Abstract
As a magnoliid angiosperm, the Liriodendron chinense (Hamsl) Sarg in the Magnoliaceae family is susceptible to external environmental factors. The TEOSINTE BRANCHED 1/CYCLOIDEA/PROLIFERATING CELL FACTORS (TCP) proteins known for their growth and developmental biological roles have been identified in various plant species but not in the Liriodendron chinense. In this study, 15 TCP genes were identified in the L. chinense genome, and categorized into two classes, termed class I (PCF) and class II (CIN and CYC/TB1). A total of 14 TCP genes were located on the 10 chromosomes, and the remaining one, on a contig. Multispecies phylogenetic tree analysis supported the classification of identified LcTCP genes and exhibited that the expansion of the LcTCP gene family was before the angiosperm evolutionary divergence times. Additional gene duplication investigations revealed a purifying selection pressure during evolution history. Moreover, the LcTCP genes were also observed to have various cis-acting elements related to plant growth and development, phytohormone regulations, and abiotic stress responses. Gene expression pattern analysis also paraded that LcTCP genes play a crucial role in abiotic stress regulations. In particular, LcTCP1 in all stresses investigated. Overall, our findings suggest a pivotal role for the TCP gene family during external environmental stresses in L. chinense. This study will provide valuable information on the identification and function of the LcTCPs during abiotic stresses, paving the way for further research on the functional verification of L. chinense TCPs.
1. Introduction
Developmental adaptability is central to plant survival. The ultimate structure and size of a plant organ are coordinately framed by balanced cell proliferation and cell expansions responding to external stimuli [1]. This balanced coordination depends on a surfeit of genes, transcription factors, and other regulatory proteins, regulating growth and developmental processes. The TEOSINTE BRANCHED 1 (TB1) from Zea mays, CYCLOIDEA (CYC) from Antirrhinum majus, and PROLIFERATING CELL FACTORS (PCF1 and PC2) from Oryza sativa proteins, whose initials are truncated as TCP proteins, are involved in the various processes of growth and development [2,3]. A highly conserved non-canonical basic helix-loop-helix (bHLH) DNA-binding domain comprising 55–59 amino acids characterizes the TCP domain. It mediates DNA binding, nuclear localization, and other protein-protein interactions (PPIs). The TCP domain is highly conserved throughout plant species, and in distinct plant species from lower to higher plants, over 80% of the residues in this domain are shared by >50% of TCP protein [4]. Accumulating research has evidenced that TCP transcription factors are responsible for diverse functional roles involving plant growth and developmental, DNA binding functions, PPIs, Branching, gametophyte development, flower development, leaf development, mitochondrial biogenesis, hormone pathways, seed germination, regulation of the circadian clock, and abiotic and biotic factor responses [5]. Moreover, the TCP proteins are classified into two classes, depending on the NLS composition, length of the second helix in the bHLH domain, and the Arginine-rich domain outside the bHLH domain (R-domain).
Class I TCPs (PCF1 and PCF2 clade) carry a four-amino-acid deletion within the TCP domain and share short regions flanking the TCP domain. The Class I TCP proteins in Arabidopsis: promote branch developments [6], link gibberellins (GA) action to stamen filament elongation by induction of SAUR63 subfamily (AtTCP 15) [7,8], regulate trichome branching and cuticle development through the expression control of MYB106 (AtTCP14) [6], promote meristematic and branching activity, and elongate hypocotyls in response to auxin in tomato (AtTCP 14 and AtTCP 15) [9,10]. Besides growth and development, Class I TCPs are also involved in DNA binding roles. For instance, AtTCP7 directly activates the CYCD1:1 gene transcriptional activity [11], and StTCP23 provides plant biotic defense against bacterial pathogens in potatoes [12]. The Class I TCPs have recently been shown to regulate abiotic and biotic responses in other plant species. Overexpressed bamboo PeTCP10 has been shown to regulate salt stress response in transgenic Arabidopsis [13]. Unexpectedly, class I transcription factors in seed oil were also demonstrated to regulate oil biosynthesis [14].
The Class II TCPs (TCP-C clade) are distinguished by a set of residues within the TCP domain. Most class II TCPs carry a conserved ECE motif (Glutamic Ac-id-Cysteine-Glutamic acid stretch). They are further subdivided into two sub-clades; CINCINNATA (CIN-TCP) and the angiosperm-specific CYC/TB1 subfamily. The CYC/TB1 factors (and a few CIN-like proteins) have a conserved 18–20 amino acid arginine-rich motif predicted to form an α-helix structure, the R-domain, that mediate PPIs and is very useful in many evolutionary/developmental and phylogenetic studies. The roles of Class II TCP (CIN) transcription factors are conserved in controlling the morphology and size of leaves, petal development, and flowering [15]. AtTCP5/13/17 function as transcriptional activators of floral meristem identity genes and integrate with the FLOWERING LOCUS T-BZIP14 (FT-FD) model to control flowering [16]. AtTCP4 enhances pavement cell size in leaf lamina [16]; AtTCP2/4/10 positively regulates the expression of the circadian clock and jasmonic acid signaling pathway [17].
However, both Class I and II TCPs antagonistically control leaf developments by regulating jasmonic acid metabolism in Arabidopsis; AtTCP 20 and AtTCP4 inhibit and induce the expression of the LOX2 gene transcription, respectively [18]. Recently, Crawford et al. [19] demonstrated the crucial role of AtTCP genes in regulating plant mediators, an essential component of the transcriptional machinery that regulates stress-responsive signaling pathways. An assortment of class I AtTCPs (AtTCP6/20/23) was shown to upregulate the early onset of the plant Mediator. While AtTCP7/9/16/21 were also shown to upregulate the late response of the plant mediator. Finally, the AtTCP2/21/13/17/3/5 were also demonstrated to upregulate the early-down and late response of the plant mediator [19]. In Z. mays, ZmTCP42 was reported to regulate drought stress (Ding et al., 2019).
To date, the TCP gene family has been identified in many plant species, including V. vinifera [20], P. edulis [21], G. max [22], S. tuberosum [12], and S. lycopersicum [23]. Although research on the biological function of TCP transcription factors (TFs) in stress regulation is still accumulating, there is little to no research that has been done to identify the TCP gene family in L. chinense. L. chinense is an angiosperm with high economic, ecological, and cultural value, yet susceptible to various external abiotic stress factors [24]. This urgently needs to characterize the TCP gene family in L. chinense for abiotic stress response and timely resistance. This study intends to identify the TCP gene family and potential candidates regulating abiotic stress in L. chinense. 15 LcTCP genes were identified in the genome of L. chinense. At least LcTCP1 was deemed a potential regulator of abiotic stress in the L. chinense genome. We searched for LcTCP TFs characteristics, including their structure, location, phylogenetic relationships, evolution divergences, promoter elements, and expression patterns to three abiotic stresses (cold, heat, and drought). Our findings will contribute to the functional analyses of the LcTCP gene family and the genetic modifications in the L. chinense genome.
