Next Article in Journal
Agroforestry-Enhancing Typification of Agricultural Territories as a Basic Condition for Increasing the Efficiency of Protective Afforestation
Previous Article in Journal
Before Becoming a World Heritage: Spatiotemporal Dynamics and Spatial Dependency of the Soundscapes in Kulangsu Scenic Area, China
 
 
Font Type:
Arial Georgia Verdana
Font Size:
Aa Aa Aa
Line Spacing:
Column Width:
Background:
Article

Seasonal Water Uptake Patterns of Different Plant Functional Types in the Monsoon Evergreen Broad-Leaved Forest of Southern China

Key Laboratory of Forest Ecology and Environment of National Forestry and Grassland Administration, Ecology and Nature Conservation Institute, Chinese Academy of Forestry, Beijing 100091, China
*
Author to whom correspondence should be addressed.
These authors contributed equally to this work.
Forests 2022, 13(9), 1527; https://doi.org/10.3390/f13091527
Submission received: 9 August 2022 / Revised: 13 September 2022 / Accepted: 15 September 2022 / Published: 19 September 2022
(This article belongs to the Section Forest Hydrology)

Abstract

:
The precipitation changes induced by climate warming have substantially increased extreme precipitation and seasonal drought events. Different plant functional types (PFTs) could exert an important role in resisting extreme climate. However, the patterns of plant water uptake in different PFTs remain uncertain, especially under different magnitudes of rainfall events. Here, we employed a stable hydrogen isotope (δD) to determine the water sources of different PFTs, including Castanopsis chinensis in the canopy layer, Schima superba in the canopy sublayer, Psychotria asiatica in the shrub layer, and Blechnum orientale on the forest floor in the monsoon evergreen broad-leaved forest in Dinghushan Biosphere Reserve, China. We further used a two-end linear mixing model to explore the water utilization among different PFTs. Our results revealed that precipitation and soil water before rainfall were the water sources of different PFTs. Furthermore, the proportions of precipitation utilized by S. superba in the canopy sublayer under light and moderate rainfalls were 6.9%–59.4% and 30.5%–66.3%, respectively, which were significantly higher than those of other species in both the dry and wet seasons. After heavy rainfall, the proportion of precipitation utilized by S. superba was the lowest (4.7%–26.5%), while B. orientale had the highest proportion of precipitation utilization (31.6%–91.5%), whether in the dry or wet season. These findings imply that different PFTs would compete with one another for water uptake. Especially under climate warming, the uneven distribution of precipitation would intensify the water competition among species, ultimately resulting in the plant community structure becoming much more unstable than before.

1. Introduction

Climate warming is expected to impact plant physiology, distribution, and interspecific interactions [1,2], thus inducing changes in plant functional types (PFTs) [3,4]. Hence, PFTs could be predictors of the response of vegetation to climate change [5]. Different PFTs in the same habitat highly depend on water resources [6,7]. Especially under climate warming, changes in global precipitation increase the frequency and intensity of extreme precipitation and seasonal drought [8,9], subsequently leading to shifts in the water niche relationship between different PFTs [10,11,12]. Therefore, clarifying the water use patterns of different PFTs could provide measures of forest management to resist climate warming.
Numerous studies have revealed the water uptake patterns of different PFTs in forest ecosystems [13,14]. However, our knowledge on the water use strategies of different PFTs is still restricted by the following two aspects. First, the water absorption patterns of different PFTs remain controversial. Previous studies have illustrated that a difference exists in the water uptake patterns among various PFTs such as woody and herbaceous plants in a forest [15,16,17,18]. Generally, xylophyta in the canopy layer mainly absorb deep soil water or groundwater [19], while shrubs and herbs mainly use precipitation or shallow soil water [20]. In contrast, a recent study reported that in a mixed-hardwood forest of central Pennsylvania, woody plants—including Pinus spp. and Quercus spp.—relied considerably on shallow soil water, even in the drier parts of the growing season [21]. These inconsistent results suggest that the water uptake patterns of different PFTs in the same habitat are obscure. Therefore, it is essential to explore the patterns of plant water uptake in such PFTs.
Second, it remains unclear whether seasonal differences affect the water use patterns of different PFTs. It has been demonstrated that both Pinus halepensis and Robinia pseudoacacia in the canopy layer primarily utilize deep soil water or groundwater in the dry season and shallow soil water or rainfall in the wet season [22,23]. On the contrary, evergreen species in the canopy layer mainly absorbed shallow soil water in a typical karst forest in both dry and wet seasons [24]. These inconsistent observations suggest that more site-specific studies are needed to explore the water uptake patterns of different PFTs in various seasons. More importantly, with climate warming, the precipitation in each season will change [25,26]. However, our understanding of the impact of the various magnitudes of precipitation on the water uptake of different PFTs remains unclear. Therefore, there is an urgent need to explore the water use strategies of different PFTs following different magnitudes of precipitation in the dry and wet seasons.
To explore the proportion of precipitation utilized by different PFTs, we selected a monsoon evergreen broad-leaved forest with different PFTs, including Castanopsis chinensis in the canopy layer, Schima superba in the canopy sublayer, Psychotria asiatica in the shrub layer, and Blechnum orientale on the forest floor, in the Dinghushan Biosphere Reserve, China. Then, we employed a stable hydrogen isotope to analyze the precipitation utilization of the plants following six rainfall events in the dry and wet seasons. This study primarily tests the following two hypotheses: (1) these PFTs will show different water uptake patterns, i.e., C. chinensis in the canopy layer and S. superba in the canopy sublayer will have a low proportion of rainfall utilization, while P. asiatica in the shrub layer and B. orientale on the forest floor will have a high proportion of rainfall utilization; (2) significant differences will exist in the water uptake patterns of the four PFTs between the dry and wet seasons. The objective of this study is to explore the proportion of precipitation utilized by the different PFTs after different magnitudes of precipitation in the dry and wet seasons.

