N2-Fixing Tree Species Help to Alleviate C- and P-Limitation in Both Rhizosphere and Non-Rhizosphere Soils in the Eucalyptus Plantations of Subtropical China
Abstract
:1. Introduction
2. Materials and Methods
2.1. Study Area Situation
2.2. Sample Collection and Processing
2.3. Soil and Microbial Properties Analysis
2.4. Soil Extracellular Enzyme Characteristics Analysis
2.5. Statistical Analyses
3. Results
3.1. Soil Physicochemical Properties and Microbial Biomass
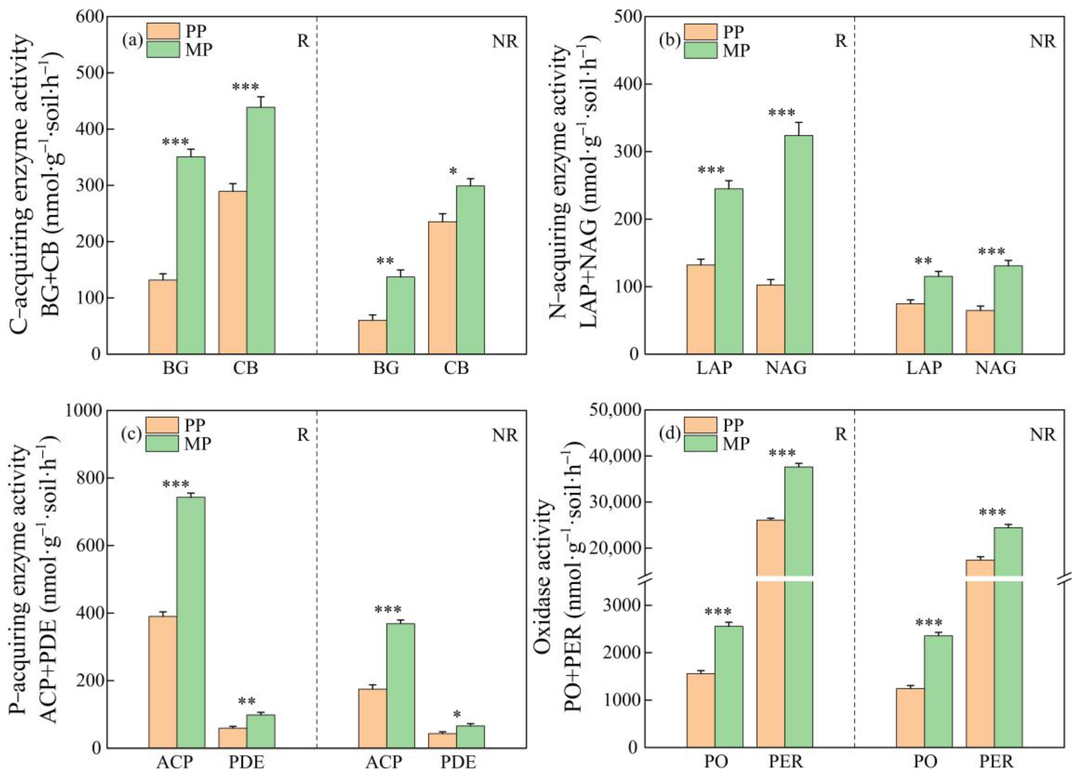
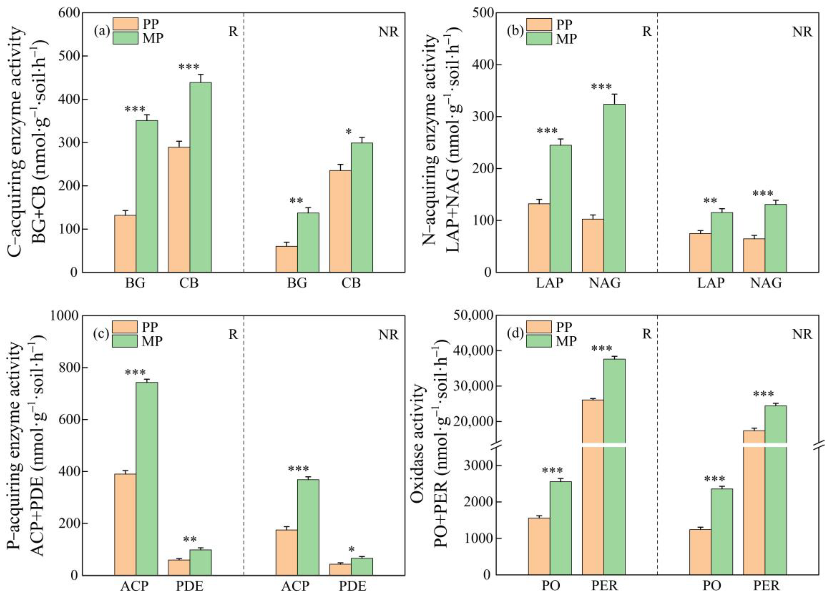
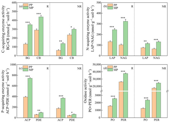
3.2. Enzyme Activities
3.3. Enzymatic Stoichiometry and Vector Characteristics
3.4. Relationship between Soil Enzymes and Soil Properties
3.5. Factors Affecting EEA and EES
4. Discussion
4.1. Effects of N2-Fixing Tree Species on Soil EEA in Rhizosphere and Non-Rhizosphere Soils
4.2. Soil EES Shows Microbial Nutrient Limitation in Eucalyptus Plantations Mixed with N2-Fixing Tree Species
5. Conclusions
Supplementary Materials
Author Contributions
Funding
Data Availability Statement
Acknowledgments
Conflicts of Interest
References
- You, Y.; Xu, H.; Wu, X.; Zhou, X.; Tan, X.; Li, M.; Wen, Y.; Zhu, H.; Cai, D.; Huang, X. Native broadleaf tree species stimulate topsoil nutrient transformation by changing microbial community composition and physiological function, but not biomass in subtropical plantations with low P status. Forest Ecol. Manag. 2020, 477, 118491. [Google Scholar] [CrossRef]
- López-Aizpún, M.; Arango-Mora, C.; Santamaría, C.; Lasheras, E.; Santamaría, J.M.; Ciganda, V.S.; Cárdenas, L.M.; Elustondo, D. Atmospheric ammonia concentration modulates soil enzyme and microbial activity in an oak forest affecting soil microbial biomass. Soil Biol. Biochem. 2018, 116, 378–387. [Google Scholar] [CrossRef]
- Cui, Y.; Fang, L.; Deng, L.; Guo, X.; Han, F.; Ju, W.; Wang, X.; Chen, H.; Tan, W.; Zhang, X. Patterns of soil microbial nutrient limitations and their roles in the variation of soil organic carbon across a precipitation gradient in an arid and semi-arid region. Sci. Total Environ. 2019, 658, 1440–1451. [Google Scholar] [CrossRef] [PubMed]
- Cui, Y.; Bing, H.; Fang, L.; Jiang, M.; Shen, G.; Yu, J.; Wang, X.; Zhu, H.; Wu, Y.; Zhang, X. Extracellular enzyme stoichiometry reveals the carbon and phosphorus limitations of microbial metabolisms in the rhizosphere and bulk soils in alpine ecosystems. Plant Soil. 2021, 458, 7–20. [Google Scholar] [CrossRef]
- Sinsabaugh, R.L.; Lauber, C.L.; Weintraub, M.N.; Ahmed, B.; Allison, S.D.; Crenshaw, C.; Contosta, A.R.; Cusack, D.; Frey, S.; Gallo, M.E.; et al. Stoichiometry of soil enzyme activity at global scale. Ecol. Lett. 2008, 11, 1252–1264. [Google Scholar] [CrossRef] [PubMed]
