The Influence of Forest Landscape Spaces on Physical and Mental Restoration and Preferences of Young Adults of Different Genders
Abstract
1. Introduction
1.1. Research Findings on the Influence of Forest Space Exposure on Human Physical and Mental Restoration and Preferences
1.2. Gender Differences in the Benefits of Natural Environments for Human Physical and Mental Restoration
1.3. Reliability and Advantages of the Application of Virtual Reality to the Study of Restoration Research
- (1)
- Effects of different types of forest landscape space on physiological and psychological responses in young adults of different genders;
- (2)
- The type of forest landscape space preferred by young adults of different genders;
- (3)
- The relationship between physiological and psychological responses and evaluation of spatial preference.
2. Materials and Methods
2.1. Study Area
2.2. Participants
2.3. Experimental Design
2.4. Measurements
2.4.1. Physiological Stress
2.4.2. Psychological Stress
2.4.3. Preference
2.5. Data Analysis
- (1)
- An examination of the effects of physical and mental recovery
- (2)
- Assessment of preference
- (3)
- The correlation between physical and psychological changes and preferences
3. Results
3.1. Effects of Forest Landscape Space Exposure on the Physical and Mental Restoration of College Students of Different Genders
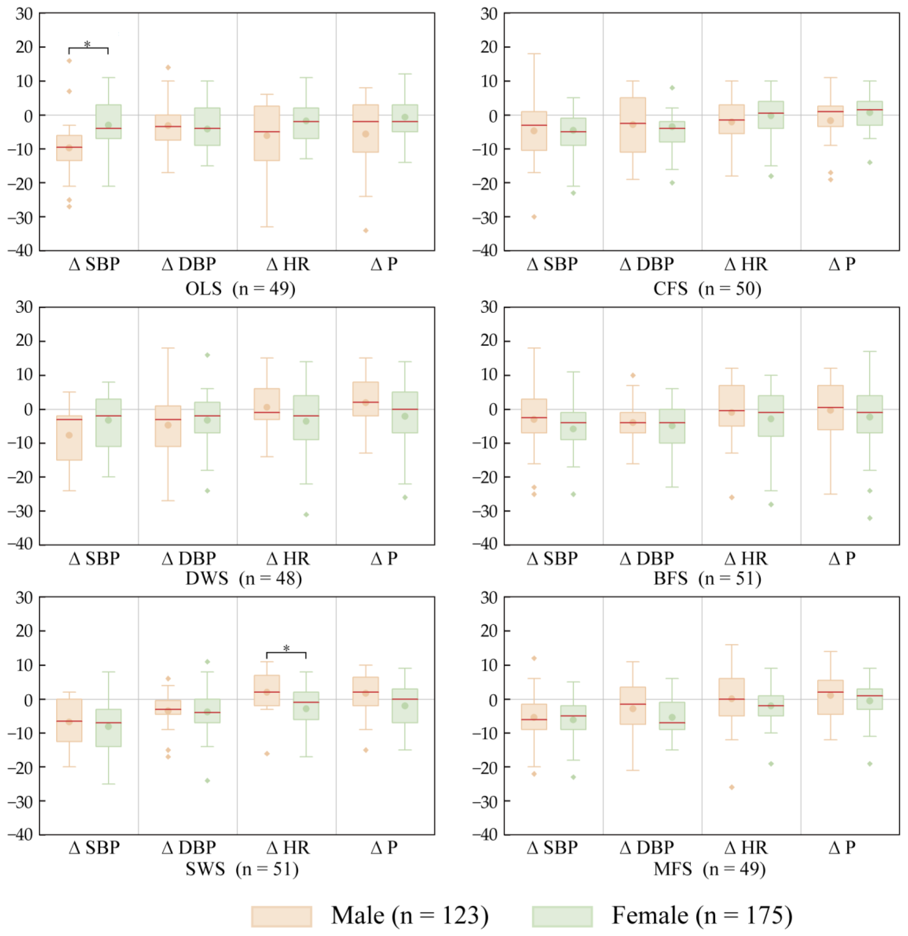
3.1.1. Effects on Physiological Changes
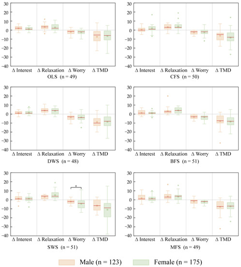
3.1.2. Effects on Psychological Changes
3.2. Preferences of Young Adults of Different Gender for Forest Landscape Spaces
3.2.1. Characteristics and Differences in Preferences
3.2.2. Preferred Spatial Elements
3.3. Relationships between Physical and Mental Restoration and Preference
4. Discussion
4.1. The Effect of Physical and Mental Recovery of College Students of Different Genders in Forest Landscape Space Is Affected by the Landscape Content
4.2. Forest Landscape Types with Open Vision and a Good Sense of Enclosure Are More Popular with Female College Students
4.3. Better Physical and Mental Restoration of Young Adults in the Forest Landscape Is Related to Higher Aesthetic Preference
5. Limitations
6. Conclusions
Author Contributions
Funding
Institutional Review Board Statement
Informed Consent Statement
Data Availability Statement
Acknowledgments
Conflicts of Interest
References
- Vlahov, D.; Freudenberg, N.; Proietti, F.; Ompad, D.; Quinn, A.; Nandi, V.; Galea, S. Urban as a determinant of health. J. Urban Health 2007, 84, 16–26. [Google Scholar] [CrossRef] [PubMed]
- Gong, P.; Liang, S.; Carlton, E.J.; Jiang, Q.; Wu, J.; Wang, L.; Remais, J.V. Urbanisation and health in China. Lancet 2012, 379, 843–852. [Google Scholar] [CrossRef] [PubMed]
- Peen, J.; Schoevers, R.A.; Beekman, A.T.; Dekker, J. The current status of urban-rural differences in psychiatric disorders. Acta Psychiatr. Scand. 2010, 121, 84–93. [Google Scholar] [CrossRef] [PubMed]
- Bhatnagar, A. Environmental determinants of cardiovascular disease. Circ. Res. 2017, 121, 162–180. [Google Scholar] [CrossRef] [PubMed]
- Tsunetsugu, Y.; Lee, J.; Park, B.J.; Tyrväinen, L.; Kagawa, T.; Miyazaki, Y. Physiological and psychological effects of viewing urban forest landscapes assessed by multiple measurements. Landsc. Urban Plan. 2013, 113, 90–93. [Google Scholar] [CrossRef]
