Potential Westward Spread of Emerald Ash Borer, Agrilus planipennis Fairmaire, 1888 (Coleoptera: Buprestidae) from Eastern Ukraine
Abstract
1. Introduction
2. Materials and Methods
2.1. EAB Phenology and Importance of Climatic Parameters
| Point, Country | EAB Is Detected, Predicted, or Not Predicted | Continent | Latitude | Longitude | Climate Type by Köppen–Geiger [73] |
|---|---|---|---|---|---|
| Changchun, China | detected | Asia | 43.88 | 125.23 | Dwa |
| Harbin, China | detected | Asia | 45.75 | 126.77 | Dwa |
| Tianjin, China | detected | Asia | 39.03 | 117.20 | Cwa |
| Cincinnati, U.S. | detected | North America | 39.10 | −84.42 | Cfa |
| Michigan, U.S. | detected | North America | 42.22 | −83.11 | Dfa |
| Texas, U.S. | detected | North America | 32.00 | −102.08 | BSh |
| Moscow, Russian Federation | detected | Europe | 55.75 | 37.62 | Dfb |
| Svatove, Ukraine | detected | Europe | 49.42 | 38.16 | Dfa |
| Kharkiv, Ukraine | predicted | Europe | 50.00 | 36.25 | Dfb |
| Luhansk, Ukraine | predicted | Europe | 48.44 | 39.34 | Dfa |
| Lviv, Ukraine | not predicted | Europe | 49.80 | 24.00 | Cfb |
| Prague, Czech Republic | not predicted | Europe | 49.99 | 14.45 | Cfb |
2.2. EAB Distribution Model
2.3. Comparison of the Most Significant Bioclimatic Variables in the New EAB Range with Those in the Native and Invasive Ranges
3. Results
3.1. EAB Phenology
3.2. Maximum Entropy Modeling
3.3. Bioclimatic Environmental Variables in the Native and Invasive EAB Ranges
4. Discussion
5. Conclusions
- All known foci of EAB were located in regions with a pronounced seasonality. Therefore, the development of the host tree and the pest had adapted to such changes. EAB adults emerge after the ash foliage developed, and the last specimens were found before the foliage began to turn yellow. Larvae feeding and development under the bark occurred during a period with temperatures above 10 °C.
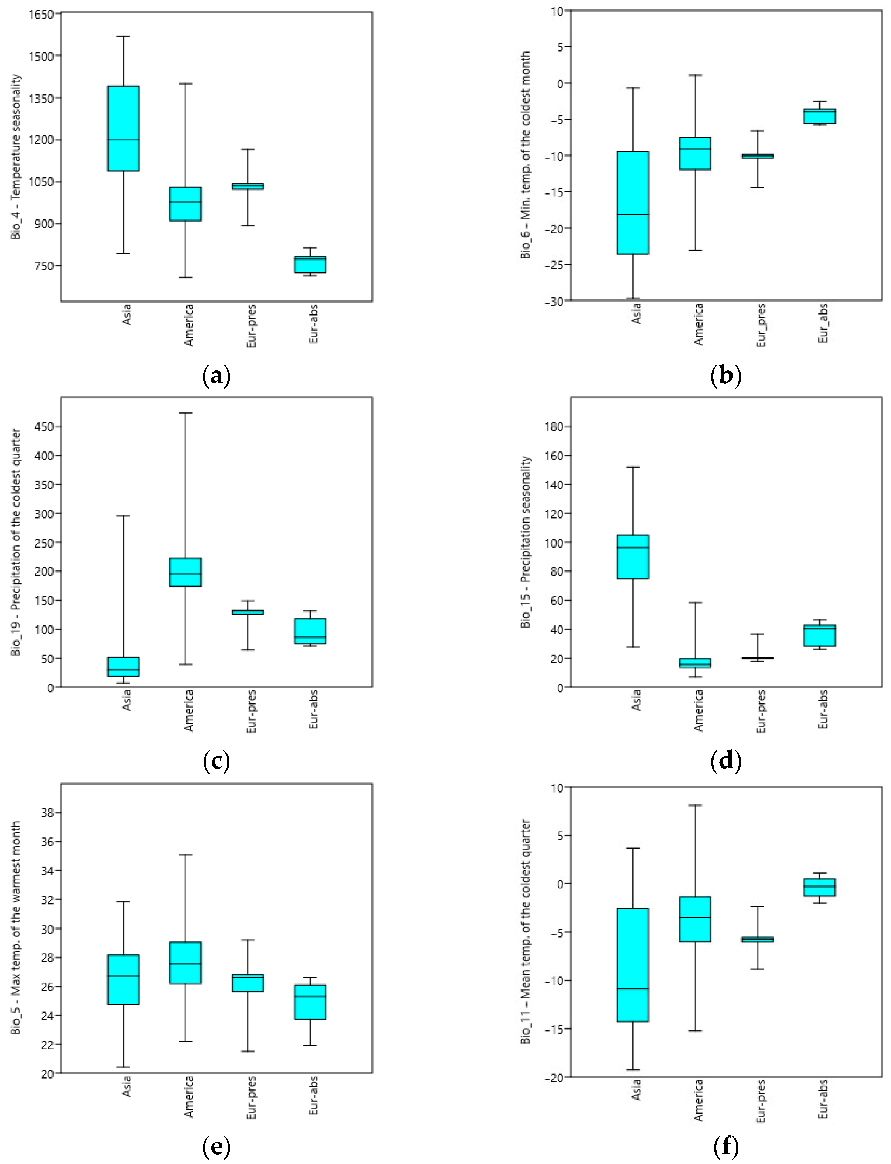
- When constructing the EAB range model for Ukraine and westward, 6 bioclimatic variables had a cumulative contribution of 95.19%, particularly Bio_4 (the variation of temperature over a given year), Bio_6 (the minimal temperature of the coldest month), Bio_19 (the precipitation of the coldest quarter), Bio_15 (the precipitation seasonality), Bio_5 (the monthly mean of daily high temperatures for the hottest month), and Bio_11 (the mean temperatures during the coldest 3 months of the year). The model predicted a high probability of EAB spread in East Ukraine. The EAB spread would exceed 87% of the area in Luhansk, 48% in Kharkiv, and 32% in Donetsk.