- Zechmeister-Boltenstern, S.; Keiblinger, K.M.; Mooshammer, M.; Peñuelas, J.; Richter, A.; Sardans, J.; Wanek, W. The application of ecological stoichiometry to plant–microbial–soil organic matter transformations. Ecol. Monogr. 2015, 85, 133–155. [Google Scholar] [CrossRef]
- Araujo, A.S.F.; Bonifacio, A.; Pereira, A.P.D.A.; Medeiros, E.V.; Araujo, F.F.; Mendes, L.W. Enzymatic stoichiometry in soils from physiognomies of Brazilian Cerrado. J. Soil Sci. Plant Nut. 2022, 22, 2735–2742. [Google Scholar] [CrossRef]
- Wang, H.; Wu, J.; Li, G.; Yan, L. Changes in soil carbon fractions and enzyme activities under different vegetation types of the northern Loess Plateau. Ecol. Evol. 2020, 10, 12211–12223. [Google Scholar] [CrossRef] [PubMed]
- Siddique, I.; Engel, V.L.; Parrotta, J.A.; Lamb, D.; Nardoto, G.B.; Ometto, J.P.; Martinelli, L.A.; Schmidt, S. Dominance of legume trees alters nutrient relations in mixed species forest restoration plantings within seven years. Biogeochemistry 2008, 88, 89–101. [Google Scholar] [CrossRef]
- Jing, Y.L.; Liu, S.R.; Yin, Y.; Yao, R.S.; Zhang, S.Q.; Mao, R.X. Effects of N-fixing tree species (Alnus sibirica) on amino sugars in the soils of a larix kaempferi plantation in eastern liaoning province, China. Acta Ecol. Sin. 2018, 38, 2838–2845. [Google Scholar] [CrossRef]
- Huang, X.; Liu, S.; Wang, H.; Hu, Z.; Li, Z.; You, Y. Changes of soil microbial biomass carbon and community composition through mixing nitrogen-fixing species with Eucalyptus urophylla in subtropical China. Soil Biol. Biochem. 2014, 73, 42–48. [Google Scholar] [CrossRef]
- Batterman, S.A.; Wurzburger, N.; Hedin, L.O. Nitrogen and phosphorus interact to control tropical symbiotic N2 fixation: A test in I nga punctata. J. Ecol. 2013, 101, 1400–1408. [Google Scholar] [CrossRef]
- Marklein, A.R.; Houlton, B.Z. Nitrogen inputs accelerate phosphorus cycling rates across a wide variety of terrestrial ecosystems. New Phytol. 2012, 193, 696–704. [Google Scholar] [CrossRef]
- Lammirato, C.; Miltner, A.; Wick, L.Y.; Kästner, M. Hydrolysis of cellobiose by β-glucosidase in the presence of soil minerals–Interactions at solid–liquid interfaces and effects on enzyme activity levels. Soil Biol. Biochem. 2010, 42, 2203–2210. [Google Scholar] [CrossRef]
- Zhang, R.; Vivanco, J.M.; Shen, Q. The unseen rhizosphere root–soil–microbe interactions for crop production. Curr. Opin. Microbiol. 2017, 37, 8–14. [Google Scholar] [CrossRef] [PubMed]
- Cheeke, T.E.; Phillips, R.P.; Brzostek, E.R.; Rosling, A.; Bever, J.D.; Fransson, P. Dominant mycorrhizal association of trees alters carbon and nutrient cycling by selecting for microbial groups with distinct enzyme function. New Phytol. 2017, 214, 432–442. [Google Scholar] [CrossRef] [PubMed]