- Hartig, T.; Mitchell, R.; De Vries, S.; Frumkin, H. Nature and health. Annu. Rev. Public Health 2014, 35, 207–228. [Google Scholar] [CrossRef]
- Bielinis, E.; Takayama, N.; Boiko, S.; Omelan, A.; Bielinis, L. The effect of winter forest bathing on psychological relaxation of young Polish adults. Urban For. Urban Green. 2018, 29, 276–283. [Google Scholar] [CrossRef]
- Li, C.; Sun, C.; Sun, M.; Yuan, Y.; Li, P. Effects of brightness levels on stress recovery when viewing a virtual reality forest with simulated natural light. Urban For. Urban Green. 2020, 56, 126865. [Google Scholar] [CrossRef]
- Lee, J.; Park, B.J.; Tsunetsugu, Y.; Kagawa, T.; Miyazaki, Y. Restorative effects of viewing real forest landscapes, based on a comparison with urban landscapes. Scand. J. For. Res. 2009, 24, 227–234. [Google Scholar] [CrossRef]
- Park, B.J.; Tsunetsugu, Y.; Kasetani, T.; Kagawa, T.; Miyazaki, Y. The physiological effects of Shinrin-yoku (taking in the forest atmosphere or forest bathing): Evidence from field experiments in 24 forests across Japan. Environ. Health Prev. Med. 2010, 15, 18–26. [Google Scholar] [CrossRef]
- Tomao, A.; Secondi, L.; Carrus, G.; Corona, P.; Portoghesi, L.; Agrimi, M. Restorative urban forests: Exploring the relationships between forest stand structure, perceived restorativeness and benefits gained by visitors to coastal Pinus pinea forests. Ecol. Indic. 2018, 90, 594–605. [Google Scholar] [CrossRef]
- Horiuchi, M.; Endo, J.; Takayama, N.; Murase, K.; Nishiyama, N.; Saito, H.; Fujiwara, A. Impact of viewing vs. not viewing a real forest on physiological and psychological responses in the same setting. Int. J. Environ. Res. Public Health 2014, 11, 10883–10901. [Google Scholar] [CrossRef] [PubMed]
- Song, C.; Ikei, H.; Kobayashi, M.; Miura, T.; Taue, M.; Kagawa, T.; Li, Q.; Kumeda, S.; Imai, M.; Miyazaki, Y. Effect of forest walking on autonomic nervous system activity in middle-aged hypertensive individuals: A pilot study. Int. J. Environ. Res. Public Health 2015, 12, 2687–2699. [Google Scholar] [CrossRef] [PubMed]
- Song, C.; Ikei, H.; Miyazaki, Y. Physiological effects of visual stimulation with forest imagery. Int. J. Environ. Res. Public Health 2018, 15, 213. [Google Scholar] [CrossRef] [PubMed]
- Yu, C.P.; Lee, H.Y.; Luo, X.Y. The effect of virtual reality forest and urban environments on physiological and psychological responses. Urban For. Urban Green. 2018, 35, 106–114. [Google Scholar] [CrossRef]
- Furuyashiki, A.; Tabuchi, K.; Norikoshi, K.; Kobayashi, T.; Oriyama, S. A comparative study of the physiological and psychological effects of forest bathing (Shinrin-yoku) on working age people with and without depressive tendencies. Environ. Health Prev. Med. 2019, 24, 1–11. [Google Scholar] [CrossRef]
- Zabini, F.; Albanese, L.; Becheri, F.R.; Gavazzi, G.; Giganti, F.; Giovanelli, F.; Gronchi, G.; Guazzini, A.; Laurino, M.; Li, Q.; et al. Comparative study of the restorative effects of forest and urban videos during COVID-19 lockdown: Intrinsic and benchmark values. Int. J. Environ. Res. Public Health 2020, 17, 8011. [Google Scholar] [CrossRef]
- Yu, C.P.S.; Hsieh, H. Beyond restorative benefits: Evaluating the effect of forest therapy on creativity. Urban For. Urban Green. 2020, 51, 126670. [Google Scholar] [CrossRef]