- The ranges of the bioclimatic variables in different regions of EAB presence showed the high ecological plasticity of this pest. However, its spread was not predicted using MaxEnt for some points with similar bioclimatic variables. To improve the forecasting accuracy, it could be necessary to add the data on host-plant distribution, the stand structure determining the microclimate, as well as the localization of roads along which the pest can spread passively, to the bioclimatic variables.
Supplementary Materials
Author Contributions
Funding
Institutional Review Board Statement
Informed Consent Statement
Data Availability Statement
Conflicts of Interest
References
- Baranchikov, Y.N.; Seraya, L.G.; Grinash, M.N. All European ash species are susceptible to emerald ash borer Agrilus planipennis Fairmaire (Coleoptera: Buprestidae)—A Far Eastern invader. Sib. For. J. 2014, 6, 80–85. [Google Scholar]
- Haack, R.A.; Baranchikov, Y.; Bauer, L.S.; Poland, T.M. Emerald ash borer biology and invasion history. In Biology and Control of Emerald Ash Borer; Van Driesche, R.G., Reardon, R.C., Eds.; FHTET-2014-09 Department of Agriculture, Forest Service, Forest Health Technology Enterprise Team: Morgantown, WV, USA, 2015; Chapter 1; pp. 1–13. [Google Scholar]
- Wang, X.Y.; Yang, Z.Q.; Gould, J.R.; Zhang, Y.N.; Liu, G.J.; Liu, E.S. The biology and ecology of the emerald ash borer, Agrilus planipennis, in China. J. Insect Sci. 2010, 10, 128. [Google Scholar] [CrossRef] [PubMed]
- Herms, D.A.; McCullough, D.G. Emerald ash borer invasion of North America: History, biology, ecology, impacts, and management. Annu. Rev. Entomol. 2014, 59, 13–30. [Google Scholar] [CrossRef] [PubMed]
- Haack, R.A.; Jendek, E.; Liu, H.; Marchant, K.R.; Petrice, T.R.; Poland, T.M.; Ye, H. The emerald ash borer: A new exotic pest in North America. Newsl. Mich. Entomol. Soc. 2002, 47, 1–5. [Google Scholar]
- Timms, L.L.; Smith, S.M.; De Groot, P. Patterns in the within-tree distribution of the emerald ash borer Agrilus planipennis (Fairmaire) in young, green-ash plantations of south-western Ontario, Canada. Agric. For. Entomol. 2006, 8, 313–321. [Google Scholar] [CrossRef]
- Orlova-Bienkowskaja, M.J. European range of the emerald ash borer Agrilus planipennis (Coleoptera: Buprestidae) is expanding: The pest destroys ashes in the northwest of Moscow Oblast and in part of Tver Oblast. Russ. J. Biol. Invasions 2014, 5, 32–37. [Google Scholar] [CrossRef]
- Orlova-Bienkowskaja, M.J. Ashes in Europe are in danger: The invasive range of Agrilus planipennis in European Russia is expanding. Biol. Invasions 2014, 16, 1345–1349. [Google Scholar] [CrossRef]
- Selikhovkin, A.V.; Popovichev, B.G.; Mandelshtam, M.Y.; Vasaitis, R.; Musolin, D.L. The frontline of invasion: The current Northern limit of the invasive range of Emerald ash borer, Agrilus planipennis Fairmaire (Coleoptera: Buprestidae), in European Russia. Balt. For. 2017, 23, 309–315. [Google Scholar]
- Selikhovkin, A.V.; Popovichev, B.G.; Merkuryev, S.A.; Volkovitsh, M.G.; Vasaitis, R.; Musolin, D.L. Invasive populations of Emerald ash borer Agrilus planipennis Fairmaire, 1888 (Coleoptera: Buprestidae) in Saint Petersburg, Russia: A “Hitchhiker”? Insects 2021, 13, 191. [Google Scholar] [CrossRef]
- Orlova-Bienkowskaja, M.J.; Bieńkowski, A.O. Low heat availability could limit the potential spread of the Emerald ash borer to Northern Europe (Prognosis Based on Growing Degree Days per Year). Insects 2022, 13, 52. [Google Scholar] [CrossRef]
- Orlova-Bienkowskaja, M.J.; Bieńkowski, A.O. Southern range expansion of the Emerald ash borer, Agrilus planipennis, in Russia threatens ash and olive trees in the Middle East and Southern Europe. Forests 2022, 13, 541. [Google Scholar] [CrossRef]
- Shchurov, V.I.; Zamotailov, A.S. The first findings of the emerald ash borer Agrilus planipennis Fairmaire, 1888 (Coleoptera: Buprestidae) in the Krasnodar krai. In Proceedings of the XXIV International Scientific Conference “Biological diversity of the Caucasus and Southern Russia”, Magas, Russia, 17–20 November 2022; ALEF Publishing House: Makhachkala, Russia, 2022; pp. 558–565, ISBN 978-5-00212-129-8. [Google Scholar]
- Musolin, D.L.; Selikhovkin, A.V.; Peregudova, E.Y.; Popovichev, B.G.; Mandelshtam, M.Y.; Baranchikov, Y.N.; Vasaitis, R. North-Westward expansion of the invasive range of Emerald ash borer, Agrilus planipennis Fairmaire (Coleoptera: Buprestidae) towards EU: From Moscow to Saint Petersburg. Forests 2021, 12, 502. [Google Scholar] [CrossRef]
- Orlova-Bienkowskaja, M.J.; Bieńkowski, A.O. Modeling long-distance dispersal of emerald ash borer in European Russia and prognosis of spread of this pest to neighboring countries within next 5 years. Ecol. Evol. 2018, 8, 9295–9304. [Google Scholar] [CrossRef]