- Jones, D.L.; Oburger, E. Solubilization of phosphorus by soil microorganisms. In Phosphorus in Action: Biological Processes in Soil Phosphorus Cycling; Bünemann, E., Oberson, A., Frossard, E., Eds.; Springer: Berlin/Heidelberg, Germany, 2011; Volume 26, pp. 169–198. [Google Scholar] [CrossRef]
- Yang, G.; Wen, M.; Deng, Y.; Su, X.; Jiang, D.; Wang, G.; Chen, Y.; Chen, G.; Yu, S. Occurrence patterns of black water and its impact on fish in cutover areas of Eucalyptus plantations. Sci. Total Environ. 2019, 693, 133393. [Google Scholar] [CrossRef]
- González-García, S.; Moreira, M.T.; Feijoo, G. Environmental aspects of eucalyptus based ethanol production and use. Sci. Total Environ. 2012, 438, 1–8. [Google Scholar] [CrossRef]
- Laclau, J.P.; Ranger, J.; de Moraes Gonçalves, J.L.; Maquère, V.; Krusche, A.V.; M’Bou, A.T.; Nouvellon, Y.; Saint-André, L.; Bouillet, J.P.; de Cassia Piccolo, M.; et al. Biogeochemical cycles of nutrients in tropical Eucalyptus plantations: Main features shown by intensive monitoring in Congo and Brazil. Forest Ecol. Manag. 2010, 259, 1771–1785. [Google Scholar] [CrossRef]
- Wang, H.; Liu, S.; Mo, J.; Zhang, T. Soil-atmosphere exchange of greenhouse gases in subtropical plantations of indigenous tree species. Plant Soil. 2010, 335, 213–227. [Google Scholar] [CrossRef]
- You, Y.; Huang, X.; Zhu, H.; Liu, S.; Liang, H.; Wen, Y.; Wang, H.; Cai, D.; Ye, D. Positive interactions between Pinus massoniana and Castanopsis hystrix species in the uneven-aged mixed plantations can produce more ecosystem carbon in subtropical China. Forest Ecol. Manag. 2018, 410, 193–200. [Google Scholar] [CrossRef]
- Yang, Y.; Qiu, K.; Xie, Y.; Li, X.; Zhang, S.; Liu, W.; Huang, Y.; Cui, L.; Wang, S.; Bao, P. Geographical, climatic, and soil factors control the altitudinal pattern of rhizosphere microbial diversity and its driving effect on root zone soil multifunctionality in mountain ecosystems. Sci. Total Environ. 2023, 904, 166932. [Google Scholar] [CrossRef] [PubMed]
- Pang, Y.; Tian, J.; Zhao, X.; Chao, Z.; Wang, Y.; Zhang, X.; Wang, D. The linkages of plant, litter and soil C: N: P stoichiometry and nutrient stock in different secondary mixed forest types in the Qinling Mountains, China. PeerJ 2020, 8, e9274. [Google Scholar] [CrossRef] [PubMed]
- Gallaher, R.N.; Weldon, C.O.; Boswell, F.C. A semiautomated procedure for total nitrogen in plant and soil samples. Soil Sci. Soc. Am. J. 1976, 40, 887–889. [Google Scholar] [CrossRef]
- Murphy, J.; Riley, J.P. A modified single solution method for the determination of phosphate in natural waters. Anal. Chim. Acta. 1962, 27, 31–36. [Google Scholar] [CrossRef]
- Olsen, S.R. Estimation of Available Phosphorus in Soils by Extraction with Sodium Bicarbonate; US Department of Agriculture: Washington, DC, USA, 1954. [Google Scholar]
- Jenkinson, D.S.; Powlson, D.S. The effects of biocidal treatments on metabolism in soil—I. Fumigation with chloroform. Soil Biol. Biochem. 1976, 8, 167–177. [Google Scholar] [CrossRef]