- Guan, H.; Wei, H.; He, X.; Ren, Z.; An, B. The tree-species-specific effect of forest bathing on perceived anxiety alleviation of young-adults in urban forests. Ann. For. Res. 2017, 60, 327–341. [Google Scholar] [CrossRef]
- Annerstedt, M.; Norman, J.; Boman, M.; Mattsson, L.; Grahn, P.; Währborg, P. Finding stress relief in a forest. Ecol. Bull. 2010, 53, 33–42. [Google Scholar]
- Wang, X.; Shi, Y.; Zhang, B.; Chiang, Y. The influence of forest resting environments on stress using virtual reality. Int. J. Environ. Res. Public Health 2019, 16, 3263. [Google Scholar] [CrossRef] [PubMed]
- Lin, W.; Chen, Q.; Zhang, X.; Tao, J.; Liu, Z.; Lyu, B.; Li, N.; Li, D.; Zeng, C. Effects of different bamboo forest spaces on psychophysiological stress and spatial scale evaluation. Forests 2020, 11, 616. [Google Scholar] [CrossRef]
- Chiang, Y.C.; Li, D.; Jane, H.A. Wild or tended nature? The effects of landscape location and vegetation density on physiological and psychological responses. Landsc. Urban Plan. 2017, 167, 72–83. [Google Scholar] [CrossRef]
- Elsadek, M.; Liu, B.; Lian, Z.; Xie, J. The influence of urban roadside trees and their physical environment on stress relief measures: A field experiment in Shanghai. Urban For. Urban Green. 2019, 42, 51–60. [Google Scholar] [CrossRef]
- An, K.W.; Kim, E.I.; Joen, K.S.; Setsu, T. Effects of forest stand density on human’s physio phychological changes. J. Fac. Agr. Kyushu U. 2004, 49, 283–291. [Google Scholar]
- Park, B.J.; Furuya, K.; Kasetani, T.; Takayama, N.; Kagawa, T.; Miyazaki, Y. Relationship between psychological responses and physical environments in forest settings. Landsc. Urban Plan. 2011, 102, 24–32. [Google Scholar] [CrossRef]
- Annerstedt, M.; Jönsson, P.; Wallergård, M.; Johansson, G.; Karlson, B.; Grahn, P.; Hansen, Å.M.; Währborg, P. Inducing physiological stress recovery with sounds of nature in a virtual reality forest—Results from a pilot study. Physiol. Behav. 2013, 118, 240–250. [Google Scholar] [CrossRef]
- Jo, H.; Song, C.; Ikei, H.; Enomoto, S.; Kobayashi, H.; Miyazaki, Y. Physiological and psychological effects of forest and urban sounds using high-resolution sound sources. Int. J. Environ. Res. Public Health 2019, 16, 2649. [Google Scholar] [CrossRef]
- Song, C.; Ikei, H.; Miyazaki, Y. Effects of forest-derived visual, auditory, and combined stimuli. Urban For. Urban Green. 2021, 64, 127253. [Google Scholar] [CrossRef]
- Stigsdotter, U.K.; Corazon, S.S.; Sidenius, U.; Refshauge, A.D.; Grahn, P. Forest design for mental health promotion—Using perceived sensory dimensions to elicit restorative responses. Landsc. Urban Plan. 2017, 160, 1–15. [Google Scholar] [CrossRef]
- Gao, T.; Zhang, T.; Zhu, L.; Gao, Y.; Qiu, L. Exploring psychophysiological restoration and individual preference in the different environments based on virtual reality. Int. J. Environ. Res. Public Health 2019, 16, 3102. [Google Scholar] [CrossRef] [PubMed]
- Eriksson, L.; Nordlund, A.M.; Olsson, O.; Westin, K. Recreation in different forest settings: A scene preference study. Forests 2012, 3, 923–943. [Google Scholar] [CrossRef]
- Han, K.T. An exploration of relationships among the responses to natural scenes: Scenic beauty, preference, and restoration. Environ. Behav. 2010, 42, 243–270. [Google Scholar] [CrossRef]
