Latitudinal Patterns of Leaf Carbon, Nitrogen, and Phosphorus Stoichiometry in Phyllostachys propinqua McClure across Northern China
Abstract
:1. Introduction
2. Materials and Methods
2.1. Study Area
2.2. Experiment Design and Sample Collection
2.3. Sample Preparation and Chemical Analyses
2.4. Data Analyses
3. Results
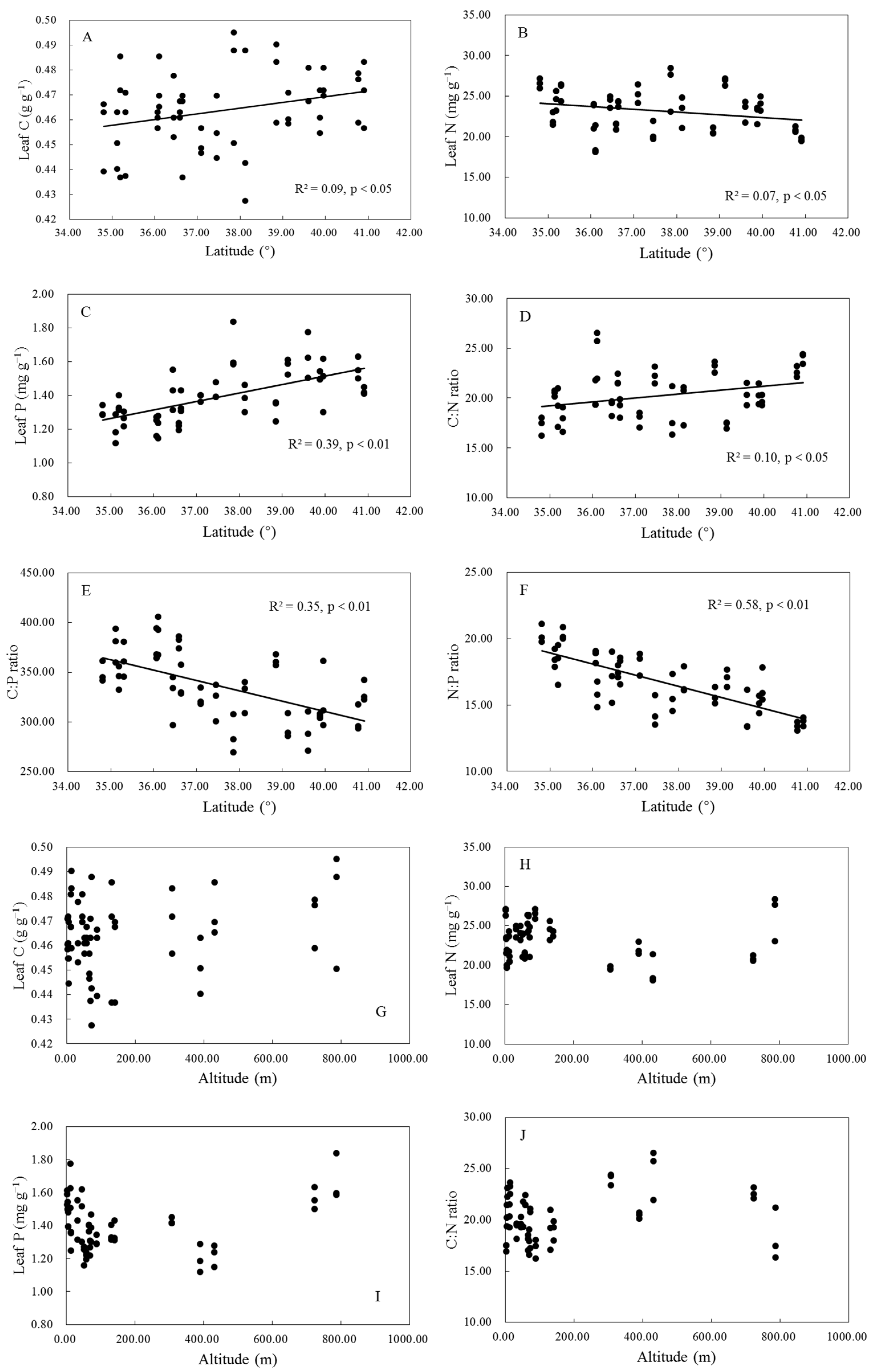
3.1. Latitudinal Patterns of Leaf C, N, and P Stoichiometry
3.2. Effects of Climate and Soil Nutrients Variables on Spatial Patterns of Leaf Stoichiometry
4. Discussion
4.1. Overall Patterns of Leaf C, N, P Stoichiometry in P. propinqua
4.2. Latitudinal Patterns, Climatic and Soil Factors of Leaf C, N, P Stoichiometry
5. Conclusions
Author Contributions
Funding
Data Availability Statement
Acknowledgments
Conflicts of Interest
Appendix A
| Climate | Soil | |||||||||||||
|---|---|---|---|---|---|---|---|---|---|---|---|---|---|---|
| MAT | LT | MAP | AE | AI | AQC | NHS | C | N | P | C:N | C:P | N:P | pH | |
| Leaf C | −0.329 * | −0.375 ** | −0.231 | 0.079 | 0.214 | 0.001 | 0.020 | 0.006 | 0.307 * | 0.092 | −0.238 | −0.070 | 0.154 | 0.052 |
| Leaf N | 0.344 ** | 0.262 * | 0.222 | 0.244 | −0.020 | 0.222 | −0.160 | 0.201 | 0.120 | 0.068 | −0.001 | 0.036 | 0.027 | −0.062 |
| Leaf P | −0.572 ** | −0.514 ** | −0.173 | 0.334 ** | 0.310 * | −0.142 | −0.064 | −0.136 | 0.015 | 0.164 | −0.110 | −0.232 | −0.124 | 0.050 |
| Leaf C:N | −0.416 ** | −0.353 ** | −0.296 * | −0.209 | 0.094 | −0.181 | 0.125 | −0.182 | −0.036 | −0.044 | −0.067 | −0.047 | 0.013 | 0.069 |
| Leaf C:P | 0.501 ** | 0.411 ** | 0.079 | −0.308 * | −0.225 | 0.180 | 0.071 | 0.138 | 0.065 | −0.156 | 0.034 | 0.230 | 0.177 | −0.035 |
| Leaf N:P | 0.764 ** | 0.638 ** | 0.342 ** | −0.085 | −0.285 * | 0.242 | −0.080 | 0.289 * | 0.091 | −0.082 | 0.091 | 0.228 | 0.129 | −0.103 |
References
- Deng, M.; Liu, L.; Sun, Z.; Piao, S.; Ma, Y.; Chen, Y.; Wang, J.; Qiao, C.; Wang, X.; Li, P. Increased phosphate uptake but not resorption alleviates phosphorus deficiency induced by nitrogen deposition in temperate larix principis-rupprechtii plantations. New Phytol. 2016, 212, 1019–1029. [Google Scholar] [CrossRef] [PubMed]
- Hou, L.; Dong, Z.; Yang, Y.; Zhang, D.; Zhang, S.; Zhang, S. Applying foliar stoichiometric traits of plants to determine fertilization for a mixed pine-oak stand in the qinling mountains, China. PeerJ 2018, 6, e4628. [Google Scholar] [CrossRef] [PubMed]
- Huang, W.J.; Zhou, G.Y.; Liu, J.X. Nitrogen and phosphorus status and their influence on aboveground production under increasing nitrogen deposition in three successional forests. Acta Oecol. 2012, 44, 20–27. [Google Scholar] [CrossRef]
- Yan, Z.; Kim, N.; Han, W.; Guo, Y.; Han, T.; Du, E.; Fang, J. Effects of nitrogen and phosphorus supply on growth rate, leaf stoichiometry, and nutrient resorption of arabidopsis thaliana. Plant Soil 2015, 388, 147–155. [Google Scholar] [CrossRef]