- Drogvalenko, A.N.; Orlova-Bienkowskaja, M.J.; Bienkowski, A.O. Record of the Emerald ash borer (Agrilus planipennis) in Ukraine is confirmed. Insects 2019, 10, 338. [Google Scholar] [CrossRef]
- Orlova-Bienkowskaja, M.J.; Drogvalenko, A.N.; Zabaluev, I.A.; Sazhnev, A.S.; Peregudova, E.Y.; Mazurov, S.G.; Komarov, E.V.; Struchaev, V.V.; Martynov, V.V.; Nikulina, T.V.; et al. Current range of Agrilus planipennis Fairmaire, an alien pest of ash trees, in European Russia and Ukraine. Ann. For. Sci. 2020, 77, 1–14. [Google Scholar] [CrossRef]
- Meshkova, V.L.; Kucheryavenko, T.V.; Skrylnik, Y.E.; Zinchenko, O.V.; Borysenko, A.I. Beginning of the spread of Agrilus planipennis Fairmaire (Coleoptera: Buprestidae) on the territory of Ukraine. Proc. St. Petersburg For. Tech. Acad. 2021, 236, 163–184. [Google Scholar]
- Meshkova, V.L.; Skrylnyk, Y.E.; Terekhova, V.V.; Kucheryavenko, T.V. Emerald ash borer (Agrilus planipennis) in Kharkiv Region. In Proceedings of the International Scientific and Practical Conference Modern Problems of Forestry and Ecology: Ways of Solution, Zhytomyr: Polissya National University, Zhytomyr, Ukraine, 7–8 October 2021; pp. 125–126, ISBN 978-617-7684-65-6. [Google Scholar]
- Poland, T.M.; Chen, Y.; Koch, J.; Pureswaran, D. Review of the emerald ash borer (Coleoptera: Buprestidae), life history, mating behaviours, host plant selection, and host resistance. Can. Entomol. 2015, 147, 252–262. [Google Scholar] [CrossRef]
- Dang, Y.Q.; Zhang, Y.L.; Wang, X.Y.; Xin, B.; Quinn, N.F.; Duan, J.J. Retrospective analysis of factors affecting the distribution of an invasive wood-boring insect using native range data: The importance of host plants. J. Pest Sci. 2021, 94, 981–990. [Google Scholar] [CrossRef]
- Davydenko, K.; Skrylnyk, Y.; Borysenko, O.; Menkis, A.; Vysotska, N.; Meshkova, V.; Olson, A.; Elfstrand, M.; Vasaitis, R. Invasion of Emerald ash borer Agrilus planipennis and ash dieback pathogen Hymenoscyphus fraxineus in Ukraine–A concerted action. Forests 2022, 13, 789. [Google Scholar] [CrossRef]
- FRAXIGEN. Ash Species in Europe: Biological Characteristics and Practical Guidelines for Sustainable Use; Oxford Forestry Institute, University of Oxford: Oxford, UK, 2005; p. 128. ISBN 085074.163.7. [Google Scholar]
- Vasaitis, R.; Enderle, R. Dieback of European Ash (Fraxinus spp.)–Consequences and Guidelines for Sustainable Management; Swedish University of Agricultural Sciences: Uppsala, Sweden, 2017; p. 320. Available online: http://www.slu.se/globalassets/ew/org/inst/mykopat/forskning/stenlid/dieback-of-european-ash.pdf (accessed on 31 August 2021).
- Enderle, R.; Stenlid, J.; Vasaitis, R. An overview of ash (Fraxinus spp.) and ash dieback disease in Europe. CAB Rev. 2019, 14, 025. [Google Scholar] [CrossRef]
- Meshkova, V.; Samoday, V.; Davydenko, K. Ash dieback and contributing factors of forest weakening in provenance tests in the Sumy region. Cent. Eur. For. J. 2021, 67, 113–121. [Google Scholar] [CrossRef]
- BenDor, T.K.; Metcalf, S.S.; Fontenot, L.E.; Sangunett, B.; Hannon, B. Modeling the spread of the emerald ash borer. Ecol. Model. 2006, 197, 221–236. [Google Scholar] [CrossRef]
- Muirhead, J.R.; Leung, B.; van Overdijk, C.; Kelly, D.W.; Nandakumar, K.; Marchant, K.R.; MacIsaac, H.J. Modelling local and long-distance dispersal of invasive emerald ash borer Agrilus planipennis (Coleoptera) in North America. Divers. Distrib. 2006, 12, 71–79. [Google Scholar] [CrossRef]
- Prasad, A.M.; Iverson, L.R.; Peters, M.P.; Bossenbroek, J.M.; Matthews, S.N.; Sydnor, T.D.; Schwartz, M.W. Modeling the invasive emerald ash borer risk of spread using a spatially explicit cellular model. Landsc. Ecol. 2010, 25, 353–369. [Google Scholar] [CrossRef]
- Yemshanov, D.; Koch, F.H.; Lyons, D.B.; Ducey, M.; Koehler, K. A dominance-based approach to map risks of ecological invasions in the presence of severe uncertainty. Divers. Distrib. 2012, 18, 33–46. [Google Scholar] [CrossRef]
- Yemshanov, D.; Haight, R.G.; Koch, F.H.; Lu, B.; Venette, R.; Lyons, D.B.; Scarr, T.; Ryall, K. Optimal allocation of invasive species surveillance with the maximum expected coverage concept. Divers. Distrib. 2015, 21, 1349–1359. [Google Scholar] [CrossRef]
- Flø, D.; Krokene, P.; Økland, B. Invasion potential of Agrilus planipennis and other Agrilus beetles in Europe: Import pathways of deciduous wood chips and MaxEnt analyses of potential distribution areas. EPPO Bull. 2015, 45, 259–268. [Google Scholar] [CrossRef]
- Orlova-Bienkowskaja, M.J.; Bieńkowski, A.O. Minimum winter temperature as a limiting factor of the potential spread of Agrilus planipennis, an alien pest of ash trees, in Europe. Insects 2020, 11, 258. [Google Scholar] [CrossRef]
- Liebhold, A.M.; Brockerhoff, E.G.; Kalisz, S.; Nuñez, M.A.; Wardle, D.A.; Wingfield, M.J. Biological invasions in forest ecosystems. Biol. Invasions 2017, 19, 3437–3458. [Google Scholar] [CrossRef]