2. Materials and Methods

2.1. Study Area

The study area was located in the Dinghushan Biosphere Reserve (23°09′21″ N–23°11′30″ N, 112°30′39″ E–112°33′41″ E) in Guangdong Province, South China. The Dinghushan Biosphere Reserve was recognized as the first National Natural Reserve of China, with a total area of 11.56 km2 and a peak elevation of 1000 m [27]. The area is characterized by a typical southern subtropical monsoon climate. Its mean annual temperature and relative humidity are 21.0 °C and 77.7%, respectively, with the maximum mean monthly temperature being 28.0 °C in August and the minimum being 12.6 °C in January. The mean annual precipitation is 1956 mm, with distinct seasonality (Figure 1). Approximately 80% of the rain falls in the warm–wet season (April–September) and only 20% falls in the cool–dry season (October–March) [27,28]. The monsoon evergreen broad-leaved forest, as the late succession stage and the local climax vegetation without human disturbance in the Dinghushan Biosphere Reserve, has been maintained for more than 400 years [29,30]. The dominant tree species include C. chinensis, S. superba, Cryptocarya chinensis, and Aporusa yunnanensis. P. asiatica and Blastus cochinchinensis always firmly occupy the leading status in the shrub species. The dominant species of herbaceous plants are B. orientale and Diplazium donianum. The soil type is categorized as lateritic red soil, with a soil profile usually ranging from 60 to 100 cm in depth [28].

2.2. Rainfall Events Selection

According to the standard of light (0–10 mm), moderate (10–25 mm), and heavy rainfall (>25 mm), six different rainfall events were selected, including 5.4 mm on 1 October 2013, 9.8 mm on 27 July 2014, 11.2 mm on 22 February 2014, 20.0 mm on 8 September 2013, 36.0 mm on 2 July 2013, and 45.8 mm on 18 December 2013. Specifically, the rainfall events of 5.4, 11.2, and 45.8 mm occurred in the dry season, while the other three rainfall events occurred in the wet season. Rainfall events of less than 5 mm were not considered. No rainfall was observed for five consecutive days following the six rainfall events.

2.3. Field Sampling

Three 20 × 20 m plots were randomly established in the monsoon evergreen broad-leaved forest. In each plot, four representative species, namely, C. chinensis, S. superba, P. asiatica, and B. orientale, were collected. In each sampling plot, three replicate standard plants for the four representative species were selected for sampling the xylem. For each of the tree and shrub species, three healthy plants with a similar canopy size were chosen and 3–4-centimeter segments of the middle of the plant stems facing the sunlight were collected for extracting plant stem water. In the case of herbaceous plants, three healthy plants with a similar cover, height, and base stem were selected as three replicates, and 2–3-centimeter-long basal stems of each plant were collected. Before each rainfall event, plant stem samples were collected. This kind of sample was also collected daily for a period of five days following each rainfall event.
Additionally, three soil profiles were dug to a depth of 100 cm in the plots, close to the place where the plants were sampled. Soil samples were collected before rainfall from each of the four soil layers (0–10, 10–40, 40–80, and 80–100 cm) to determine the δD value of the soil water before rainfall. In addition, the soil samples were sealed in soil cylinders and the gravimetric water content was measured later, expressed as grams of water per 100 g of dry soil (oven-drying method) [20].
Three rain gauges were installed in each of the three forestless lands in the monsoon evergreen broad-leaved forest to measure the daily accumulated rainfall and to collect precipitation samples. All of the rainfall samplings were collected each day between 7:00 a.m. and 8:00 a.m. to prevent evaporation. These samples were a mix of the daily rainwater from the three rain gauges.
Shallow groundwater samples were collected every day in two wells with a 2-meter depth after rainfall occurred and then mixed into one sample. Of the two wells, one was near the study site (112°32’17.38” E, 23°10’33.99” N) and the other was at the foot of a mountain (112°32’54.70” E, 23°9’58.62” N).
All of the collected samples were placed in glass bottles and sealed with parafilm and then immediately stored in a freezer at −18 °C. The precipitation and shallow groundwater samples were collected daily in the time window of 7:00–8:00 am, and other samples were collected between 8:00 a.m. and 10:00 a.m.