- Saiya-Cork, K.R.; Sinsabaugh, R.L.; Zak, D.R. The effects of long term nitrogen deposition on extracellular enzyme activity in an Acer saccharum forest soil. Soil Biol. Biochem. 2002, 34, 1309–1315. [Google Scholar] [CrossRef]
- Tabatabai, M.A. Soil enzymes. In Methods of Soil Analysis: Part 2 Microbiological and Biochemical Properties; Weaver chair, R.W., Angle, S., Bottomley, P., Bezdicek, D., Smith, S., Wollum, A.T., Eds.; Soil Science Society of America, Inc.: Madison, WI, USA, 1994; Volume 5, pp. 775–833. [Google Scholar] [CrossRef]
- Sinsabaugh, R.L.; Antibus, R.K.; Linkins, A.E.; McClaugherty, C.A.; Rayburn, L.; Repert, D.; Weiland, T. Wood decomposition: Nitrogen and phosphorus dynamics in relation to extracellular enzyme activity. Ecology 1993, 74, 1586–1593. [Google Scholar] [CrossRef]
- He, L.; Lu, S.; Wang, C.; Mu, J.; Zhang, Y.; Wang, X. Changes in soil organic carbon fractions and enzyme activities in response to tillage practices in the Loess Plateau of China. Soil Till. Res. 2021, 209, 104940. [Google Scholar] [CrossRef]
- Moorhead, D.L.; Sinsabaugh, R.L.; Hill, B.H.; Weintraub, M.N. Vector analysis of ecoenzyme activities reveal constraints on coupled C, N and P dynamics. Soil Biol. Biochem. 2016, 93, 1–7. [Google Scholar] [CrossRef]
- Chen, H.; Li, D.; Zhao, J.; Zhang, W.; Xiao, K.; Wang, K. Nitrogen addition aggravates microbial carbon limitation: Evidence from ecoenzymatic stoichiometry. Geoderma 2018, 329, 61–64. [Google Scholar] [CrossRef]
- Moorhead, D.L.; Sinsabaugh, R.L. A theoretical model of litter decay and microbial interaction. Ecol. Monogr. 2006, 76, 151–174. [Google Scholar] [CrossRef]
- Hill, B.H.; Elonen, C.M.; Herlihy, A.T.; Jicha, T.M.; Serenbetz, G. Microbial ecoenzyme stoichiometry, nutrient limitation, and organic matter decomposition in wetlands of the conterminous United States. Wetl. Ecol. Manag. 2018, 26, 425–439. [Google Scholar] [CrossRef]
- Zhao, C.; Long, J.; Liao, H.; Zheng, C.; Li, J.; Liu, L.; Zhang, M. Dynamics of soil microbial communities following vegetation succession in a karst mountain ecosystem, Southwest China. Sci. Rep. 2019, 9, 2160. [Google Scholar] [CrossRef] [PubMed]
- Razavi, B.S.; Zarebanadkouki, M.; Blagodatskaya, E.; Kuzyakov, Y. Rhizosphere shape of lentil and maize: Spatial distribution of enzyme activities. Soil Biol. Biochem. 2016, 96, 229–237. [Google Scholar] [CrossRef]
- Tian, P.; Razavi, B.S.; Zhang, X.; Wang, Q.; Blagodatskaya, E. Microbial growth and enzyme kinetics in rhizosphere hotspots are modulated by soil organics and nutrient availability. Soil Biol. Biochem. 2020, 141, 107662. [Google Scholar] [CrossRef]
