Predicting the Potential Suitable Distribution of Larix principis-rupprechtii Mayr under Climate Change Scenarios
Abstract
:1. Introduction
2. Materials and Methods
2.1. Study Area
2.2. Species Occurrence Data
2.3. Environmental Variables
2.4. Research Methods
2.4.1. Establishment of Single Species Distribution Model
2.4.2. Model Evaluation
2.4.3. Ensemble Model Construction
2.4.4. Dominant Environmental Factor Analysis
2.4.5. Centroid Shifts
3. Results
3.1. Model Accuracy Evaluation
3.2. Importance of Environmental Factors
3.3. Current Suitable Distribution
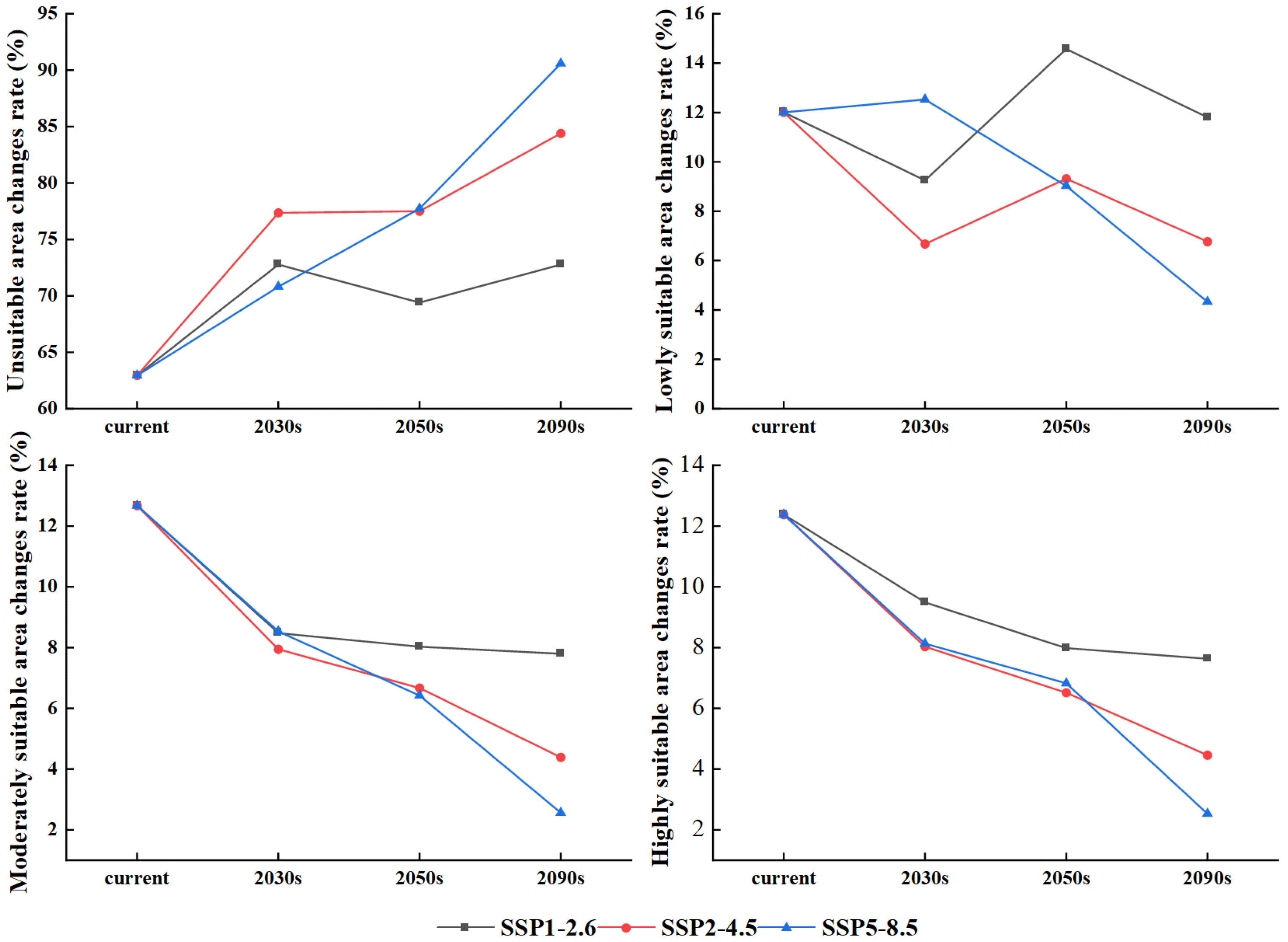
3.4. Future Suitable Distribution
3.5. The Change of Suitable Distribution Pattern in the Future
3.6. Centroid Migration
4. Discussion
4.1. Ensemble Model Evaluation
4.2. Dominant Climatic Factor
4.3. Suitable Distribution Pattern
4.4. Centroid Migration
5. Conclusions
Author Contributions
Funding
Institutional Review Board Statement
Informed Consent Statement
Data Availability Statement
Acknowledgments
Conflicts of Interest
References
- Zhao, X.; Meng, H.; Wang, W.; Yan, B. Prediction of the Distribution of Alpine Tree Species Under Climate Change Scenarios: Larix chinensisin Taibai Mountain (China). Pol. J. Ecol. 2016, 64, 200–212. [Google Scholar] [CrossRef]
- Xu, Y.; Huang, Y.; Zhao, H.; Yang, M.; Zhuang, Y.; Ye, X. Modelling the Effects of Climate Change on the Distribution of Endangered Cypripedium japonicum in China. Forests 2021, 12, 429. [Google Scholar] [CrossRef]
- Subba, B.; Sen, S.; Ravikanth, G.; Nobis, M.P. Direct modelling of limited migration improves projected distributions of Himalayan amphibians under climate change. Biol. Conserv. 2018, 227, 352–360. [Google Scholar] [CrossRef]
- Friedlingstein, P.; Houghton, A.R.; Marland, G.; Hackler, J.; Boden, A.T.; Conway, J.T.; Canadell, G.J.; Raupach, R.M.; Ciais, P.; Quéré, L.C. Update on CO2 emissions. Nat. Geosci. 2010, 3, 811–812. [Google Scholar] [CrossRef]
- Peters, R.L.; Klesse, S.; Fonti, P.; Frank, D. Contribution of climate vs. larch budmoth outbreaks in regulating biomass accumulation in high-elevation forests. For. Ecol. Manag. 2017, 401, 147–158. [Google Scholar] [CrossRef]
- Wang, T.; Wang, G.; Innes, J.; Nitschke, C.; Kang, H. Climatic niche models and their consensus projections for future climates for four major forest tree species in the Asia–Pacific region. For. Ecol. Manag. 2016, 360, 357–366. [Google Scholar] [CrossRef]
- Dyderski, M.K.; Paź, S.; Frelich, L.E.; Jagodziński, A.M. How much does climate change threaten European forest tree species distributions? Glob. Chang. Biol. 2018, 24, 1150–1163. [Google Scholar] [CrossRef]
- Aitken, S.N.; Yeaman, S.; Holliday, J.A.; Wang, T.; Curtis-McLane, S. Adaptation, migration or extirpation: Climate change outcomes for tree populations. Evol. Appl. 2008, 1, 95–111. [Google Scholar] [CrossRef]
- IPCC. Summary for Policymakers. In Climate Change 2021: The Physical Science Basis. Contribution of Working Group I to the Sixth Assessment Report of the Intergovernmental Panel on Climate Change; Intergovernmental Panel on Climate Change: Cambridge, UK; New York, NY, USA, 2021. [Google Scholar]