- Liu, H.; Bauer, L.S.; Miller, D.L.; Zhao, T.; Gao, R.; Song, L.; Luan, Q.; Jin, R.; Gao, C. Seasonal abundance of Agrilus planipennis (Coleoptera: Buprestidae) and its natural enemies Oobius agrili (Hymenoptera: Encyrtidae) and Tetrastichus planipennisi (Hymenoptera: Eulophidae) in China. Biol. Control 2007, 42, 61–71. [Google Scholar] [CrossRef]
- Liang, L.; Fei, S. Divergence of the potential invasion range of emerald ash borer and its host distribution in North America under climate change. Clim. Chang. 2014, 122, 735–746. [Google Scholar] [CrossRef]
- Webb, C.R.; Mona, T.; Gilligan, C.A. Predicting the potential for spread of emerald ash borer (Agrilus planipennis) in Great Britain: What can we learn from other affected areas? Plants People Planet 2021, 3, 402–413. [Google Scholar] [CrossRef]
- Sobek-Swant, S.; Crosthwaite, J.C.; Lyons, D.B.; Sinclair, B.J. Could phenotypic plasticity limit an invasive species? Incomplete reversibility of mid-winter deacclimation in emerald ash borer. Biol. Invasions 2012, 14, 115–125. [Google Scholar] [CrossRef]
- Sobek-Swant, S.; Kluza, D.A.; Cuddington, K.; Lyons, D.B. Potential distribution of emerald ash borer: What can we learn from ecological niche models using Maxent and GARP? For. Ecol. Manag. 2012, 281, 23–31. [Google Scholar] [CrossRef]
- Valenta, V.; Moser, D.; Kuttner, M.; Peterseil, J.; Essl, F. A high-resolution map of emerald ash borer invasion risk for southern central Europe. Forests 2015, 6, 3075–3086. [Google Scholar] [CrossRef]
- Discua Duarte, S.A. Characterizing Prepupal Diapause and Adult Emergence Phenology of Emerald Ash Borer. Doctoral Dissertation, The Ohio State University, Columbus, OH, USA, 2013. [Google Scholar]
- Orlova-Bienkowskaja, M.J.; Bienkowski, A.O. The life cycle of the emerald ash borer Agrilus planipennis in European Russia and comparisons with its life cycles in Asia and North America. Agric. For. Entomol. 2016, 18, 182–188. [Google Scholar] [CrossRef]
- Wei, X.I.A.; Wu, Y.U.N.; Reardon, R.; Sun, T.H.; Lu, M.I.N.; Sun, J.H. Biology and damage traits of emerald ash borer (Agrilus planipennis Fairmaire) in China. Insect Sci. 2007, 14, 367–373. [Google Scholar] [CrossRef]
- Vermunt, B.; Cuddington, K.; Sobek-Swant, S.; Crosthwaite, J. Cold temperature and emerald ash borer: Modelling the minimum under-bark temperature of ash trees in Canada. Ecol. Model. 2012, 235, 19–25. [Google Scholar] [CrossRef]
- Brown-Rytlewski, D.; Wilson, M. Tracking the emergence of emerald ash borer adults. In Emerald Ash Borer Research and Technology Development Meeting; Mastro, V., Reardon, R., Eds.; U.S. Department of Agriculture, Forest Service: Morgantown, WV, USA, 2005; pp. 13–14. [Google Scholar]
- Cappaert, D.; McCullough, D.G.; Poland, T.M.; Siegert, N.W. Emerald ash borer in North America: A research and regulatory challenge. Am. Entomol. 2005, 51, 152–165. [Google Scholar] [CrossRef]
- Christianson, L.D.; Venette, R.C. Modest effects of host on the cold hardiness of emerald ash borer. Forests 2018, 9, 346. [Google Scholar] [CrossRef]
- Crosthwaite, J.C.; Sobek, S.; Lyons, D.B.; Bernards, M.A.; Sinclair, B.J. The over-wintering physiology of the emerald ash borer, Agrilus planipennis Fairmaire (Coleoptera: Buprestidae). J. Insect Physiol. 2011, 57, 166–173. [Google Scholar] [CrossRef] [PubMed]
- Duan, J.J.; Schmude, J.M.; Larson, K.M. Effects of low temperature exposure on diapause, development, and reproductive fitness of the emerald ash borer (Coleoptera: Buprestidae): Implications for voltinism and laboratory rearing. J. Econ. Entomol. 2021, 114, 201–208. [Google Scholar] [CrossRef]
- Duan, J.J.; Watt, T.; Taylor, P.; Larson, K.; Lelito, J.P. Effects of ambient temperature on egg and larval development of the invasive emerald ash borer (Coleoptera: Buprestidae): Implications for laboratory rearing. J. Econ. Entomol. 2013, 106, 2101–2108. [Google Scholar] [CrossRef] [PubMed]
- Duell, M.E.; Gray, M.T.; Roe, A.D.; MacQuarrie, C.J.; Sinclair, B.J. Plasticity drives extreme cold tolerance of emerald ash borer (Agrilus planipennis) during a polar vortex. Curr. Res. Insect Sci. 2022, 2, 100031. [Google Scholar] [CrossRef] [PubMed]
- Jennings, D.E.; Taylor, P.B.; Duan, J.J. The mating and oviposition behavior of the invasive emerald ash borer (Agrilus planipennis), with reference to the influence of host tree condition. J. Pest Sci. 2014, 87, 71–78. [Google Scholar] [CrossRef]
- Petrice, T.R.; Haack, R.A. Can Emerald ash borer, Agrilus planipennis (Coleoptera: Buprestidae), emerge from logs two summers after infested trees are cut? Great Lakes Entomol. 2007, 40, 92–95. [Google Scholar]
- Kucheryavenko, T.V.; Skrylnik, Y.E.; Davydenko, K.V.; Zinchenko, O.V.; Meshkova, V.L. The first data on the biological characteristics of Agrilus planipennis Fairmare, 1988 (Coleoptera: Buprestidae) in Ukraine. Ukrainian Entomol. J. 2020, 18, 58–66. [Google Scholar] [CrossRef]