- Zhou, G.; Zhang, J.; Qiu, X.; Wei, F.; Xu, X. Decomposing litter and associated microbial activity responses to nitrogen deposition in two subtropical forests containing nitrogen-fixing or non-nitrogen-fixing tree species. Sci. Rep. 2018, 8, 12934. [Google Scholar] [CrossRef] [PubMed]
- Yan, J.; Huang, X.; Su, X.; Zhang, W.; Gao, G.; You, Y. Introducing N2-Fixing Tree Species into Eucalyptus Plantation in Subtropical China Alleviated Carbon and Nitrogen Constraints within Soil Aggregates. Forests 2022, 13, 2102. [Google Scholar] [CrossRef]
- Zhalnina, K.; Louie, K.B.; Hao, Z.; Mansoori, N.; Da Rocha, U.N.; Shi, S.; Cho, H.; Karaoz, U.; Loqué, D.; Bowen, B.P.; et al. Dynamic root exudate chemistry and microbial substrate preferences drive patterns in rhizosphere microbial community assembly. Nat. Microbiol. 2018, 3, 470–480. [Google Scholar] [CrossRef] [PubMed]
- Brockett, B.F.T.; Prescott, C.E.; Grayston, S.J. Soil moisture is the major factor influencing microbial community structure and enzyme activities across seven biogeoclimatic zones in western Canada. Soil Biol. Biochem. 2012, 44, 9–20. [Google Scholar] [CrossRef]
- Nayak, D.R.; Babu, Y.J.; Adhya, T.K. Long-term application of compost influences microbial biomass and enzyme activities in a tropical Aeric Endoaquept planted to rice under flooded condition. Soil Biol. Biochem. 2007, 39, 1897–1906. [Google Scholar] [CrossRef]
- Zhu, X.; Liu, M.; Kou, Y.; Liu, D.; Liu, Q.; Zhang, Z.; Jiang, Z.; Yin, H. Differential effects of N addition on the stoichiometry of microbes and extracellular enzymes in the rhizosphere and bulk soils of an alpine shrubland. Plant Soil. 2020, 449, 285–301. [Google Scholar] [CrossRef]
- Jian, S.; Li, J.; Chen, J.I.; Wang, G.; Mayes, M.A.; Dzantor, K.E.; Hui, D.; Luo, Y. Soil extracellular enzyme activities, soil carbon and nitrogen storage under nitrogen fertilization: A meta-analysis. Soil Biol. Biochem. 2016, 101, 32–43. [Google Scholar] [CrossRef]
- Cusack, D.F.; Silver, W.L.; Torn, M.S.; Burton, S.D.; Firestone, M.K. Changes in microbial community characteristics and soil organic matter with nitrogen additions in two tropical forests. Ecology 2011, 92, 621–632. [Google Scholar] [CrossRef]
- Pereira, A.P.D.A.; Araujo, A.S.F.; Santana, M.C.; Lima, A.Y.V.; Araujo, V.L.V.P.D.; Verma, J.P.; Cardoso, E.J.B.N. Enzymatic stoichiometry in tropical soil under pure and mixed plantations of eucalyptus with N 2-fixing trees. Sci. Agric. 2022, 80, e20210283. [Google Scholar] [CrossRef]
- Liu, C.; Wang, B.; Zhu, Y.; Qu, T.; Xue, Z.; Li, X.; Zhou, Z.; An, S. Eco-enzymatic stoichiometry and microbial non-homeostatic regulation depend on relative resource availability during litter decomposition. Ecol. Indic. 2022, 145, 109729. [Google Scholar] [CrossRef]
- Waring, B.G.; Weintraub, S.R.; Sinsabaugh, R.L. Ecoenzymatic stoichiometry of microbial nutrient acquisition in tropical soils. Biogeochemistry 2014, 117, 101–113. [Google Scholar] [CrossRef]