- Hoyle, H.; Hitchmough, J.; Jorgensen, A. All about the ‘wow factor’? The relationships between aesthetics, restorative effect and perceived biodiversity in designed urban planting. Landsc. Urban Plan. 2017, 164, 109–123. [Google Scholar] [CrossRef]
- Weekes, N.Y.; Lewis, R.S.; Goto, S.G.; Garrison-Jakel, J.; Patel, F.; Lupien, S. The effect of an environmental stressor on gender differences on the awakening cortisol response. Psychoneuroendocrinology 2008, 33, 766–772. [Google Scholar] [CrossRef] [PubMed]
- Holden, C. Sex and the suffering brain. Science 2005, 308, 1574. [Google Scholar] [CrossRef]
- Kudielka, B.M.; Kirschbaum, C. Sex differences in HPA axis responses to stress: A review. Biol. Psychol. 2005, 69, 113–132. [Google Scholar] [CrossRef]
- Kang, N.; Li, S.; Li, F. Study on the effect of different landscapes on human psychology. Chin. Landsc. Archit. 2008, 7, 69–72. [Google Scholar]
- Liu, B.X.; Xu, Y. Study on the effects of different landscapes on elderly people’s body-mind health. Landsc. Archit. 2016, 7, 113–120. [Google Scholar]
- Zhao, R.; Zhang, Y.; Wang, X.; Niu, L. Effects of paeonia suffruticosa viewing on physiology and psychology of university students. Landsc. Archit. 2019, 26, 109–113. [Google Scholar]
- Elsadek, M.; Sun, M.; Sugiyama, R.; Fujii, E. Cross-cultural comparison of physiological and psychological responses to different garden styles. Urban For. Urban Green. 2019, 38, 74–83. [Google Scholar] [CrossRef]
- Jiang, B.; Chang, C.Y.; Sullivan, W.C. A dose of nature: Tree cover, stress reduction, and gender differences. Landsc. Urban Plan. 2014, 132, 26–36. [Google Scholar] [CrossRef]
- Liu, P.; Liu, M.; Xia, T.; Wang, Y.; Wei, H. Can urban forest settings evoke positive emotion? Evidence on facial expressions and detection of driving factors. Sustainability 2021, 13, 8687. [Google Scholar] [CrossRef]
- Lundberg, U. Stress hormones in health and illness: The roles of work and gender. Psychoneuroendocrinology 2005, 30, 1017–1021. [Google Scholar] [CrossRef] [PubMed]
- Miron, J.; Casteràs, D.P.; Gil, M.V.; Ventura, G.N.; Álvarez, N.C.; Goldberg, X. Perceived stress, anxiety and depression among undergraduate students. Eur. Neuropsychopharmacol. 2019, 29, S589. [Google Scholar] [CrossRef]
- Jiang, M.; Hassan, A.; Chen, Q.; Liu, Y. Effects of different landscape visual stimuli on psychophysiological responses in Chinese students. Indoor Built Environ. 2020, 29, 1006–1016. [Google Scholar] [CrossRef]
- Birenboim, A.; Dijst, M.; Ettema, D.; De Kruijf, J.; De Leeuw, G.; Dogterom, N. The utilization of immersive virtual environments for the investigation of environmental preferences. Landsc. Urban Plan. 2019, 189, 129–138. [Google Scholar] [CrossRef]
- Heydarian, A.; Carneiro, J.P.; Gerber, D.; Becerik-Gerber, B.; Hayes, T.; Wood, W. Immersive virtual environments versus physical built environments: A benchmarking study for building design and user-built environment explorations. Automat. Constr. 2015, 54, 116–126. [Google Scholar] [CrossRef]
- Smith, J.W. Immersive virtual environment technology to supplement environmental perception, preference and behavior research: A review with applications. Int. J. Environ. Res. Public Health 2015, 12, 11486–11505. [Google Scholar] [CrossRef]
