Native Bamboo (Indosasa shibataeoides McClure) Invasion of Broadleaved Forests Promotes Soil Organic Carbon Sequestration in South China Karst
Abstract
:1. Introduction
2. Materials and Methods
2.1. Study Site
2.2. Experimental Stands
2.3. Soil and Litterfall Sampling
2.4. Analytical Methods
2.5. Extraction and Analysis of the Soil Organic Carbon Fraction
2.6. Bacterial and Fungal Communities Analysis
2.7. Statistics and Analysis
3. Results
3.1. Soil Physical Properties and Available Nutrients
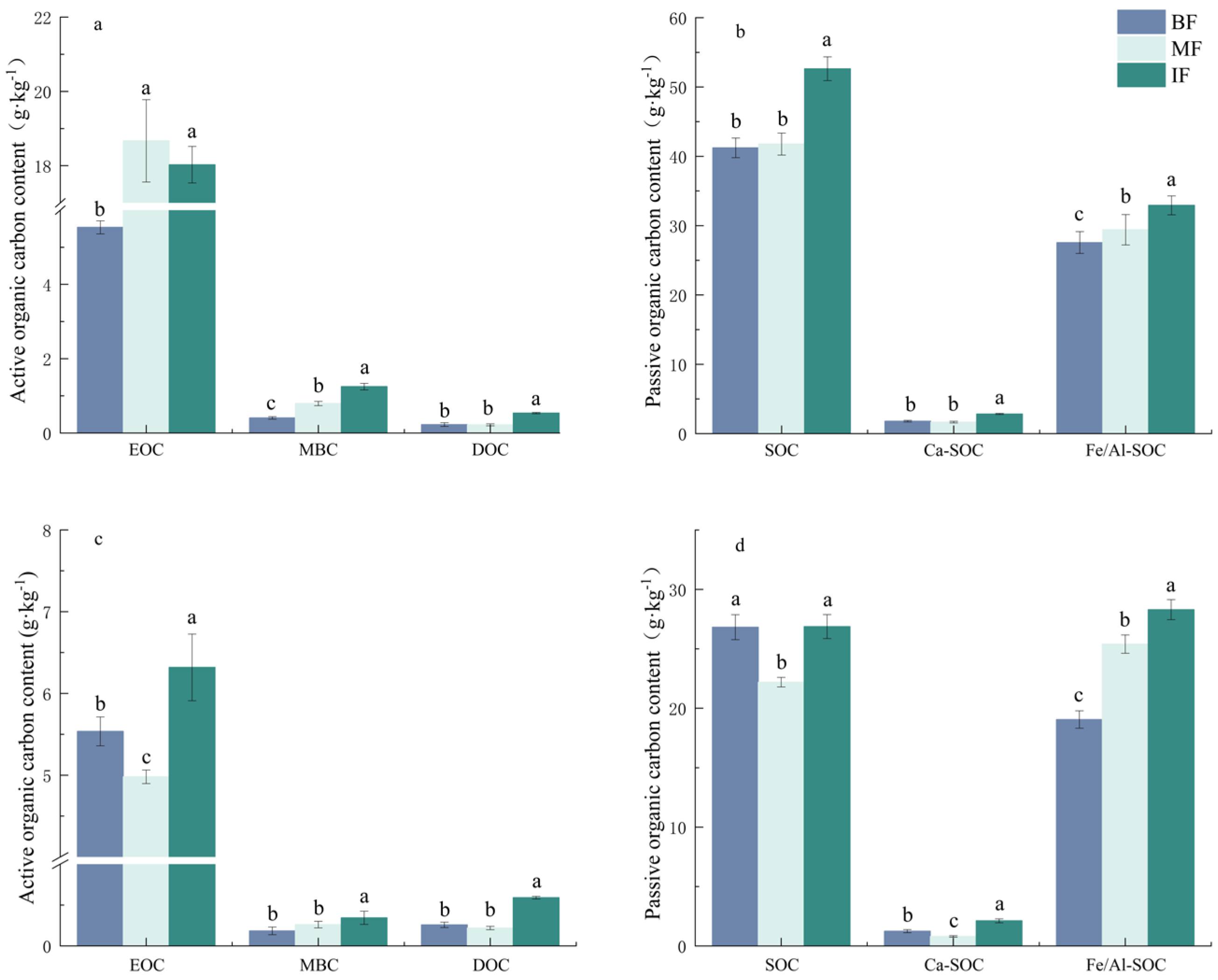
3.2. SOC Fractions
3.3. Alpha Diversity of Soil Microbial Communities
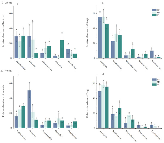
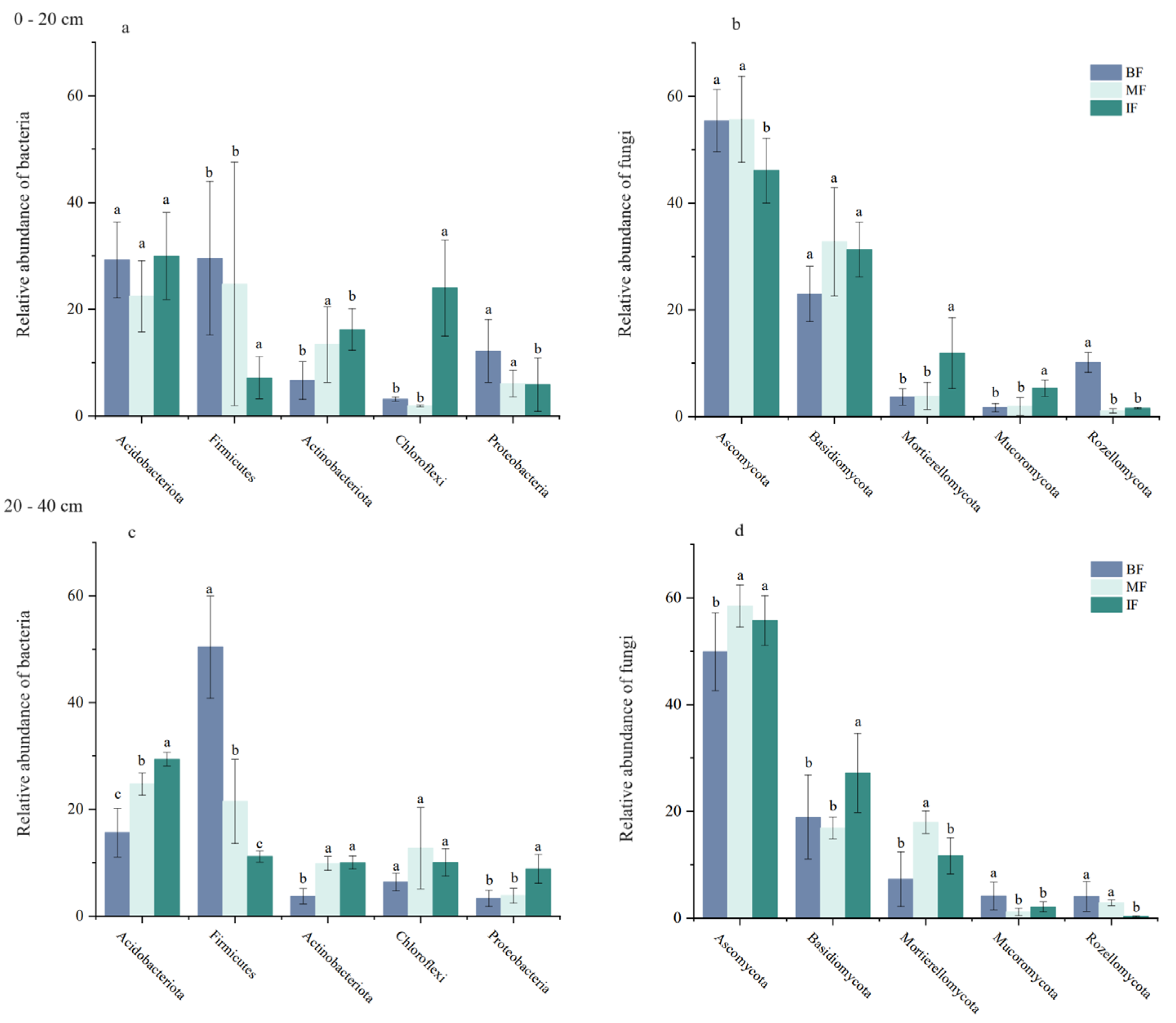
3.4. Changes in the Structure of Bacterial and Fungal Communities
3.5. Correlations between Soil Environmental Factors and Bacterial and Fungal Community
3.6. Factors Driving Soil Organic Carbon
4. Discussion
4.1. Effects of Bamboo Invasion on Litterfall Biomass
4.2. Effects of Bamboo Invasion on Soil Organic Carbon
4.3. Effects of Bamboo Invasion on Bacterial and Fungal Communities
4.4. Mechanisms Driving Soil Organic Carbon by Bamboo Invasion
5. Conclusions
Author Contributions
Funding
Data Availability Statement
Acknowledgments
Conflicts of Interest
References
- Zhang, X.; Lu, J.; Zhang, X. Spatiotemporal Trend of Carbon Storage in China’s Bamboo Industry, 1993–2018. J. Environ. Manag. 2022, 314, 114989. [Google Scholar] [CrossRef]
- Wang, X.; Sasaki, A.; Toda, M.; Nakatsubo, T. Changes in Soil Microbial Community and Activity in Warm Temperate Forests Invaded by Moso Bamboo (Phyllostachys pubescens). J. For. Res. 2016, 21, 235–243. [Google Scholar] [CrossRef]
- Larpkern, P.; Moe, S.R.; Totland, Ø. Bamboo Dominance Reduces Tree Regeneration in a Disturbed Tropical Forest. Oecologia 2011, 165, 161–168. [Google Scholar] [CrossRef] [PubMed]
- Buckingham, K.; Jepson, P.; Wu, L.; Rao, I.V.R.; Jiang, S.; Liese, W.; Lou, Y.; Fu, M. The Potential of Bamboo Is Constrained by Outmoded Policy Frames. Ambio 2011, 40, 544–548. [Google Scholar] [CrossRef] [PubMed]
- Qin, Y.; Xin, Z.; Wang, D.; Xiao, Y. Soil Organic Carbon Storage and Its Influencing Factors in the Riparian Woodlands of a Chinese Karst Area. CATENA 2017, 153, 21–29. [Google Scholar] [CrossRef]
- Yang, C.; Zhang, X.; Ni, H.; Gai, X.; Huang, Z.; Du, X.; Zhong, Z. Soil Carbon and Associated Bacterial Community Shifts Driven by Fine Root Traits along a Chronosequence of Moso Bamboo (Phyllostachys edulis) Plantations in Subtropical China. Sci. Total Environ. 2021, 752, 142333. [Google Scholar] [CrossRef]
- Zhang, K.; Maltais-Landry, G.; Liao, H.-L. How Soil Biota Regulate C Cycling and Soil C Pools in Diversified Crop Rotations. Soil Biol. Biochem. 2021, 156, 108219. [Google Scholar] [CrossRef]