- Austin, A.; Vitousek, P. Introduction to a virtual special issue on ecological stoichiometry and global change. New Phytol. 2012, 196, 649–651. [Google Scholar] [CrossRef]
- Cornwell, W.K.; Cornelissen, J.H.C. A broader perspective on plant domestication and nutrient and carbon cycling. New Phytol. 2013, 198, 331–333. [Google Scholar] [CrossRef]
- Elser, J.J.; Fagan, W.F.; Kerkhoff, A.J.; Enquist, N.G.S.J. Biological stoichiometry of plant production: Metabolism, scaling and ecological response to global change. New Phytol. 2010, 186, 593–608. [Google Scholar] [CrossRef]
- Sistla, S.A.; Schimel, J.P. Stoichiometric flexibility as a regulator of carbon and nutrient cycling in terrestrial ecosystems under change. New Phytol. 2012, 196, 68–78. [Google Scholar] [CrossRef]
- Du, B.; Ji, H.; Peng, C.; Liu, X.; Liu, C. Altitudinal patterns of leaf stoichiometry and nutrient resorption in quercus variabilis in the baotianman mountains, china. Plant Soil 2017, 413, 193–202. [Google Scholar] [CrossRef]
- Fang, Z.; Li, D.-D.; Jiao, F.; Yao, J.; Du, H.-T. The latitudinal patterns of leaf and soil C:N:P stoichiometry in the loess plateau of china. Front. Plant Sci. 2019, 10, 85. [Google Scholar] [CrossRef]
- Zhang, K.; Li, M.; Su, Y.; Yang, R. Stoichiometry of leaf carbon, nitrogen, and phosphorus along a geographic, climatic, and soil gradients in temperate desert of hexi corridor, northwest china. J. Plant Ecol. 2020, 13, 114–121. [Google Scholar] [CrossRef]
- Zhou, W.; Wang, Z.; Xing, W.; Liu, G. Plasticity in latitudinal patterns of leaf N and P of Oryza rufipogon in China. Plant Biol. 2014, 16, 917–923. [Google Scholar] [CrossRef]
- Agren, G.I.; Weih, M. Plant stoichiometry at different scales: Element concentration patterns reflect environment more than genotype. New Phytol. 2012, 194, 944–952. [Google Scholar] [CrossRef] [PubMed]
- Hu, Y.-K.; Zhang, Y.-L.; Liu, G.-F.; Pan, X.; Yang, X.; Li, W.-B.; Dai, W.-H.; Tang, S.-L.; Xiao, T.; Chen, L.-Y.; et al. Intraspecific n and p stoichiometry of Phragmites australis: Geographic patterns and variation among climatic regions. Sci. Rep. 2017, 7, 1–8. [Google Scholar]
- Rivas-Ubach, A.; Sardans, J.; Perez-Trujillo, M.; Estiarte, M.; Penuelas, J. Strong relationship between elemental stoichiometry and metabolome in plants. Proc. Natl. Acad. Sci. USA 2012, 109, 4181–4186. [Google Scholar] [CrossRef] [PubMed]
- Roelofsen, H.D.; van Bodegom, P.M.; Kooistra, L.; Witte, J.-P.M. Predicting leaf traits of herbaceous species from their spectral characteristics. Ecol. Evol. 2014, 4, 706–719. [Google Scholar] [CrossRef]
- Violle, C.; Navas, M.-L.; Vile, D.; Kazakou, E.; Fortunel, C.; Hummel, I.; Garnier, E. Let the concept of trait be functional! Oikos 2007, 116, 882–892. [Google Scholar] [CrossRef]
