Resin Content and Density on Water Resistance of Bamboo Scrimber Composite from a Bonding Interface Structure Perspective. Polymers 2022, 14, 1856. [Google Scholar] [CrossRef]
- Rao, F.; Wei, J.; Qi, Y.; Zhang, Y.; Yu, W. Effect of Core Temperature on Some Important Properties of Poplar Scrimber Boards during the Heat Curing Process. For. Prod. J. 2020, 69, 210–216. [Google Scholar] [CrossRef]
- Yahui, Z.; Qui, Y.; Huang, Y.; Yu, Y.; Liang, Y. Influence of veneer thickness, mat formation and resin content on some properties of novel poplar scrimbers. Holzforschung 2018, 72, 673–680. [Google Scholar]
- Pineda, H.; Hu, Y.A.; Semple, K.; Chen, M.; Dai, C. Computer simulation of the mat formation of bamboo scrimber composites. Compos. Part A Appl. Sci. Manuf. 2021, 149, 106542. [Google Scholar] [CrossRef]
- Huang, Y.; Lin, Q.; Yang, C.; Bian, G.; Yu, W. Multi-scale characterization of bamboo bonding interfaces with phenol-formaldehyde resin of different molecular weight to study the bonding mechanism. J. R. Soc. Interface 2019, 17, 20190755. [Google Scholar] [CrossRef] [PubMed]
- Rao, F.; Ji, Y.; Li, N.; Zhang, Y.; Chen, Y.; Yu, W. Outdoor bamboo-fiber-reinforced composite: Influence of resin content on water resistance and mechanical properties. Constr. Build. Mater. 2020, 261, 120022. [Google Scholar] [CrossRef]
- Zhang, Y.H.; Huang, Y.X.; Ma, H.X.; Yu, W.J.; Qi, Y. Effect of different pressing processes and density on dimensional stability and mechanical properties of bamboo fiber-based composites. J. Korean Wood Sci. Technol. 2018, 46, 355–361. [Google Scholar] [CrossRef]
- Yu, Y.; Liu, R.; Huang, Y.; Meng, F.; Yu, W. Preparation, physical, mechanical, and interfacial morphological properties of engineered bamboo scrimber. Constr. Build. Mater. 2017, 157, 1032–1039. [Google Scholar] [CrossRef]
- Zhang, Y.; Huang, Y.; Qi, Y.; Yu, W. Novel engineered scrimber with outstanding dimensional stability from finely fluffed poplar veneers. Measurement 2018, 124, 318–321. [Google Scholar] [CrossRef]
- Zhang, Y.; Zhang, Y.; Yu, Y.; Yu, W. Scrimber board (SB) manufacturing by a new method and characterization of SB’s mechanical properties and dimensional stability. Holzforschung 2018, 72, 283–289. [Google Scholar] [CrossRef]
- Sun, Y.; Yu, W.; Wei, X.; Ge, L.; Zhang, Y. Bamboo strand-based structural composite lumber: Influence of technological parameters on physico-mechanical properties. Constr. Build. Mater. 2021, 271, 121795. [Google Scholar] [CrossRef]
- Shan, B.; Chen, C.Q.; Deng, J.Y.; Li, T.Y.; Xiao, Y. Assessing adhesion and glue-line defects in cold-pressing lamination of glubam. Constr. Build. Mater. 2021, 274, 122106. [Google Scholar] [CrossRef]
- Gibson, L.J.; Ashb, M.F. Cellular Solid Structure and Properties, 2nd ed.; Cambridge University Press: Cambridge, UK, 1999. [Google Scholar]
- Wang, X.; Tu, D.; Chen, C.; Zhou, Q.; Huang, H.; Zheng, Z.; Zhu, Z. A thermal modification technique combining bulk densification and heat treatment for poplar wood with low moisture content. Constr. Build. Mater. 2021, 291, 123395. [Google Scholar] [CrossRef]
- Li, Z.-Z.; Luan, Y.; Hu, J.-B.; Fang, C.-H.; Liu, L.-T.; Ma, Y.-F.; Liu, Y.; Fei, B.-H. Bamboo heat treatments and their effects on bamboo properties. Constr. Build. Mater. 2022, 331, 127320. [Google Scholar] [CrossRef]
- Hill, C.; Altgen, M.; Rautkari, L. Thermal modification of wood—A review: Chemical changes and hygroscopicity. J. Mater. Sci. 2021, 56, 6581–6614. [Google Scholar] [CrossRef]