- Huang, Z.; Li, Q.; Gai, X.; Zhang, X.; Zhong, Z.; Bian, F.; Yang, C. Corrigendum: Effects of on- and off-Year Management Practices on the Soil Organic C Fractions and Microbial Community in a Moso Bamboo (Phyllostachys edulis) Forest in Subtropical China. Front. Plant Sci. 2023, 13, 1121575. [Google Scholar] [CrossRef]
- Holt, J.A. Grazing Pressure and Soil Carbon, Microbial Biomass and Enzyme Activities in Semi-Arid Northeastern Australia. Appl. Soil Ecol. 1997, 5, 143–149. [Google Scholar] [CrossRef]
- Weverka, J.; Runte, G.C.; Porzig, E.L.; Carey, C.J. Exploring Plant and Soil Microbial Communities as Indicators of Soil Organic Carbon in a California Rangeland. Soil Biol. Biochem. 2023, 178, 108952. [Google Scholar] [CrossRef]
- Govednik, A.; Potočnik, Ž.; Eler, K.; Mihelič, R.; Suhadolc, M. Combined Effects of Long-Term Tillage and Fertilisation Regimes on Soil Organic Carbon, Microbial Biomass, and Abundance of the Total Microbial Communities and N-Functional Guilds. Appl. Soil Ecol. 2023, 188, 104876. [Google Scholar] [CrossRef]
- Deng, Q.; Cheng, X.; Hui, D.; Zhang, Q.; Li, M.; Zhang, Q. Soil Microbial Community and Its Interaction with Soil Carbon and Nitrogen Dynamics Following Afforestation in Central China. Sci. Total Environ. 2016, 541, 230–237. [Google Scholar] [CrossRef] [PubMed]
- Lange, M.; Eisenhauer, N.; Sierra, C.A.; Bessler, H.; Engels, C.; Griffiths, R.I.; Mellado-Vazquez, P.G.; Malik, A.A.; Roy, J.; Scheu, S.; et al. Plant Diversity Increases Soil Microbial Activity and Soil Carbon Storage. Nat. Commun. 2015, 6, 6707. [Google Scholar] [CrossRef] [PubMed]
- Tardy, V.; Spor, A.; Mathieu, O.; Lévèque, J.; Terrat, S.; Plassart, P.; Regnier, T.; Bardgett, R.D.; van der Putten, W.H.; Roggero, P.P.; et al. Shifts in Microbial Diversity through Land Use Intensity as Drivers of Carbon Mineralization in Soil. Soil Biol. Biochem. 2015, 90, 204–213. [Google Scholar] [CrossRef]
- Fontaine, S.; Barot, S.; Barre, P.; Bdioui, N.; Mary, B.; Rumpel, C. Stability of Organic Carbon in Deep Soil Layers Controlled by Fresh Carbon Supply. Nature 2007, 450, 277–280. [Google Scholar] [CrossRef]
- Xiao, H.; Li, Z.; Dong, Y.; Chang, X.; Deng, L.; Huang, J.; Nie, X.; Liu, C.; Liu, L.; Wang, D.; et al. Changes in Microbial Communities and Respiration Following the Revegetation of Eroded Soil. Agric. Ecosyst. Environ. 2017, 246, 30–37. [Google Scholar] [CrossRef]
- Talbot, J.M.; Yelle, D.J.; Nowick, J.; Treseder, K.K. Litter Decay Rates Are Determined by Lignin Chemistry. Biogeochemistry 2012, 108, 279–295. [Google Scholar] [CrossRef]
- Baldrian, P. Fungal Laccases—Occurrence and Properties. FEMS Microbiol. Rev. 2006, 30, 215–242. [Google Scholar] [CrossRef]