2. Materials and Methods
2.1. Identification of TCP Family Genes in L. chinense
TCP proteins sequences from two model plants, A. thaliana and O. sativa, were obtained from TAIR (http://www.arabidopsis.org/) and Phytozome (https://phytozome.jgi.doe.gov/pzportal.html), respectively (all protein sequences in this section were accessed on 24 December 2021). TCP protein sequences of P. trichocarpa, [25], O. sativa, P. patens, M. polymorpha, S. moellendorffii were downloaded from Phytozome (https://phytozome.jgi.doe.gov/pzportal.html) through the BLAST. L. chinense protein sequences were downloaded from the Hardwood Genome Database (https://hardwoodgenomics.org). The TCP Pfam number (PF03634) was queried to search for LcTCP protein sequences using HMMER3.0 software. Additionally, SMART (http://smart.emblheidlberg.de) was used to authenticate the conserved domains in LcTCP protein sequences. Other biochemical properties, such as the molecular weight (Da) and isoelectric point (pI), were determined using the pI/Mw tool on the Expasy website (https://web.expasy.org/protparam/).
2.2. Multiple Sequence Alignments and Phylogenetic Analysis
Multiple sequence alignments were performed on the full-length amino acid sequences of TCP proteins in L. chinense, A. thaliana, O. sativa, S. lycopersicum, S. moellendorffii, P. trichocarpa, and P. patens with MUSCLE program and default parameters as implemented in MEGA 11 software. Subsequently, MEGA 11 software was used to construct a phylogenetic tree based on the alignments using the neighbor-joining tree (NJT) method. The bootstrap test was replicated 1000 times using the p-distance model. To confirm the result from the NJT method, anotherw phylogenetic tree was constructed using the Maximum likelihood (ML) method. All identified LcTCP proteins were predicted for subcellular localization using the WoLf PSORT Prediction II (http://wolfpsort.org/) and TargetP (http://www.cbs.dtu.dk/services/TargetP) software [26].
2.3. RNA-Seq Analysis of LcTCP in Response to Temperature Stress
For transcriptome sequencing analysis, the somatic embryo-fetal regenerated seedlings of Liriodendron chinense with constant growth vigor were selected and transferred into three separate incubators at 4 °C for cold stress treatment, 35 °C–40 °C for heat stress treatment, and drought conditions (40% polyethylene glycol/PEG6000). The leaves were taken at 0 h, 6 h, 1d, and 3d after stress treatment, and then put into liquid nitrogen for quick freeze and then stored at −80 °C. Three replicates were set for an independent experiment. Transcriptome sequencing was performed on the samples mentioned above, and transcriptome data were obtained on the LcTCP gene family members. The expression levels of each member at each period of the cold stress treatment (the maximum expression value of each LcTCP gene was set to 1, and then the expression values of this gene at other stress and growth stages were normalized to the maximum expression value) were normalized and displayed with Heatmap using TBtools software [27].
2.4. Plant Material Treatment and qRT-PCR Expression Analysis
For the qRT-PCR, another batch of L. chinense somatic embryo-fetal regenerated seedlings with constant growth was again cultured under cold, heat, and drought conditions (described above) in an incubator under white light (16 h light and 8 h dark). Mature leaves were collected from three biological replicates of the treated and control plants at 0 h, 6 h, 1 d, and 3 d post-treatment. qRT- PCR analysis was used to determine the expression patterns of LcTCPs under the three stress treatments. The KK-rapid plant total RNA extraction kit was used for total RNA extraction. The first-strand cDNA was synthesized with 1.0 mg RNA and Evo M-MLV RT kit (GDNA CLEAN for QPCRII AG 11,711 (Accurate Biotechnology Co., Ltd., Changsha, Hunan, China). qPCR was performed using SYBR-green in the Roche LightCycler®480 real-time PCR system (Sweden). The relative expression of genes was calculated with the ∆∆CT method. 18 s rRNA was used as the internal reference. All qRT-PCR primers were designed by Primer 5.0 and are listed in Supplementary Table S1.
2.5. Gene Structure and Conserved Motif Analysis
The amino acid properties of identified LcTCPs were analyzed by the MEME program (http://meme-suite.org/; accessed on 23 December 2021) using the following parameters (optimum width, 5–60; several repetitions, any maximum number of motifs, 15) to identify the conserved motifs [28]. InterPro software confirmed the conserved motifs of LcTCP proteins (http://www.ebi. Ac.uk/InterPro/; accessed on the 23 December 2021). The gene structure displayer server2.0 (GSDS, http://gsds.cbi.pku.edu.cn; accessed on 23 December 2021) was used to display exon-intron arrangements for the 15LcTCP genes by comparing the cDNAs with their genomic DNA sequences [29].
2.6. Putative Promoter Cis-Acting Element Analysis
The nucleotide sequences of the LcTCP gene family were obtained from the Hardwood Genome Database (https://hardwoodgenomics.org), accessed on 24 December 2021. The upstream 2000 bp region was regarded as the promoter sequence from the start codon for all LcTCPs. Then, the putative cis-acting elements were identified by Plant Care online software (http://bioinformatics.psb.ugent.be/webtools/plantcare/html; accessed on the 24 December 2021), and the putative cis-acting elements involved in plant growth and development, plant hormone response, and biotic and abiotic stress responses were summarized.
2.7. Chromosomal Location and Gene Duplication
The chromosomal location information of each LcTCP gene was extracted from the chromosome gff file using TBtools. The 15 LcTCP genes were localized on 16 chromosomes of L. chinense as determined by the TBtools software. All the protein sequences of L. chinense were included in the local database using the Basic Local Alignment Search Tool (BLAST). MCScanX40 analyzed the blast result to produce the collinearity blocks across the whole genome. We used the Circos tool in TBtools software to visualize the chromosomal duplication fragment information and the chromosomal locations of the TCP genes. The rates of synonymous (Ks) and nonsynonymous (Ka) mutations were calculated using the online Ka/Ks calculator tool (services.cbu.uib.no/tools/ka/ks) and confirmed by the phylogeny-based methods. The Ka/Ks ratio was analyzed to assess the selection pressure of each gene. Generally, when Ka/Ks > 1, it indicates a positive selection effect. When Ka/Ks < 1, it indicates a purification selection, and Ka/Ks = 1 indicates a neutral selection.