- Pelaez-Samaniego, M.R.; Yadama, V.; Lowell, E.; Espinoza-Herrera, R. A review of wood thermal pretreatments to improve wood composite properties. Wood Sci. Technol. 2013, 47, 1285–1319. [Google Scholar] [CrossRef]
- Xie, X.; Xi, J.; Dai, Y.; Yuan, T.; Li, Y.; Wang, X. Improving Biomass-Degradation Properties and Nano-Mechanics of Moso Bamboo via a Simple Nitrogen Heat Treatment. Forests 2022, 13, 2059. [Google Scholar] [CrossRef]
- Yuan, T.; Yin, X.; Huang, Y.; Li, X.; Wang, X.; Chen, L.; Li, Y. Hydrothermal treatment of bamboo and its effect on nano-mechanic and anti-mildew property. J. Clean. Prod. 2022, 380, 135189. [Google Scholar] [CrossRef]
- Wang, X.; Yuan, Z.; Zhan, X.; Li, Y.; Li, M.; Shen, L.; Cheng, D.; Li, Y.; Xu, B. Multi-scale characterization of the thermal — mechanically isolated bamboo fiber bundles and its potential application on engineered composites. Constr. Build. Mater. 2020, 262, 120866. [Google Scholar] [CrossRef]
- Yuan, T.; Wang, Z.; Han, X.; Yuan, Z.; Wang, X.; Li, Y. Multi-scale evaluation of the effect of saturated steam on the micromechanical properties of Moso bamboo. Holzforschung 2021, 75, 1052–1060. [Google Scholar] [CrossRef]
- Zhang, Y.; Yu, Y.; Lu, Y.; Yu, W.; Wang, S. Effects of heat treatment on surface physicochemical properties and sorption behavior of bamboo (Phyllostachys edulis). Constr. Build. Mater. 2021, 282, 122683. [Google Scholar] [CrossRef]
- Meng, F.D.; Yu, Y.L.; Zhang, Y.M.; Yu, W.J.; Gao, J.M. Surface chemical composition analysis of heat-treated bamboo. Appl. Surf. Sci. 2016, 371, 383–390. [Google Scholar] [CrossRef]
- Luan, Y.; Fang, C.-H.; Ma, Y.-F.; Fei, B.-H. Wood mechanical densification: A review on processing. Mater. Manuf. Process. 2021, 37, 359–371. [Google Scholar] [CrossRef]
- Dong, Y.; Zhang, W.; Hughes, M.; Wu, M.; Zhang, S.; Li, J. Various polymeric monomers derived from renewable rosin for the modification of fast-growing poplar wood. Compos. Part B Eng. 2019, 174, 106902. [Google Scholar] [CrossRef]
- Song, J.; Chen, C.; Zhu, S.; Zhu, M.; Dai, J.; Ray, U.; Li, Y.; Kuang, Y.; Li, Y.; Quispe, N.; et al. Processing bulk natural wood into a high-performance structural material. Nature 2018, 554, 224–228. [Google Scholar] [CrossRef] [PubMed]
- Kadivar, M.; Gauss, C.; Mármol, G.; de Sá, A.D.; Fioroni, C.; Ghavami, K.; Savastano, H. The influence of the initial moisture content on densification process of D. asper bamboo: Physical-chemical and bending characterization. Constr. Build. Mater. 2019, 229, 116896. [Google Scholar] [CrossRef]
- Kadivar, M.; Gauss, C.; Tomazello-Filho, M.; Ahrar, A.J.; Ghavami, K.; Savastano, H. Optimization of thermo-mechanical densification of bamboo. Constr. Build. Mater. 2021, 298, 123860. [Google Scholar] [CrossRef]
- O’Ceallaigh, C.; Conway, M.; Mehra, S.; Harte, A.M. Numerical Investigation of Reinforcement of Timber Elements in Compression Perpendicular to the Grain using Densified Wood Dowels. Constr. Build. Mater. 2021, 288, 122990. [Google Scholar] [CrossRef]
- Belt, T.; Rautkari, L.; Laine, K.; Hill, C.A.S. Cupping behaviour of surface densified Scots pine wood: The effect of process parameters and correlation with density profile characteristics. J. Mater. Sci. 2013, 48, 6426–6430. [Google Scholar] [CrossRef]
- Kadivar, M.; Gauss, C.; Ghavami, K.; Savastano, H., Jr. Densification of Bamboo: State of the Art. Materials 2020, 13, 4346. [Google Scholar] [CrossRef] [PubMed]
- Radoor, S.; Karayil, J.; Shivanna, J.M.; Siengchin, S. Water Absorption and Swelling Behaviour of Wood Plastic Composites. In Wood Polymer Composites; Composites Science and Technology; Springer: Berlin/Heidelberg, Germany, 2021; pp. 195–212. [Google Scholar]