- Rabinovich, M.L.; Bolobova, A.V.; Vasil’chenko, L.G. Fungal Decomposition of Natural Aromatic Structures and Xenobiotics: A Review. Appl. Biochem. Microbiol. 2004, 40, 1–17. [Google Scholar] [CrossRef]
- Courty, P.E.; Hoegger, P.J.; Kilaru, S.; Kohler, A.; Buée, M.; Garbaye, J.; Martin, F.; Kües, U. Phylogenetic Analysis, Genomic Organization, and Expression Analysis of Multi-copper Oxidases in the Ectomycorrhizal Basidiomycete Laccaria Bicolor. New Phytol. 2009, 182, 736–750. [Google Scholar] [CrossRef]
- Bugg, T.D.; Ahmad, M.; Hardiman, E.M.; Singh, R. The Emerging Role for Bacteria in Lignin Degradation and Bio-Product Formation. Curr. Opin. Biotechnol. 2011, 22, 394–400. [Google Scholar] [CrossRef] [PubMed]
- Masai, E.; Katayama, Y.; Fukuda, M. Genetic and Biochemical Investigations on Bacterial Catabolic Pathways for Lignin-Derived Aromatic Compounds. Biosci. Biotechnol. Biochem. 2007, 71, 1–15. [Google Scholar] [CrossRef] [PubMed]
- Bremner, J.B.; Smith, R.J.; Tarrant, G.J. A Meisenheimer Rearrangement Approach to Bridgehead Hydroxylated Tropane Alkaloid Derivatives. Tetrahedron Lett. 1996, 37, 97–100. [Google Scholar] [CrossRef]
- Bray, R.H.; Kurtz, L.T. Determination of total, organic, and available forms of phosphorus in soils. Soil Sci. 1945, 59, 39. [Google Scholar] [CrossRef]
- Blair, G.J.; Lefroy, R.D.B.; Lisle, L. Soil Carbon Fractions Based on Their Degree of Oxidation, and the Development of a Carbon Management Index for Agricultural Systems. Aust. J. Agric. Res. 1995, 46, 1459–1466. [Google Scholar] [CrossRef]
- Bolan, N.S.; Baskaran, S.; Thiagarajan, S. An Evaluation of the Methods of Measurement of Dissolved Organic Carbon in Soils, Manures, Sludges, and Stream Water. Commun. Soil Sci. Plant Anal. 1996, 27, 2723–2737. [Google Scholar] [CrossRef]
- Vance, E.D.; Brookes, P.C.; Jenkinson, D.S. An Extraction Method for Measuring Soil Microbial Biomass C. Soil Biol. Biochem. 1987, 19, 703–707. [Google Scholar] [CrossRef]
- Yuanke-eng, X. Dissolution and Fractionation of Calcium—Bound and Iron—And Aluminum—Bound Humus in Soils. Pedosphere 1993, 3, 75–80. [Google Scholar]
- Callahan, B.J.; McMurdie, P.J.; Rosen, M.J.; Han, A.W.; Johnson, A.J.A.; Holmes, S.P. DADA2: High-Resolution Sample Inference from Illumina Amplicon Data. Nat. Methods 2016, 13, 581–583. [Google Scholar] [CrossRef]
- Liu, C.; Cui, Y.; Li, X.; Yao, M. Microeco: An R Package for Data Mining in Microbial Community Ecology. FEMS Microbiol. Ecol. 2021, 97, fiaa255. [Google Scholar] [CrossRef]
- Breiman, L. Random Forests. Mach. Learn. 2001, 45, 5–32. [Google Scholar] [CrossRef]
- Zhong, Z.; Zhang, X.; Wang, X.; Fu, S.; Wu, S.; Lu, X.; Ren, C.; Han, X.; Yang, G. Soil Bacteria and Fungi Respond Differently to Plant Diversity and Plant Family Composition during the Secondary Succession of Abandoned Farmland on the Loess Plateau, China. Plant Soil 2020, 448, 183–200. [Google Scholar] [CrossRef]