- Stevens, B.S.; Conway, C.J. Predictive multi-scale occupancy models at range-wide extents: Effects of habitat and human disturbance on distributions of wetland birds. Divers. Distrib. 2019, 26, 34–48. [Google Scholar] [CrossRef]
- Guisan, A.; Tingley, R.; Baumgartner, J.B.; Naujokaitis-Lewis, I.; Sutcliffe, P.R.; Tulloch, A.I.T.; Regan, T.J.; Brotons, L.; Mcdonald-Madden, E.; Mantyka-Pringle, C.; et al. Predicting species distributions for conservation decisions. Ecol. Lett. 2013, 16, 1424–1435. [Google Scholar] [CrossRef]
- Poulter, B.; Pederson, N.; Liu, H.; Zhu, Z.; D’Arrigo, R.; Ciais, P.; Davi, N.; Frank, D.; Leland, C.; Myneni, R.; et al. Recent trends in Inner Asian forest dynamics to temperature and precipitation indicate high sensitivity to climate change. Agric. For. Meteorol. 2013, 178–179, 31–45. [Google Scholar] [CrossRef]
- Shuman, J.K.; Shugart, H.; O’Halloran, T. Sensitivity of Siberian larch forests to climate change. Glob. Chang. Biol. 2011, 17, 2370–2384. [Google Scholar] [CrossRef]
- Piao, S.L.; Ciais, P.; Huang, Y.; Shen, Z.H.; Peng, S.S.; Li, J.S.; Zhou, L.P.; Liu, H.Y.; Ma, Y.C.; Ding, Y.H.; et al. The impacts of climate change on water resources and agriculture in China. Nature 2010, 467, 43–51. [Google Scholar] [CrossRef] [PubMed]
- Zhou, G.; Li, L.; Wu, A. Effect of drought on forest ecosystem under warming climate. J. Nanjing Univ. Inf. Sci. Technol. 2020, 12, 81–88. [Google Scholar] [CrossRef]
- Allen, C.D.; Macalady, A.K.; Chenchouni, H.; Bachelet, D.; McDowell, N.; Vennetier, M.; Kitzberger, T.; Rigling, A.; Breshears, D.D.; Hogg, E.H.; et al. A global overview of drought and heat-induced tree mortality reveals emerging climate change risks for forests. For. Ecol. Manag. 2010, 259, 660–684. [Google Scholar] [CrossRef]
- Feeley, K.J.; Bravo-Avila, C.; Fadrique, B.; Perez, T.M.; Zuleta, D. Publisher Correction: Climate-driven changes in the composition of New World plant communities. Nat. Clim. Chang. 2020, 10, 1062. [Google Scholar] [CrossRef]
- Zhao, Z.; Guo, Y.; Zhu, F.; Jiang, Y. Prediction of the impact of climate change on fast-growing timber trees in China. For. Ecol. Manag. 2021, 501, 119653. [Google Scholar] [CrossRef]
- Bertrand, R.; Lenoir, J.; Piedallu, C.; Riofrío-Dillon, G.; De Ruffray, P.; Vidal, C.; Pierrat, J.-C.; Gégout, J.-C. Changes in plant community composition lag behind climate warming in lowland forests. Nature 2011, 479, 517–520. [Google Scholar] [CrossRef]
- Dakhil, M.; Xiong, Q.; Farahat, E.A.; Zhang, L.; Pan, K.; Pandey, B.; Olatunji, O.A.; Tariq, A.; Wu, X.; Zhang, A.; et al. Past and future climatic indicators for distribution patterns and conservation planning of temperate coniferous forests in southwestern China. Ecol. Indic. 2019, 107, 105559. [Google Scholar] [CrossRef]
- Hagerman, S.M.; Pelai, R. Responding to climate change in forest management: Two decades of recommendations. Front. Ecol. Environ. 2018, 16, 579–587. [Google Scholar] [CrossRef]