- Holusa, J.; Holuša, J.; Kaláb, O. Using Habitat-Suitability Models to Improve Management of the Mole Cricket (Gryllotalpa Gryllotalpa) in Gardens and Forest Nurseries. Available online: https://ssrn.com/abstract=4034077 (accessed on 31 August 2021). [CrossRef]
- Zielińska, A.; Lis, B. Evaluation of the possibilities of potential expansion of the oak lace bug Corythucha arcuata (Say, 1832), an invasive species of Tingidae (Hemiptera: Heteroptera), into the territory of Poland. Heteroptera Pol.–Acta Faun. 2020, 14, 175–180. [Google Scholar]
- Wang, C.-J.; Wang, R.; Yu, C.-M.; Dang, X.-P.; Sun, W.-G.; Li, Q.-F.; Wang, X.-T.; Wan, J.-Z. Risk assessment of insect pest expansion in alpine ecosystems under climate change. Pest Manag. Sci. 2021, 77, 3165–3178. [Google Scholar] [CrossRef]
- Warren, D.L.; Seifert, S.N. Ecological niche modeling in Maxent: The importance of model complexity and the performance of model selection criteria. Ecol. Appl. 2011, 21, 335–342. [Google Scholar] [CrossRef]
- Phillips, S.J.; Anderson, R.P.; Schapire, R.E. Maximum entropy modeling of species geographic distributions. Ecol. Model. 2006, 190, 231–259. [Google Scholar] [CrossRef]
- Elith, J.; Graham, C.H. Do They? How Do They? WHY Do They Differ? On Finding Reasons for Differing Performances of Species Distribution Models. Ecography 2009, 32, 66–77. Available online: https://www.jstor.org/stable/30244651 (accessed on 4 August 2022). [CrossRef]
- Fitzgibbon, A.; Pisut, D.; Fleisher, D. Evaluation of Maximum Entropy (Maxent) machine learning model to assess relationships between climate and corn suitability. Land 2022, 11, 1382. [Google Scholar] [CrossRef]
- Olivera, L.; Minghetti, E.; Montemayor, S.I. Ecological niche modeling (ENM) of Leptoglossus clypealis a new potential global invader: Following in the footsteps of Leptoglossus occidentalis? Bull. Entomol. Res. 2020, 111, 289–300. [Google Scholar] [CrossRef]
- O’Donnell, M.S.; Ignizio, D.A. Bioclimatic Predictors for Supporting Ecological Applications in the Conterminous United States; Data Series 691; U.S. Geological Survey: Reston, VA, USA, 2012. Available online: https://pubs.usgs.gov/ds/691/ds691.pdf (accessed on 10 August 2022).
- Dang, Y.; Wei, K.; Wang, X.; Duan, J.J.; Jennings, D.E.; Poland, T.M. Introduced plants induce outbreaks of a native pest and facilitate invasion in the plants’ native range: Evidence from the emerald ash borer. J. Ecol. 2022, 110, 593–604. [Google Scholar] [CrossRef]
- Emerald Ash Borer Informative Network. Available online: http://www.emeraldashborer.info/ (accessed on 3 November 2022).
- GBIF.org GBIF Occurrence Download: Agrilus planipennis, Canada and the USA. Available online: https://www.gbif.org/occurrence/download/0034381-210914110416597 (accessed on 23 October 2021).
- Kucheryavenko, T.V. Dynamics of emergence of emerald ash borer Agrilus planipennis beetles in Luhansk region. For. For. Melior. 2022, 140, 64–70. [Google Scholar] [CrossRef]
- Chernyavska, O.M. Inhabitation of oak stumps by Agrilus biguttatus F. (Buprestidae). For. For. Melior. 2006, 109, 261–264. [Google Scholar]
- Meshkova, V.L.; Kukina, O.M. Duration of Development of Agrilus biguttatus F.; Series «Phytopathology and Entomology»; The Bulletin of Kharkiv National Agrarian University: Dokuchaievske, Ukraine, 2008; Volume 8, pp. 102–105. [Google Scholar]
- Reed, K.; Denman, S.; Leather, S.R.; Forster, J.; Inward, D.J. The lifecycle of Agrilus biguttatus: The role of temperature in its development and distribution, and implications for Acute Oak Decline. Agric. For. Entomol. 2018, 20, 334–346. [Google Scholar] [CrossRef]
- Copernicus Climate Change Service (C3S): C3S ERA5-Land Reanalysis. Copernicus Climate Change Service. Available online: https://cds.climate.copernicus.eu/cdsapp#!/home (accessed on 12 September 2022).
- Peel, M.C.; Finlayson, B.L.; McMahon, T.A. Updated world map of the Köppen-Geiger climate classification. Hydrol. Earth Syst. Sci. 2007, 11, 1633–1644. [Google Scholar] [CrossRef]
- Zepner, L.; Karrasch, P.; Wiemann, F.; Bernard, L. ClimateCharts.net–an interactive climate analysis web platform. Int. J. Digit. Earth 2020, 14, 338–356. [Google Scholar] [CrossRef]
- Meshkova, V.L. Seasonal Development of Foliage Browsing Insects; Novoe Slovo: Kharkov, Ukraine, 2009; pp. 1–396. ISBN 978-966-2046-69-4. [Google Scholar]
- Phillips, S.J. 2014 A Brief Tutorial on Maxent [Internet]. Available online: http://www.cs.princeton.edu/~schapire/maxent/ (accessed on 23 June 2022).
- Phillips, S.J.; Dudik, M.; Schapire, R.E. Maxent Software for Modeling Species Niches and Distributions. Version 3.4.4. Available online: http://biodiversityinformatocs.amnh.org/open_source/maxent/MaxEnt (accessed on 1 December 2022).