- Wright, I.J.; Reich, P.B.; Westoby, M.; Ackerly, D.D.; Baruch, Z.; Bongers, F.; Cavender-Bares, J.; Chapin, T.; Cornelissen, J.H.C.; Diemer, M.; et al. The worldwide leaf economics spectrum. Nature 2004, 428, 821–827. [Google Scholar] [CrossRef]
- Sun, X.; Kang, H.; Kattge, J.; Gao, Y.; Liu, C. Biogeographic patterns of multi-element stoichiometry of Quercus variabilis leaves across China. Can. J. For. Res. 2015, 45, 1827–1834. [Google Scholar] [CrossRef]
- Wu, T.; Dong, Y.; Yu, M.; Wang, G.G.; Zeng, D.-H. Leaf nitrogen and phosphorus stoichiometry of Quercus species across China. For. Ecol. Manag. 2012, 284, 116–123. [Google Scholar] [CrossRef]
- Sterner, R.W.; Elser, J.J. Ecological Stoichiometry: The Biology of Elements from Molecules to the Biosphere; Princeton University Press: Princeton, NJ, USA, 2002. [Google Scholar]
- Yu, Q.; Wilcox, K.; La Pierre, K.; Knapp, A.K.; Han, X.; Smith, M.D. Stoichiometric homeostasis predicts plant species dominance, temporal stability, and responses to global change. Ecology 2015, 96, 2328–2335. [Google Scholar] [CrossRef] [PubMed]
- Demars, B.O.L.; Edwards, A.C. Tissue nutrient concentrations in aquatic macrophytes: Comparison across biophysical zones, surface water habitats and plant life forms. Chem. Ecol. 2008, 24, 413–422. [Google Scholar] [CrossRef]
- Yang, X.; Huang, Z.; Zhang, K.; Cornelissen, J.H.C. C:N:P stoichiometry of artemisia species and close relatives across northern china: Unravelling effects of climate, soil and taxonomy. J. Ecol. 2015, 103, 1020–1031. [Google Scholar] [CrossRef]
- Wright, I.J.; Reich, P.B.; Cornelissen, J.H.C.; Falster, D.S.; Garnier, E.; Hikosaka, K.; Lamont, B.B.; Lee, W.; Oleksyn, J.; Osada, N.; et al. Assessing the generality of global leaf trait relationships. New Phytol. 2005, 166, 485–496. [Google Scholar] [CrossRef] [PubMed]
- Dijkstra, F.A.; Pendall, E.; Morgan, J.A.; Blumenthal, D.M.; Carrillo, Y.; LeCain, D.R.; Follett, R.F.; Williams, D.G. Climate change alters stoichiometry of phosphorus and nitrogen in a semiarid grassland. New Phytol. 2012, 196, 807–815. [Google Scholar] [CrossRef] [PubMed]
- Reich, P.B.; Oleksyn, J. Global patterns of plant leaf n and p in relation to temperature and latitude. Proc. Natl. Acad. Sci. USA 2004, 101, 11001–11006. [Google Scholar] [CrossRef] [PubMed]
- Tian, D.; Kattge, J.; Chen, Y.; Han, W.; Luo, Y.; He, J.; Hu, H.; Tang, Z.; Ma, S.; Yan, Z.; et al. A global database of paired leaf nitrogen and phosphorus concentrations of terrestrial plants. Ecology 2019, 100, e02812. [Google Scholar] [CrossRef]
- Zhang, C.; Zeng, F.; Zeng, Z.; Du, H.; Zhang, L.; Su, L.; Lu, M.; Zhang, H. Carbon, nitrogen and phosphorus stoichiometry and its influencing factors in karst primary forest. Forests 2022, 13, 1990. [Google Scholar] [CrossRef]
- Cao, J.; Wang, X.; Adamowski, J.F.; Biswas, A.; Liu, C.; Chang, Z.; Feng, Q. Response of leaf stoichiometry of Oxytropis ochrocephala to elevation and slope aspect. Catena 2020, 194, 104772. [Google Scholar] [CrossRef]