2.4. Sample Pretreatment and Stable Isotope Analysis

The water in the soil and plant stem samples was cryogenically extracted. The hydrogen isotope ratios of the extracted water, groundwater, and rainwater were measured with an isotope ratio mass spectrometer (Delta V Advantage, Thermo Fisher Scientific, Inc., Waltham, MA, USA) coupled with an elemental analyzer (Flash 2000 HT, Thermo Fisher Scientific, Inc., Waltham, MA, USA). The precision for the δD analysis was ±1‰. The hydrogen isotope ratio was expressed in delta units, i.e., δD (‰):
δ = R sample R standard - 1 × 1000
where Rsample and Rstandard refer to the D/H molar ratios of the sample and the standard (i.e., SMOW), respectively.

2.5. Proportion of Precipitation Utilized by the Plants

By comparing the δD values of the plant stem water to those of the potential water (precipitation, shallow groundwater, and soil water before rainfall), both precipitation and soil water before rainfall could be determined as the water sources of the plants. Given that the plant stem water was derived from two sources (namely precipitation and soil water before rainfall) in our case, a single two-ended linear mixing model could be used to determine the proportion of precipitation utilized by the plants as Equation (2) [31]:
P P   = δ D PW - δ D SW δ D P - δ D SW × 100 %
where PP is the proportion of precipitation utilized by the plants and δDPW, δDSW, and δDP are the δD values of plant xylem water, soil water before rainfall, and precipitation, respectively.

2.6. Plant Root Collection

Three well-growing plants for each of the tree and shrub species in the plots were collected for root biomass surveys. At a distance of 0.5–1.0 m from the main stem of each plant, plant roots were collected from the four soil layers of 0–10, 10–40, 40–80, and 80–100 cm by digging. From each of the four soil layers, soil of 30 cm (length) × 30 cm (width) × 20 cm (depth) along the soil profile was gathered, and the plant roots were collected by sieving. The roots were separated into live and dead roots (debris) according to their color and tensile strength [32]. The live roots were sorted by root diameter and divided into coarse (>5 mm), medium (2–5 mm), and fine (≤2 mm) roots. The three kinds of roots were dried to constant weight in an oven and weighed to calculate the root biomass.

2.7. Statistical Analyses

We conducted a one-way ANOVA to test the differences in the proportions of precipitation utilized by the four PFTs, i.e., C. chinensis, S. superba, P. asiatica, and B. orientale. We further used an ordinary least squares regression analysis to examine the relationships between the proportion of precipitation utilized by S. superba and the soil moisture before rainfall. All of the analyses were performed with SPSS (Inc., Chicago, IL, USA).

3. Results

3.1. Changes in δD of the Plant Stem Water

Following the six rainfall events, the δD values of the stem water in these four different PFTs were distributed between the δD values of precipitation and soil water before rainfall, suggesting that the plant water mainly originated from both the precipitation and the soil water before rainfall (Figure 2).
Following the 5.4 mm rainfall event in the dry season, the δD values of the stem water in C. chinensis, S. superba, P. asiatica, and B. orientale were −38.2 to −35.1‰, −41.2 to −39.9‰, −40.4‰ to −38.1‰, and −40.4‰ to −38.1‰, respectively. The stem water δD value of S. superba in the canopy sublayer was the closest to that in precipitation (Figure 2a). Similarly, this phenomenon was also observed following the 11.2 mm rainfall event in the dry season and the 9.8 mm and 20.0 mm rainfall events in the wet season (Figure 2b,d,e). In contrast, the δD value in the stem water of B. orientale was the closest to that in precipitation following the 45.8 mm rainfall event in the dry season and the 36.0 mm rainfall event in the wet season (Figure 2c,f).

3.2. The Proportion of Precipitation Utilized by the Plants

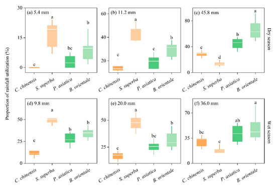
Following light and moderate rainfall events in both the dry and wet seasons, the proportion of precipitation utilized by the plants from highest to lowest was as follows: S. superba > B. orientale > P. asiatica > C. chinensis (Figure 3a,b,d,e). Among them, the proportion of precipitation utilized by S. superba under light rainfall was significantly higher than that of the other species, regardless of the season (p < 0.05; Figure 3a,d). Similarly, the proportion of precipitation utilized by S. superba under moderate rainfall was the largest in the wet season (p < 0.05; Figure 3e). In addition, the utilized proportion of precipitation of C. chinensis under light and moderate rainfall was significantly lower than that of the other species in the wet season (p < 0.05, Figure 3d,e).
In contrast to the light and moderate rainfall events, the order of the proportion of heavy rainfall utilized by the plants was B. orientale > P. asiatica > C. chinensis > S. superba, whether in the dry or wet season (Figure 3c,f). Specifically, the proportion of heavy rainfall utilized by B. orientale was significantly higher than that of the other species in the dry season (p < 0.05; Figure 3c), while the proportion of heavy rainfall utilized by S. superba was the lowest in the dry season (p < 0.05; Figure 3c).
The C. chinensis, P. asiatica, and B. orientale plants had relatively lower utilization proportions of light and moderate rainfalls (Figure 3a,b,d,e) but showed a higher utilization proportion of heavy rainfall in both the dry and wet seasons (Figure 3c,f). On the contrary, S. superba showed a higher consumption of light and moderate rainfalls (Figure 3a,b,d,e) but a lower consumption of heavy rainfall (Figure 3c,f).