- Lei, X.; Yu, L.; Hong, L. Climate-sensitive integrated stand growth model (CS-ISGM) of Changbai larch (Larix olgensis) plantations. For. Ecol. Manag. 2016, 376, 265–275. [Google Scholar] [CrossRef]
- Guisan, A.; Graham, C.H.; Elith, J.; Huettmann, F.; The NCEAS Species Distribution Modelling Group. Sensitivity of predictive species distribution models to change in grain size. Divers. Distrib. 2007, 13, 332–340. [Google Scholar] [CrossRef]
- Barrett, M.A.; Brown, J.L.; Junge, R.E.; Yoder, A.D. Climate change, predictive modeling and lemur health: Assessing impacts of changing climate on health and conservation in Madagascar. Biol. Conserv. 2013, 157, 409–422. [Google Scholar] [CrossRef]
- Wang, S.; Xu, X.; Shrestha, N.; Zimmermann, N.; Tang, Z.; Wang, Z. Response of spatial vegetation distribution in China to climate changes since the Last Glacial Maximum (LGM). PLoS ONE 2017, 12, e0175742. [Google Scholar] [CrossRef]
- Liu, X.-T.; Yuan, Q.; Ni, J. Research advances in modelling plant species distribution in China. Chin. J. Plant Ecol. 2019, 43, 273–283. [Google Scholar] [CrossRef]
- Rathore, P.; Roy, A.; Karnatak, H. Modelling the vulnerability of Taxus wallichiana to climate change scenarios in South East Asia. Ecol. Indic. 2019, 102, 199–207. [Google Scholar] [CrossRef]
- Segurado, P.; Araújo, M.B. An evaluation of methods for modelling species distributions. J. Biogeogr. 2004, 31, 1555–1568. [Google Scholar] [CrossRef]
- Lopatin, J.; Dolos, K.; Hernández, H.; Galleguillos, M.; Fassnacht, F. Comparing Generalized Linear Models and random forest to model vascular plant species richness using LiDAR data in a natural forest in central Chile. Remote Sens. Environ. 2015, 173, 200–210. [Google Scholar] [CrossRef]
- Phillips, S.J.; Anderson, R.P.; Schapire, R.E. Maximum entropy modeling of species geographic distributions. Ecol. Model. 2006, 190, 231–259. [Google Scholar] [CrossRef]
- Pearson, R.G.; Thuiller, W.; Araújo, M.B.; Martínez-Meyer, E.; Brotons, L.; McClean, C.; Miles, L.; Segurado, P.; Dawson, T.; Lees, D.C. Model-based uncertainty in species range prediction. J. Biogeogr. 2006, 33, 1704–1711. [Google Scholar] [CrossRef]
- Ardestani, E.G.; Rigi, H.; Honarbakhsh, A. Predicting optimal habitats of Haloxylon persicum for ecosystem restoration using ensemble ecological niche modeling under climate change in southeast Iran. Restor. Ecol. 2021, 29, e13492. [Google Scholar] [CrossRef]
- Moraitis, M.L.; Valavanis, V.D.; Karakassis, I. Modelling the effects of climate change on the distribution of benthic indicator species in the Eastern Mediterranean Sea. Sci. Total Environ. 2019, 667, 16–24. [Google Scholar] [CrossRef] [PubMed]
- Thuiller, W. BIOMOD—Optimizing predictions of species distributions and projecting potential future shifts under global change. Glob. Chang. Biol. 2003, 9, 1353–1362. [Google Scholar] [CrossRef]
- Ray, D.; Marchi, M.; Rattey, A.; Broome, A. A multi-data ensemble approach for predicting woodland type distribution: Oak woodland in Britain. Ecol. Evol. 2021, 11, 9423–9434. [Google Scholar] [CrossRef]