- Yang, Y.; Liang, C.; Wang, Y.; Cheng, H.; An, S.; Chang, S.X. Soil extracellular enzyme stoichiometry reflects the shift from P-to N-limitation of microorganisms with grassland restoration. Soil Biol. Biochem. 2020, 149, 107928. [Google Scholar] [CrossRef]
- Bell, C.; Carrillo, Y.; Boot, C.M.; Rocca, J.D.; Pendall, E.; Wallenstein, M.D. Rhizosphere stoichiometry: Are C: N: P ratios of plants, soils, and enzymes conserved at the plant species-level? New Phytol. 2014, 201, 505–517. [Google Scholar] [CrossRef] [PubMed]
- Cleveland, C.C.; Liptzin, D. C: N: P stoichiometry in soil: Is there a “Redfield ratio” for the microbial biomass? Biogeochemistry 2007, 85, 235–252. [Google Scholar] [CrossRef]
- Sinsabaugh, R.L.; Hill, B.H.; Follstad Shah, J.J. Ecoenzymatic stoichiometry of microbial organic nutrient acquisition in soil and sediment. Nature 2009, 462, 795–798. [Google Scholar] [CrossRef]
- Bai, X.; Dippold, M.A.; An, S.; Wang, B.; Zhang, H.; Loeppmann, S. Extracellular enzyme activity and stoichiometry: The effect of soil microbial element limitation during leaf litter decomposition. Ecol. Indic. 2021, 121, 107200. [Google Scholar] [CrossRef]
- Rumpel, C.; Kögel-Knabner, I. Deep soil organic matter—A key but poorly understood component of terrestrial C cycle. Plant Soil. 2011, 338, 143–158. [Google Scholar] [CrossRef]
- Carrillo, Y.; Bell, C.; Koyama, A.; Canarini, A.; Boot, C.M.; Wallenstein, M.; Pendall, E. Plant traits, stoichiometry and microbes as drivers of decomposition in the rhizosphere in a temperate grassland. J. Ecol. 2017, 105, 1750–1765. [Google Scholar] [CrossRef]
- Cui, Y.; Fang, L.; Guo, X.; Wang, X.; Zhang, Y.; Li, P.; Zhang, X. Ecoenzymatic stoichiometry and microbial nutrient limitation in rhizosphere soil in the arid area of the northern Loess Plateau, China. Soil Biol. Biochem. 2018, 116, 11–21. [Google Scholar] [CrossRef]
- He, Q.; Wu, Y.; Bing, H.; Zhou, J.; Wang, J. Vegetation type rather than climate modulates the variation in soil enzyme activities and stoichiometry in subalpine forests in the eastern Tibetan Plateau. Geoderma 2020, 374, 114424. [Google Scholar] [CrossRef]
- Sinsabaugh, R.L.; Follstad Shah, J.J. Integrating resource utilization and temperature in metabolic scaling of riverine bacterial production. Ecology 2010, 91, 1455–1465. [Google Scholar] [CrossRef]
- Xu, M.; Li, W.; Wang, J.; Zhu, Y.; Feng, Y.; Yang, G.; Zhang, W.; Han, X. Soil ecoenzymatic stoichiometry reveals microbial phosphorus limitation after vegetation restoration on the Loess Plateau, China. Sci. Total Environ. 2022, 815, 152918. [Google Scholar] [CrossRef]
- Fujita, K.; Miyabara, Y.; Kunito, T. Microbial biomass and ecoenzymatic stoichiometries vary in response to nutrient availability in an arable soil. Eur. J. Soil Biol. 2019, 91, 1–8. [Google Scholar] [CrossRef]