3. Results
3.1. Identification and Physicochemical Properties of L. chinense TCP Factors
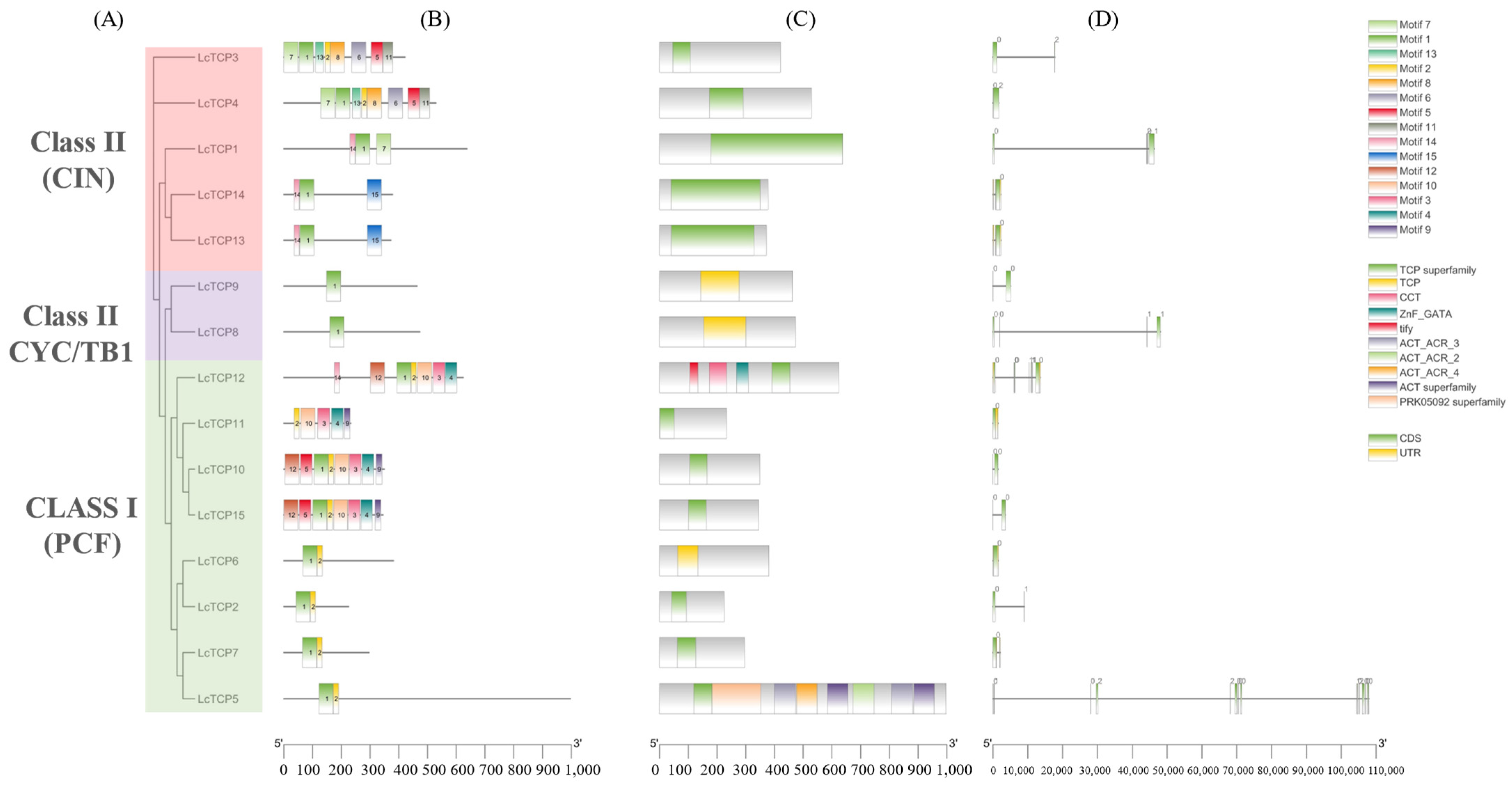
To identify TCP genes in the Liriodendron chinense (Lc) genome, 24 Arabidopsis TCP protein sequences, as well as the HMM profile of the TCP domain (PF03634), were used to search and authenticate the LcTCP proteins against the genome and transcriptome dataset of hardwood genomics (https://www.hardwoodgenomics.org). After removing the redundant sequence, 15 non-redundant LcTCP genes were identified. The LcTCP genes were annotated as LcTCP 1 to LcTCP 15 based on their genome distribution, relative linear orders among the respective chromosomes, variances within the LcTCP genes, and similarity to Arabidopsis TCP genes. Using Mega 11 software, we performed full-protein sequence alignment of the 15 LcTCPs. We noted that the investigated TCP members carried a conserved TCP/bHLH domain (Figure 1, Supplementary Figure S1). We classified the LcTCP members into two classes; 8 of the 15 LcTCPs were grouped into class I (LcTCP 2, 12, 6, 7, 10, 15, 5, and 11), otherwise known as the PCF/TCP-P clade (Figure 1, Supplementary Figure S1), 7 LcTCPs were classified in class II/TCP-C clade (LcTCP 14, 13, 1, 3, 4, 9 and 8) and they carried short specific amino acid sequences that were exclusive to class I, 2 of which (LcTCP8 and LcTCP9) were sub-grouped into the CYC/TB1 subclade and were shown to carry the R-domain (Figure 1). Specifically, class I included a group of relatively closely related proteins with extended homology from the TCP domain to the C-terminus, with 4 amino acid deletions as a distinguishing factor from class II. Nonetheless, the LcTCP11 was observed to carry more deletions in the N-terminal than other class I LcTCP members, suggesting that this protein may lack the DNA binding ability.
Figure 1.
Sequence logos of identified and classified L. chinense TCP protein domains. The sequence logos were generated by WebLogo online tool (http://weblogo.berkeley.edu/), based on the alignments of the TCP domains. The overall height of each stack letter indicates the sequence conservation at that position (measured in bits). In contrast, the height of the symbols within the stack reflects the relative frequency of the corresponding amino acid at that position. The black arrow depicts 90% conserved loci within the whole family. The red arrow depicts the key DNA binding site for the two subgroups. The top logo shows the PCF domain conserved within the Class I LcTCPs. The mid logo shows the conserved domain in the Class II CIN subclade. The bottom logo shows the R-domain sequence conserved in LcTCP 8/9, classified as the CYC/TB1.
We also noted strong conservation of critical residues in the BASIC and HELIX I regions in both classes I and II (Supplementary Figure S1). In contrast, the residues in the LOOP and the hydrophilic residues of the HELIX II were relatively less conserved in both Classes I and II. Specific analysis showed that class I and II amino acid sequences differed in the LOOP, HELIX I, and HELIX II regions; however, a conserved tandem of tryptophan (W) and Leucine (L) was present in HELIX II. These results may be summed as that, LcTCP proteins with the same motif compositions clustered into the same clad or subclade, suggesting that LcTCP proteins have a functional divergence between sub-clades and functional redundancy with the sub-clade.
Using the Expassy online tool, the physicochemical properties of the identified 15 LcTCP proteins were computed (Table 1). The length of the LcTCP amino acid sequences varied from 225 to 997 residues, with a mean length of 448.2 amino acid sequences. The molecular weights (Mw) of these LcTCPs ranged from 24.07 kDa (LcTCP11) to 110.09 kDa (LcTCP5), and the theoretical values of isoelectric point ranged from 6.10 (LcTCP12) to 9.51 (LcTCP2), implying that the identified LcTCPs range from weakly acid to weakly basic. Subcellular localization analysis confirmed that all the investigated LcTCPs were located in the nucleus except for LcTCP7, which was localized in the mitochondrion. Other chemical properties of the LcTCPs, such as chromosomal location, are shown in Table 1.
Table 1.
Physio-chemical properties of 15 identified Liriodendron chinense TCPs.