- Huang, J.-K.; Young, W.-B. The mechanical, hygral, and interfacial strength of continuous bamboo fiber reinforced epoxy composites. Compos. Part B Eng. 2019, 166, 272–283. [Google Scholar] [CrossRef]
- Alamri, H.; Low, I.M. Mechanical properties and water absorption behaviour of recycled cellulose fibre reinforced epoxy composites. Polym. Test. 2012, 31, 620–628. [Google Scholar] [CrossRef]
- Iling, E.; Ali, D.S.H. Effect of Different Hot Press Temperature on Physical and Mechanical Performance of Microwave Pre-treated Oil Palm Fronds (OPaF) Composite Board With Addition of Urea Formaldehyde Resin. Borneo J. Sci. Technol. 2020, 2, 19–26. [Google Scholar] [CrossRef]
- Cao, Y.; Xu, C.; Zhang, Q.; Jin, C.; Wang, S.; Wu, Q. An in-situ microscale investigation into the fracture of wood-adhesive interphase by nanoindentation. Constr. Build. Mater. 2022, 346, 128393. [Google Scholar] [CrossRef]
- Cabral, J.P.; Kafle, B.; Subhani, M.; Reiner, J.; Ashraf, M. Densification of timber: A review on the process, material properties, and application. J. Wood Sci. 2022, 68, 20. [Google Scholar] [CrossRef]
- Mäkinen, T.; Halonen, A.; Koivisto, J.; Alava, M.J. Wood compression in four-dimensional in situ tomography. Phys. Rev. Mater. 2022, 6, L070601. [Google Scholar] [CrossRef]
- Hao, X.; Tian, X.; Li, S.; Yang, C.; Yu, Y.; Yu, W. The Separation Mechanism of Bamboo Bundles at Cellular Level. Forests 2022, 13, 1897. [Google Scholar] [CrossRef]
- Rautkari, L.; Laine, K.; Laflin, N.; Hughes, M. Surface modification of Scots pine: The effect of process parameters on the through thickness density profile. J. Mater. Sci. 2011, 46, 4780–4786. [Google Scholar] [CrossRef]
- Li, R.; Huang, R.; Chang, J. Effect of hot pressing temperature on the density profile of compressed solid wood. Bioresources 2019, 14, 1482–1493. [Google Scholar] [CrossRef]
- Zhang, Y.-H.; Ma, H.-X.; Qi, Y.; Zhu, R.-X.; Li, X.-W.; Yu, W.-J.; Rao, F. Study of the long-term degradation behavior of bamboo scrimber under natural weathering. npj Mater. Degrad. 2022, 6, 63. [Google Scholar] [CrossRef]
- Yin, Y.; Berglund, L.; Salmen, L. Effect of Steam Treatment on the Properties of Wood Cell Walls. Biomacromolecules 2011, 12, 194–202. [Google Scholar] [CrossRef]
- Akerholm, M.; Hinterstoisser, B.; Salmen, L. Characterization of the crystalline structure of cellulose using static and dynamic FT-IR spectroscopy. Carbohydr. Res. 2004, 339, 569–578. [Google Scholar] [CrossRef]
- O’Connor, R.T.; DuPré, E.F.; Mitcham, D. Applications of Infrared Absorption Spectroscopy to Investigations of Cotton and Modified Cottons and Modified Cottons. Part I: Physical and Crystal. Text. Res. J. 1958, 28, 382–392. [Google Scholar] [CrossRef]
- Nelson, M.L.; O’Connor, R.T. Relation of certain infrared bands to cellulose crystallinity and crystal lattice type. Part I. Spectra of lattice types I, II, III and amorphous cellulose. J. Appl. Polym. Sci. 1964, 8, 1311–1324. [Google Scholar] [CrossRef]
- Nelson, M.L.; O’Connor, R.T. Relation of Certain Infrared Bands to Cellulose Crystallinity and Crystal Lattice Type. Part II. A New Infrared Ratio for Estimation of Crystallinity in Celluloses I and II. J. Appl. Polym. Sci. 1964, 8, 1325–1341. [Google Scholar] [CrossRef]
- Ahmed, A.; Adnot, A.; Kaliaguine, S. ESCA Study of the Solid Residues of Supercritical Extraction of Populus tremuloïdes in Methanol. J. Appl. Polym. Sci. 1987, 34, 359–375. [Google Scholar] [CrossRef]
- Bao, M.; Huang, X.; Zhang, Y.; Yu, W.; Yu, Y. Effect of density on the hygroscopicity and surface characteristics of hybrid poplar compreg. J. Wood Sci. 2016, 62, 441–451. [Google Scholar] [CrossRef]