- Dakhil, M.A.; Halmy, M.W.A.; Liao, Z.; Pandey, B.; Zhang, L.; Pan, K.; Sun, X.; Wu, X.; Eid, E.M.; El-Barougy, R.F. Potential risks to endemic conifer montane forests under climate change: Integrative approach for conservation prioritization in southwestern China. Landsc. Ecol. 2021, 36, 3137–3151. [Google Scholar] [CrossRef]
- Mateo, R.G.; de la Estrella, M.; Felicísimo, Á.M.; Muñoz, J.; Guisan, A. A new spin on a compositionalist predictive modelling framework for conservation planning: A tropical case study in Ecuador. Biol. Conserv. 2013, 160, 150–161. [Google Scholar] [CrossRef]
- Zhou, X.; Wang, X.; Han, S.; Zou, C. The effect of giobal climate change on the dynamics of Betula ermanii-Tundra ecotone in the changbai mountains. Earth Sci. Front. 2002, 9, 227–231. [Google Scholar]
- Fu, L.; Sun, W.; Wang, G. A climate-sensitive aboveground biomass model for three larch species in northeastern and northern China. Trees 2016, 31, 557–573. [Google Scholar] [CrossRef]
- Sun, Y.; Wang, L. Global research progresses in dendroclimatology of Larix Miller. Prog. Geogr. 2013, 32, 1760–1770. [Google Scholar] [CrossRef]
- Wu, C.; Chen, D.; Shen, J.; Sun, X.; Zhang, S. Estimating the distribution and productivity characters of Larix kaempferi in response to climate change. J. Environ. Manag. 2020, 280, 111633. [Google Scholar] [CrossRef]
- Leng, W.; He, H.; Bu, R.; Hu, Y.; Wang, X. Potential impact of climate change on distribution of Larix genus of northeastern China. For. Ecol. Manag. 2008, 254, 420–428. [Google Scholar] [CrossRef]
- Leng, W.; He, H.; Bu, R.; Hu, Y. Sensitivity analysis of the impacts of climate change on potential distribution of three Larch (Larix) species in Northeastern China. J. Plant Ecol. 2007, 31, 825–833. [Google Scholar]
- Zhao, K.; Wang, L.; Wang, L.; Jia, Z.; Ma, l. Stock volume and productivity of Larix principis-rupprechtiiin northern and northwestern China. J. Beijing For. Univ. 2015, 37, 24–31. [Google Scholar] [CrossRef]
- Ye, S.; Dong, G.; Shao, C.; Liu, Y. Selection of tree species in accurate quality improvement of Larix principis-rupprechtii plantation. Bull. Soil. Water Conserv. 2018, 38, 162–168. [Google Scholar] [CrossRef]
- Mu, X.; Wu, Z.; Li, X.; Wang, F.; Bai, X.; Guo, S.; Cheng, R.; Yu, S. Estimation of the potential distribution areas of Larix principis-rupprechtii plantation in Chifeng based on MaxEnt model. J. Arid Land Resour. Environ. 2021, 35, 144–152. [Google Scholar] [CrossRef]
- Lv, Z.; Li, W.; Huang, X.; Zhang, Z. Predicting suitable distribution areas of three dominant tree species under climate change scenarios in Hebei Province. Sci. Silvae Sin. 2019, 55, 13–21. [Google Scholar] [CrossRef]
- Gao, Q.; Che, S.; Han, J. Characteristic of climate change in Hebei Province and its influence on phenology. J. Anhui Agric. Sci. 2010, 38, 18319–18323. [Google Scholar] [CrossRef]
- Wang, Y.; Liu, Z. Shanxi forestry climatic resources. Shanxi For. Sci. Technol. 2004, 51, 37–40. [Google Scholar]
- Zheng, W. Chinese Tree Chronicles; China Forestry Publishing House: Beijing, China, 1983; Volume 1.