- Fick, S.E.; Hijmans, R.J. WorldClim 2: New 1-Km Spatial Resolution Climate Surfaces for Global Land Areas. Int. J. Climatol. 2017, 37, 4302–4315. Available online: https://www.worldclim.org/data/worldclim21.html (accessed on 23 September 2022). [CrossRef]
- Hijmans, R.J.; Cameron, S.E.; Parra, J.L.; Jones, P.G.; Jarvis, A. Very high resolution interpolated climate surfaces for global land areas. Int. J. Climatol. 2005, 25, 1965–1978. [Google Scholar] [CrossRef]
- QGIS 3.28.1. Available online: https://qgis.org/en/site/ (accessed on 23 September 2022).
- Van Erkel, A.R.; Peter, M. Receiver operating characteristic (ROC) analysis: Basic principles and applications in radiology. Eur. J. Radiol. 1998, 27, 88–94. [Google Scholar] [CrossRef] [PubMed]
- Hammer, O.; Harper, D.A.T.; Ryan, P.D. PAST: Paleontological statistics software package for education and data analysis. Palaeontol. Electron. 2001, 4, 9. [Google Scholar]
- Marshall, J.M.; Miller, M.A.; Lelito, J.P.; Storer, A.J. Latitudinal variation in body size of Agrilus planipennis and relationship with fecundity. Agric. For. Entomol. 2013, 15, 294–300. [Google Scholar] [CrossRef]
- Meshkova, V.L.; Kochetova, A.I.; Skrylnik, Y.Y.; Zinchenko, O.V. Seasonal development of the timberman beetle Acanthocinus aedilis (Linnaeus, 1758) (Coleoptera: Cerambycidae) in the North-Eastern Steppe of Ukraine. Kharkov Entomol. Soc. Gaz. 2017, 25, 40–44. Available online: http://entomology.kharkiv.ua/index.php/KhESG/article/view/26 (accessed on 1 December 2022).
- Meshkova, V.L.; Skrylnik, Y.Y.; Zinchenko, O.V.; Kochetova, A.I. Seasonal development of the pine sawyer beetle (Monochamus galloprovincialis) in the north-eastern steppe of Ukraine. For. For. Melior. 2017, 130, 223–230. Available online: http://forestry-forestmelioration.org.ua/index.php/journal/article/view/102/90 (accessed on 1 December 2022).
- Poland, T.M.; McCullough, D.G.; Anulewicz, A.C. Evaluation of an artificial trap for Agrilus planipennis (Coleoptera: Buprestidae) incorporating olfactory and visual cues. J. Econ. Entomol. 2011, 104, 517–531. [Google Scholar] [CrossRef]
- Chen, I.C.; Hill, J.K.; Ohlemüller, R.; Roy, D.B.; Thomas, C.D. Rapid range shifts of species associated with high levels of climate warming. Science 2011, 333, 1024–1026. [Google Scholar] [CrossRef]
- Tluczek, A.R.; McCullough, D.G.; Poland, T.M. Influence of host stress on emerald ash borer (Coleoptera: Buprestidae) adult density, development, and distribution in Fraxinus pennsylvanica trees. Environ. Entomol. 2011, 40, 357–366. [Google Scholar] [CrossRef]
- Canelles, Q.; Aquilué, N.; James, P.; Lawler, J.; Brotons, L. Global review on interactions between insect pests and other forest disturbances. Landsc. Ecol. 2021, 36, 945–972. [Google Scholar] [CrossRef]
- Tkach, V.; Rumiantsev, M.; Luk’yanets, V.; Kobets, O.; Pozniakova, S.; Obolonyk, I.; Sydorenko, S. Common ash (Fraxinus excelsior L.) in Ukrainian forests and its successful natural regeneration. For. Stud. Metsanduslikud Uurim. 2020, 73, 26–42, ISSN 1406–9954. Available online: http://mi.emu.ee/forestry.studies (accessed on 1 December 2022). [CrossRef]
- Davydenko, K.V.; Borysova, V.; Shcherbak, O.; Kryshtop, Y.; Meshkova, V. Situation and perspectives of European ash (Fraxinus spp.) in Ukraine: Focus on eastern border. Balt. For. 2019, 25, 193–202. [Google Scholar] [CrossRef]
- Valenta, V.; Moser, D.; Kapeller, S.; Essl, F. A new forest pest in Europe: A review of Emerald ash borer (Agrilus planipennis) invasion. J. Appl. Entomol. 2017, 141, 507–526. [Google Scholar] [CrossRef]
- Volkovitsh, M.G.; Bieńkowski, A.O.; Orlova-Bienkowskaja, M.J. Emerald ash borer approaches the borders of the European Union and Kazakhstan and is confirmed to infest European ash. Forests 2021, 12, 691. [Google Scholar] [CrossRef]
- Adamenko, T.I.; Kulbida, M.I.; Prokopenko, A.L. Agroclimatic Guide for the Territory of Ukraine; PP Galagodza, R.S.: Kamianets-Podilskyi, Ukraine, 2011; pp. 1–108. [Google Scholar]
- Iverson, L.R.; Prasad, A.; Bossenbroek, J.; Sydnor, D.; Schwartz, M.W. Modeling potential movements of the emerald ash borer: The model framework. In Advances in Threat Assessment and Their Application to Forest and Rangeland Management; Pye, J., Rauscher, H., Sands, Y., Lee, D., Beatty, J., Eds.; Gen. Tech. Rep. PNW-802; Department of Agriculture, Forest Service, Pacific Northwest and Southern Research Stations: Portland, OR, USA, 2010; pp. 581–597. [Google Scholar]
- Yang, C.; Zhan, Z.; Zong, S.; Ren, L. The relationship between landscape patterns and populations of Asian longhorned beetles. Forests 2022, 13, 1981. [Google Scholar] [CrossRef]
