Non-Structural Carbohydrates and Growth Adaptation Strategies of Quercus mongolica Fisch. ex Ledeb. Seedlings under Drought Stress
Abstract
1. Introduction
2. Materials and Methods
2.1. Plant Material and Experimental Design
2.2. Measurement of Leaf Gas Exchange
2.3. Measurement of Growth and Biomass
2.4. Non-Structural Carbohydrates Determination
2.5. Statistical Analyses
3. Results
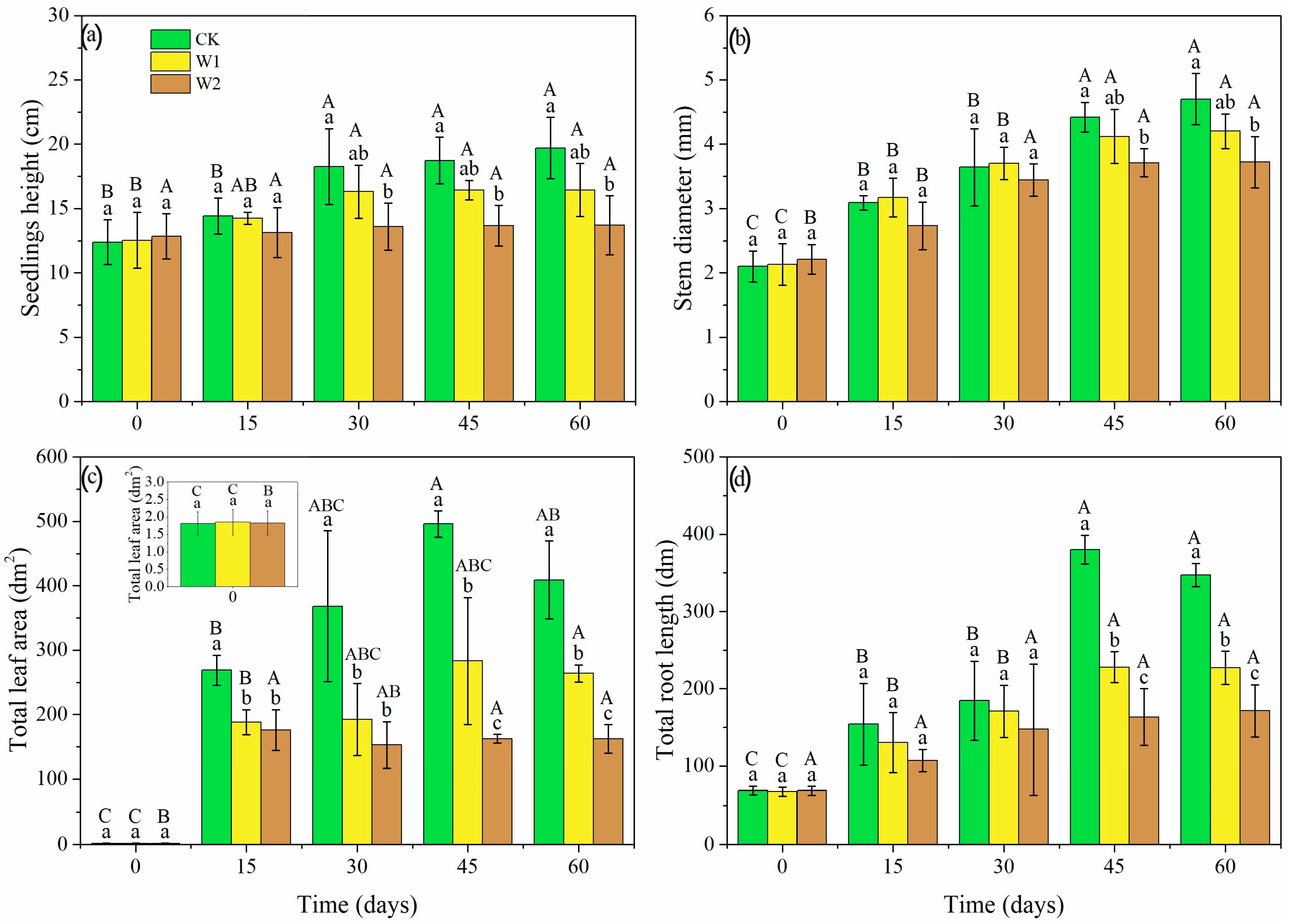
3.1. Photosynthetic Characteristics and Growth of Mongolian oak Seedlings under Drought Stress
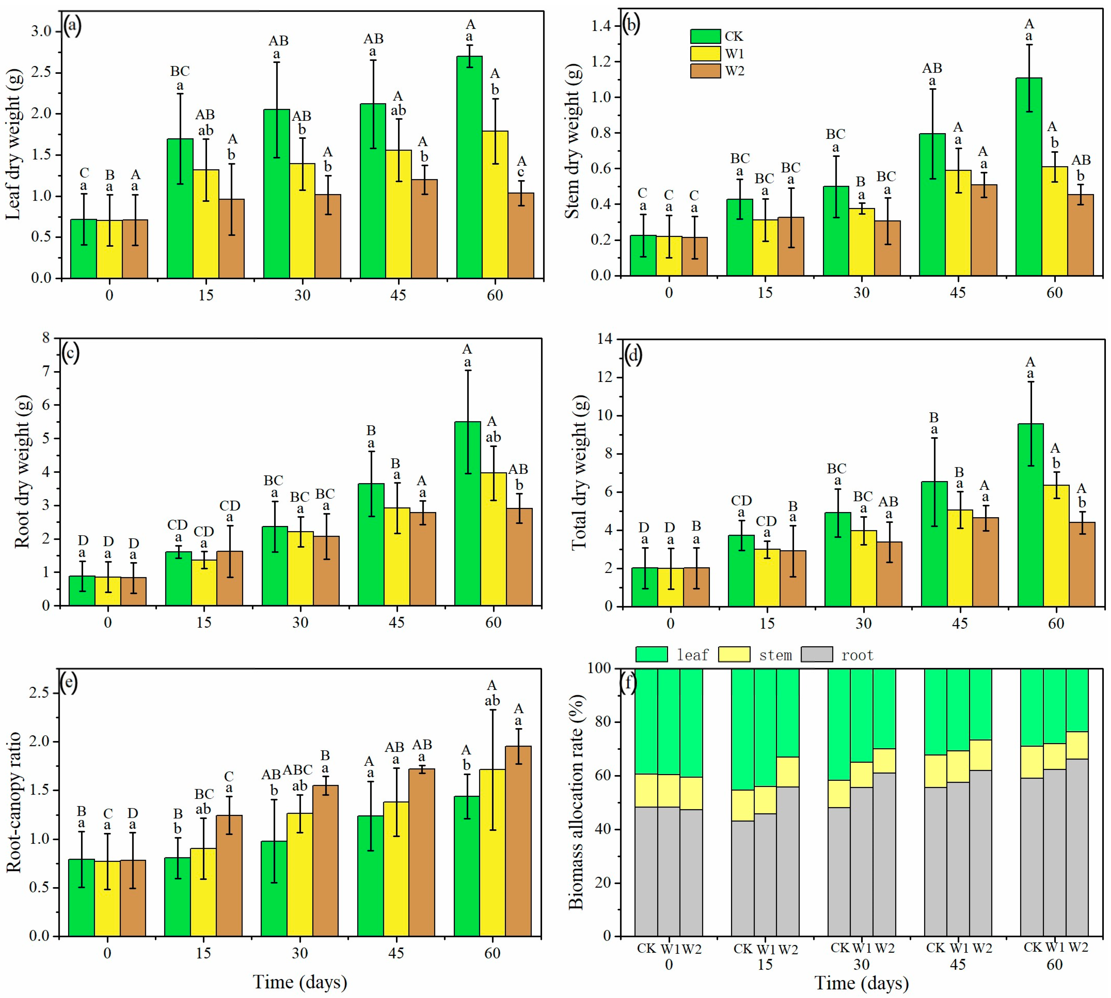
3.2. Allocation Patterns of Mongolian Oak Seedlings under Drought Stress
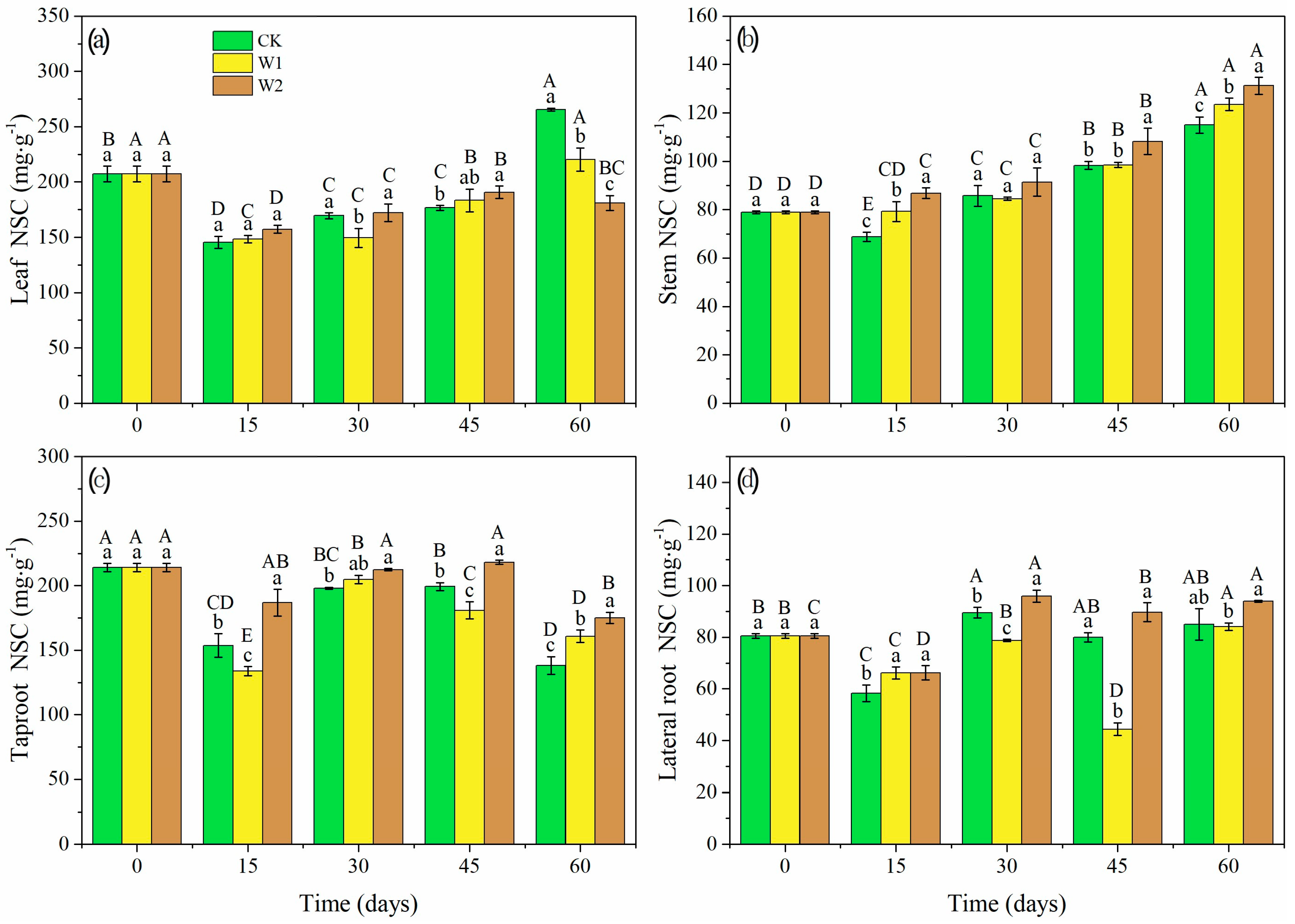
3.3. Dynamics of NSC Content in Different Organs of Mongolian Oak Seedlings under Drought Stress
3.4. Trait Correlation
4. Discussion
4.1. Effects of Drought Stress on Photosynthetic Characteristics, Growth, and Biomass
4.2. Effects of Drought Stress on NSC Distribution of Mongolian Oak Seedlings
4.3. Trade-Off between Seedling Growth and Carbon Storage under Drought Stress
5. Conclusions
Author Contributions
Funding
Data Availability Statement
Acknowledgments
Conflicts of Interest
References
- Seleiman, M.F.; Al-Suhaibani, N.; Ali, N.; Akmal, M.; Alotaibi, M.; Refay, Y.; Dindaroglu, T.; Abdul-Wajid, H.H.; Battaglia, M.L. Drought Stress Impacts on Plants and Different Approaches to Alleviate Its Adverse Effects. Plants 2021, 10, 259. [Google Scholar] [CrossRef] [PubMed]
- Anderegg, W.R.L.; Anderegg, L.D.L. Hydraulic and carbohydrate changes in experimental drought-induced mortality of saplings in two conifer species. Tree Physiol. 2013, 33, 252–260. [Google Scholar] [CrossRef] [PubMed]
- Zhang, P.; Zhou, X.; Fu, Y.; Shao, J.; Zhou, L.; Li, S.; Zhou, G.; Hu, Z.; Hu, J.; Bai, S.H.; et al. Differential effects of drought on nonstructural carbohydrate storage in seedlings and mature trees of four species in a subtropical forest. For. Ecol. Manag. 2020, 469, 118159. [Google Scholar] [CrossRef]
- Bhusal, N.; Lee, M.; Han, A.R.; Han, A.; Kim, H.S. Responses to drought stress in Prunus sargentii and Larix kaempferi seedlings using morphological and physiological parameters. For. Ecol. Manag. 2020, 465, 118099. [Google Scholar] [CrossRef]
- Tomasella, M.; Nardini, A.; Hesse, B.D.; Machlet, A.; Matyssek, R.; Häberle, K.-H. Close to the edge: Effects of repeated severe drought on stem hydraulics and non-structural carbohydrates in European beech saplings. Tree Physiol. 2019, 39, 717–728. [Google Scholar] [CrossRef]