- Shi, J.; Honjo, T.; Zhang, K.; Furuya, K. Using virtual reality to assess landscape: A comparative study between on-site survey and virtual reality of aesthetic preference and landscape cognition. Sustainability 2020, 12, 2875. [Google Scholar] [CrossRef]
- Browning, M.H.; Mimnaugh, K.J.; Van Riper, C.J.; Laurent, H.K.; LaValle, S.M. Can simulated nature support mental health? Comparing short, single-doses of 360-degree nature videos in virtual reality with the outdoors. Front. Psychol. 2020, 10, 2667. [Google Scholar] [CrossRef] [PubMed]
- Anderson, L.M.; Mulligan, B.E.; Goodman, L.S.; Regen, H.Z. Effects of sounds on preferences for outdoor settings. Environ. Behav. 1983, 15, 539–566. [Google Scholar] [CrossRef]
- Ulrich, R.S.; Simons, R.F.; Losito, B.D.; Fiorito, E.; Miles, M.A.; Zelson, M. Stress recovery during exposure to natural and urban environments. J. Environ. Psychol. 1991, 11, 201–230. [Google Scholar] [CrossRef]
- Einöther, S.J.; Baas, M.; Rowson, M.; Giesbrecht, T. Investigating the effects of tea, water and a positive affect induction on mood and creativity. Food Qual. Prefer. 2015, 39, 56–61. [Google Scholar] [CrossRef]
- Yang, J.; Hou, Y.; Yang, Y.; Zhang, Q.L. Impact of Trier Social Stress Test (TSST) on salivary cortisol secretion. Acta Psychologica. Sin. 2011, 43, 403. [Google Scholar] [CrossRef]
- Von Dawans, B.; Kirschbaum, C.; Heinrichs, M. The trier social stress test for groups (TSST-G): A new research tool for controlled simultaneous social stress exposure in a group format. Psychoneuroendocrinology 2011, 36, 514–522. [Google Scholar] [CrossRef]
- Ueda, H.; Machida, K.; Kawamura, N.; Koseki, N. A study on the process of mood alteration through forest walking. J. Jpn. Inst. Landsc. Archit. 2013, 76, 533–538. [Google Scholar] [CrossRef]
- Yu, C.P.; Lee, H.Y.; Lu, W.H.; Huang, Y.C.; Browning, M.H. Restorative effects of virtual natural settings on middle-aged and elderly adults. Urban For. Urban Green. 2020, 56, 126863. [Google Scholar] [CrossRef]
- Gao, Y.; Zhang, T.; Zhang, W.; Meng, H.; Zhang, Z. Research on visual behavior characteristics and cognitive evaluation of different types of forest landscape spaces. Urban For. Urban Green. 2020, 54, 126788. [Google Scholar] [CrossRef]
- Chun, M.H.; Chang, M.C.; Lee, S.J. The effects of forest therapy on depression and anxiety in patients with chronic stroke. Int. J. Neurosci. 2017, 127, 199–203. [Google Scholar] [CrossRef]
- Bagot, K.L.; Allen, F.C.L.; Toukhsati, S. Perceived restorativeness of children’s school playground environments: Nature, playground features and play period experiences. J. Environ. Psychol. 2015, 41, 1–9. [Google Scholar] [CrossRef]
- Akpinar, A. How is high school greenness related to students’ restoration and health? Urban For. Urban Green. 2016, 16, 1–8. [Google Scholar] [CrossRef]
- Stroud, L.R.; Salovey, P.; Epel, E.S. Sex differences in stress responses: Social rejection versus achievement stress. Biol. Psychiatry 2002, 52, 318–327. [Google Scholar] [CrossRef] [PubMed]
- Chaplin, T.M.; Hong, K.; Bergquist, K.; Sinha, R. Gender differences in response to emotional stress: An assessment across subjective, behavioral, and physiological domains and relations to alcohol craving. Alcohol. Clin. Exp. Res. 2008, 32, 1242–1250. [Google Scholar] [CrossRef] [PubMed]