- Fick, S.E.; Hijmans, R.J. WorldClim 2: New 1-km spatial resolution climate surfaces for global land areas. Int. J. Climatol. 2017, 37, 4302–4315. [Google Scholar] [CrossRef]
- Radosavljevic, A.; Anderson, R.P. Making better Maxent models of species distributions: Complexity, overfitting and evaluation. J. Biogeogr. 2013, 41, 629–643. [Google Scholar] [CrossRef]
- Dang, A.T.; Kumar, L.; Reid, M.; Anh, L.N. Modelling the susceptibility of wetland plant species under climate change in the Mekong Delta, Vietnam. Ecol. Inform. 2021, 64, 101358. [Google Scholar] [CrossRef]
- Jiang, X.-L.; An, M.; Zheng, S.-S.; Deng, M.; Su, Z.-H. Geographical isolation and environmental heterogeneity contribute to the spatial genetic patterns of Quercus kerrii (Fagaceae). Heredity 2017, 120, 219–233. [Google Scholar] [CrossRef] [PubMed]
- Thuiller, W. Editorial commentary on ‘BIOMOD—Optimizing predictions of species distributions and projecting potential future shifts under global change’. Glob. Chang. Biol. 2014, 20, 3591–3592. [Google Scholar] [CrossRef] [PubMed] [Green Version]
- Thuiller, W.; Lafourcade, B.; Engler, R.; Araújo, M.B. BIOMOD-a platform for ensemble forecasting of species distributions. Ecography 2009, 32, 369–373. [Google Scholar] [CrossRef]
- Uusitalo, R.; Siljander, M.; Culverwell, C.L.; Mutai, N.C.; Forbes, K.M.; Vapalahti, O.; Pellikka, P.K. Predictive mapping of mosquito distribution based on environmental and anthropogenic factors in Taita Hills, Kenya. Int. J. Appl. Earth Obs. Geoinf. ITC J. 2018, 76, 84–92. [Google Scholar] [CrossRef]
- Zhang, L.; Liu, S.; Sun, P.; Wang, T. Partitioning and mapping the sources of variations in the ensemble forecasting of species distribution under climate change: A case study of Pinus tabulaeformis. Acta Ecol. Sin. 2011, 31, 5749–5761. [Google Scholar]
- Lasram, F.B.R.; Guilhaumon, F.; Albouy, C.; Somot, S.; Thuiller, W.; Mouillot, D. The Mediterranean Sea as a ‘cul-de-sac’ for endemic fishes facing climate change. Glob. Chang. Biol. 2010, 16, 3233–3245. [Google Scholar] [CrossRef]
- Allouche, O.; Tsoar, A.; Kadmon, R. Assessing the accuracy of species distribution models: Prevalence, kappa and the true skill statistic (TSS). J. Appl. Ecol. 2006, 43, 1223–1232. [Google Scholar] [CrossRef]
- Brown, J.L.; Bennett, J.R.; French, C.M. SDMtoolbox 2.0: The next generation Python-based GIS toolkit for landscape genetic, biogeographic and species distribution model analyses. PeerJ 2017, 5, e4095. [Google Scholar] [CrossRef]
- Liu, X.; Han, W.; Gao, R.; Jia, J.; Bai, J.; Xu, J.; Gao, W. Potential impacts of environmental types on geographical distri-bution of Larix principis-rupprechtii. Acta Ecol. Sin. 2021, 41, 1885–1893. [Google Scholar] [CrossRef]
- Bi, Y.; Xu, J.; Li, Q.; Guisan, A.; Thuiller, W.; Zimmermann, N.E.; Yang, Y.; Yang, X. Applying BioMod for model-ensemble in species distributions: A case study for Tsuga chinensisin China. Plant Divers. Resour. 2013, 35, 647–655. [Google Scholar] [CrossRef]
- Liu, D. Qunatitative Assessment of Matching Trees to Sites Based on Both Distribution Suitability and Potential Site Productivity; Chinese Academy of Forestry: Beijing, China, 2018. [Google Scholar]
- Pavlović, L.; Stojanovic, D.; MladenoviĆ, E.; Lakićević, M.; Orlović, S. Potential Elevation Shift of the European Beech Stands (Fagus sylvatica L.) in Serbia. Front. Plant Sci. 2019, 10, 849. [Google Scholar] [CrossRef] [PubMed]