- Karimi, A.; Tabari, M.; Javanmard, Z.; Bader, M.K.-F. Drought Effects on Morpho-Physiological and Biochemical Traits in Persian Oak and Black Poplar Seedlings. Forests 2022, 13, 399. [Google Scholar] [CrossRef]
- Zhou, G.Y.; Zhou, X.H.; Nie, Y.Y.; Bai, S.H.; Zhou, L.Y.; Shao, J.J.; Cheng, W.S.; Wang, J.W.; Hu, F.Q.; Fu, Y.L. Drought-induced changes in root biomass largely result from altered root morphological traits: Evidence from a synthesis of global field trials. Plant Cell Environ. 2018, 41, 2589–2599. [Google Scholar] [CrossRef]
- Gong, X.W.; Guo, J.J.; Fang, L.D.; Bucci, S.J.; Goldstein, G.; Hao, G.Y. Hydraulic dysfunction due to root-exposure-initiated water stress is responsible for the mortality of Salix gordejevii shrubs on the windward slopes of active sand dunes. Plant Soil 2021, 459, 185–201. [Google Scholar] [CrossRef]
- Salmon, Y.; Dietrich, L.; Sevanto, S.; Hölttä, T.; Dannoura, M.; Epron, D. Drought impacts on tree phloem: From cell-level responses to ecological significance. Tree Physiol. 2019, 39, 173–191. [Google Scholar] [CrossRef]
- Hartmann, H.; Trumbore, S. Understanding the roles of nonstructural carbohydrates in forest trees—From what we can measure to what we want to know. New Phytol. 2016, 211, 386–403. [Google Scholar] [CrossRef]
- Dietze, M.C.; Sala, A.; Carbone, M.S.; Czimczik, C.I.; Mantooth, J.A.; Richardson, A.D.; Vargas, R. Nonstructural carbon in woody plants. Ann. Rev. Plant Biol. 2014, 65, 667–687. [Google Scholar] [CrossRef] [PubMed]
- He, W.Q.; Liu, H.Y.; Qi, Y.; Liu, F.; Zhu, X.R. Patterns in nonstructural carbohydrate contents at the tree organ level in response to drought duration. Glob. Chang. Biol. 2020, 26, 3627–3638. [Google Scholar] [CrossRef] [PubMed]
- Ivanov, Y.V.; Kartashov, A.V.; Zlobin, I.E.; Sarvin, B.; Stavrianidi, A.N.; Kuznetsov, V.V. Water deficit-dependent changes in non-structural carbohydrate profiles, growth and mortality of pine and spruce seedlings in hydroculture. Environ. Exp. Bot. 2018, 157, 151–160. [Google Scholar] [CrossRef]
- Regier, N.; Streb, S.; Zeeman, S.C.; Frey, B. Seasonal changes in starch and sugar content of poplar (Populus deltoides × nigra cv. Dorskamp) and the impact of stem girdling on carbohydrate allocation to roots. Tree Physiol. 2010, 30, 979–987. [Google Scholar] [CrossRef] [PubMed]