- Sinsabaugh, R.L.; Follstad Shah, J.J. Ecoenzymatic stoichiometry and ecological theory. Annu. Rev. Ecol. Evol. Syst. 2012, 43, 313–343. [Google Scholar] [CrossRef]
- Qiu, X.; Peng, D.; Tian, H.; Wang, H.; Liu, X.; Cao, L.; Li, Z.; Cheng, S. Soil ecoenzymatic stoichiometry and microbial resource limitation driven by thinning practices and season types in Larix principis-rupprechtii plantations in North China. Forest Ecol. Manag. 2021, 482, 118880. [Google Scholar] [CrossRef]
- Peng, X.; Wang, W. Stoichiometry of soil extracellular enzyme activity along a climatic transect in temperate grasslands of northern China. Soil Biol. Biochem. 2016, 98, 74–84. [Google Scholar] [CrossRef]
- Kivlin, S.N.; Treseder, K.K. Soil extracellular enzyme activities correspond with abiotic factors more than fungal community composition. Biogeochemistry 2014, 117, 23–37. [Google Scholar] [CrossRef]
- Wang, J.; Wang, X.; Liu, G.; Wang, G.; Wu, Y.; Zhang, C. Fencing as an effective approach for restoration of alpine meadows: Evidence from nutrient limitation of soil microbes. Geoderma 2020, 363, 114148. [Google Scholar] [CrossRef]
- Chang, E.H.; Chung, R.S.; Tsai, Y.H. Effect of different application rates of organic fertilizer on soil enzyme activity and microbial population. Soil Sci. Plant Nutr. 2007, 53, 132–140. [Google Scholar] [CrossRef]
- Cenini, V.L.; Fornara, D.A.; McMullan, G.; Ternan, N.; Carolan, R.; Crawley, M.J.; Clément, J.C.; Lavorel, S. Linkages between extracellular enzyme activities and the carbon and nitrogen content of grassland soils. Soil Biol. Biochem. 2016, 96, 198–206. [Google Scholar] [CrossRef]
- Gartner, T.B.; Treseder, K.K.; Malcolm, G.M.; Sinsabaugh, R.L. Extracellular enzyme activity in the mycorrhizospheres of a boreal fire chronosequence. Pedobiologia 2012, 55, 121–127. [Google Scholar] [CrossRef]








| Plantation Type | Altitude (m) | Slope (°) | Age (yr) | DBH (m) | TH (m) | CD | LF (kg⋅hm−2) |
|---|---|---|---|---|---|---|---|
| PP | 246–263 | 15–17 | 8 | 15.66 ± 0.07 | 16.62 ± 0.14 | 0.61 ± 0.01 | 3669.79 ± 98.00 |
| MP | 250–266 | 14–18 | 8 | 0.71 ± 0.01 | 4891.66 ± 132.17 | ||
| E. urophyla | 16.78 ± 0.10 | 17.74 ± 0.10 | |||||
| E. fordii | 8.62 ± 0.17 | 8.30 ± 0.18 |
| Soil Type | R | NR | ||
|---|---|---|---|---|
| Plantation Type | PP | MP | PP | MP |
| SWC (%) | 21.57 ± 0.59 a | 23.15 ± 0.60 a | 22.49 ± 0.90 a | 23.33 ± 0.93 a |
| pH | 4.90 ± 0.14 a | 4.88 ± 0.14 a | 4.89 ± 0.11 a | 4.85 ± 0.12 a |
| SOC (g·kg−1) | 19.72 ± 0.32 b | 21.31 ± 0.29 a | 12.75 ± 0.42 b | 14.34 ± 0.44 a |
| TN (g·kg−1) | 3.12 ± 0.06 b | 3.47 ± 0.08 a | 2.44 ± 0.07 b | 2.78 ± 0.09 a |
| NO3−-N (mg·kg−1) | 2.36 ± 0.17 b | 6.78 ± 0.25 a | 0.18 ± 0.02 b | 0.48 ± 0.03 a |