- Chen, X.; Chen, H.Y.H.; Chen, C.; Ma, Z.; Searle, E.B.; Yu, Z.; Huang, Z. Effects of Plant Diversity on Soil Carbon in Diverse Ecosystems: A Global Meta-Analysis. Biol. Rev. 2020, 95, 167–183. [Google Scholar] [CrossRef] [PubMed]
- Liu, X.; Siemann, E.; Cui, C.; Liu, Y.; Guo, X.; Zhang, L. Moso Bamboo (Phyllostachys edulis) Invasion Effects on Litter, Soil and Microbial PLFA Characteristics Depend on Sites and Invaded Forests. Plant Soil 2019, 438, 85–99. [Google Scholar] [CrossRef]
- De Campos Gorgulho Padgurschi, M.; Soares Reis, T.; Ferreira Alves, L.; Aparecida Vieira, S.; Alfredo Joly, C. Outcomes of a Native Bamboo on Biomass and Carbon Stocks of a Neotropical Biodiversity Hotspot. Acta Oecologica 2021, 111, 103734. [Google Scholar] [CrossRef]
- Li, Q.; Cheng, X.; Luo, Y.; Xu, Z.; Xu, L.; Ruan, H.; Xu, X. Consistent Temperature Sensitivity of Labile Soil Organic Carbon Mineralization along an Elevation Gradient in the Wuyi Mountains, China. Appl. Soil Ecol. 2017, 117–118, 32–37. [Google Scholar] [CrossRef]
- Liu, C.; Zheng, C.; Wang, L.; Zhang, J.; Wang, Q.; Shao, S.; Qin, H.; Xu, Q.; Liang, C.; Chen, J. Moso Bamboo Invasion Changes the Assembly Process and Interactive Relationship of Soil Microbial Communities in a Subtropical Broadleaf Forest. For. Ecol. Manag. 2023, 536, 120901. [Google Scholar] [CrossRef]
- Song, X.; Peng, C.; Zhou, G.; Gu, H.; Li, Q.; Zhang, C. Dynamic Allocation and Transfer of Non-Structural Carbohydrates, a Possible Mechanism for the Explosive Growth of Moso Bamboo (Phyllostachys heterocycla). Sci. Rep. 2016, 6, 25908. [Google Scholar] [CrossRef]
- Ni, X.; Lin, C.; Chen, G.; Xie, J.; Yang, Z.; Liu, X.; Xiong, D.; Xu, C.; Yue, K.; Wu, F.; et al. Decline in Nutrient Inputs from Litterfall Following Forest Plantation in Subtropical China. For. Ecol. Manag. 2021, 496, 119445. [Google Scholar] [CrossRef]
- Naorem, A.; Maverick, J.; Singh, P.; Udayana, S.K. Chapter 4—Microbial Community Structure in Organic Farming and Their Management. In Advances in Organic Farming; Meena, V.S., Meena, S.K., Rakshit, A., Stanley, J., Srinivasarao, C., Eds.; Woodhead Publishing: Sawston, UK, 2021; pp. 47–58. ISBN 978-0-12-822358-1. [Google Scholar]
- Xie, Y.; Zhang, W.; Guo, Z.; Du, X.; Fan, L.; Chen, S.; Dong, Y. Effects of Vegetation Succession on Soil Microbial Stoichiometry in Phyllstachys Edulis Stands Following Abandonment. Sci. Total Environ. 2023, 895, 164971. [Google Scholar] [CrossRef]
- Liu, X.; Wang, W.; Penuelas, J.; Sardans, J.; Chen, X.; Fang, Y.; Alrefaei, A.F.; Zeng, F.; Tariq, A. Effects of Nitrogen-Enriched Biochar on Subtropical Paddy Soil Organic Carbon Pool Dynamics. Sci. Total Environ. 2022, 851, 158322. [Google Scholar] [CrossRef] [PubMed]