3.3. Root Distribution of the Plants

With respect to C. chinensis, the percentages of fine root biomass in the four soil layers were 18.0%, 47.0%, 29.2%, and 5.6%, respectively (Figure 4a), of which the fine root biomass within the 0–40 cm soil layer accounted for 65% of the total fine biomass. For S. superba, the percentages of fine root biomass in the four soil layers were 20.9%, 39.4%, 35.3%, and 4.4%, respectively (Figure 4b). Regarding P. asiatica, the fine roots were mainly distributed within a depth of 10–80 cm, accounting for 87% of the total fine roots (Figure 4c). Moreover, most of the fine roots of B. orientale existed in the 0–40 cm soil layer (Figure 4d).

4. Discussion

Our results show that the proportion of precipitation utilized by C. chinensis in the canopy layer was significantly lower than that of B. orientale on the forest floor, which supports our first hypothesis. This phenomenon may be attributed to the divergent proportion of fine root distribution [33]. Generally, shrubs and herbs are shallow-rooted species, and their roots are mostly distributed in the shallow soil layer, especially in subtropical forests. Thus, they tend to absorb more rainfall rather than soil water. On the contrary, arbors with a deeper root distribution exhibit a lower proportion of precipitation utilization [34]. In this study, the fine roots of B. orientale were mainly distributed at a soil depth of 0–40 cm, accounting for 99% of the total fine roots, while for C. chinensis, only 65% of the fine root biomass was distributed in the 0–40 cm soil layer. Therefore, the proportion of precipitation utilized by C. chinensis was significantly lower than that of B. orientale.
Although S. superba had the lowest absorbed proportion of heavy rainfall, it had the highest utilized proportion of light and moderate rainfalls compared to the other species in the shrub and herb layers. These results are contrary to the traditional view that trees in the canopy and sub-canopy layers mainly absorb deep soil water or groundwater [35] while plants in the shrub and herb layers primarily absorb precipitation or shallow soil water in the forest ecosystem [36,37]. Our results illustrated that tree species such as S. superba still absorbed substantial precipitation after light and moderate rainfall, even in subtropical regions with sufficient precipitation. This observation may be attributed to the distribution of the fine root biomass of S. superba and the soil moisture before rainfall. Specifically, at our study site, the amount of fine root biomass of S. superba distributed in each soil layer was higher than that of the other species (Figure 4); thus, its water absorption capacity was stronger than that of the others [24,38,39]. More importantly, before the occurrence of light and moderate rainfall, the soil moisture was low at the study site, with a mean value of 16% and 20%, respectively. Under this condition, S. superba may have been in a state of water shortage. Therefore, the proportions of light and moderate rainfall utilized by S. superba were significantly higher than those of the other species. In contrast, before the occurrence of heavy rainfall, the soil moisture (30%–40%) at the study site was higher than that before light and moderate rainfall. Hence, the plant species had no water shortage problem under this condition. Even if heavy rainfall occurred, the proportion of heavy rainfall utilized by S. superba was still the lowest. This deduction was also supported by the negative correlation between the water use pattern of S. superba and the soil moisture before rainfall (Figure 5), suggesting that the low soil moisture before rainfall increased the plant’s water demand [40]. Hence, after the occurrence of light and moderate rainfall, S. superba showed a higher proportion of precipitation utilization. Our findings imply that not all PFTs follow their water niches to maintain community stability (e.g., S. superba), which may result in water competition across the PFTs, especially after light and moderate rainfall.
Previous studies have reported seasonal dynamics in plant water uptake. For instance, Betula utilis and Bashania fangiana mainly absorb rainfall in the wet season but utilize shallow soil water at a depth of 0–40 cm in the dry season [19]. However, in our case, the water uptake patterns of the four PFTs showed no significant changes in either the dry or wet season (Figure 3), which does not support our second hypothesis. The different plant water uptake patterns in the dry and wet seasons between the current study and previous work could be due to the distinct differences in soil moisture [41,42,43]. Specifically, there were no significant differences in the soil moisture before rainfall between the dry and wet seasons at this study site (Figure 6a). By comparison, the study site investigated by Xu et al. [19] showed distinct differences in soil moisture between the dry and wet seasons (Figure 6b) and consequently induced different plant water uptake patterns in the dry and wet seasons. Collectively, different changes in soil moisture among the two seasons determine whether seasonal dynamics exist in plant water uptake.
Although this study provides evidence of the water uptake patterns of four PFTs in southern subtropical China, some uncertainties still exist in our case. First, the limited number of study sites may induce uncertainty regarding the water uptake patterns of the four PFTs in the subtropical forest. Despite different water uptake patterns being observed among the four PFTs at this site, more sites are needed to confirm this phenomenon. Second, previous studies have pointed out that water extraction techniques may influence the analysis of water uptake patterns [44]. However, this view was negated by a recent study [45]. Therefore, more research is needed to advance our understanding of whether water extraction techniques influence the analysis of plant water uptake.