- Zhang, Y.; Li, C.; Wang, M. Linkages of C:N:P stoichiometry between soil and leaf and their response to climatic factors along altitudinal gradients. J. Soils Sediments 2019, 19, 1820–1829. [Google Scholar] [CrossRef]
- Zhao, H.; Xu, L.; Wang, Q.; Tian, J.; Tang, X.; Tang, Z.; Xie, Z.; He, N.; Yu, G. Spatial patterns and environmental factors influencing leaf carbon content in the forests and shrublands of China. J. Geogr. Sci. 2018, 28, 791–801. [Google Scholar] [CrossRef]
- Han, W.X.; Fang, J.Y.; Guo, D.L.; Zhang, Y. Leaf nitrogen and phosphorus stoichiometry across 753 terrestrial plant species in China. New Phytol. 2005, 168, 377–385. [Google Scholar] [CrossRef] [PubMed]
- He, J.-S.; Wang, L.; Flynn, D.F.B.; Wang, X.; Ma, W.; Fang, J. Leaf nitrogen: Phosphorus stoichiometry across Chinese grassland biomes. Oecologia 2008, 155, 301–310. [Google Scholar] [CrossRef] [PubMed]
- Gerdol, R.; Iacumin, P.; Brancaleoni, L. Differential effects of soil chemistry on the foliar resorption of nitrogen and phosphorus across altitudinal gradients. Funct. Ecol. 2019, 33, 1351–1361. [Google Scholar] [CrossRef]
- Xu, M.; Zhong, Z.; Sun, Z.; Han, X.; Ren, C.; Yang, G. Soil available phosphorus and moisture drive nutrient resorption patterns in plantations on the loess plateau. For. Ecol. Manag. 2020, 461, 117910. [Google Scholar] [CrossRef]
- Tang, L.; Han, W.; Chen, Y.; Fang, J. Resorption proficiency and efficiency of leaf nutrients in woody plants in eastern China. J. Plant Ecol. 2013, 6, 408–417. [Google Scholar] [CrossRef]
- Yan, T.; Lu, X.-T.; Zhu, J.-J.; Yang, K.; Yu, L.-Z.; Gao, T. Changes in nitrogen and phosphorus cycling suggest a transition to phosphorus limitation with the stand development of larch plantations. Plant Soil 2018, 422, 385–396. [Google Scholar] [CrossRef]
- Cao, Y.; Chen, Y. Coupling of plant and soil C:N:P stoichiometry in black locust (Robinia pseudoacacia) plantations on the loess plateau, China. Trees-Struct. Funct. 2017, 31, 1559–1570. [Google Scholar] [CrossRef]
- Han, W.X.; Fang, J.Y.; Reich, P.B.; Woodward, F.I.; Wang, Z.H. Biogeography and variability of eleven mineral elements in plant leaves across gradients of climate, soil and plant functional type in China. Ecol. Lett. 2011, 14, 788–796. [Google Scholar] [CrossRef]
- Tong, R.; Zhou, B.; Jiang, L.; Ge, X.; Cao, Y. Spatial patterns of leaf carbon, nitrogen, and phosphorus stoichiometry and nutrient resorption in chinese fir across subtropical China. Catena 2021, 201, 105221. [Google Scholar] [CrossRef]
- Bista, D.R.; Heckathorn, S.A.; Jayawardena, D.M.; Mishra, S.; Boldt, J.K. Effects of drought on nutrient uptake and the levels of nutrient-uptake proteins in roots of drought-sensitive and -tolerant grasses. Plants 2018, 7, 28. [Google Scholar] [CrossRef] [PubMed]