- Chaplin, T.M. Gender and emotion expression: A developmental contextual perspective. Emot. Rev. 2015, 7, 14–21. [Google Scholar] [CrossRef]
- Yuan, J.; Wang, Y.; Ju, E.; Li, H. Gender differences in emotional processing and its neural mechanisms. Adv. Psychol. Sci. 2010, 18, 1899. [Google Scholar]
- Guo, X.; Liu, J.; Albert, C.; Hong, X.C. Audio-visual interaction and visitor characteristics affect perceived soundscape restorativeness: Case study in five parks in China. Urban For. Urban Green. 2022, 77, 127738. [Google Scholar] [CrossRef]
- Akpınar, A. How perceived sensory dimensions of urban green spaces are associated with teenagers’ perceived restoration, stress, and mental health? Landsc. Urban Plan. 2021, 214, 104185. [Google Scholar] [CrossRef]
- Hegetschweiler, K.T.; Wartmann, F.M.; Dubernet, I.; Fischer, C.; Hunziker, M. Urban forest usage and perception of ecosystem services–A comparison between teenagers and adults. Urban For. Urban Green. 2022, 74, 127624. [Google Scholar] [CrossRef]
- Ma, B.; Hauer, R.J.; Xu, C.; Li, W. Visualizing evaluation model of human perceptions and characteristic indicators of landscape visual quality in urban green spaces by using nomograms. Urban For. Urban Green. 2021, 65, 127314. [Google Scholar] [CrossRef]
- Birch, J.; Rishbeth, C.; Payne, S.R. Nature doesn’t judge you—How urban nature supports young people’s mental health and wellbeing in a diverse UK city. Health Place 2020, 62, 102296. [Google Scholar] [CrossRef] [PubMed]
- Hansen, E.B.; Breivik, G. Sensation seeking as a predictor of positive and negative risk behaviour among adolescents. Pers. Individ. Dif. 2001, 30, 627–640. [Google Scholar] [CrossRef]
- Appleton, J. The Experience of Landscape; Wiley: New York, NY, USA, 1996; p. 282. [Google Scholar]
- Fischer, M.A.; Shrout, P.E. Children’s liking of landscape paintings as a function of their perceptions of prospect, refuge, and hazard. Environ. Behav. 2006, 38, 373–393. [Google Scholar] [CrossRef]
- Sema, M.; Tuba, D.Z.; Ali, O.Z. Prospect and refuge as the predictors of preferences for seating areas. Sci. Res. Essays 2010, 5, 1223–1233. [Google Scholar]
- Huang, Y.; Fu, W.; Weng, Y.; Wang, M. A Study on the relationship between individual landscape preference, perceived restorativeness scale and health benefits assessment of urban forest pathway—A case study of Fudao. J. Chin. Landsc. Archit. 2020, 36, 73–78. [Google Scholar]
- Van Kamp, I.; Klaeboe, R.; Kruize, H.; Brown, A.L.; Lercher, P. Soundscapes, human restoration, and quality of life. In Proceedings of the INTER-NOISE and NOISE-CON Congress and Conference Proceedings, Hamburg, Germany, 21–24 August 2016; pp. 1205–1215. [Google Scholar]
- Kang, J.; Aletta, F.; Gjestland, T.T.; Brown, L.A.; Botteldooren, D.; Schulte-Fortkamp, B.; Lercher, P.; van Kamp, I.; Genuit, K.; Fiebig, A.; et al. Ten questions on the soundscapes of the built environment. Build. Environ. 2016, 108, 284–294. [Google Scholar] [CrossRef]









| Panoramic Image of Sample Space | |||
|---|---|---|---|
![]() | ![]() | ![]() | |
| The type of space | Overlook landscape space | Dynamic water landscape space | Static water landscape space |