- Zhang, X.; Zhong, Z.; Gai, X.; Du, X.; Bian, F.; Yang, C.; Gao, G.; Wen, X. Changes of Root Endophytic Bacterial Community Along a Chronosequence of Intensively Managed Lei Bamboo (Phyllostachys praecox) Forests in Subtropical China. Microorganisms 2019, 7, 616. [Google Scholar] [CrossRef]
- Liu, C.; Zhou, Y.; Qin, H.; Liang, C.; Shao, S.; Fuhrmann, J.J.; Chen, J.; Xu, Q. Moso Bamboo Invasion Has Contrasting Effects on Soil Bacterial and Fungal Abundances, Co-Occurrence Networks and Their Associations with Enzyme Activities in Three Broadleaved Forests across Subtropical China. For. Ecol. Manag. 2021, 498, 119549. [Google Scholar] [CrossRef]
- Hong-liang, W.; An-dong, C.; Ting-ting, X.; Sheng-chang, H.; Ping, Z.; Xiao-zeng, H.; Ming-gang, X.; Chang-ai, L. Integrated Management of Crop Residue and Nutrient Enhances New Carbon Formation by Regulating Microbial Taxa and Enzymes. J. Integr. Agric. 2022, 21, 1772–1785. [Google Scholar] [CrossRef]
- Xu, Q.-F.; Jiang, P.-K.; Wu, J.-S.; Zhou, G.-M.; Shen, R.-F.; Fuhrmann, J.J. Bamboo Invasion of Native Broadleaf Forest Modified Soil Microbial Communities and Diversity. Biol. Invasions 2015, 17, 433–444. [Google Scholar] [CrossRef]
- Hug, L.A.; Castelle, C.J.; Wrighton, K.C.; Thomas, B.C.; Sharon, I.; Frischkorn, K.R.; Williams, K.H.; Tringe, S.G.; Banfield, J.F. Community Genomic Analyses Constrain the Distribution of Metabolic Traits across the Chloroflexi Phylum and Indicate Roles in Sediment Carbon Cycling. Microbiome 2013, 1, 22. [Google Scholar] [CrossRef]
- Liu, H.; Awasthi, M.K.; Zhang, Z.; Syed, A.; Bahkali, A.H.; Sindhu, R.; Verma, M. Microbial Dynamics and Nitrogen Retention during Sheep Manure Composting Employing Peach Shell Biochar. Bioresour. Technol. 2023, 386, 129555. [Google Scholar] [CrossRef]
- Evdokimova, E.V.; Gladkov, G.V.; Kuzina, N.I.; Ivanova, E.A.; Kimeklis, A.K.; Zverev, A.O.; Kichko, A.A.; Aksenova, T.S.; Pinaev, A.G.; Andronov, E.E. The Difference between Cellulolytic “culturomes” and Microbiomes Inhabiting Two Contrasting Soil Types. PLoS ONE 2020, 15, e0242060. [Google Scholar] [CrossRef]
- Li, F.; Chen, L.; Zhao, Z.-H.; Li, Y.; Yu, H.-Y.; Wang, Y.; Zhang, J.-B.; Han, Y.-L. The Changes of Chemical Molecular Components in Soil Organic Matter Are Associated with Fungus Mortierella Capitata K. Soil Tillage Res. 2023, 227, 105598. [Google Scholar] [CrossRef]
- Wu, X.; Liu, P.; Wegner, C.-E.; Luo, Y.; Xiao, K.-Q.; Cui, Z.; Zhang, F.; Liesack, W.; Peng, J. Deciphering Microbial Mechanisms Underlying Soil Organic Carbon Storage in a Wheat-Maize Rotation System. Sci. Total Environ. 2021, 788, 147798. [Google Scholar] [CrossRef]