- Wang, F.-C.; Fang, X.-M.; Wang, G.G.; Mao, R.; Lin, X.-F.; Wang, H.; Chen, F.-S. Effects of nutrient addition on foliar phosphorus fractions and their resorption in different-aged leaves of Chinese fir in subtropical China. Plant Soil 2019, 443, 41–54. [Google Scholar] [CrossRef]
- Sun, L.; Zhang, B.; Wang, B.; Zhang, G.; Zhang, W.; Zhang, B.; Chang, S.; Chen, T.; Liu, G. Leaf elemental stoichiometry of Tamarix lour. Species in relation to geographic, climatic, soil, and genetic components in China. Ecol. Eng. 2017, 106, 448–457. [Google Scholar] [CrossRef]
- He, W.; Liu, H.; Shi, L.; Zhou, M.; Qi, Y.; Liu, F.; Zhu, X.; Zhao, P.; Xiang, C.; Shu, Y. Climate and soil change nutrient element allocation of siberian larch in the Mongolian semiarid forest. Agric. For. Meteorol. 2022, 315, 108825. [Google Scholar] [CrossRef]
- Chen, Y.; Han, W.; Tang, L.; Tang, Z.; Fang, J. Leaf nitrogen and phosphorus concentrations of woody plants differ in responses to climate, soil and plant growth form. Ecography 2013, 36, 178–184. [Google Scholar] [CrossRef]
- Liu, J.; Gou, X.; Zhang, F.; Bian, R.; Yin, D. Spatial patterns in the C:N:P stoichiometry in Qinghai spruce and the soil across the Qilian mountains, China. Catena 2021, 196, 104814. [Google Scholar] [CrossRef]
- Yu, H.; Zhong, Q.; Cheng, D.; Zhang, Z.; Pei, P. Leaf c, n, p stoichiometry of machilus pauhoi understory seedlings of different provenances. Sci. Silvae Sin. 2018, 54, 22–32. [Google Scholar]
- FAO. Global Forest Resources Assessment 2010: Main Report; FAO: Rome, Italy, 2010. [Google Scholar]
- Yuen, J.Q.; Fung, T.; Ziegler, A.D. Carbon stocks in bamboo ecosystems worldwide: Estimates and uncertainties. For. Ecol. Manag. 2017, 393, 113–138. [Google Scholar] [CrossRef]
- Song, X.; Zhou, G.; Jiang, H.; Yu, S.; Fu, J.; Li, W.; Wang, W.; Ma, Z.; Peng, C. Carbon sequestration by Chinese bamboo forests and their ecological benefits: Assessment of potential, problems, and future challenges. Environ. Rev. 2011, 19, 418–428. [Google Scholar] [CrossRef]
- Song, H.; Zhang, A.; Wang, R.; Qi, L. Introduction history, cultivation research and landscape application of bamboo in Beijing. World For. Res. 2021, 34, 67–71. [Google Scholar]
- Feng, X.; Zhai, Z.; Wu, L. Review and prospect of introduction and breeding of bamboo in Beijing gardens. J. Bamboo Res. 2020, 39, 1–13. [Google Scholar]
- Elser, J.J.; Fagan, W.F.; Denno, R.F.; Dobberfuhl, D.R.; Folarin, A.; Huberty, A.; Interlandi, S.; Kilham, S.S.; McCauley, E.; Schulz, K.L.; et al. Nutritional constraints in terrestrial and freshwater food webs. Nature 2000, 408, 578–580. [Google Scholar] [CrossRef] [PubMed]
- Guo, Z.; Chen, S.; Yang, Q.; Li, Y.; Zhuang, M. Effects of mulching management on soil and foliar C, N and P stoichiometry in bamboo (Phyllostachys violascens) plantations. J. Trop. For. Sci. 2014, 26, 572–580. [Google Scholar]