5. Conclusions

The primary water sources of the four different PFTs investigated here (C. chinensis, S. superba, P. asiatica, and B. orientale) are mainly precipitation and soil water before rainfall in the monsoon evergreen broad-leaved forest. After light and moderate rainfall events, the order of the proportion of precipitation utilized by the different PFTs was S. superba > B. orientale > P. asiatica > C. chinensis, while after heavy rainfall events, the utilized precipitation proportions occurred in the order of B. orientale > P. asiatica > C. chinensis > S. superba in both the dry and wet seasons. Our findings imply that not all PFTs follow their water niches to maintain community stability; instead, some species will compete with other species for water absorption. Especially under climate warming, the unevenly distributed precipitation would intensify the water competition among species, ultimately leading to the plant community structure becoming much more unstable than before.

Author Contributions

Conceptualization, Q.X. and S.L.; methodology, D.G.; software, B.Z.; validation, D.G., B.Z. and Q.X.; formal analysis, B.Z.; investigation, D.G., T.W. and Y.Z.; resources, B.Z., W.X. and H.Z.; data curation, D.G. and B.Z.; writing—original draft preparation, D.G.; writing—review and editing, B.Z., Q.X. and S.L.; visualization, D.G. and B.Z.; supervision, Q.X.; project administration, Q.X. and S.L.; funding acquisition, D.G., Q.X. and S.L. All authors have read and agreed to the published version of the manuscript.

Funding

This research was funded by the Fundamental Research Funds of CAF (CAFYBB2017ZB003), the National Natural Science Foundation of China (31290223, 31870716), and the Fundamental Research Funds of CAF (CAFYBB2022SY022).

Data Availability Statement

The data presented in this study are available on request from the corresponding author.

Acknowledgments

We would like to thank the Dinghushan Forest Ecosystem Research Station for helping us during sample collection.

Conflicts of Interest

The authors declare no conflict of interest. The funders had no role in the design of the study; in the collection, analyses, or interpretation of data; in the writing of the manuscript, or in the decision to publish the results.