- Yang, B.; Peng, C.H.; Zhu, Q.A.; Zhou, X.L.; Liu, W.G.; Duan, M.; Wang, H.; Liu, Z.H.; Guo, X.Y.; Wang, M. The effects of persistent drought and waterlogging on the dynamics of nonstructural carbohydrates of Robinia pseudoacacia L. seedlings in Northwest China. For. Ecosyst. 2019, 6, 23. [Google Scholar] [CrossRef]
- Ouyang, S.N.; Gessler, A.; Saurer, M.; Hagedorn, F.; Gao, D.C. Root carbon and nutrient homeostasis determines downy oak sapling survival and recovery from drought. Tree Physiol. 2021, 41, 1400–1412. [Google Scholar] [CrossRef]
- Muller, B.; Pantin, F.; Génard, M.; Turc, O.; Freixes, S.; Piques, M.; Gibon, Y. Water deficits uncouple growth from photosynthesis, increase C content, and modify the relationships between C and growth in sink organs. J. Exp. Bot. 2011, 62, 1715–1729. [Google Scholar] [CrossRef]
- McDowell, N.G. Mechanisms linking drought, hydraulics, carbon metabolism, and vegetation mortality. Plant Physiol. 2011, 55, 1051–1059. [Google Scholar] [CrossRef]
- Piper, F.I.; Fajardo, A.; Hoch, G. Single-provenance mature conifers show higher non-structural carbohydrate storage and reduced growth in a drier location. Tree Physiol. 2017, 37, 1001–1010. [Google Scholar] [CrossRef]
- Galvez, D.A.; Landhausser, S.M.; Tyree, M.T. Root carbon reserve dynamics in aspen seedlings: Does simulated drought induce reserve limitation? Tree Physiol. 2011, 31, 250–257. [Google Scholar] [CrossRef]
- Palacio, S.; Hoch, G.; Sala, A.; Körner, C.; Millard, P. Does carbon storage limit tree growth? New Phytol. 2013, 201, 1096–1100. [Google Scholar] [CrossRef] [PubMed]
- Zhang, T.; Cao, Y.; Chen, Y.M. Non-structural carbohydrate dynamics in Robinia pseudoacacia saplings under three levels of continuous drought stress. Trees 2015, 29, 1837–1849. [Google Scholar] [CrossRef]
- Hartmann, H.; Ziegler, W.; Trumbore, S. Lethal drought leads to reduction in nonstructural carbohydrates in Norway spruce tree roots but not in the canopy. Funct. Ecol. 2013, 27, 413–427. [Google Scholar] [CrossRef]
- Li, Q.; Wang, N.; Liu, X.; Liu, S.; Wang, H.; Zhang, W.X.; Wang, R.Q.; Du, N. Growth and physiological responses to successional water deficit and recovery in four warm-temperate woody species. Physiol. Plant. 2020, 167, 645–660. [Google Scholar] [CrossRef] [PubMed]