3.2. Phylogenomic and Phylogeny Analysis of the TCP Factors in L. chinense
To explore the evolutionary and phylogenetic relationships of TCP proteins among L. chinense and other plant species, we constructed a phylogenetic tree with the neighbor-joining tree (NJT) method using the full-length sequences of 15 LcTCP proteins. The phylogenetic analysis and multiple alignments showed a classification of LcTCPs under the previous gene classification of the TCP domains [30]. To perform a deep evolutionary relationship analysis of the TCP proteins among the selected plant species, a maximum likelihood (ML) phylogenetic analysis was carried out (Figure 2A; Supplementary Figure S2). According to previous publications, the 138 TCP proteins from seven plants were divided into PCF1/2, CIN, and CYC/TB1 subclades [5,31]. The phylogenetic tree was divided into 10 categories designated as A to J, based on TCP protein clustering on the same branch and sequence structures both within and outside the TCP domain. Class I subfamily (group E to J) contained more groups than class II (groups A to E). In Group E, class I had the least number of TCP sequences compared with other groups. Group F was the smallest group, had only 2 TCP sequences (PtTCP15 and AtTCP16), and group G comprised all the CYC/TB1 TCP proteins.
Figure 2.
TCP gene family, Phylogenetic tree analysis of 6 different plant species. (A) The phylogenetic tree was constructed from 138 TCP protein sequences. Sequences were aligned using Mega 11 software, and a bootstrap value of 1000 was set as repetition with other default parameters. The key indicates that different color shapes represent different groups and taxon names. (B) The interspecies phylogenetic tree was constructed using the iTOL online tool from orthologs found by Xshell software. (C) Summary of the phylogenetic tree classification, the various groups are denoted in alphabetic letters (A–J). Varying color schemes represent the total numbers of individual plant species within a specific group.
Interestingly, all LcTCPs were distributed within the different TCP groups (Figure 2C), except in group B. Furthermore, the L. chinense CYC/TB1 was grouped under the same monophyletic group G as expected. In summary, LcTCP proteins were scattered in various groups indicating that the expansion of the LcTCP gene family was before the angiosperm evolutionary divergence times.
To understand the evolutionary relationship of these investigated plants, we searched for gene orthologs using Xshell software and constructed an inter-species phylogenetic tree using online iTOL software. We noted that the plant species were grouped into various clades and expanded by speciation (Figure 2B). Additionally, the angiosperm clade had a higher evolution than the bryophytes with a common ancestor. This result showed that L. chinense shared a common ancestor with other angiosperms, which probably expanded during the angiosperm evolution.
3.3. Conserved Domains and Motif Analysis of TCPs in L. chinense
The protein sequence motifs are protein signatures often used for protein function prediction. To understand the conserved motif compositions, we investigated the protein motifs using the online MEME tool [28,32]. A total of 15 motifs were identified in L. chinense TCPs and designated as motifs 1 to 15 (Figure 3A; Supplementary Figure S3). Two motifs (motifs 1 and 2) were identified as the TCP domain since motif 1 was uniformly conserved in all LcTCP proteins except in LcTCP 11. The number of motifs in class I varied from 2 to 8, with LcTCP10 and LcTCP15 having the highest number of conserved motifs. In class II number of motifs varied from 1 to 7. Subclade CYC/TB1 had the least number of conserved motifs compared with the subclade CIN in class II. LcTCP8 and LcTCP9 were observed to lack the TCP superfamily domain and carried the TCP motif. Some motifs were specific to specific subclades and LcTCP TFs. For instance, motif 15 was only specific to LcTCP13 and LcTCP14 in class II proteins carrying motif 1 in the C-terminal. Some motifs were only present in Class 1, such as motifs 6, 7, 8, 11, 14, and 13. Interestingly, LcTCP 12 in class I contained motif 14, which was exclusive to other class I LcTCPs. In sub-clade CYC/TB1, LcTCP 9 and LcTCP 8 only carried one motif (motif 1), designated as the TCP domain.
Figure 3.
Gene structure and composition of TCP genes in L. chinense. (A) Phylogenetic relationship of LcTCPs constructed using Mega11 software. Different color backgrounds show different clades and subclades. (B) Motif composition of the LcTCPs, denoted by various colors, as described in the key top right corner. (C) Conserved Domain arrangement within the LcTCP proteins, each conserved domain is depicted by a different color scheme as shown in the key, second from the top. (D) Exon-intron organization on each LcTCP gene, represented by two colors, green and yellow, depicting CDS and UTR locations, respectively.
The TCP domain is vital for the catalysis activity of TCP proteins. To understand the structural and functional divergences of the LcTCP proteins, we investigated the conserved domain arrangement using the online NBCI Web CD-Search tool (https://www.ncbi.nlm.nih.gov/Structure/bwr), accessed on 25 December 2021. The TCP superfamily domain was conserved in all the LcTCP members except for LcTCP8/9/6 (Figure 3C). However, we also noted that these TCP members that lacked the TCP superfamily domain carried the TCP domain, which was not present in other LcTCPs. The conserved domain number ranged from 1 to 6, with the majority carrying a single domain, except for LcTCP 5 and LcTCP 12, which had 8 and 4 domains, respectively.
3.4. Exon-Intron Organization and Chromosomal Locations of LcTCP Genes
The exon-intron arrangement plays a vital role in the evolution and diversity of various gene families. To better understand the structure of LcTCP genes, we analyzed exon-intron organization using the TBtools software (Figure 3D, Table 1). The present study showed that 13 of 15 LcTCPs had only one long initial exon accompanied by 2 to 4 short introns for their gene structure arrangement. LcTCP 5 had three exons that were flanked with one, two, and three introns sequentially. Furthermore, LcTCP 12 carried two exons, each positioned at either terminal and three introns between them, suggesting that LcTCP 5 and LcTCP 12 might be involved in a wide range of biological functions as compared with other LcTCP members.
The chromosomal location of each TCP protein in the L. chinense genome was analyzed (Figure 4), and 15 LcTCPs were mapped onto 11 of 16 chromosomes. No genes were detected on chromosomes (chrs) 6, 9, 10, 12, 14, and 15. Whereas one gene was located on chrs 1, 2, 4, 7, 8, 11, 16, and scaffold1832, two genes were located on chromosomes 5 and 13, and chromosome 3 had three genes. We analyzed LcTCP gene distribution on the chromosomes and noted that there were unevenly distributed; 8 of the 15 LcTCPs in class I were located on different chromosomes, while LcTCP 3 and LcTCP 4 were both located on chromosome 3. Class II LcTCPs were also unevenly distributed, each gene on a different chromosome.
Figure 4.
Gene arrangement and chromosome patterns of the LcTCPs. Chromosome structures are depicted in green rods, while the gene locations are labeled on the chromosomes. Purple lines represent gene linkage and collinearity within the L. Chinese TCP genome.
3.5. Identification of the Putative Cis-Elements in the Promoter of LcTCP Genes
Evaluation of the cis-elements in promoters is critical for understanding transcriptional regulation and gene function. To recognize the putative cis-elements of LcTCPs, the promoter sequences of the 15 LcTCPs were searched. In this study, a 2-kb was considered a promoter region for the 15 LcTCPs. A total of 343 putative elements were identified in three response factors: plant phytohormone responses, abiotic and biotic responses, and plant growth and development using the Plant Care online database (Figure 5, Supplementary Figure S4). The predicted abundance of the cis-elements was not consistent in all the 15 LcTCPs. Comparisons amongst the three abovementioned factors showed that two, hormone-related responses, and plant growth and development (PGD) responses, were overrepresented in the promoter regions of majority LcTCPs, notably the G-box in PGD had the most representation amongst all other elements that were queried. ABRE cis-elements also had a higher representation as compared with the remaining cis-elements. Interestingly, most of the LcTCPs with cis-element representation in the G-box factor were also expressed in ABRE, suggesting that these cis-elements play a special role in developing and regulating specific biological roles. However, a few cis-elements were present in some LcTCPs in abiotic and biotic stress responses, and the LcTCP11 was highly expressed in MBS cis-element, LcTCP1, and LcTCP7 in ARE, suggesting that only a few LcTCPs are involved in the abiotic and biotic stress response signaling.