- Zhao, Z.; Guo, Y.; Wei, H.; Ran, Q.; Liu, J.; Zhang, Q.; Gu, W. Potential distribution of Notopterygium incisum Ting ex H. T. Chang and its predicted responses to climate change based on a comprehensive habitat suitability model. Ecol. Evol. 2020, 10, 3004–3016. [Google Scholar] [CrossRef] [PubMed]
- Mainali, K.P.; Warren, D.; Dhileepan, K.; Mc Connachie, A.; Strathie, L.; Hassan, G.; Karki, D.; Shrestha, B.B.; Parmesan, C. Projecting future expansion of invasive species: Comparing and improving methodologies for species distribution modeling. Glob. Chang. Biol. 2015, 21, 4464–4480. [Google Scholar] [CrossRef] [Green Version]
- Yang, Z.; Zhou, G.; Yin, X.; Jia, B. Geographic distribution of Larix gmelinii natural forest in China and its climatic suitability. Chin. J. Ecol. 2014, 33, 1429–1436. [Google Scholar] [CrossRef]
- Sakai, A. Comparative study on freezing resistance of conifers with special reference to cold adaptation and its evolutive aspects. Can. J. Bot. 1983, 61, 2323–2332. [Google Scholar] [CrossRef]
- Sakai, A.; Weiser, C.J. Freezing Resistance of Trees in North America with Reference to Tree Regions. Ecology 1973, 54, 118–126. [Google Scholar] [CrossRef]
- Sakai, A.; Wardle, P. Freezing resistance of new zealand trees and shrubs. N. Z. J. Ecol. 1978, 1, 51–61. [Google Scholar]
- Bachman, G.R.; McMahon, M.J. Day and Night Temperature Differential (DIF) or the Absence of Far-red Light Alters Cell Elongation in `Celebrity White’ Petunia. J. Am. Soc. Hortic. Sci. 2006, 131, 309–312. [Google Scholar] [CrossRef]
- Wang, X.; Zhang, W.; Zhao, X.; Zhu, H.; Ma, L.; Qian, Z.; Zhang, Z. Modeling the Potential Distribution of Three Taxa of Akebia Decne. under Climate Change Scenarios in China. Forests 2021, 12, 1710. [Google Scholar] [CrossRef]
- Wang, J.; Xi, Z.; He, X.; Chen, S.; Rossi, S.; Smith, N.G.; Liu, J.; Chen, L. Contrasting temporal variations in responses of leaf unfolding to daytime and nighttime warming. Glob. Chang. Biol. 2021, 27, 5084–5093. [Google Scholar] [CrossRef] [PubMed]
- Fang, W.; Cai, Q.; Zhu, J.; Ji, C.; Yue, M.; Guo, W.; Zhang, F.; Gao, X.; Tang, Z.; Fang, J. Distribution, community structures and species diversity of larch forests in North China. Chin. J. Plant Ecol. 2019, 43, 742–752. [Google Scholar] [CrossRef]
- Kharuk, V.I.; Ranson, K.J.; Dvinskaya, M. Evidence of Evergreen Conifers Invasion into Larch Dominated Forests During Recent Decades. In Environmental Change in Siberia; Springer: Dordrecht, The Netherlands, 2010; pp. 53–65. [Google Scholar] [CrossRef]
- Bai, X.; Zhang, X.; Li, J.; Duan, X.; Jin, Y.; Chen, Z. Altitudinal disparity in growth of Dahurian larch (Larix gmelinii Rupr.) in response to recent climate change in northeast China. Sci. Total Environ. 2019, 670, 466–477. [Google Scholar] [CrossRef] [PubMed]
- Leng, W.; He, H.S.; Liu, H. Response of larch species to climate changes. J. Plant Ecol. 2008, 1, 203–205. [Google Scholar] [CrossRef] [Green Version]








| Variable Name | Code | Unit | VIF |
|---|---|---|---|
| Annual mean temperature | BIO1 | °C | |
| Mean diurnal range (mean of monthly (max temp—min temp)) | BIO2 * | °C | 2.87 |
| Isothermally (BIO2/BIO7) (* 100) | BIO3 * | - | 3.71 |
| Temperature seasonality (standard deviation * 100) | BIO4 | - | |
| Max temperature of warmest month | BIO5 * | °C | 1.71 |