- Ai, W.F.; Liu, Y.Q.; Mei, M.; Zhang, X.L.; Tan, E.G.; Liu, H.Z.; Han, X.Y.; Zhan, H.; Lu, X.J. A chromosome-scale genome assembly of the Mongolian oak (Quercus mongolica). Mol. Ecol. Resour. 2022, 22, 2396–2410. [Google Scholar] [CrossRef] [PubMed]
- Zhu, K.; Yuan, F.H.; Wang, A.Z. Effects of soil rewatering on mesophyll and stomatal conductance and the associated mechanisms involving leaf anatomy and some physiological activities in Manchurian ash and Mongolian oak in the Changbai Mountains. Plant Physiol. Biochem. 2019, 144, 22–34. [Google Scholar] [CrossRef] [PubMed]
- Zhu, K.; Yuan, F.H.; Wang, A.Z.; Wu, J.B.; Guan, D.X.; Jin, C.J.; Flexas, J.; Gong, C.J.; Zhang, H.X.; Zhang, Y.S. Stomatal, mesophyll and biochemical limitations to soil drought and rewatering in relation to intrinsic water-use efficiency in Manchurian ash and Mongolian oak. Photosynthetica 2021, 59, 49–60. [Google Scholar] [CrossRef]
- Wilcox, J.C. Soil moisture studies: IV. Indirect determination of field capacity for moisture. Sci. Agric. 1949, 29, 563–578. [Google Scholar] [CrossRef]
- Schneider, C.A.; Rasband, W.S.; Eliceiri, K.W. NIH Image to ImageJ: 25 years of image analysis. Nat. Methods 2012, 9, 671–675. [Google Scholar] [CrossRef]
- Bordoloi, A.; Singh, J.; Kaur, L. In vitro digestibility of starch in cooked potatoes as affected by guar gum: Microstructural and rheological characteristics. Food Chem. 2012, 133, 1206–1213. [Google Scholar] [CrossRef]
- Bhusal, N.; Han, S.G.; Yoon, T.M. Impact of drought stress on photosynthetic response, leaf water potential, and stem sap flow in two cultivars of bi-leader apple trees (Malus × domestica Borkh.). Sci. Hortic. 2019, 246, 535–543. [Google Scholar] [CrossRef]
- Hura, T.; Hura, K.; Grzesiak, M.; Rzepka, A. Effect of long-term drought stress on leaf gas exchange and fluorescence parameters in C3 and C4 plants. Acta Physiol. Plant 2007, 29, 103–113. [Google Scholar] [CrossRef]
- Yan, W.M.; Zhong, Y.; Shangguan, Z.P. A meta-analysis of leaf gas exchange and water status responses to drought. Sci. Rep. 2016, 6, 20917. [Google Scholar] [CrossRef]
- Zou, J.; Hu, W.; Li, Y.X.; Zhu, H.H.; He, J.Q.; Wang, Y.H.; Meng, Y.L.; Chen, B.L.; Zhao, W.Q.; Wang, S.S.; et al. Leaf anatomical alterations reduce cotton’s mesophyll conductance under dynamic drought stress conditions. Plant J. 2022, 111, 391–405. [Google Scholar] [CrossRef] [PubMed]