Figure 5.
The identified putative Cis-Elements in the Promoters of L. chinense TCP genes are represented by varying numbers shaded in red within cells of LcTCP genes on the y-axis and response factors on the x-axis.
3.6. Protein Structure Prediction and PPI Analysis
To fully comprehend the interactions and functionality of the identified LcTCPs, we investigated the protein-to-protein interactions using the online tool String database [33] based on the orthogonal analysis in Arabidopsis TCPs, and the network was viewed using Cytoscape software (Figure 6A). The protein-to-protein interaction network was densely connected. The major interacting proteins of class I clustered on LcTCP4 (AtTCP15) and were predicted to be involved in phytohormone signaling, plant immunity, transcriptional activation, and ribosome formation processes. Previous research in A. thaliana has shown that the CIN genes regulate leaf development [34]. We also noted that many PPIs in the CIN clade class II were mapped on AtTCPs involved in leaf development, suggesting a potential role of the LcTCP CIN clade in this process. The CYC clade interacting proteins are essential regulators of plant architecture and are involved in various developmental processes, including phytohormone biosynthesis and signaling, molecular chaperones, and cell cycle [35,36]. AtTCP12, an ortholog of LcTCP9 and LcTCP 8, interacting with both the CIN and PCF-TCP members, suggesting that the LcTCP 9 and 8 may regulate axillary bud development by interacting with LcTCP 2, an ortholog of AtTCP11 and other proteins, as shown in Figure 6A. We also observed that the CYC proteins, LcTCP9/8, interacted with proteins involved in the strigolactone (SL), suggesting that the CYC genes in L. chinense control the regulation of branching through various pathways.
Figure 6.
Protein interaction and structure analysis. (A) Protein-protein interaction network for LcTCPs was analyzed by the STRING website (http://string-db.org) using the full-length protein sequences. Different color shapes represent different proteins, differentiated by varying color schemes: green for class II TCPs, pink for class I TCPs, and blue for the CYC/TB1 subclade. Below, the 3D-Protein structure prediction of (B), LcTCP1, (C), LcTCP7, (D), LcTCP11, and (E), LcTCP13, showing the potential strands, helices, and coil formation.
Additionally, the CIN clade and the PCFs were also shown to interact across subfamilies and within their subfamilies. For instance, the LcTCP3 (AtTCP2) interacted with LcTCP7/14/10 (AtTCP15/5/8) in the PCF-clade, with LcTCP9 (AtTCP11), and with LcTCP11/2 (AtTCP/17/4) in the CIN-clade. Wholly, these results demonstrate that LcTCPs interact to regulate their biological functions efficiently.
Based on the results of the presence of cis-elements in promoters, we observed that 4 LcTCPs (LcTCP 1/7/10/13) were fully represented in all the three response factors analyzed and were evolutionarily closer to AtTCP 20, 9, 2, and 5, respectively, involved in stress-responses [19]. Therefore, to fully understand their structure and function, we computed predicted 3D protein structures through the I-TASSER server (http://zhanglab.ccmb.med.umich.edu/I-TASSER) [37]. Based on our results, LcTCP1 (Figure 6B) was predicted to be hydrophobic, forming two α-helices, one β-sheet, and seven coil strands. The predicted α-helices and β-sheet strands were also shown to be less mobile than the coil strands. LcTCP7 (Figure 6C) was predicted to form six α-helices, four β-sheets, and 20 coil strands; LcTCP7 had low solvent accessibility and low mobility for all identified strands. LcTCP 11 (Figure 6D) was predicted to form: five α-helices, three β-sheets, and eight coil strands. Like LcTCP1, LcTCP11 was predicted to be hydrophobic and less mobile in the α-helix and β-sheet regions. LcTCP13 (Figure 6E) was predicted to form seven α-helices, two β-sheets, and 11 coil strands: with low solvent accessibility and low mobility potential for α-helix and β-sheet strands in comparison with coil strands.
3.7. Collinearity Analysis, Selection Pressure, and Divergence of LcTCPs
The collinearity and duplication events analysis provide the basis for understanding gene expansion and evolution [38]. We performed the collinearity analysis of the L. Chinese TCP genes in order to understand the evolutionary and functional relationship of the LcTCP genes (Figure 4). The result showed six pairs of linked genes and five pairs on different chromosomes (LcTCP2-LcTCP6, LcTCP5-LcTCP7, LcTCP8-LcTCP, LcTCP10-LcTCP15, LcTCP13-LcTCP14) by segmental duplication. A single pair was linked on single chromosome chr3 (LcTCP3-LcTCP4), to which the tandem duplication was concluded. In summary, we observed five segmental duplications and one tandem in the L. chinense TCP genome, suggesting that the expansion of the LcTCPs was mainly through segmental duplication.
To explore the selection pressure of LcTCP genes during evolution, we calculated the Ka/Ks ratio of the duplicated homologous pairs of LcTCP genes using the online Ka/Ks calculator tool (services.cbu.uib.no/tools/kaks) and confirmed by the phylogeny-based methods [39]. The Ka/Ks ratio was less than 1 in all gene pairs calculated (Table 2), indicating there was a purifying selection pressure during evolution history.
Table 2.
Ka/Ks ratio between L. chinense homologous pairs.
Additionally, we performed a synteny analysis of the TCP gene family between L. chinense, A. thaliana, P. trichocarpa, and O. sativa to fully reflect the TCP gene family phylogenetic relationships based on collinearity relationships (Figure 7). A total of 52 orthologous pairs were identified between L. chinense and the other species. Among them, 13, 12, and 27 orthologous pairs were present in A. thaliana, O. sativa, and P. trichocarpa. LcTCP gene family had more collinear gene pairs with the PtTCP gene family than the other two species, suggesting that L. chinense is evolutionarily closer to P. trichocarpa. Also, this result reflected that single genes in L. chinense had more collinear genes in P. trichocarpa, indicating that gene expansion in P. trichocarpa might have been a tandem duplication. Generally, the syntenic analyses of L. chinense to other plant species disclosed that these genes localized in the analogous syntenic blocks expanded before the divergence of the respective plant species.
Figure 7.
Genome-wide synteny analysis of LcTCP gene family among L. chinense and three other species. Red lines highlight the syntenic LcTCP gene pairs, while grey lines in the background indicate collinear blocks between; (A) L. chinense and A. thaliana, (B) L. chinense and O. sativa, (C) L. chinense and P. trichocarpa.