- Abdellah, Y.A.Y.; Li, T.; Chen, X.; Cheng, Y.; Sun, S.; Wang, Y.; Jiang, C.; Zang, H.; Li, C. Role of Psychrotrophic Fungal Strains in Accelerating and Enhancing the Maturity of Pig Manure Composting under Low-Temperature Conditions. Bioresour. Technol. 2021, 320, 124402. [Google Scholar] [CrossRef] [PubMed]
- Liu, H.; Awasthi, M.K.; Zhang, Z.; Syed, A.; Bahkali, A.H.; Sindhu, R.; Verma, M. Evaluation of Fungal Dynamics during Sheep Manure Composting Employing Peach Shell Biochar. Bioresour Technol 2023, 386, 129559. [Google Scholar] [CrossRef] [PubMed]
- Horsch, C.C.A.; Antunes, P.M.; Fahey, C.; Grandy, A.S.; Kallenbach, C.M. Trait-Based Assembly of Arbuscular Mycorrhizal Fungal Communities Determines Soil Carbon Formation and Retention. N. Phytol. 2023, 239, 311–324. [Google Scholar] [CrossRef] [PubMed]
- Hill, S.K.; Hale, R.L.; Grinath, J.B.; Folk, B.T.; Nielson, R.; Reinhardt, K. Looking beyond Leaves: Variation in Nutrient Leaching Potential of Seasonal Litterfall among Different Species within an Urban Forest. Urban Ecosyst. 2022, 25, 1097–1109. [Google Scholar] [CrossRef]
- Teng, Q.; Lu, X.; Zhang, Q.; Cai, L.; Sardar, M.F.; Li, Y.; Abbas, T.; Li, Y.; Chang, S.X.; Li, Y. Litterfall Quality Modulates Soil Ammonium and Nitrate Supply through Altering Microbial Function in Bamboo Encroachment of Broadleaf Forests. Geoderma 2023, 437, 116592. [Google Scholar] [CrossRef]
- McLeod, M.L.; Bullington, L.; Cleveland, C.C.; Rousk, J.; Lekberg, Y. Invasive Plant-Derived Dissolved Organic Matter Alters Microbial Communities and Carbon Cycling in Soils. Soil Biol. Biochem. 2021, 156, 108191. [Google Scholar] [CrossRef]








| Stands | Altitude/m | Longitude and Latitude | Aspect and Slope | Bamboo | Broadleaved Tree | |||
|---|---|---|---|---|---|---|---|---|
| DBH (cm) | Height (m) | Density Stem (hm2) | DBH (cm) | Density Stem (hm2) | ||||
| BF | 945 | 110°10′ E, 25°80′ N | WS 30° | - | - | - | 9.5 | 2374 |
| MF | 945 | 110°10′ E, 25°80′ N | WS 29° | 24.65 | 6.86 | 3450 | 8.7 | 948 |
| IF | 950 | 110°13′ E, 25°47′ N | WS 30° | 16.03 | 4.59 | 6600 | - | - |
| Stands | Lays | Species |
|---|---|---|
| BF | tree | Adinandra megaphylla Hu. |
| Liquidambar formosana Hance. | ||
| Itea oblonga Hand. | ||
| shrub | Ilex viridis Champ. ex Benth. | |
| Ternstroemia gymnanthera (Wight et Arn.) Beddome | ||
| Lindera glauca (Siebold & Zucc.) Blume | ||
| Camellia oleifera Abel. | ||
| Oxyspora paniculata (D. Don) DC. | ||
| Maesa japonica (Thunb.) Moritzi. ex Zoll. | ||
| Eurya groffii Merr. | ||
| grass | Curculigo orchioides Gaertn. | |
| Arachniodes chinensis (Rosenst.) Ching | ||
| Alpinia psilogyna D. Fang | ||
| Acrophorus stipellatus (Wall.) Moore | ||
| Trachelospermum jasminoides (Lindl.) Lem. | ||
| Smilacina japonica A. Gray | ||
| Polygonum persicaria L. | ||
| Plagiogyria grandis Copel. | ||