- Liu, J.; Huang, L.; Zheng, J.; Rong, J.; Chen, L.; Li, S.; Zheng, Y. Dynamic age characteristics and allometric growth of different organ stoichiometry in Phyllostachys edulis. J. Northeast For. Univ. 2022, 50, 23–28. [Google Scholar]
- Liu, X.; Xiang, L.; Zhao, D.; Huang, J.; Zhou, F.; Liao, J.; Lan, S.; Du, M.; Zhou, Y.; Huang, C. Stoichiometric characteristics of nitrogen and phosphorus in Chimonobambusa utilis leaves at different elevations. Chin. J. Appl. Environ. Biol. 2022, 28, 1012–1018. [Google Scholar]
- Koerselman, W.; Meuleman, A.M.F. The vegetation N:P ratio: A new tool to detect the nature of nutrient limitation. J. Appl. Ecol. 1996, 33, 1441–1450. [Google Scholar] [CrossRef]
- Zhang, H.; Guo, W.; Yu, M.; Wang, G.G.; Wu, T. Latitudinal patterns of leaf N, P stoichiometry and nutrient resorption of metasequoia glyptostroboides along the eastern coastline of china. Sci. Total Environ. 2018, 618, 1–6. [Google Scholar] [CrossRef]
- Lin, Y.; Lai, Y.; Tang, S.; Qin, Z.; Liu, J.; Kang, F.; Kuang, Y. Climatic and edaphic variables determine leaf C, N, P stoichiometry of deciduous Quercus species. Plant Soil 2022, 474, 383–394. [Google Scholar] [CrossRef]
- Chang, Y.; Zhong, Q.; Yang, H.; Xu, C.; Hua, W.; Li, B. Patterns and driving factors of leaf C, N, and P stoichiometry in two forest types with different stand ages in a mid-subtropical zone. For. Ecosyst. 2022, 9, 100005. [Google Scholar] [CrossRef]
- Wang, H.; Guo, L.; Zha, R.; Gao, Z.; Yu, F.; Wei, Q. Histological, metabolomic and transcriptomic analyses reveal mechanisms of cold acclimation of the moso bamboo (Phyllostachys edulis) leaf. Tree Physiol. 2022, 42, 2336–2352. [Google Scholar] [CrossRef]
- Wang, Z.-L.; Wu, D.; Hui, M.; Wang, Y.; Han, X.; Yao, F.; Cao, X.; Li, Y.-H.; Li, H.; Wang, H. Screening of cold hardiness-related indexes and establishment of a comprehensive evaluation method for grapevines (V. vinifera). Front. Plant Sci. 2022, 13, 1014330. [Google Scholar] [CrossRef] [PubMed]
- Song, L.; Ma, W.; Li, G.; Liu, S.; Lu, G. Effect of temperature changes on nitrogen mineralization in soils with different degradation gradients in Gahai wetland. Acta Pratacult. Sin. 2021, 30, 27–37. [Google Scholar]
- Mallick, K.; Trebs, I.; Boegh, E.; Giustarini, L.; Schlerf, M.; Drewry, D.T.; Hoffmann, L.; von Randow, C.; Kruijt, B.; Araujo, A.; et al. Canopy-scale biophysical controls of transpiration and evaporation in the amazon basin. Hydrol. Earth Syst. Sci. 2016, 20, 4237–4264. [Google Scholar] [CrossRef]




| Site | LON | LAT | ALT | MAT | LT | MAP | AE | AI | AQC | NHS |
|---|---|---|---|---|---|---|---|---|---|---|
| (°) | (°) | (m) | (°C) | (°C) | (mm) | (mm) | (h) | |||
| QD | 120.35 | 36.07 | 52.00 | 13.30 | −15.10 | 666.50 | 1612.00 | 2.42 | 3.66 | 2550.70 |
| QHD | 119.53 | 39.88 | 5.00 | 11.60 | −13.40 | 610.50 | 1800.70 | 2.95 | 4.25 | 2590.20 |
| TY | 111.51 | 36.10 | 432.00 | 13.80 | −17.00 | 453.75 | 1798.20 | 3.96 | 5.24 | 2460.00 |