As previously established, gene duplication events contribute to gene family size and expansion. Therefore, to further understand the evolutionary relationships of LcTCP members and other species, we computed the duplication event type using the plant duplicate gene database (http://pdgd.njau.edu.cn8080; accessed on 10 January 2022) (Figure 8, Supplementary File S2). The expansion and contraction of gene families were mainly affected by whole genomic duplications (WGD) and by tandem and segmental duplications, showing that ancient WGD events are the basis of TCP gene family expansions. We also calculated the Ka/Ks of other species to thoroughly investigate evolutionary patterns and selection pressure of the TCP gene family (Supplementary File S2). We observed that majority of the TCP genes underwent the purifying selection pressure. Although a few genes in S. lycopersicum and O. sativa had a ka/ks ratio above 1, showing that those genes underwent positive selection during gene mutations.
Figure 8.
Gene duplication events in different plant species and color backgrounds on the bars represent different gene duplication events.
3.8. Gene Ontology Analysis
To understand the gene enrichment of the identified TCP genes, we performed the Gene ontology analysis using the CELL2GO online tool (Figure 9). GO enrichment analysis showed various key functions of the LcTCPs, that were distributed into three functional processes: molecular functions, biological processes, and cellular components. According to the predicted biological processes, LcTCP genes play a crucial role in growth-related activities via hormonal and metabolic modulation. Additionally, the response to external stimuli and the cellular analysis proved that 14 LcTCP genes were located in the nucleus and that only a single gene was located mitochondrial, which may be involved in many cellular-based activities. At the same time, molecular function predictions indicated that most of the LcTCP genes are involved in DNA Transcription Factor activities.
Figure 9.
Gene Ontology analysis of TCP genes in L. chinense, categorized into three processes: molecular function, biological processes, and cellular components from left to right, respectively.
3.9. Abiotic Stresses: Transcriptomic Data Expression Analysis and qPCR Validation of LcTCP Genes
To identify TCP genes responding to abiotic stresses, we analyzed the expression profiles of identified LcTCPs genes to three abiotic factors (cold, drought, and heat). The 15 LcTCP genes were clustered into groups according to their gene expression level. We observed three groups responding to the cold treatment (4 °C) (Figure 10A). Group one gene cluster (LcTCP8, LcTCP9, LcTCP15, LcTCP6, and LcTCP 10) had low expression patterns. Notably, LcTCP8 and LcTCP9 had the least expression level during treatment. In group two (LcTCP3, LcTCP4, LcTCP7, LcTCP13, and LcTCP14), the gene expression levels exhibited a constant moderate upregulation throughout the cold treatment. However, LcTCP7 and LcTCP14 were downregulated at long-period treatment exposure (3d). In Group three (LcTCP1, LcTCP2, LcTCP11, LcTCP 12, and LcTCP 5), all the LcTCP genes were highly upregulated through the treatment. Especially, LcTCP1 had the highest expression pattern, suggesting that these genes may be involved in the regulation of cold stress, especially LcTCP1.
Figure 10.
Expression analysis of 15 LcTCPs in six different time points, 1 h (1 h), 3 h, 6 h, 12 h, 1 day (1 d), and 3 d. Black stars depict highly downregulated genes, while purple stars show highly upregulated genes. The LcTCPs were subjected to three different stress factors; (A). Cold stress, (B). Heat stress, and (C). Drought Stress.
Similarly, we noted that genes were clustered into three groups in drought stress based on their expression patterns (Figure 10B). Group one (LcTCP15, LcTCP14, LcTCP9, LcTCP8, and LcTCP10) had a low expression pattern throughout the whole period of drought treatment. Group two was characterized by moderately expressing genes: LcTCP3, LcTCP4, LcTCP6, LcTCP11, and LcTCP7. They were moderately expressed from the onset to the termination of drought treatment. In group three (LcTCP1, LcTCP12, LcTCP2, LcTCP5, and LcTCP13), all the LcTCP genes were highly expressed during all time points. Particularly, LcTCP1, which was remarkably upregulated.
Under the heat stress, we noted four gene clusters (Figure 10C). In group one (LcTCP14, LcTCP10, LcTCP9, LcTCP15, and LcTCP8), most of the genes were downregulated, especially LcTCP9 and LcTCP10. Surprisingly, group two (LcTCP1 and LcTCP12) was highly expressed throughout the treatment. However, slight downregulations were insignificant during 6 h and 12 h. In group three, LcTCP11, LcTCP2 and LcTCP7 followed a similar expression trend of downregulation during a short period and an upregulation at 1 d and 3 d. Nevertheless, LcTCP13 and LcTCP5 were characterized by different expression patterns: upregulation during the short period, slightly down-regulation at 6 h, and upregulation during the long-time treatment. Group four (LcTCP6, LcTCP3, and LcTCP4) had a constant accelerating upregulation from the onset of the treatment at 1 h, which climaxed at 3 d with high expression levels. These results show that most LcTCPs were not involved in the abiotic stresses, although a few notable LcTCP genes deserve further investigation, such as the LcTCP 1.
To validate our transcriptome expression findings, we analyzed the expression patterns of all 15 differentially expressed LcTCPs using the quantitative real-time PCR analysis (qRT-PCR) (Figure 11). Primers for the quantification assay are shown in Supplementary Table S1. Heat stress was highly expressed in most of the LcTCP genes compared with other stresses investigated and was generally characterized by upregulation and downregulation expression patterns at different time points in different LcTCPs. The cold stress had similar expression patterns as shown in the RNA-seq expression analysis, defined by fairly expressed LcTCP genes. The expression patterns of cold stress were fairly low compared with those in heat stress.
Figure 11.
Confirmation of the expression patterns cold-, heat- and drought-responsive LcTCPs using qPCR. The expression patterns of LcTCP under cold, heat, and drought stress. The values shown are the means +/− SD of the three replicates. Letters (a–f) on top of the error bars show the significant differences within time treatments.
Nonetheless, TCP genes in L. chinense were deferentially expressed during the drought stress analysis. Like other stresses, differential expression patterns were denoted by up-regulation and down-regulation at varying time points. The qRT-PCR results were consistent with the findings of the RNA-seq expression analysis. Furthermore, LcTCP1 had higher expression patterns among the analyzed LcTCP genes, suggesting possible roles of LcTCP1 in abiotic stress regulation. Although these findings are inconclusive, they lay a basis for further research, and additional expression analysis of the LcTCP genes in abiotic stresses will provide concrete results.
Previous research has established the C-repeat Binding Factor (CBF) transcription factors as the main downstream regulators of the abiotic stresses in the abscisic (ABA) -independent pathway [40,41]. Guan et al. [42] identified the CBF gene family in L. chinense and analyzed their expression patterns using the qRT-PCR and transcriptome data. To further determine the functional roles of the LcTCP gene, we performed a correlation analysis of the transcriptome expression analyses of LcCBF genes against the LcTCP genes (Figure 12). We observed that several LcTCP genes’ expression highly correlated with the LcCBF genes analyzed against the abiotic stresses. Notably, the expression values of LcTCP1 correlated with those of LcCBFs in all three treatments. However, there were also low correlation values among other LcTCPs against the LcCBFs. For example, LcTCP8 and LCTCP 10 during the cold stress; LcTCP3 had a correlation value of −0.12 with LcCBF12, suggesting that these two genes may be little involved in the regulation of heat stress. Generally, this result shows a high correlation value between the transcriptomic expression levels of LcTCP genes against those of LcCBF genes, implying that LcTCP genes may play a crucial role in the regulation of abiotic stresses.