- Klein, T.; Hoch, G.; Yakir, D.; Körner, C. Drought stress, growth and nonstructural carbohydrate dynamics of pine trees in a semi-arid forest. Tree Physiol. 2014, 34, 981–992. [Google Scholar] [CrossRef]
- Adams, H.D.; Collins, A.D.; Briggs, S.P.; Vennetier, M.; Dickman, L.T.; Sevanto, S.A.; Garcia-Forner, N.; Powers, H.H.; McDowell, N.G. Experimental drought and heat can delay phenological development and reduce foliar and shoot growth in semiarid trees. Glob. Chang. Biol. 2015, 21, 4210–4220. [Google Scholar] [CrossRef]
- Tardieu, F.; Reymond, M.; Hamard, P.; Granier, C.; Muller, B. Spatial distributions of expansion rate, cell division rate and cell size in maize leaves, a synthesis of the effects of soil water status, evaporative demand and temperature. J. Exp. Bot. 2000, 51, 1505–1514. [Google Scholar] [CrossRef]
- Jafarnia, S.; Akbarinia, M.; Hosseinpour, B.; Modarres Sanavi, S.A.; Salami, S.A. Effect of Drought Stress on Some Growth, Morphological, Physiological, and Biochemical Parameters of Two Different Populations of Quercus brantii. iForest 2018, 11, 212–220. [Google Scholar] [CrossRef]
- Liu, Y.; Li, P.; Xu, G.C.; Xiao, L.; Ren, Z.P.; Li, Z.B. Growth, morphological, and physiological responses to drought stress in Bothriochloa ischaemum. Front Plant Sci. 2017, 8, 230. [Google Scholar] [CrossRef]
- Hummel, I.; Pantin, F.; Sulpice, R.; Piques, M.; Rolland, G.; Dauzat, M.; Christophe, A.; Pervent, M.; Bouteille’, M.; Stitt, M.; et al. Arabidopsis thaliana plants acclimate to water deficit at low cost through changes of C usage: An integrated perspective using growth, metabolite, enzyme and gene expression analysis. Plant Physiol. 2010, 154, 357–372. [Google Scholar] [CrossRef]
- Silva, E.N.; Ferreira-Silva, S.L.; Viégas, R.A.; Silveira, J.A.G. The role of organic and inorganic solutes in the osmotic adjustment of drought-stressed Jatropha curcas plants. Environ. Exp. Bot. 2010, 69, 279–285. [Google Scholar] [CrossRef]
- Granda, E.; Camarero, J.J. Drought reduces growth and stimulates sugar accumulation: New evidence of environmentally driven non-structural carbohydrate use. Tree Physiol. 2017, 37, 997–1000. [Google Scholar] [CrossRef] [PubMed]
- Sala, A.; Woodruff, D.R.; Meinzer, F.C. Carbon dynamics in trees: Feast or famine? Tree Physiol. 2012, 32, 764–775. [Google Scholar] [CrossRef] [PubMed]