- Evans, H.F.; Williams, D.; Hoch, G.; Loomans, A.; Marzano, M. Developing a European Toolbox to manage potential invasion by emerald ash borer (Agrilus planipennis) and bronze birch borer (Agrilus anxius), important pests of ash and birch. For. Int. J. For. Res. 2020, 93, 187–196. [Google Scholar] [CrossRef]
- Caitano, B.; Chaves, T.P.; Dodonov, P.; Delabie, J.H.C. Edge effects on insects depend on life history traits: A global meta-analysis. J. Insect Conserv. 2020, 24, 233–240. [Google Scholar] [CrossRef]




| Variable | Variable Name | Definition |
|---|---|---|
| Bio_1, °C | Mean annual temperature | Annual mean temperature |
| Bio_2, °C | Mean diurnal range | The average difference between high and low daily temperature |
| Bio_3, dimensionless | Isothermality | The ratio of the mean diurnal temperature range relative to the seasonal range |
| Bio_4, °C | Temperature seasonality | Temperature variation over a year by monthly average temperature |
| Bio_5, °C | Max temperature of the warmest month | Monthly mean of daily high temperatures for the hottest month |
| Bio_6, °C | Min temperature of the coldest month | Monthly mean of daily low temperatures for the coldest month |
| Bio_7, °C | Temperature annual range | Bio_07 = Bio_05–Bio_06 |
| Bio_8, °C | Mean temperature of the wettest quarter | Average temperature for the three months with the most precipitation |
| Bio_9, °C | Mean temperature of the driest quarter | Average temperature for the three months with the least precipitation |
| Bio_10, °C | Mean temperature of the warmest quarter | Average temperature for the three hottest months |
| Bio_11, °C | Mean temperature of the coldest quarter | Average temperature for the three coldest months |
| Bio_12, mm | Annual precipitation | Total annual precipitation |
| Bio_13, mm | Precipitation of the wettest month | Total precipitation for the month with the most precipitation |
| Bio_14, mm | Precipitation of the driest month | Total precipitation for the month with the least precipitation |
| Bio_15, fraction | Precipitation seasonality | Precipitation variation over a year by monthly total precipitation |
| Bio_16, mm | Precipitation of the wettest quarter | Total precipitation for the three months with the most precipitation |
| Bio_17, mm | Precipitation of the driest quarter | Total precipitation for the three months with the least precipitation |
| Bio_18, mm | Precipitation of the warmest quarter | Total precipitation for the three hottest months |
| Bio_19, mm | Precipitation of the coldest quarter | Total precipitation for the three coldest months |
| Elev, m a.s.l. | Elevation | Elevation (altitude) |
| MaxEnt Option | Selected Setting | MaxEnt Option | Selected Setting |
|---|---|---|---|
| Create response curves | Yes | Write plot data | Yes |
| Make picture of predictions | Yes | Extrapolate | Yes |
| Do jackknife to measure variable importance | Yes | Write plots | Yes |
| Output format | Cloglog | Maximum iterations | 1000 |
| Random seed | Yes | Convergence threshold | 0.00001 |
| Remove duplicate presence records | Yes | Default prevalence | 0.5 |
| Random test percentage | 25 | Apply threshold rule | Max. test sensitivity plus specificity |
| Regularization multiplier | 1 | Logscale raw/cumulative pictures | Yes |
| Max number of background points | 10,000 | Threads | 8 |
| Replicates | 50 | Lq to lqp threshold | 80 |
| Replicated run type | Bootstrap | Linear to lq threshold | 10 |
| Add samples to background | Yes | Hinge threshold | 15 |
| Parameters | EAB Detected | Area for EAB Prediction | ||
|---|---|---|---|---|
| Asia (66 Points) | North America (376 Points) | European Russia and Ukraine (145 Points) | Europe (70 Points) | |
| Latitude, ° | 24.6–49.4 | 32.7–49.9 | 47.1–59.9 | 44.6–51.5 |
| Longitude, ° | 115–141.4 | −104.8–−63.7 | 29.8–46.4 | 14.5–39.3 |
| Elevation, m a.s.l. | 2.0–1294.0 | 9.0–1660.0 | −19.0–230.0 | 10.0–846.0 |
| Point, Country | EAB Is Detected, Predicted, or Not Predicted | Mean Temperature, °C | Number of Days with T > 10 °C | Number of Months with T > 10 °C | AGDD, Base 10 °C | Date of Stable Transition of Temperature | ||
|---|---|---|---|---|---|---|---|---|
| Year | Vegetation Period | over 10 °C | below 10 °C | |||||
| Changchun, China | detected | 6.0 | 19.6 | 169 | 5 | 1477 | 23.04 | 8.10 |
| Harbin, China | detected | 4.9 | 18.6 | 161 | 5 | 1321 | 27.03 | 4.10 |
| Tianjin, China * | detected | 13.7 | 21.8 | 223 | 7 | 2519 | 26.03 | 3.11 |
| Cincinnati, U.S. | detected | 12.4 | 20.0 | 212 | 7 | 1935 | 4.04 | 1.11 |
| Michigan, U.S. | detected | 10.0 | 18.3 | 186 | 6 | 1532 | 20.04 | 22.10 |
| Texas, U.S. * | detected | 18.7 | 21.8 | 293 | 10 | 3307 | 13.02 | 2.12 |
| Moscow, Russian Federation | detected | 6.0 | 15.9 | 149 | 5 | 899 | 30.04 | 25.09 |