Figure 12.
Shows the correlation values of the transcriptomic expression levels between L. chinense TCP genes and L. chinense CBF genes. The LcCBF genes are horizontally depicted at the top, and LcTCP genes are vertically labelled and linked with the corresponding stress treatment. The varying correlation values are presented in Heatmap constructed using TBtools software.
4. Discussion
Advances in Comparative Genomics have aided in the inter-species analysis of proteins from the same gene family [43]. The TCP transcription factors are plant-specific genes involved in many processes of growth and development. A bHLH domain characterizes the TCP domain with less homology and DNA binding targets than the bHLH transcription factors [2,35]. Up-to-date, many plant species TCP proteins have been identified, and their functional roles elucidated, such as in legumes [44], Marchantia [45], V. vinera [20], P. edulis [21], B. rapa [46]. However, little or none has been done to identify TCP transcription factors in Liriodendron chinense.
In this study, a comprehensive set of 15 non-redundant TCP-encoding genes were identified and characterized from the current version of the L. chinense genome, 14 of which were unevenly mapped onto 10 chromosomes and one on a contig and were localized in the nucleus except for LcTCP7 in the mitochondria. Previous research has identified 22 TCP genes in O. sativa [47], 36 in P. trichocarpa [48], 30 in S. lycopersicum [23], and 24 in A. thaliana [49]. The inconsistency in the number of TCP genes among different species may be related to genome duplication events during species evolution [50,51]. Notably, identified LcTCPs were less than in other species’ TCP genes, suggesting that LcTCP genes may have expanded in different degrees than rice, tomato, poplar, and Arabidopsis. To understand the expansion of the L. chinense TCP genes, we investigated the duplication events, and we noted that the LcTCPs might have mainly expanded through segmental duplication. Previously, Cannon et al. [52] and Wang et al. [53] also showed that many gene families are strongly biased for tandem and segmental duplications. Additional analysis of the TCP gene family from other species showed that the TCP gene family generally expanded through whole genome duplication.
According to previous TCP classifications, the evolutionary analysis demonstrated that TCP protein clustering was based on domain arrangements and compositions [54]. Each LcTCP gene identified was characterized by a typical TCP domain that actively functions in DNA binding and PPIs in the N-terminal (Supplementary Figure S1). The evolutionary relationships and multiple sequence alignments of LcTCPs were inferred from previous findings on the classification of the TCP gene family into two major groups: Class I (PCF-clade) and Class II (CYC/TB1 and CIN -sub-clade) [29]. The PCF-clade had 8 TCPs, the CIN-sub-clade had 5 LcTCPs, and the CYC/TB1 sub-clade had 2 LcTCPs. Additionally, the inter-species phylogenetic tree showed a similar classification. Most plant species, including L. chinense, were distributed in different groups, indicating that the TCP genes can be clustered in 10 groups concurring with past research [55]. Group distribution ratio comparison of TCP numbers was more biased to eudicots as compared with monocots, suggesting that the TCP genes have expanded in a specific manner from a common ancestor that was before the angiosperm evolution and speciation [56]. Specifically, we noted that L. chinense CYC/TB1subclade (LcTCP 9 and LcTCP 8) was evolutionarily related to AtTCP1 and SlTCP25 and shared the same ancestry with AtTCP12/BRC2, suggesting that the LcTCP 9 and LcTCP 8 can also function to suppress axillary bud growth [57]. The TCP genes in P. patens and S. moellendorfii were distributed in specific groups. This can be attributed to the fact that TCP proteins originated from ferns and were conserved in land plants, especially in vascular plants.
To support the evolutionary analysis of TCP genes and other plant species, we investigated the synteny and duplication analysis. We showed that some TCP genes were localized in the analogous syntenic blocks with those of A.thaliana and O. sativa, indicating that these syntenic genes might have expanded before the divergence of these three species. Further analysis showed that the number of paralogous TCP genes accounted for more than 75% of the total TCP gene family in Liriodendron chinense (Table 2), evidencing that segmental duplication was the predominant duplication occurrence and promoted the enlargement of the TCP gene family in L. chinense [29].
Gene, motif, and domain analyses are important in understanding protein function and classification. Gene structure analysis showed that most of the LcTCPs within the same subgroup exhibited similar exon and intron lengths and arrangements. Additionally, the conserved domain analysis showed that most of the LcTCP proteins carried a typical TCP Superfamily domain except for LcTCP6/8/9, which carried the TCP domain only. LcTCP 12 and LcTCP 5 carried more domains as compared with other LcTCPs. Generally, proteins with the same arrangements were clustered in the same subgroups, supporting their evolutionary classification. Nonetheless, these unique domains contribute to protein functional roles.
Evidence has shown that TCP transcription factors are involved in various biological roles during plant growth responses and environmental stresses. These include germination and seedling establishment [58], temperature immunity [59], stamen filament elongation, shoot branching, leaf development, flower development, and senescence [7,10]. Liu et al. [60] have also shown the involvement of TCP genes in nectary development and nectar secretion in Liriodendron tulipfera Linn. To understand the functional roles of LcTCPs, we computed GO analysis, cis-regulatory element, and expression analysis. The cis-regulatory promoter analysis showed that some TCPs contained ARE, TC-rich repeats, LTR cis-regulatory elements, and MBSS cis-regulatory elements. Specifically, LcTCP1 exhibited significant element representation in the ARE and WUN-motif elements, suggesting a pivotal role of LcTCP1 during drought stress and possible interactions with the Abscisic Responsive Element [32,40,61]. The ABRE and G-box elements in Phytohormone and PGD response factors had a higher representation in LcTCP15/12/6/2, respectively, suggesting that the class I LcTCPs are mainly involved in growth and development roles [10,62,63]. In support of these findings, the GO analysis also showed that the majority of the LcTCPs were involved in growth and development functions.
Previously, we reviewed plant transcription factors involved in plant abiotic stresses [64]. Nonetheless, little evidence has been published on the involvement of TCP genes in regulating abiotic stress. Wang et al. [59] have shown the regulatory roles of TCPs in biotic stresses. To thoroughly investigate the full potential roles of LcTCPs during abiotic stresses, we analyzed the regulatory impact of identified LcTCPs on three abiotic response factors: drought, heat, and cold, based on transcriptome data analysis and qRT-PCR authentication. All the identified LcTCP genes had significant differential expression patterns during the stress treatments.
Regarding cold stress, expression patterns of 75% of the investigated genes were upregulated at treatment onset, which was further characterized by downregulations and upregulation up to the 3 d period. Exceptionally, the LcTCP1 was highly upregulated throughout the treatment duration, suggesting possible regulatory roles of LcTCP1 in cold stress. Recently, Tian et al. [65] have shown that C. nankingense TCP4 negatively regulates cold stress by downregulating the cold-induced genes such as AtCBF1/2/3, AtCOR15A, and AtKIN1 in transgenic Arabidopsis. In this research, we also analyzed the transcriptomic data expression levels correlation between LcTCP- and LcCBF genes. Generally, we noted a strong correlation between the LcTCP against the LcCBF. This has led us to speculate that the LcTCP genes may be involved in the LcCBF response pathway. However, these findings require further cold expression analysis of the LcTCPs to exhaust their involvement in cold stress regulation.