| MF | tree | Adinandra megaphylla Hu |
| Itea oblonga Hand | ||
| Indosasa shibataeoides McClure. | ||
| shrub | Camellia oleifera Abel. | |
| grass | Arachniodes chinensis (Rosenst.) Ching | |
| Acrophorus stipellatus (Wall.) Moore | ||
| Trachelospermum jasminoides (Lindl.) Lem. | ||
| Smilacina japonica A. Gray | ||
| IF | tree | Indosasa shibataeoides McClure. |
| shrub | - | |
| grass | Plagiogyria grandis Copel. | |
| Alpinia psilogyna D. Fang | ||
| Arachniodes chinensis (Rosenst.) Ching | ||
| Acrophorus stipellatus (Wall.) Moore |
| Soil Layer | Vegetation Type | pH (H2O) | BD (g·cm−3) | Litterfall Layer (g·m−2) |
|---|---|---|---|---|
| 0–20 cm | BF | 4.01 ± 0.03 a | 0.944 ± 0.06 b | 125.42 ± 25.89 c |
| MF | 3.80 ± 0.03 c | 1.04 ± 0.05 b | 352.25 ± 44.38 b | |
| IF | 3.91 ± 0.02 b | 1.326 ± 0.04 a | 444.62 ± 48.14 a | |
| 20–40 cm | BF | 4.51 ± 0.01 a | 1.328 ± 0.02 a | - |
| MF | 4.00 ± 0.02 c | 1.084 ± 0.11 c | - | |
| IF | 4.31 ± 0.09 b | 1.152 ± 0.11 a | - |
| Soil Layer | Vegetation Type | SOC (g·kg−1) | MBC/SOC (%) | AN (mg·kg−1) | AP (mg·kg−1) | AK (mg·kg−1) |
|---|---|---|---|---|---|---|
| 0–20 cm | BF | 41.23 ± 1.42 b | 0.99 ± 0.08 c | 277.17 ± 8.86 c | 3.67 ± 0.16 a | 65.45 ± 2.54 c |
| MF | 41.77 ± 1.59 b | 1.90 ± 0.15 b | 302.99 ± 56.55 b | 3.69 ± 0.84 a | 71.71 ± 0.87 b | |
| IF | 52.64 ± 1.71 a | 2.38 ± 0.23 a | 421.20 ± 27.17 a | 2.26 ± 0.70 b | 90.80 ± 0.02 a | |
| 20–40 cm | BF | 26.82 ± 1.05 a | 0.68 ± 0.17 b | 164.40 ± 7.44 b | 2.29 ± 0.04 a | 30.65 ± 5.39 a |
| MF | 22.19 ± 0.40 b | 1.17 ± 0.17 a | 164.40 15.49 b | 2.47 ± 0.29 a | 26.89 ± 0.53 c | |
| IF | 26.88 ± 1.01 a | 1.28 ± 0.32 a | 258.15 ± 34.64 a | 1.56 ± 0.08 b | 33.96 ± 20.8 a |
| Phylum | Genus | 0–20 cm | p-Value | 20–40 cm | p-Value | |||||
|---|---|---|---|---|---|---|---|---|---|---|
| BF | MF | IF | BF | MF | IF | |||||
| Bacteria | Firmicutes | Tumebacillus | 16.24 | 11.11 | 3.61 | 0.001 | 4.59 | 32.75 | 11.86 | 0.181 |
| Firmicutes | Bacillus | 9.12 | 7.70 | 1.83 | 0.373 | 2.07 | 7.23 | 4.49 | 0.28 | |
| Chloroflexi | HSB_OF53-F07 | 1.09 | 1.87 | 8.63 | 0.146 | 4.43 | 2.95 | 6.47 | 0.13 | |
| Proteobacteria | Burkholderia-Caballeronia-Paraburkholderia | 4.84 | 3.43 | 1.56 | 0.052 | 2.61 | 0.99 | 0.80 | 0.28 | |
| Actinobacteriota | Acidothermus | 1.74 | 2.26 | 2.30 | 0.044 | 1.41 | 0.79 | 1.21 | 0.048 | |
| Actinobacteriota | Kitasatospora | 0.37 | 0.49 | 3.14 | 0.001 | 3.06 | 0.71 | 1.63 | 0.001 | |
| Acidobacteriota | Candidatus_Solibacter | 2.02 | 1.95 | 1.24 | 0.024 | 0.91 | 0.40 | 1.02 | 0.08 | |
| Acidobacteriota | Candidatus_Koribacter | 1.93 | 1.59 | 1.39 | 0.02 | 0.52 | 0.25 | 0.69 | 0.001 | |
| Verrucomicrobiota | Candidatus_Udaeobacter | 0.84 | 0.38 | 0.73 | 0.817 | 1.66 | 0.94 | 0.41 | 0.001 | |