- Yu, Y.; Huang, X.; Yu, W. A novel process to improve yield and mechanical performance of bamboo fiber reinforced composite via mechanical treatments. Compos. Part B Eng. 2014, 56, 48–53. [Google Scholar] [CrossRef]









| Test Method | Hot-Pressing Temperature/°C | |||
|---|---|---|---|---|
| 140 | 150 | 160 | 170 | |
| A | 1.18 (0.02) | 1.20 (0.03) | 1.19 (0.02) | 1.17 (0.01) |
| B | 1.18 (0.02) | 1.20 (0.02) | 1.19 (0.01) | 1.18 (0.02) |
| C | 1.18 (0.02) | 1.20 (0.02) | 1.19 (0.01) | 1.18 (0.03) |
| Test Method | Dependent Variable | Independent Variable | Quadratic Sum | Degree of Freedom | Mean Square | F | p |
|---|---|---|---|---|---|---|---|
| A | WA | Hot-pressing temperature | 0.889 | 3 | 0.296 | 0.553 | 0.652 n.s. |
| WS | 0.257 | 3 | 0.086 | 2.751 | 0.070 n.s. | ||
| C-TS | 1.517 | 3 | 0.506 | 2.906 | 0.060 n.s. | ||
| E-TS | 0.416 | 3 | 0.139 | 1.465 | 0.254 n.s. | ||
| B | WA | Hot-pressing temperature | 5.365 | 3 | 1.788 | 0.681 | 0.574 n.s. |
| WS | 0.497 | 3 | 0.166 | 1.064 | 0.387 n.s. | ||
| C-TS | 8.854 | 3 | 2.951 | 2.477 | 0.091 n.s. | ||
| E-TS | 36.413 | 3 | 12.138 | 5.966 | 0.004 ** | ||
| C | WA | Hot-pressing temperature | 174.356 | 3 | 58.119 | 13.540 | 0.000 *** |
| WS | 10.285 | 3 | 3.428 | 11.613 | 0.000 *** | ||
| C-TS | 559.720 | 3 | 186.57 | 34.445 | 0.000 *** | ||
| E-TS | 790.851 | 3 | 263.617 | 53.294 | 0.000 *** |
| Sample | Roughness Parameter | Hot-Pressing Temperature/°C | |||
|---|---|---|---|---|---|
| 140 | 150 | 160 | 170 | ||
| Untreated | Ra (mm) | 0.06 | 0.06 | 0.06 | 0.06 |
| Rz (mm) | 0.39 | 0.42 | 0.35 | 0.43 | |
| 28 h cycle | Ra (mm) | 0.26 | 0.20 | 0.13 | 0.29 |
| Rz (mm) | 1.44 | 1.27 | 1.07 | 1.73 | |
| Test Method | Crystalline Structure | Hot-Pressing Temperature/°C | |||
|---|---|---|---|---|---|
| 140 | 150 | 160 | 170 | ||
| XRD | CrI (%) | 62.72 | 62.95 | 63.63 | 63.73 |
| FT-IR | H1428/H897 | 0.965 | 0.951 | 0.976 | 0.979 |
| H1376/H2900 | 1.002 | 0.995 | 1.000 | 1.002 | |
Disclaimer/Publisher’s Note: The statements, opinions and data contained in all publications are solely those of the individual author(s) and contributor(s) and not of MDPI and/or the editor(s). MDPI and/or the editor(s) disclaim responsibility for any injury to people or property resulting from any ideas, methods, instructions or products referred to in the content. |
© 2023 by the authors. Licensee MDPI, Basel, Switzerland. This article is an open access article distributed under the terms and conditions of the Creative Commons Attribution (CC BY) license (https://creativecommons.org/licenses/by/4.0/).
Share and Cite
Wang, X.; Zhu, R.; Lei, W.; Su, Q.; Yu, W. The Optimization of Thermo-Mechanical Densification to Improve the Water Resistance of Outdoor Bamboo Scrimber. Forests 2023, 14, 749. https://doi.org/10.3390/f14040749
Wang X, Zhu R, Lei W, Su Q, Yu W. The Optimization of Thermo-Mechanical Densification to Improve the Water Resistance of Outdoor Bamboo Scrimber. Forests. 2023; 14(4):749. https://doi.org/10.3390/f14040749
Chicago/Turabian StyleWang, Xiaoxia, Rongxian Zhu, Wencheng Lei, Qiupeng Su, and Wenji Yu. 2023. "The Optimization of Thermo-Mechanical Densification to Improve the Water Resistance of Outdoor Bamboo Scrimber" Forests 14, no. 4: 749. https://doi.org/10.3390/f14040749
APA StyleWang, X., Zhu, R., Lei, W., Su, Q., & Yu, W. (2023). The Optimization of Thermo-Mechanical Densification to Improve the Water Resistance of Outdoor Bamboo Scrimber. Forests, 14(4), 749. https://doi.org/10.3390/f14040749