- Quentin, A.G.; Pinkard, E.A.; Ryan, M.G.; Tissue, D.T.; Baggett, L.S.; Adams, H.D.; Maillard, P.; Marchand, J.; Landhausser, S.M.; Lacointe, A. Non-structural carbohydrates in woody plants compared among laboratories. Tree Physiol. 2015, 35, 1146–1165. [Google Scholar] [CrossRef]
- Duan, H.L.; Amthor, J.S.; Duursma, R.A.; O’Grady, A.P.; Choat, B.; Tissue, D.T. Carbon dynamics of eucalypt seedlings exposed to progressive drought in elevated [CO2] and elevated temperature. Tree Physiol. 2013, 33, 779–792. [Google Scholar] [CrossRef]
- Guo, X.Y.; Peng, C.H.; Li, T.; Huang, J.; Song, H.X.; Zhu, Q.A.; Wang, M. The Effects of Drought and Re-Watering on Non-Structural Carbohydrates of Pinus tabulaeformis Seedlings. Biology 2021, 10, 281. [Google Scholar] [CrossRef]
- Lemoine, R.; Camera, S.L.; Atanassova, R.; Dédaldéchamp, F.; Allario, T.; Pourtau, N.; Durand, M. Source-to-sink transport of sugar and regulation by environmental factors. Front. Plant Sci. 2013, 4, 272. [Google Scholar] [CrossRef]
- O’Brien, M.J.; Leuzinger, S.; Philipson, C.D.; Tay, J.; Hector, A. Drought survival of tropical tree seedlings enhanced by non-structural carbohydrate levels. Nat. Clim. Chang. 2014, 4, 710–714. [Google Scholar] [CrossRef]
- Wiley, E.; Helliker, B. A re-evaluation of carbon storage in trees lends greater support for carbon limitation to growth. New Phytol. 2012, 195, 285–289. [Google Scholar] [CrossRef]
- Smith, A.M.; Stitt, M. Coordination of carbon supply and plant growth. Plant Cell Environ. 2007, 30, 1126–1149. [Google Scholar] [CrossRef]
- Sanz-Pérez, V.; Castro-Díez, P.; Joffre, R. Seasonal carbon storage and growth in Mediterranean tree seedlings under different water conditions. Tree Physiol. 2009, 29, 1105–1116. [Google Scholar] [CrossRef] [PubMed]
- Lempereur, M.; Martin-St Paul, N.K.; Damesin, C.; Joffre, R.; Ourcival, J.M.; Rocheteau, A.; Rambal, S. Growth duration is a better predictor of stem increment than carbon supply in a Mediterranean oak forest: Implications for assessing forest productivity under climate change. New Phytol. 2015, 207, 579–590. [Google Scholar] [CrossRef] [PubMed]
- Galiano, L.; Martinez-Vilalta, J.; Lloret, F. Carbon reserves and canopy defoliation determine the recovery of Scots pine 4 yr after adrought episode. New Phytol. 2011, 190, 750–759. [Google Scholar] [CrossRef] [PubMed]
- Liu, Y.; Li, P.; Xiao, L.; Wang, W.; Yu, K.; Shi, P. Heterogeneity in short-term allocation of carbon to roots of Pinus tabuliformis seedlings and root respiration under drought stress. Plant Soil 2020, 452, 359–378. [Google Scholar] [CrossRef]