| Location | Phoenix Mountain National Scenic Area | Phoenix Mountain National Scenic Area | Greenstone Valley National Forest Park |
| Constituent elements | Red leaves trees, distant mountains etc. | Red leaves trees, flowing water, stone, bridge, etc. | Calm lake, distant mountains, etc. |
| Spatial features | Open and transparent, highly maintained | Semi-open, plants rich in colour | Open, fewer plants |
![]() | ![]() | ![]() | |
| The type of space | Coniferous forest landscape space | Broadleaf forest landscape space | Mixed forest landscape space |
| Location | “Liberation Forest” in Caohekou, Benxi City | Heyi National Forest Park | “Liberation Forest” in Caohekou, Benxi City |
| Constituent elements | Korean pine, Pinus sassafras etc. | Mongolian oak, artificial structure, etc. | Mongolian oak, Korean pine etc. |
| Spatial features | Single species, tall and tidy trees | Highly maintained, rich in plant species | Rich in plant species |
| Characteristics | Total | OLS | DWS | SWS | CFS | BFS | MFS |
|---|---|---|---|---|---|---|---|
| Participant n (%) | 298 (100.0) | 49 (16.4) | 48 (16.1) | 51 (17.1) | 50 (16.8) | 51 (17.1) | 49 (16.4) |
| Gender n (%) | |||||||
| Male | 123 (41.3) | 20 (40.8) | 21 (43.8) | 20 (39.2) | 20 (40.0) | 22 (43.1) | 20 (40.8) |
| Female | 175 (58.7) | 29 (59.2) | 27 (56.3) | 31 (60.8) | 30 (60.0) | 29 (56.9) | 29 (59.2) |
| Age n (%) | |||||||
| 18–21 (74.8) | 244 (76.5) | 34 (69.4) | 34 (70.8) | 42 (82.4) | 38 (76.0) | 38 (74.5) | 37 (75.5) |
| 22–25 (25.2) | 75 (23.5) | 15 (30.6) | 14 (29.2) | 9 (17.6) | 12 (24.0) | 13 (25.5) | 12 (24.5) |
| Major n (%) | |||||||
| With forest knowledge background | 74 (24.8) | 11 (22.4) | 12 (25.0) | 11 (21.6) | 12 (24.0) | 17 (33.3) | 11 (22.4) |
| Without forest knowledge background | 224 (75.2) | 38 (77.6) | 36 (75.0) | 40 (78.4) | 38 (76.0) | 34 (66.7) | 38 (77.6) |
| OLS | DWS | SWS | CFS | BFS | MFS | F | p | ηp2 | ||
|---|---|---|---|---|---|---|---|---|---|---|
| n = 49 | n = 48 | n = 51 | n = 50 | n = 51 | n = 49 | |||||
| SBP | M ± SD | 113.49 ± 15.04 | 112.06 ± 13.00 | 110.12 ± 13.91 | 110.60 ± 13.19 | 110.41 ± 13.39 | 110.31 ± 12.03 | 0.486 | 0.787 | 0.008 |
| DBP | M ± SD | 71.90 ± 10.46 | 72.17 ± 10.44 | 69.49 ± 9.24 | 71.94 ± 9.41 | 71.43 ± 9.15 | 72.00 ± 10.00 | 0.537 | 0.748 | 0.009 |
| HR | M ± SD | 77.96 ± 10.93 | 77.71 ± 14.33 | 75.82 ± 12.14 | 74.70 ± 11.53 | 76.65 ± 10.98 | 76.51 ± 10.88 | 0.513 | 0.766 | 0.009 |
| P | M ± SD | 77.35 ± 10.96 | 76.94 ± 14.07 | 75.22 ± 12.30 | 74.32 ± 11.47 | 76.20 ± 11.63 | 75.61 ± 11.09 | 0.435 | 0.824 | 0.007 |
| Interest | M ± SD | 16.41 ± 4.09 | 16.19 ± 4.86 | 15.12 ± 3.68 | 16.42 ± 4.87 | 15.73 ± 3.48 | 15.98 ± 4.65 | 0.671 | 0.646 | 0.011 |
| Relaxation | M ± SD | 15.63 ± 3.63 | 15.38 ± 4.62 | 14.25 ± 3.58 | 15.52 ± 4.36 | 15.47 ± 3.90 | 15.69 ± 4.24 | 0.881 | 0.494 | 0.015 |
| Worry | M ± SD | 9.39 ± 3.42 | 10.77 ± 4.27 | 10.47 ± 4.33 | 9.34 ± 3.86 | 10.20 ± 3.58 | 8.96 ± 3.66 | 1.721 | 0.130 | 0.029 |
| TMD | M ± SD | −22.65 ± 8.95 | −20.79 ± 11.77 | −18.90 ± 9.43 | −22.60 ± 11.71 | −21.00 ± 8.55 | −22.71 ± 10.20 | 1.118 | 0.351 | 0.019 |
| M | SD | t | p | ||
|---|---|---|---|---|---|
| SBP | pre | 106.54 | 12.52 | −9.94 | 0.000 *** |
| post | 111.15 | 13.40 | |||
| DBP | pre | 68.68 | 8.76 | −6.63 | 0.000 *** |
| post | 71.47 | 9.75 | |||