| NH4+-N (mg·kg−1) | 206.06 ± 6.56 b | 235.47 ± 5.64 a | 175.94 ± 5.47 b | 204.89 ± 6.70 a |
| TP (g·kg−1) | 0.56 ± 0.01 b | 0.58 ± 0.01 a | 0.54 ± 0.01 a | 0.56 ± 0.01 a |
| AP (mg·kg−1) | 5.92 ± 0.16 b | 7.66 ± 0.18 a | 4.46 ± 0.14 b | 5.25 ± 0.11 a |
| Soil C:N | 6.33 ± 0.12 a | 6.16 ± 0.18 a | 5.25 ± 0.22 a | 5.20 ± 0.31 a |
| Soil C:P | 35.50 ± 0.93 a | 36.45 ± 0.78 a | 23.61 ± 1.01 a | 25.81 ± 0.81 a |
| Soil N:P | 5.62 ± 0.17 a | 5.92 ± 0.10 a | 4.52 ± 0.20 a | 5.01 ± 0.18 a |
| MBC (mg·kg−1) | 226.05 ± 7.55 b | 284.19 ± 8.47 a | 215.22 ± 7.58 b | 266.03 ± 7.53 a |
| MBN (mg·kg−1) | 10.63 ± 0.72 b | 22.52 ± 0.55 a | 9.48 ± 0.74 b | 19.44 ± 0.73 a |
| MBP (mg·kg−1) | 6.43 ± 0.56 b | 11.46 ± 0.92 a | 4.56 ± 0.65 b | 7.30 ± 0.70 a |
| MBC:MBN | 21.74 ± 1.79 a | 12.67 ± 0.60 b | 23.18 ± 1.68 a | 13.76 ± 0.58 b |
| MBC:MBP | 36.40 ± 3.85 a | 25.34 ± 1.84 b | 50.77 ± 6.39 a | 38.26 ± 4.91 a |
| MBN:MBP | 1.72 ± 0.20 a | 2.02 ± 0.17 a | 2.24 ± 0.34 a | 2.80 ± 0.37 a |
Disclaimer/Publisher’s Note: The statements, opinions and data contained in all publications are solely those of the individual author(s) and contributor(s) and not of MDPI and/or the editor(s). MDPI and/or the editor(s) disclaim responsibility for any injury to people or property resulting from any ideas, methods, instructions or products referred to in the content. |
© 2023 by the authors. Licensee MDPI, Basel, Switzerland. This article is an open access article distributed under the terms and conditions of the Creative Commons Attribution (CC BY) license (https://creativecommons.org/licenses/by/4.0/).
Share and Cite
Li, J.; Huang, H.; You, Y.; Xiang, M.; Li, C.; Ming, A.; Ma, H.; Huang, X. N2-Fixing Tree Species Help to Alleviate C- and P-Limitation in Both Rhizosphere and Non-Rhizosphere Soils in the Eucalyptus Plantations of Subtropical China. Forests 2023, 14, 2070. https://doi.org/10.3390/f14102070
Li J, Huang H, You Y, Xiang M, Li C, Ming A, Ma H, Huang X. N2-Fixing Tree Species Help to Alleviate C- and P-Limitation in Both Rhizosphere and Non-Rhizosphere Soils in the Eucalyptus Plantations of Subtropical China. Forests. 2023; 14(10):2070. https://doi.org/10.3390/f14102070
Chicago/Turabian StyleLi, Jiajun, Haimei Huang, Yeming You, Mingzhu Xiang, Changhang Li, Angang Ming, Hailun Ma, and Xueman Huang. 2023. "N2-Fixing Tree Species Help to Alleviate C- and P-Limitation in Both Rhizosphere and Non-Rhizosphere Soils in the Eucalyptus Plantations of Subtropical China" Forests 14, no. 10: 2070. https://doi.org/10.3390/f14102070
APA StyleLi, J., Huang, H., You, Y., Xiang, M., Li, C., Ming, A., Ma, H., & Huang, X. (2023). N2-Fixing Tree Species Help to Alleviate C- and P-Limitation in Both Rhizosphere and Non-Rhizosphere Soils in the Eucalyptus Plantations of Subtropical China. Forests, 14(10), 2070. https://doi.org/10.3390/f14102070