- Freixes, S.; Thibaud, M.; Tardieu, F.; Muller, B. Root elongation and branching is related to local hexose concentration in Arabidopsis thaliana seedlings. Plant Cell Environ. 2002, 25, 1357–1366. [Google Scholar] [CrossRef]







| Treatment | Leaf Soluble Sugar | Stem Soluble Sugar | Taproot Soluble Sugar | Lateral Root Soluble Sugar |
|---|---|---|---|---|
| CK (75% ± 5%FC) | ||||
| 0 | 67.41 ± 0.35 Ba | 36.74 ± 2.43 Ba | 39.81 ± 1.48 Aa | 58.73 ± 0.74 Ba |
| 15 | 51.58 ± 2.91 Da | 34.25 ± 1.36 BCc | 31.01 ± 3.97 Ba | 39.72 ± 1.48 Cb |
| 30 | 62.25 ± 1.93 Ca | 32.79 ± 1.44 Cb | 31.00 ± 0.77 Ba | 60.28 ± 1.99 Bb |
| 45 | 60.61 ± 1.97 Cb | 41.43 ± 0.96 Aab | 41.54 ± 3.71 Aa | 57.33 ± 0.52 Ba |
| 60 | 100.59 ± 3.32 Ab | 40.59 ± 1.43 Aa | 21.80 ± 2.75 Cb | 58.40 ± 3.83 ABab |
| W1 (50% ± 5%FC) | ||||
| 0 | 67.41 ± 0.35 Ba | 36.74 ± 2.43 Aa | 39.81 ± 1.48 Aa | 58.73 ± 0.74 Aa |
| 15 | 56.00 ± 2.09 Ca | 37.11 ± 1.60 Abc | 33.96 ± 1.33 Ba | 46.70 ± 2.24 Ca |
| 30 | 58.94 ± 4.82 Ca | 37.38 ± 2.78 Aab | 25.63 ± 2.50 Cb | 51.73 ± 2.31 Bc |
| 45 | 73.05 ± 2.76 Ba | 36.60 ± 2.69 Ab | 26.90 ± 3.73 Cc | 22.97 ± 1.04 Dc |
| 60 | 86.82 ± 6.15 Ac | 40.15 ± 3.51 Aa | 20.56 ± 1.31 Db | 56.19 ± 1.34 Ab |
| W2 (23% ± 5%FC) | ||||
| 0 | 67.41 ± 0.35 Ba | 36.74 ± 2.43 Ba | 39.81 ± 1.48 Aa | 58.73 ± 0.74 Ca |
| 15 | 55.33 ± 1.95 Ca | 42.38 ± 1.70 Aa | 33.73 ± 1.67 Ba | 46.46 ± 3.99 Da |
| 30 | 59.96 ± 0.93 Ca | 40.85 ± 2.76 ABa | 29.92 ± 1.48 Ca | 71.64 ± 2.81 Aa |
| 45 | 72.01 ± 5.80 Ba | 42.14 ± 4.07 Aa | 35.99 ± 1.25 Bb | 57.05 ± 2.06 Ca |
| 60 | 113.28 ± 0.39 Aa | 42.49 ± 2.28 Aa | 26.84 ± 1.78 Da | 63.95 ± 1.82 Ba |
| Treatment | Leaf Starch | Stem Starch | Taproot Starch | Lateral Root Starch |
|---|---|---|---|---|
| CK (75% ± 5%FC) | ||||
| 0 | 139.77 ± 0.35 Aa | 42.17 ± 2.43 CA | 174.23 ± 3.10 Aa | 21.74 ± 1.64 Ba |
| 15 | 93.88 ± 6.74 Bab | 34.56 ± 1.10 DB | 122.50 ± 5.25 Cb | 18.58 ± 1.44 Ca |
| 30 | 107.22 ± 0.67 ABa | 52.92 ± 5.80 ABCDA | 166.98 ± 0.60 Ab | 29.23 ± 0.57 Aa |
| 45 | 115.97 ± 3.92 ABab | 56.87 ± 2.50 BC | 153.79 ± 5.64 Bb | 22.64 ± 2.09 Bb |
| 60 | 164.95 ± 2.04 ABa | 74.36 ± 2.15 AB | 116.37 ± 4.38 Cc | 26.61 ± 2.24 Ab |
| W1 (50% ± 5%FC) | ||||
| 0 | 139.77 ± 0.35 Aa | 42.17 ± 2.43 DA | 174.23 ± 3.10 Aa | 21.74 ± 1.64 Ba |