| Min temperature of coldest month | BIO6 | °C | |
| Temperature annual range (BIO5-BIO6) | BIO7 * | °C | 5.46 |
| Mean temperature of wettest quarter | BIO8 | °C | |
| Mean temperature of driest quarter | BIO9 * | °C | 3.77 |
| Mean temperature of warmest quarter | BIO10 | °C | |
| Mean temperature of coldest quarter | BIO11 | °C | |
| Annual precipitation | BIO12 | mm | |
| Precipitation of wettest month | BIO13 | mm | |
| Precipitation of driest month | BIO14 | mm | |
| Precipitation seasonality (coefficient of variation) | BIO15 * | mm | 7.69 |
| Precipitation of wettest quarter | BIO16 | mm | |
| Precipitation of driest quarter | BIO17 | mm | |
| Precipitation of warmest quarter | BIO18 * | mm | 4.57 |
| Precipitation of coldest quarter | BIO19 * | mm | 1.87 |
| Evaluation Index | Excellent | Better | Moderate | General | Failure |
|---|---|---|---|---|---|
| Kappa | 0.80–1.00 | 0.60–0.80 | 0.40–0.60 | 0.20–0.40 | 0.00–0.20 |
| TSS | 0.80–1.00 | 0.60–0.85 | 0.40–0.60 | 0.20–0.40 | 0.00–0.20 |
| ROC | 0.90–1.00 | 0.80–0.90 | 0.70–0.80 | 0.60–0.70 | 0.00–0.60 |
| Variable | MARS | GLM | GBM | CTA | ANN | SRE | FDA | RF | GAM | MAXENT | Relative Importance |
|---|---|---|---|---|---|---|---|---|---|---|---|
| BIO9 | 62.59 | 58.09 | 76.28 | 72.99 | 37.40 | 25.82 | 48.25 | 40.02 | 32.44 | 79.00 | 53.29 |
| BIO2 | 12.87 | 14.38 | 5.18 | 11.84 | 9.39 | 15.94 | 12.02 | 7.16 | 18.01 | 5.48 | 11.23 |
| BIO18 | 7.94 | 7.23 | 11.39 | 9.72 | 14.22 | 9.94 | 9.07 | 10.80 | 5.18 | 9.53 | 9.50 |
| BIO7 | 6.82 | 12.25 | 0.18 | 0.00 | 9.92 | 3.93 | 12.07 | 9.17 | 17.64 | 0.29 | 7.23 |
| BIO5 | 0.92 | 1.26 | 3.56 | 1.15 | 6.34 | 19.54 | 6.94 | 16.67 | 5.43 | 2.39 | 6.42 |
| BIO3 | 7.20 | 5.77 | 3.11 | 3.12 | 2.33 | 8.75 | 8.48 | 7.74 | 16.00 | 1.16 | 6.37 |
| BIO15 | 1.19 | 0.61 | 0.30 | 1.18 | 11.72 | 13.12 | 1.38 | 6.53 | 4.53 | 1.54 | 4.21 |
| BIO19 | 0.47 | 0.41 | 0.01 | 0.00 | 8.68 | 2.97 | 1.78 | 1.92 | 0.77 | 0.60 | 1.76 |
| Year | Scenarios | Area (km2) (Percentage%) | |||
|---|---|---|---|---|---|
| Unsuitable | Lowly Suitable | Moderately Suitable | Highly Suitable | ||
| Current | - | 217,466.11 (62.94) | 41,490.91 (12.01) | 43,775.43 (12.67) | 42,767.55 (12.38) |
| 2030s | SSP1-2.6 | 251,465.14 (72.78) | 31,949.68 (9.25) | 29,295.60 (8.48) | 32,789.58 (9.49) |
| SSP2-4.5 | 267,255.20 (77.35) | 23,063.57 (6.68) | 27,431.03 (7.94) | 27,750.19 (8.03) | |
| SSP5-8.5 | 244,645.18 (70.81) | 43,288.29 (12.53) | 29,480.38 (8.53) | 28,086.15 (8.13) | |
| 2050s | SSP1-2.6 | 239,840.97 (69.42) | 50,343.42 (14.57) | 27,750.19 (8.03) | 27,565.42 (7.98) |
| SSP2-4.5 | 267,759.14 (77.50) | 32,184.85 (9.32) | 23,046.77 (6.67) | 22,509.24 (6.51) | |
| SSP5-8.5 | 268,565.44 (77.73) | 31,176.97 (9.02) | 22,173.28 (6.42) | 23,584.31 (6.83) | |
| 2090s | SSP1-2.6 | 251,414.75 (72.77) | 40,768.60 (11.80) | 26,943.89 (7.80) | 26,372.76 (7.63) |
| SSP2-4.5 | 291,595.42 (84.40) | 23,365.93 (6.76) | 15,151.74 (4.39) | 15,386.91 (4.45) | |
| SSP5-8.5 | 312,962.39 (90.58) | 14,966.96 (4.33) | 8835.72 (2.56) | 8734.93 (2.53) | |
| Scenarios | Year | Area (km2) (Percentage is Shown in Brackets) | |||
|---|---|---|---|---|---|
| Unsuitable Areas | Unchangeable Potential Suitable Areas | Degraded Potential Suitable Areas | Increased Potential Suitable Areas | ||