| Svatove, Ukraine | detected | 8.9 | 17.8 | 179 | 6 | 1435 | 15.04 | 10.10 |
| Kharkiv, Ukraine | predicted | 8.8 | 17.4 | 177 | 6 | 1364 | 16.04 | 9.10 |
| Luhansk, Ukraine | predicted | 9.4 | 17.0 | 182 | 6 | 1538 | 14.04 | 12.10 |
| Lviv, Ukraine | not predicted | 8.6 | 16.9 | 174 | 5 | 1058 | 20.04 | 10.10 |
| Prague, Czech Republic | not predicted | 9.6 | 16.0 | 181 | 6 | 1104 | 16.04 | 13.10 |
| Variable Short Name | Variable Description | AUC | Contribution, % | Permutation, % | Cumulated Contribution, % |
|---|---|---|---|---|---|
| Bio_4 | Temperature seasonality | 0.92 | 46.56 | 40.88 | 46.56 |
| Bio_6 | Min temperature of the coldest month | 0.93 | 19.87 | 23.55 | 66.43 |
| Bio_19 | Precipitation of the coldest quarter | 0.86 | 11.16 | 4.09 | 77.59 |
| Bio_15 | Precipitation seasonality | 0.82 | 10.53 | 5.63 | 88.11 |
| Bio_5 | Max temperature of the warmest month | 0.87 | 3.73 | 1.68 | 91.85 |
| Bio_11 | Mean temperature of the coldest quarter | 0.93 | 3.34 | 2.42 | 95.19 |
| Bio_9 | Mean temperature of the driest quarter | 0.83 | 1.52 | 0.72 | 96.70 |
| Bio_8 | Mean temperature of the wettest quarter | 0.90 | 0.96 | 3.70 | 97.66 |
| elev | Elevation in meters | 0.79 | 0.92 | 1.69 | 98.59 |
| Bio_10 | Mean temp. of the warmest quarter | 0.87 | 0.48 | 0.00 | 99.06 |
| Bio_14 | Precipitation of the driest month | 0.83 | 0.23 | 0.42 | 99.29 |
| Bio_7 | Temperature annual range | 0.90 | 0.20 | 7.52 | 99.49 |
| Bio_1 | Mean annual temperature | 0.87 | 0.13 | 5.89 | 99.62 |
| Bio_3 | Isothermality | 0.83 | 0.12 | 0.94 | 99.73 |
| Bio_18 | Precipitation of the warmest quarter | 0.77 | 0.10 | 0.76 | 99.84 |
| Bio_2 | Mean diurnal range | 0.79 | 0.09 | 0.01 | 99.93 |
| Bio_16 | Precipitation of the wettest quarter | 0.78 | 0.04 | 0.05 | 99.97 |
| Bio_17 | Precipitation of the driest quarter | 0.83 | 0.02 | 0.05 | 100.00 |
| Bio_13 | Precipitation of the wettest month | 0.77 | 0.00 | 0.00 | 100.00 |
| Bio_12 | Annual precipitation | 0.80 | 0.00 | 0.00 | 100.00 |
| Points | EAB Is Present, Predicted, or Not Predicted | Bio_4 | Bio_6 | Bio_19 | Bio_15 | Bio_5 | Bio_11 |
|---|---|---|---|---|---|---|---|
| Changchun | detected | 1425.2 | −23.6 | 18 | 106.6 | 26.8 | −14.3 |
| Harbin | detected | 1533.5 | −25.8 | 12 | 111.9 | 27.1 | −16.3 |
| Tianjin * | detected | 1098.6 | −8.6 | 14 | 133.0 | 30.9 | −1.3 |
| Cincinnati | detected | 924.2 | −6.3 | 222 | 16.9 | 30.4 | 0.2 |
| Michigan | detected | 994.5 | −9.8 | 149 | 23.0 | 28.0 | −4.0 |
| Texas * | detected | 756.7 | 1.0 | 322 | 15.5 | 33.5 | 8.1 |
| Moscow | detected | 978.7 | −10.4 | 131 | 31.9 | 23.2 | −6.6 |
| Svatove | detected | 1043.2 | −10.0 | 133 | 19.5 | 26.6 | −5.7 |
| Kharkiv | predicted | 1022.5 | −8.5 | 121 | 22.9 | 26.8 | −4.5 |
| Luhansk | predicted | 1018.8 | −8.7 | 116 | 21.9 | 27.6 | −4.3 |
| Lviv | not predicted | 790.2 | −6.3 | 119 | 38.0 | 22.9 | −2.3 |
| Prague | not predicted | 714.5 | −4.0 | 71 | 46.4 | 23.7 | −0.3 |
Disclaimer/Publisher’s Note: The statements, opinions and data contained in all publications are solely those of the individual author(s) and contributor(s) and not of MDPI and/or the editor(s). MDPI and/or the editor(s) disclaim responsibility for any injury to people or property resulting from any ideas, methods, instructions or products referred to in the content. |
© 2023 by the authors. Licensee MDPI, Basel, Switzerland. This article is an open access article distributed under the terms and conditions of the Creative Commons Attribution (CC BY) license (https://creativecommons.org/licenses/by/4.0/).
Share and Cite
Meshkova, V.; Borysenko, O.; Kucheryavenko, T.; Skrylnyk, Y.; Davydenko, K.; Holusa, J. Potential Westward Spread of Emerald Ash Borer, Agrilus planipennis Fairmaire, 1888 (Coleoptera: Buprestidae) from Eastern Ukraine. Forests 2023, 14, 736. https://doi.org/10.3390/f14040736
Meshkova V, Borysenko O, Kucheryavenko T, Skrylnyk Y, Davydenko K, Holusa J. Potential Westward Spread of Emerald Ash Borer, Agrilus planipennis Fairmaire, 1888 (Coleoptera: Buprestidae) from Eastern Ukraine. Forests. 2023; 14(4):736. https://doi.org/10.3390/f14040736
Chicago/Turabian StyleMeshkova, Valentyna, Oleksandr Borysenko, Tetiana Kucheryavenko, Yuriy Skrylnyk, Kateryna Davydenko, and Jaroslav Holusa. 2023. "Potential Westward Spread of Emerald Ash Borer, Agrilus planipennis Fairmaire, 1888 (Coleoptera: Buprestidae) from Eastern Ukraine" Forests 14, no. 4: 736. https://doi.org/10.3390/f14040736
APA StyleMeshkova, V., Borysenko, O., Kucheryavenko, T., Skrylnyk, Y., Davydenko, K., & Holusa, J. (2023). Potential Westward Spread of Emerald Ash Borer, Agrilus planipennis Fairmaire, 1888 (Coleoptera: Buprestidae) from Eastern Ukraine. Forests, 14(4), 736. https://doi.org/10.3390/f14040736