| 15 | 92.46 ± 1.28 Cb | 42.10 ± 2.51 DAB | 99.79 ± 2.74 Cb | 19.48 ± 0.22 Ca |
| 30 | 90.55 ± 3.71 Cb | 47.14 ± 3.44 CA | 179.16 ± 3.79 Aab | 27.05 ± 1.96 Aab |
| 45 | 110.39 ± 7.46 Bb | 61.86 ± 1.60 BB | 153.89 ± 4.08 Bb | 21.43 ± 1.41 BCb |
| 60 | 133.63 ± 4.32 Ab | 83.34 ± 3.45 AA | 140.91 ± 3.97 ABCb | 27.96 ± 0.14 Aab |
| W2 (23% ± 5%FC) | ||||
| 0 | 139.77 ± 0.35 Aa | 42.17 ± 2.43 DA | 174.23 ± 3.10 Aa | 21.74 ± 1.64 CDa |
| 15 | 101.87 ± 1.77 Cab | 44.42 ± 0.63 DA | 153.04 ± 8.72 ABa | 19.75 ± 1.73 Da |
| 30 | 112.16 ± 8.99 Ca | 50.50 ± 3.81 CA | 182.48 ± 0.85 Aa | 24.29 ± 2.28 BCb |
| 45 | 118.73 ± 2.31 Ba | 66.05 ± 1.45 BA | 182.14 ± 0.76 Aa | 32.69 ± 2.64 Aa |
| 60 | 67.61 ± 7.21 Dc | 88.73 ± 1.45 AA | 148.20 ± 2.56 Ba | 30.02 ± 1.60 ABa |
Disclaimer/Publisher’s Note: The statements, opinions and data contained in all publications are solely those of the individual author(s) and contributor(s) and not of MDPI and/or the editor(s). MDPI and/or the editor(s) disclaim responsibility for any injury to people or property resulting from any ideas, methods, instructions or products referred to in the content. |
© 2023 by the authors. Licensee MDPI, Basel, Switzerland. This article is an open access article distributed under the terms and conditions of the Creative Commons Attribution (CC BY) license (https://creativecommons.org/licenses/by/4.0/).
Share and Cite
Wang, Y.; Han, X.; Ai, W.; Zhan, H.; Ma, S.; Lu, X. Non-Structural Carbohydrates and Growth Adaptation Strategies of Quercus mongolica Fisch. ex Ledeb. Seedlings under Drought Stress. Forests 2023, 14, 404. https://doi.org/10.3390/f14020404
Wang Y, Han X, Ai W, Zhan H, Ma S, Lu X. Non-Structural Carbohydrates and Growth Adaptation Strategies of Quercus mongolica Fisch. ex Ledeb. Seedlings under Drought Stress. Forests. 2023; 14(2):404. https://doi.org/10.3390/f14020404
Chicago/Turabian StyleWang, Yu, Xiaoyi Han, Wanfeng Ai, Hao Zhan, Sujuan Ma, and Xiujun Lu. 2023. "Non-Structural Carbohydrates and Growth Adaptation Strategies of Quercus mongolica Fisch. ex Ledeb. Seedlings under Drought Stress" Forests 14, no. 2: 404. https://doi.org/10.3390/f14020404
APA StyleWang, Y., Han, X., Ai, W., Zhan, H., Ma, S., & Lu, X. (2023). Non-Structural Carbohydrates and Growth Adaptation Strategies of Quercus mongolica Fisch. ex Ledeb. Seedlings under Drought Stress. Forests, 14(2), 404. https://doi.org/10.3390/f14020404