| SSP1-2.6 | 2030s | 206,749.03 (59.84) | 93,463.73 (27.05) | 44,716.11 (12.94) | 571.13 (0.17) |
| 2050s | 201,810.43 (58.41) | 100,149.31 (28.99) | 38,030.53 (11.01) | 5509.72 (1.59) | |
| 2090s | 203,322.25 (58.85) | 90,087.34 (26.07) | 48,092.50 (13.92) | 3997.91 (1.16) | |
| SSP2-4.5 | 2030s | 207,320.16 (60.01) | 78,244.80 (22.65) | 59,935.04 (17.35) | 0.00 (0.00) |
| 2050s | 205,338.00 (59.43) | 75,758.70 (21.93) | 62,421.14 (18.07) | 1982.16 (0.57) | |
| 2090s | 207,269.76 (59.99) | 53,854.19 (15.59) | 84,325.65 (24.41) | 50.39 (0.01) | |
| SSP5-8.5 | 2030s | 206,967.40 (59.90) | 100,502.07 (29.09) | 37,677.78 (10.91) | 352.76 (0.10) |
| 2050s | 206,043.51 (59.64) | 75,657.92 (21.90) | 62,521.93 (18.10) | 1276.64 (0.37) | |
| 2090s | 207,252.97 (59.99) | 32,470.42 (9.40) | 105,709.43 (30.60) | 67.19 (0.02) | |
| Scenarios | Year | Highly Suitable | Moderately Suitable | Lowly Suitable | ||||||
|---|---|---|---|---|---|---|---|---|---|---|
| Longitude (°) | Latitude (°) | Migration Distance (km) | Longitude (°) | Latitude (°) | Migration Distance (km) | Longitude (°) | Latitude (°) | Migration Distance (km) | ||
| Current | 114.87 | 39.56 | 114.02 | 39.25 | 113.51 | 38.72 | ||||
| SSP1-2.6 | 2030s | 114.81 | 40.00 | 48.40 | 114.18 | 39.58 | 39.09 | 114.02 | 39.41 | 87.83 |
| 2050s | 115.16 | 40.31 | 86.58 | 114.85 | 40.15 | 122.62 | 114.18 | 39.53 | 106.73 | |
| 2090s | 115.18 | 40.42 | 98.81 | 114.36 | 39.94 | 81.75 | 114.02 | 39.48 | 94.38 | |
| SSP2-4.5 | 2030s | 115.50 | 40.35 | 103.07 | 114.90 | 39.97 | 109.44 | 114.48 | 39.61 | 129.43 |
| 2050s | 115.70 | 40.63 | 138.27 | 114.63 | 40.19 | 116.49 | 114.28 | 39.80 | 136.11 | |
| 2090s | 115.24 | 40.66 | 125.62 | 115.16 | 40.58 | 176.60 | 114.23 | 39.91 | 145.88 | |
| SSP5-8.5 | 2030s | 115.00 | 40.11 | 61.59 | 114.81 | 39.85 | 94.91 | 113.95 | 39.33 | 76.95 |
| 2050s | 115.27 | 40.67 | 127.26 | 114.41 | 40.005 | 89.79 | 114.13 | 39.69 | 120.45 | |
| 2090s | 115.28 | 41.63 | 232.60 | 115.15 | 40.90 | 206.75 | 114.27 | 40.07 | 163.43 | |
Publisher’s Note: MDPI stays neutral with regard to jurisdictional claims in published maps and institutional affiliations. |
© 2022 by the authors. Licensee MDPI, Basel, Switzerland. This article is an open access article distributed under the terms and conditions of the Creative Commons Attribution (CC BY) license (https://creativecommons.org/licenses/by/4.0/).
Share and Cite
Cheng, R.; Wang, X.; Zhang, J.; Zhao, J.; Ge, Z.; Zhang, Z. Predicting the Potential Suitable Distribution of Larix principis-rupprechtii Mayr under Climate Change Scenarios. Forests 2022, 13, 1428. https://doi.org/10.3390/f13091428
Cheng R, Wang X, Zhang J, Zhao J, Ge Z, Zhang Z. Predicting the Potential Suitable Distribution of Larix principis-rupprechtii Mayr under Climate Change Scenarios. Forests. 2022; 13(9):1428. https://doi.org/10.3390/f13091428
Chicago/Turabian StyleCheng, Ruiming, Xinyue Wang, Jing Zhang, Jinman Zhao, Zhaoxuan Ge, and Zhidong Zhang. 2022. "Predicting the Potential Suitable Distribution of Larix principis-rupprechtii Mayr under Climate Change Scenarios" Forests 13, no. 9: 1428. https://doi.org/10.3390/f13091428
APA StyleCheng, R., Wang, X., Zhang, J., Zhao, J., Ge, Z., & Zhang, Z. (2022). Predicting the Potential Suitable Distribution of Larix principis-rupprechtii Mayr under Climate Change Scenarios. Forests, 13(9), 1428. https://doi.org/10.3390/f13091428