| Proteobacteria | Acidibacter | 0.95 | 1.12 | 0.47 | 0.116 | 1.02 | 0.39 | 0.27 | 0.036 | |
| Fungi | Mortierellomycota | Mortierella | 3.67 | 3.90 | 11.88 | 0.063 | 7.33 | 17.97 | 11.67 | 0.001 |
| Ascomycota | Trichoderma | 10.79 | 5.18 | 3.41 | 0.252 | 6.67 | 24.48 | 2.12 | 0.001 | |
| Basidiomycota | Saitozyma | 9.61 | 5.60 | 2.01 | 0.072 | 6.66 | 5.86 | 1.93 | 0.001 | |
| Basidiomycota | Hygrocybe | 0.25 | 0.30 | 13.18 | 0.001 | 1.68 | 0.17 | 3.25 | 0.001 | |
| Basidiomycota | Pseudohydnum | 0.21 | 12.77 | 0.23 | 0.972 | 0.21 | 1.46 | 0.92 | 0.02 | |
| Mucoromycota | Umbelopsis | 1.30 | 0.99 | 3.49 | 0.216 | 2.53 | 0.41 | 0.99 | 0.258 | |
| Basidiomycota | Clitopilus | 3.58 | 0.47 | 0.59 | 0.198 | 3.96 | 0.19 | 0.41 | 0.011 | |
| Ascomycota | Chloridium | 0.45 | 1.10 | 0.71 | 0.737 | 0.78 | 3.57 | 1.13 | 0.001 | |
| Ascomycota | Talaromyces | 1.62 | 1.25 | 1.43 | 0.742 | 1.10 | 0.90 | 1.29 | 0.353 | |
| Basidiomycota | Apiotrichum | 1.80 | 0.99 | 0.40 | 0.184 | 0.90 | 2.72 | 0.38 | 0.001 | |
Disclaimer/Publisher’s Note: The statements, opinions and data contained in all publications are solely those of the individual author(s) and contributor(s) and not of MDPI and/or the editor(s). MDPI and/or the editor(s) disclaim responsibility for any injury to people or property resulting from any ideas, methods, instructions or products referred to in the content. |
© 2023 by the authors. Licensee MDPI, Basel, Switzerland. This article is an open access article distributed under the terms and conditions of the Creative Commons Attribution (CC BY) license (https://creativecommons.org/licenses/by/4.0/).
Share and Cite
Chen, Z.; Xu, X.; Wu, Z.; Huang, Z.; Gao, G.; Zhang, J.; Zhang, X. Native Bamboo (Indosasa shibataeoides McClure) Invasion of Broadleaved Forests Promotes Soil Organic Carbon Sequestration in South China Karst. Forests 2023, 14, 2135. https://doi.org/10.3390/f14112135
Chen Z, Xu X, Wu Z, Huang Z, Gao G, Zhang J, Zhang X. Native Bamboo (Indosasa shibataeoides McClure) Invasion of Broadleaved Forests Promotes Soil Organic Carbon Sequestration in South China Karst. Forests. 2023; 14(11):2135. https://doi.org/10.3390/f14112135
Chicago/Turabian StyleChen, Zedong, Xiangyang Xu, Zhizhuang Wu, Zhiyuan Huang, Guibin Gao, Jie Zhang, and Xiaoping Zhang. 2023. "Native Bamboo (Indosasa shibataeoides McClure) Invasion of Broadleaved Forests Promotes Soil Organic Carbon Sequestration in South China Karst" Forests 14, no. 11: 2135. https://doi.org/10.3390/f14112135
APA StyleChen, Z., Xu, X., Wu, Z., Huang, Z., Gao, G., Zhang, J., & Zhang, X. (2023). Native Bamboo (Indosasa shibataeoides McClure) Invasion of Broadleaved Forests Promotes Soil Organic Carbon Sequestration in South China Karst. Forests, 14(11), 2135. https://doi.org/10.3390/f14112135