| HR | pre | 74.92 | 9.99 | −3.57 | 0.000 *** |
| post | 76.54 | 11.80 | |||
| P | pre | 75.01 | 9.85 | −2.07 | 0.040 * |
| post | 75.93 | 11.90 | |||
| Interest | pre | 17.00 | 4.04 | 5.80 | 0.000 *** |
| post | 15.97 | 4.28 | |||
| Relaxation | pre | 18.55 | 3.61 | 15.53 | 0.000 *** |
| post | 15.32 | 4.06 | |||
| Worry | pre | 7.44 | 3.03 | −11.03 | 0.000 *** |
| post | 9.86 | 3.89 | |||
| TMD | pre | −28.11 | 8.31 | −13.96 | 0.000 *** |
| post | −21.43 | 10.17 |
| M | SD | t | p | ||
|---|---|---|---|---|---|
| SBP | pre | 111.148 | 13.403 | 10.848 | 0.000 *** |
| post | 105.554 | 12.457 | |||
| DBP | pre | 71.473 | 9.749 | 8.502 | 0.000 *** |
| post | 67.584 | 8.939 | |||
| HR | pre | 76.544 | 11.799 | 3.686 | 0.000 *** |
| post | 74.812 | 9.879 | |||
| P | pre | 75.926 | 11.900 | 1.845 | 0.000 *** |
| post | 75.064 | 9.625 | |||
| Interest | pre | 15.966 | 4.284 | −8.047 | 0.000 *** |
| post | 17.359 | 4.256 | |||
| Relaxation | pre | 15.319 | 4.062 | −16.541 | 0.000 *** |
| post | 19.010 | 3.843 | |||
| Worry | pre | 9.856 | 3.892 | 15.573 | 0.000 *** |
| post | 6.862 | 2.819 | |||
| TMD | pre | −21.430 | 10.174 | 17.084 | 0.000 *** |
| post | −29.507 | 8.911 |
| ∆SBP | ∆DBP | ∆HR | ∆P | ∆Interest | ∆Relaxation | ∆Worry | ∆TMD | ||
|---|---|---|---|---|---|---|---|---|---|
| Spearman’s rank correlation coefficient | |||||||||
| Male (n = 123) | Preference | 0.033 | −0.039 | −0.015 | 0.015 | 0.265 ** | 0.203 * | −0.114 | −0.256 ** |
| Female (n = 175) | Preference | −0.089 | −0.034 | 0.005 | −0.013 | 0.212 ** | 0.202 ** | −0.024 | −0.197 ** |
Disclaimer/Publisher’s Note: The statements, opinions and data contained in all publications are solely those of the individual author(s) and contributor(s) and not of MDPI and/or the editor(s). MDPI and/or the editor(s) disclaim responsibility for any injury to people or property resulting from any ideas, methods, instructions or products referred to in the content. |
© 2022 by the authors. Licensee MDPI, Basel, Switzerland. This article is an open access article distributed under the terms and conditions of the Creative Commons Attribution (CC BY) license (https://creativecommons.org/licenses/by/4.0/).
Share and Cite
Zhang, Z.; Chen, Y.; Qiao, X.; Zhang, W.; Meng, H.; Gao, Y.; Zhang, T. The Influence of Forest Landscape Spaces on Physical and Mental Restoration and Preferences of Young Adults of Different Genders. Forests 2023, 14, 37. https://doi.org/10.3390/f14010037
Zhang Z, Chen Y, Qiao X, Zhang W, Meng H, Gao Y, Zhang T. The Influence of Forest Landscape Spaces on Physical and Mental Restoration and Preferences of Young Adults of Different Genders. Forests. 2023; 14(1):37. https://doi.org/10.3390/f14010037
Chicago/Turabian StyleZhang, Zhi, Yanling Chen, Xinru Qiao, Weikang Zhang, Huan Meng, Yu Gao, and Tong Zhang. 2023. "The Influence of Forest Landscape Spaces on Physical and Mental Restoration and Preferences of Young Adults of Different Genders" Forests 14, no. 1: 37. https://doi.org/10.3390/f14010037
APA StyleZhang, Z., Chen, Y., Qiao, X., Zhang, W., Meng, H., Gao, Y., & Zhang, T. (2023). The Influence of Forest Landscape Spaces on Physical and Mental Restoration and Preferences of Young Adults of Different Genders. Forests, 14(1), 37. https://doi.org/10.3390/f14010037