References

  1. IPCC. Summary for policymakers. In Climate Change 2014: Impacts, Adaptation, and Vulnerability. Part A: Global and Sectoral Aspects. Contribution of Working Group II to the Fifth Assessment Report of the Intergovernmental Panel on Climate Change; Field, C.B., Barros, V.R., Dokken, D.J., Mach, K.J., Mastrandrea, M.D., Bilir, T.E., Chatterjee, M., Ebi, K.L., Estrada, Y.O., Genova, R.C., et al., Eds.; Cambridge University Press: Cambridge, UK; New York, NY, USA, 2014; pp. 1–32. [Google Scholar]
  2. Parmesan, C.; Hanley, M.E. Plants and climate change: Complexities and surprises. Ann. Bot. 2015, 116, 849–864. [Google Scholar] [CrossRef] [PubMed]
  3. Esther, A.; Groeneveld, J.; Enright, N.J.; Miller, B.P.; Lamont, B.B.; Perry, G.L.; Blank, F.B.; Jeltsch, F. Sensitivity of plant functional types to climate change: Classification tree analysis of a simulation model. J. Veg. Sci. 2010, 21, 447–461. [Google Scholar] [CrossRef]
  4. Song, J.; Xia, J.; Hui, D.; Zheng, M.; Wang, J.; Ru, J.; Wang, H.; Zhang, Q.; Yang, C.; Wan, S. Plant functional types regulate non-additive responses of soil respiration to 5-year warming and nitrogen addition in a semi-arid grassland. Funct. Ecol. 2021, 35, 2593–2603. [Google Scholar] [CrossRef]
  5. Gillison, A.N. Plant functional indicators of vegetation response to climate change, past present and future: II. Modal plant functional types as response indicators for present and future climates. Flora 2019, 254, 31–58. [Google Scholar]
  6. Antunes, C.; Díaz-Barradas, M.C.; Zunzunegui, M.; Vieira, S.; Máguas, C. Water source partitioning among plant functional types in a semi-arid dune ecosystem. J. Veg. Sci. 2018, 29, 671–683. [Google Scholar] [CrossRef]
  7. Mäkiranta, P.; Laiho, R.; Mehtätalo, L.; Straková, P.; Sormunen, J.; Minkkinen, K.; Penttilä, T.; Fritze, H.; Tuittila, E.S. Responses of phenology and biomass production of boreal fens to climate warming under different water-table level regimes. Glob. Change Biol. 2018, 24, 944–956. [Google Scholar] [CrossRef]
  8. Harris, R.M.B.; Beaumont, L.J.; Vance, T.R.; Remenyi, T.A.; Perkins-Kirkpatrick, S.E.; Mitchell, P.J.; Nicotra, A.B.; McGregor, S.; Andrew, N.R.; Letnic, M.; et al. Biological responses to the press and pulse of climate trends and extreme events. Nat. Clim. Change 2018, 8, 579–587. [Google Scholar] [CrossRef]
  9. Romero, G.Q.; Marino, N.A.C.; MacDonald, A.A.M.; Céréghino, R.; Trzcinski, M.K.; Mercado, D.A.; Leroy, C.; Corbara, B.; Farjalla, V.F.; Barberis, I.M.; et al. Extreme rainfall events alter the trophic structure in bromeliad tanks across the Neotropics. Nat. Commun. 2020, 11, 3215. [Google Scholar] [CrossRef]
  10. Grossiord, C.; Gessler, A.; Granier, A.; Berger, S.; Bréchet, C.; Hentschel, R.; Hommel, R.; Scherer-Lorenzen, M.; Bonal, D. Impact of interspecific interactions on the soil water uptake depth in a young temperate mixed species plantation. J. Hydrol. 2014, 519, 3511–3519. [Google Scholar] [CrossRef]
  11. Guderle, M.; Bachmann, D.; Milcu, A.; Gockele, A.; Bechmann, M.; Fischer, C.; Roscher, C.; Landais, D.; Ravel, O.; Devidal, S.; et al. Dynamic niche partitioning in root water uptake facilitates efficient water use in more diverse grassland plant communities. Funct. Ecol. 2018, 32, 214–227. [Google Scholar] [CrossRef]
  12. O’Keefe, K.; Nippert, J.B.; McCulloh, K.A. Plant water uptake along a diversity gradient provides evidence for complementarity in hydrological niches. Oikos 2019, 128, 1748–1760. [Google Scholar] [CrossRef]
  13. Diaz, S.; Kattge, J.; Cornelissen, J.H.; Wright, I.J.; Lavorel, S.; Dray, S.; Reu, B.; Kleyer, M.; Wirth, C.; Prentice, I.C.; et al. The global spectrum of plant form and function. Nature 2016, 529, 167–171. [Google Scholar] [CrossRef] [PubMed]
  14. Saccone, P.; Hoikka, K.; Virtanen, R. What if plant functional types conceal species-specific responses to environment? Study on arctic shrub communities. Ecology 2017, 98, 1600–1612. [Google Scholar]
  15. Cheng, X.; An, S.; Li, B.; Chen, J.; Lin, G.; Liu, Y.; Luo, Y.; Liu, S. Summer rain pulse size and rainwater uptake by three dominant desert plants in a desertified grassland ecosystem in northwestern China. Plant Ecology 2006, 184, 1–12. [Google Scholar] [CrossRef]
  16. Pierce, S.; Brusa, G.; Vagge, I.; Cerabolini, B.E. Allocating CSR plant functional types: The use of leaf economics and size traits to classify woody and herbaceous vascular plants. Funct. Ecol. 2013, 27, 1002–1010. [Google Scholar] [CrossRef]
  17. West, A.G.; Dawson, T.E.; February, E.C.; Midgley, G.F.; Bond, W.J.; Aston, T.L. Diverse functional responses to drought in a Mediterranean-type shrubland in South Africa. New Phytol. 2012, 195, 396–407. [Google Scholar] [CrossRef]
  18. Yang, B.; Wen, X.; Sun, X. Seasonal variations in depth of water uptake for a subtropical coniferous plantation subjected to drought in an East Asian monsoon region. Agric. For. Meteorol. 2015, 201, 218–228. [Google Scholar] [CrossRef]
  19. Xu, Q.; Li, H.; Chen, J.; Cheng, X.; Liu, S.; An, S. Water use patterns of three species in subalpine forest, Southwest China: The deuterium isotope approach. Ecohydrology 2011, 4, 236–244. [Google Scholar] [CrossRef]
  20. Chen, J.; Xu, Q.; Gao, D.; Song, A.; Hao, Y.; Ma, Y. Differential water use strategies among selected rare and endangered species in West Ordos Desert of China. J. Plant Ecol. 2016, 10, 660–669. [Google Scholar] [CrossRef]
  21. Gaines, K.P.; Stanley, J.W.; Meinzer, F.C.; McCulloh, K.A.; Woodruff, D.R.; Chen, W.; Adams, T.S.; Lin, H.; Eissenstat, D.M. Reliance on shallow soil water in a mixed-hardwood forest in central Pennsylvania. Tree Physiol. 2016, 36, 444–458. [Google Scholar] [CrossRef]
  22. Voltas, J.; Lucabaugh, D.; Chambel, M.R.; Ferrio, J.P. Intraspecific variation in the use of water sources by the circum-Mediterranean conifer Pinus halepensis. New Phytol. 2015, 208, 1031–1041. [Google Scholar] [CrossRef] [PubMed]
  23. Zhao, Y.; Wang, Y.; He, M.; Tong, Y.; Zhou, J.; Guo, X.; Liu, J.; Zhang, X. Transference of Robinia pseudoacacia water-use patterns from deep to shallow soil layers during the transition period between the dry and rainy seasons in a water-limited region. For. Ecol. Manag. 2020, 457, 117727. [Google Scholar] [CrossRef]
  24. Liu, W.; Chen, H.; Zou, Q.; Nie, Y. Divergent root water uptake depth and coordinated hydraulic traits among typical karst plantations of subtropical China: Implication for plant water adaptation under precipitation changes. Agric. Water Manag. 2021, 249, 106798. [Google Scholar] [CrossRef]
  25. Donat, M.G.; Lowry, A.L.; Alexander, L.V.; O’Gorman, P.A.; Maher, N. More extreme precipitation in the world’s dry and wet regions. Nat. Clim. Change 2016, 6, 508–513. [Google Scholar] [CrossRef]
  26. Taylor, C.M.; Belušić, D.; Guichard, F.; Parker, D.; Vischel, T.; Bock, O.; Harris, P.P.; Janicot, S.; Klein, C.; Panthou, G. Frequency of extreme Sahelian storms tripled since 1982 in satellite observations. Nature 2017, 544, 475–478. [Google Scholar] [CrossRef]
  27. Otieno, D.; Li, Y.; Liu, X.; Zhou, G.; Cheng, J.; Ou, Y.; Liu, S.; Chen, X.; Zhang, Q.; Tang, X.; et al. Spatial heterogeneity in stand characteristics alters water use patterns of mountain forests. Agric. For. Meteorol. 2017, 236, 78–86. [Google Scholar] [CrossRef]