| LC | 115.98 | 36.45 | 34.00 | 13.70 | −18.80 | 573.85 | 1882.00 | 3.28 | 4.39 | 2567.00 |
| CD | 117.96 | 40.91 | 308.00 | 9.00 | −27.00 | 533.33 | 1466.10 | 2.75 | 3.80 | 2411.20 |
| TS | 118.18 | 39.61 | 12.00 | 12.10 | −25.50 | 564.21 | 1852.20 | 3.28 | 5.00 | 2352.90 |
| XX | 113.93 | 35.31 | 70.00 | 15.10 | −13.10 | 594.58 | 1908.70 | 3.21 | 4.80 | 2460.00 |
| BJ | 116.39 | 39.96 | 46.00 | 12.90 | −19.40 | 537.62 | 1842.20 | 3.43 | 3.64 | 2502.00 |
| HD | 114.51 | 36.60 | 59.00 | 14.70 | −16.10 | 503.91 | 1997.50 | 3.96 | 4.81 | 2557.00 |
| JZ | 113.07 | 35.19 | 132.00 | 15.30 | −12.90 | 536.84 | 2006.30 | 3.74 | 4.80 | 2484.00 |
| TJ | 110.92 | 35.12 | 391.00 | 14.50 | −15.30 | 485.26 | 1779.50 | 3.67 | 4.50 | 2521.80 |
| ZZ | 113.68 | 34.81 | 89.00 | 15.40 | −14.30 | 619.38 | 1476.20 | 2.38 | 4.43 | 2400.00 |
| YC | 117.18 | 39.14 | 3.00 | 13.30 | −16.10 | 534.00 | 2134.50 | 4.00 | 4.32 | 2630.00 |
| LF | 112.57 | 37.86 | 788.00 | 10.90 | −23.30 | 440.59 | 2043.00 | 4.64 | 5.12 | 2353.90 |
| SJZ | 114.57 | 38.13 | 73.00 | 14.30 | −15.80 | 503.33 | 1681.40 | 3.34 | 4.89 | 2412.00 |
| XT | 114.51 | 37.10 | 67.00 | 14.60 | −13.40 | 507.27 | 1862.40 | 3.67 | 4.73 | 2305.40 |
| ZJK | 114.80 | 40.78 | 724.00 | 9.30 | −25.80 | 418.82 | 1983.00 | 4.73 | 3.10 | 2667.40 |
| YT | 121.46 | 37.45 | 6.00 | 13.00 | −14.40 | 617.00 | 1927.90 | 3.12 | 3.58 | 2488.90 |
| BD | 115.52 | 38.85 | 14.00 | 13.30 | −18.30 | 498.75 | 1747.50 | 3.50 | 4.80 | 2511.00 |
| JN | 117.04 | 36.65 | 141.00 | 14.50 | −18.40 | 601.67 | 1909.60 | 3.17 | 4.70 | 2616.80 |
| Site | Soil C | Soil N | Soil P | C:N Ratio | C:P Ratio | N:P Ratio | Soil pH |
|---|---|---|---|---|---|---|---|
| (g kg−1) | (g kg−1) | (g kg−1) | |||||
| QD | 8.95 | 1.09 | 0.70 | 7.50 | 15.62 | 2.08 | 6.91 |
| QHD | 7.71 | 1.03 | 0.63 | 8.71 | 14.30 | 1.64 | 7.41 |
| TY | 8.59 | 0.98 | 0.61 | 9.19 | 14.00 | 1.52 | 7.85 |
| LC | 8.54 | 1.01 | 0.74 | 7.64 | 9.52 | 1.25 | 7.72 |
| CD | 8.33 | 1.16 | 0.74 | 6.31 | 11.13 | 1.76 | 6.82 |
| TS | 8.41 | 1.11 | 0.76 | 9.35 | 11.80 | 1.26 | 7.83 |
| XX | 8.97 | 1.09 | 0.78 | 7.22 | 10.72 | 1.48 | 7.32 |
| BJ | 8.88 | 1.14 | 0.76 | 7.81 | 11.55 | 1.48 | 7.18 |
| HD | 7.80 | 1.01 | 0.79 | 7.93 | 9.50 | 1.20 | 7.81 |
| JZ | 8.67 | 1.20 | 0.72 | 8.68 | 13.66 | 1.57 | 7.57 |
| TJ | 7.66 | 0.95 | 0.66 | 7.46 | 10.10 | 1.35 | 7.29 |
| ZZ | 8.70 | 1.12 | 0.71 | 9.09 | 12.56 | 1.38 | 7.23 |
| YC | 8.70 | 0.99 | 0.78 | 9.02 | 14.13 | 1.57 | 7.60 |
| LF | 7.48 | 1.06 | 0.73 | 6.65 | 9.23 | 1.39 | 7.18 |
| SJZ | 8.45 | 0.92 | 0.72 | 10.11 | 13.73 | 1.36 | 7.58 |
| XT | 7.59 | 1.00 | 0.66 | 7.94 | 9.74 | 1.23 | 7.74 |
| ZJK | 7.60 | 0.96 | 0.77 | 8.52 | 9.68 | 1.14 | 7.68 |
| YT | 8.06 | 0.89 | 0.70 | 10.09 | 13.60 | 1.35 | 7.43 |
| BD | 7.72 | 1.12 | 0.85 | 7.04 | 10.07 | 1.43 | 7.52 |
| JN | 8.70 | 0.97 | 0.73 | 9.83 | 12.93 | 1.31 | 7.54 |