  28. Wu, J.; Liang, G.; Hui, D.; Deng, Q.; Xiong, X.; Qiu, Q.; Liu, J.; Chu, G.; Zhou, G.; Zhang, D. Prolonged acid rain facilitates soil organic carbon accumulation in a mature forest in Southern China. Sci. Total Environ. 2016, 544, 94–102. [Google Scholar] [CrossRef] [PubMed]
  29. Zhou, G.; Guan, L.; Wei, X.; Zhang, D.; Zhang, Q.; Yan, J.; Wen, D.; Liu, J.; Liu, S.; Huang, Z.; et al. Lit-terfall Production Along Successional and Altitudinal Gradients of Subtropical Monsoon Evergreen Broadleaved Forests in Guangdong, China. Plant Ecol. 2006, 188, 77–89. [Google Scholar] [CrossRef]
  30. Zhou, G.; Liu, S.; Li, Z.; Zhang, D.; Tang, X.; Zhou, C.; Yan, J.; Mo, J. Old-growth forests can accumulate carbon in soils. Science 2006, 314, 1417. [Google Scholar] [CrossRef]
  31. Phillips, D.L.; Gregg, J.W. Source partitioning using stable isotopes: Coping with too many sources. Oecologia 2003, 136, 261–269. [Google Scholar] [CrossRef]
  32. Yang, Y.; Fang, J.; Ma, W.; Guo, D.; Mohammat, A. Large-scale pattern of biomass partitioning across China’s grasslands. Glob. Ecol. Biogeogr. 2010, 19, 268–277. [Google Scholar] [CrossRef]
  33. Ellsworth, P.Z.; Sternberg, L.S. Seasonal water use by deciduous and evergreen woody species in a scrub community is based on water availability and root distribution. Ecohydrology 2015, 8, 538–551. [Google Scholar] [CrossRef]
  34. Flanagan, L.B.; Orchard, T.E.; Tremel, T.N.; Rood, S.B. Using stable isotopes to quantify water sources for trees and shrubs in a riparian cottonwood ecosystem in flood and drought years. Hydrol. Processes 2019, 33, 3070–3083. [Google Scholar] [CrossRef]
  35. Hiiragi, K.; Matsuo, N.; Sakai, S.; Kawahara, K.; Ichie, T.; Kenzo, T.; Aurelia, D.C.; Kume, T.; Nakagawa, M. Water uptake patterns of tropical canopy trees in Borneo: Species-specific and temporal variation and relationships with aboveground traits. Tree Physiol. 2022, tpac061. [Google Scholar] [CrossRef]
  36. Prieto, I.; Pugnaire, F.I.; Ryel, J. Water uptake and redistribution during drought in a semiarid shrub species. Funct. Plant Biol. 2014, 41, 812–819. [Google Scholar] [CrossRef]
  37. Prechsl, U.E.; Burri, S.; Gilgen, A.K.; Kahmen, A.; Buchmann, N. No shift to a deeper water uptake depth in response to summer drought of two lowland and sub-alpine C3-grasslands in Switzerland. Oecologia 2015, 177, 97–111. [Google Scholar] [CrossRef]
  38. Guo, L.; Pang, Y.; Cao, B.; Fan, Z.; Mao, P.; Li, Z.; Liu, W.; Li, P. Robinia pseudoacacia decline and fine root dynamics in a plantation chronosequence in the Yellow River Delta, China. For. Sci. 2022, 68, 425–433. [Google Scholar] [CrossRef]
  39. Penna, D.; Geris, J.; Hopp, L.; Scandellari, F. Water sources for root water uptake: Using stable isotopes of hydrogen and oxygen as a research tool in agricultural and agroforestry systems. Agric. Ecosyst. Environ. 2020, 291, 106790. [Google Scholar] [CrossRef]
  40. Zegada-Lizarazu, W.; Monti, A. Deep root growth, ABA adjustments and root water uptake response to soil water deficit in giant reed. Ann. Bot. 2019, 124, 605–615. [Google Scholar] [CrossRef]
  41. Sun, S.J.; Meng, P.; Zhang, J.S.; Wan, X.C. Variation in soil water uptake and its effect on plant water status in juglans regia l. during dry and wet seasons. Tree Physiol. 2011, 31, 1378–1389. [Google Scholar]
  42. Lozano-Parra, J.; Schnabel, S.; Pulido, M.; Gómez-Gutiérrez, Á.; Lavado-Contador, F. Effects of soil moisture and vegetation cover on biomass growth in water-limited environments. Land Degrad. Dev. 2018, 29, 4405–4414. [Google Scholar] [CrossRef]
  43. Rao, W.; Chen, X.; Meredith, K.T.; Tan, H.; Gao, M.; Liu, J. Water uptake of riparian plants in the lower Lhasa River Basin, South Tibetan Plateau using stable water isotopes. Hydrol. Processes 2020, 34, 3492–3505. [Google Scholar] [CrossRef]
  44. Chen, Y.; Helliker, B.R.; Tang, X.; Li, F.; Zhou, Y.P.; Song, X. Stem water cryogenic extraction biases estimation in deuterium isotope composition of plant source water. Proc. Natl. Acad. Sci. USA 2020, 117, 33345–33350. [Google Scholar] [CrossRef] [PubMed]
  45. Evaristo, J.; Jameel, Y.; Chun, K.P. Implication of stem water cryogenic extraction experiment for an earlier study is not supported with robust context-specific statistical assessment. Proc. Natl. Acad. Sci. USA 2021, 118, e2100365118. [Google Scholar] [CrossRef]
Figure 1. Mean monthly precipitation in the study area from 2013 to 2014.
Figure 1. Mean monthly precipitation in the study area from 2013 to 2014.
Forests 13 01527 g001
Figure 2. δD values (mean ± SD) of soil water before rainfall, rainfall, groundwater, and plant stem water in the dry (a,b,c) and wet (d,e,f) seasons in the monsoon evergreen broad-leaved forest.
Figure 2. δD values (mean ± SD) of soil water before rainfall, rainfall, groundwater, and plant stem water in the dry (a,b,c) and wet (d,e,f) seasons in the monsoon evergreen broad-leaved forest.
Forests 13 01527 g002
Figure 3. Changes in the proportion of precipitation utilized by the four PFTs after different magnitudes of rainfall events in the dry (a,b,c) and wet (d,e,f) seasons in the monsoon evergreen broad-leaved forest. The whiskers illustrate the 5th and 95th percentiles, and the ends of the boxes represent the 25th and 75th quartiles (interquartile range). Different letters indicate significant differences at p < 0.05.
Figure 3. Changes in the proportion of precipitation utilized by the four PFTs after different magnitudes of rainfall events in the dry (a,b,c) and wet (d,e,f) seasons in the monsoon evergreen broad-leaved forest. The whiskers illustrate the 5th and 95th percentiles, and the ends of the boxes represent the 25th and 75th quartiles (interquartile range). Different letters indicate significant differences at p < 0.05.
Forests 13 01527 g003
Figure 4. Fine root biomass of the four different PFTs including Castanopsis chinensis (a), Schima superba (b), Psychotria asiatica (c), and Blechnum orientale (d) in the monsoon evergreen broad-leaved forest.
Figure 4. Fine root biomass of the four different PFTs including Castanopsis chinensis (a), Schima superba (b), Psychotria asiatica (c), and Blechnum orientale (d) in the monsoon evergreen broad-leaved forest.
Forests 13 01527 g004
Figure 5. Relationship between the proportion of precipitation utilized by Schima superba and the soil moisture before rainfall in the monsoon evergreen broad-leaved forest. * p < 0.05.
Figure 5. Relationship between the proportion of precipitation utilized by Schima superba and the soil moisture before rainfall in the monsoon evergreen broad-leaved forest. * p < 0.05.
Forests 13 01527 g005
Figure 6. Comparison of soil moisture before rainfall between the dry and wet seasons in this study (a) and in that of Xu et al. [19] (b). *** p < 0.001.
Figure 6. Comparison of soil moisture before rainfall between the dry and wet seasons in this study (a) and in that of Xu et al. [19] (b). *** p < 0.001.
Forests 13 01527 g006
Publisher’s Note: MDPI stays neutral with regard to jurisdictional claims in published maps and institutional affiliations.