| C (g g−1) | N (mg g−1) | P (mg g−1) | C:N Ratio | C:P Ratio | N:P Ratio | |
|---|---|---|---|---|---|---|
| Average | 0.46 | 23.19 | 1.40 | 20.24 | 335.50 | 16.74 |
| SE | 0.02 | 2.48 | 0.15 | 2.40 | 33.82 | 2.14 |
| Maximum | 0.50 | 28.38 | 1.84 | 26.51 | 405.86 | 21.09 |
| Minimum | 0.43 | 18.09 | 1.12 | 16.20 | 269.34 | 13.04 |
| CV (%) | 3.22 | 10.70 | 11.03 | 11.87 | 10.08 | 12.75 |
| Full Model(R2) | Climate (%) | Soil (%) | ||||||||
|---|---|---|---|---|---|---|---|---|---|---|
| MAT | LT | MAP | AE | AI | C | N | P | pH | ||
| Leaf C | 0.31 | 19.18 ** | 23.37 ** | 7.17 | 1.94 | 7.51 | 2.18 | 35.34 * | 1.00 | 2.31 |
| Leaf N | 0.34 | 25.73 ** | 9.60 * | 14.43 | 18.56 * | 10.63 | 5.37 | 4.94 | 1.19 | 9.56 |
| Leaf P | 0.51 | 38.94 ** | 26.49 ** | 4.75 | 15.93 * | 9.03 * | 1.00 | 0.35 | 1.84 | 1.67 |
| Leaf C:N | 0.36 | 30.81 ** | 14.2 ** | 16.93 * | 15.18 | 9.23 | 3.19 | 0.67 | 0.87 | 8.93 |
| Leaf C:P | 0.44 | 39.49 ** | 21.41 ** | 6.01 | 18.45 * | 8.40 | 1.49 | 0.79 | 2.28 | 1.68 |
| Leaf N:P | 0.73 | 52.44 ** | 25.21 ** | 5.30 * | 2.01 | 4.29 * | 3.66 * | 1.04 | 0.52 | 5.53 |
Disclaimer/Publisher’s Note: The statements, opinions and data contained in all publications are solely those of the individual author(s) and contributor(s) and not of MDPI and/or the editor(s). MDPI and/or the editor(s) disclaim responsibility for any injury to people or property resulting from any ideas, methods, instructions or products referred to in the content. |
© 2023 by the authors. Licensee MDPI, Basel, Switzerland. This article is an open access article distributed under the terms and conditions of the Creative Commons Attribution (CC BY) license (https://creativecommons.org/licenses/by/4.0/).
Share and Cite
Chen, L.; Li, L.; Pei, N.; Zhu, L.; Li, S.; Li, X.; Zhang, X.; Li, J.; Huang, B.; Qin, X. Latitudinal Patterns of Leaf Carbon, Nitrogen, and Phosphorus Stoichiometry in Phyllostachys propinqua McClure across Northern China. Forests 2023, 14, 2243. https://doi.org/10.3390/f14112243
Chen L, Li L, Pei N, Zhu L, Li S, Li X, Zhang X, Li J, Huang B, Qin X. Latitudinal Patterns of Leaf Carbon, Nitrogen, and Phosphorus Stoichiometry in Phyllostachys propinqua McClure across Northern China. Forests. 2023; 14(11):2243. https://doi.org/10.3390/f14112243
Chicago/Turabian StyleChen, Lei, Le Li, Nancai Pei, Lin Zhu, Shan Li, Xiaohua Li, Xuan Zhang, Juan Li, Biao Huang, and Xinsheng Qin. 2023. "Latitudinal Patterns of Leaf Carbon, Nitrogen, and Phosphorus Stoichiometry in Phyllostachys propinqua McClure across Northern China" Forests 14, no. 11: 2243. https://doi.org/10.3390/f14112243
APA StyleChen, L., Li, L., Pei, N., Zhu, L., Li, S., Li, X., Zhang, X., Li, J., Huang, B., & Qin, X. (2023). Latitudinal Patterns of Leaf Carbon, Nitrogen, and Phosphorus Stoichiometry in Phyllostachys propinqua McClure across Northern China. Forests, 14(11), 2243. https://doi.org/10.3390/f14112243