Share and Cite

MDPI and ACS Style

Gao, D.; Zhang, B.; Xu, Q.; Liu, S.; Zhang, Y.; Wang, T.; Xu, W.; Zuo, H. Seasonal Water Uptake Patterns of Different Plant Functional Types in the Monsoon Evergreen Broad-Leaved Forest of Southern China. Forests 2022, 13, 1527. https://doi.org/10.3390/f13091527

AMA Style

Gao D, Zhang B, Xu Q, Liu S, Zhang Y, Wang T, Xu W, Zuo H. Seasonal Water Uptake Patterns of Different Plant Functional Types in the Monsoon Evergreen Broad-Leaved Forest of Southern China. Forests. 2022; 13(9):1527. https://doi.org/10.3390/f13091527

Chicago/Turabian Style

Gao, Deqiang, Beibei Zhang, Qing Xu, Shirong Liu, Ying Zhang, Ting Wang, Wenbin Xu, and Haijun Zuo. 2022. "Seasonal Water Uptake Patterns of Different Plant Functional Types in the Monsoon Evergreen Broad-Leaved Forest of Southern China" Forests 13, no. 9: 1527. https://doi.org/10.3390/f13091527

APA Style

Gao, D., Zhang, B., Xu, Q., Liu, S., Zhang, Y., Wang, T., Xu, W., & Zuo, H. (2022). Seasonal Water Uptake Patterns of Different Plant Functional Types in the Monsoon Evergreen Broad-Leaved Forest of Southern China. Forests, 13(9), 1527. https://doi.org/10.3390/f13091527

Note that from the first issue of 2016, this journal uses article numbers instead of page numbers. See further details here.

Article Metrics

Back to TopTop