Moreover, a somewhat similar expression pattern was obtained during drought and heat stress. Notably, LcTCPs were highly expressed in heat stress compared with other stresses. LcTCP7 and LcTCP1 were significantly upregulated among the investigated LcTCPs, suggesting that these genes may play a pivotal role in regulating heat stress. PeTCP 10 in Phyllostachys edulis has been demonstrated to reduce cellular damage, increase chlorophyll content, improve antioxidant capacity, and reduce water loss. Implying that the PeTCP10 might regulate drought through the CBL/SCaBP-CIPK/PKS pathway [66]. Ding et al. [67] also evidenced the involvement of ZmTCP 32 and ZmTCP 42 during drought stress. Drought stress expression analysis in L. chinense exhibited fairly low expression patterns of LcTCPs, and LcTCP1 was highly upregulated at 3 d, reaching expression peak. This result may also suggest that LcTCP1 regulates drought stress. Generally, LcTCP8 and LcTCP9 in Class II, the CYC/TB1 subclade, had constant low expression in all treatments. This may be related to the fact that they carried a single motif (motif 1), the TCP domain, resulting in constricted functional roles [68]. In summary, these results suggest that the TCP genes in L. chinense may play a critical regulatory role in abiotic stress, especially, LcTCP1.
5. Conclusions
This study performed a comprehensive genomic characterization of L. chinense TCP transcription factors. We identified a total of 15 LcTCPs, distributed on 11 chromosomes. The phylogenetic analysis indicated that LcTCPs are classified into two distinct subfamilies; Class I and Class II. A considerable number of cis-acting elements were identified in the promoter regions of LcTCP sequences, concluding that distinct element compositions and numbers are involved in the transcriptional regulation of LcTCPs. Investigation of the expression profiles disclosed that LcTCPs respond to external stimuli (cold, drought, and heat stress), especially LcTCP1, in all the stresses investigated. Although present conclusions may be based on predictions, there is still a need for additional evidence of the identified candidates and their regulatory roles in various abiotic stresses and other roles in L. chinense growth and development. Wholly, these findings lay a foundation for additional studies on the Liriodendron chinense TCP gene family function in biotic stresses, hormone-signal transduction, and growth and development. Hence, additional studies on the detailed functions of each are warranted in Liriodendron chinense.
Supplementary Materials
The following supporting information can be downloaded at: https://www.mdpi.com/article/10.3390/f13091401/s1, Figure S1: The alignment of full 15 L. chinense protein sequences constructed by Mega 11 software, different color schemes denote conserved amino acids within individual protein sequences. Classification of the identified TCPs shown in the far left described as Class I and II, showing the subfamilies PCF, CIN and CYC/TB1. Below is the R-domain in CYC/TB1 subclade, different color schemes denote the conserved amino acid consensus between the LcTCP9 and LcTCP8; Figure S2 : Multiple sequence alignment of the 138 proteins from 7 different plant species, showing the conserved TCP/bHLH domain in, L. chinense, A. thaliana, O. sativa, S. lycopersicum, S. moellendorffii, P. trichocarpa, and P. patens. Different color schemes depict conserved amino sequences within different protein sequences. Figure S3: LcTCP motif domain arrangement, colorful letters represent different amino acid conserved in the motif. Figure S4: Summary of the cis-regulatory elements representation in different LcTCP proteins. Table S1: List of primers used in the qRT-PCR. Additional files are contained within the article or Supplementary Materials also available from the corresponding author (yangliming@njfu.edu.cn).
Author Contributions
Conceptualization, D.H. and L.Y.; methodology, Y.G.; software, R.L.; formal analysis, D.H.; resources, L.Y.; writing—original draft preparation, D.H.; writing—review and editing, A.M.; supervision, L.Y. and J.C.; funding acquisition, L.Y. All authors have read and agreed to the published version of the manuscript.
Funding
This research work was funded by the National Natural Science Foundation of China (No. 31971682, 32071784), the Research Startup Fund for High-Level and Highly-Educated Talents of Nanjing Forestry University, and the Priority Academic Program Development of Jiangsu Higher Education Institutions (PAPD).
Institutional Review Board Statement
Not applicable.
Informed Consent Statement
Not applicable.
Data Availability Statement
Genome and gene model annotations files are available on the NCBI website (https://www.ncbi.nlm.nih.gov/assembly/GCA_003013855.2), accessed on 15 January 2022. Transcriptome datasets are also available on the NCBI website; cold and heat stress accession numbers are PRJNA679089 (https://www.ncbi.nlm.nih.gov/bioproject/PRJNA679089/), and drought stress accession number is PRJNA679101 (https://www.ncbi.nlm.nih.gov/bioproject/PRJNA679101/), both datasets accessed on 15 January 2022.
Acknowledgments
We are grateful to the funders of this research, the editors, and reviewers for the effort and time spent giving helpful comments to improve our work.
Conflicts of Interest
The authors declare no conflict of interest.
References
- Smith, A.M.; Stitt, M. Coordination of carbon supply and plant growth. Plant Cell Environ. 2007, 30, 1126–1149. [Google Scholar] [CrossRef]
- Kosugi, S.; Ohashi, Y. PCF1 and PCF2 specifically bind to cis elements in the rice proliferating cell nuclear antigen gene. Plant Cell 1997, 9, 1607–1619. [Google Scholar] [PubMed]
- Hepworth, J.; Lenhard, M. Regulation of plant lateral-organ growth by modulating cell number and size. Curr. Opin. Plant Biol. 2014, 17, 36–42. [Google Scholar] [CrossRef] [PubMed]
- Aggarwal, P.; Das Gupta, M.; Joseph, A.P.; Chatterjee, N.; Srinivasan, N.; Nath, U. Identification of Specific DNA Binding Residues in the TCP Family of Transcription Factors in Arabidopsis. Plant Cell 2010, 22, 1174–1189. [Google Scholar] [CrossRef] [PubMed]
- Manassero, N.G.U.; Viola, I.L.; Welchen, E.; Gonzalez, D.H. TCP transcription factors: Architectures of plant form. Biomol. Concepts 2013, 4, 111–127. [Google Scholar] [CrossRef] [PubMed]
- Camoirano, A.; Arce, A.L.; Ariel, F.D.; Alem, A.L.; Gonzalez, D.H.; Viola, I.L. Class I TCP transcription factors regulate trichome branching and cuticle development in Arabidopsis. J. Exp. Bot. 2020, 71, 5438–5453. [Google Scholar] [CrossRef] [PubMed]
- Gastaldi, V.; Lucero, L.E.; Ferrero, L.V.; Ariel, F.D.; Gonzalez, D.H. Class-I TCP Transcription Factors Activate the SAUR63 Gene Subfamily in Gibberellin-Dependent Stamen Filament Elongation. Plant Physiol. 2020, 182, 2096–2110. [Google Scholar] [CrossRef] [PubMed]
- Ferrero, V.; Viola, I.L.; Ariel, F.D.; Gonzalez, D.H. Class I TCP Transcription Factors Target the Gibberellin Biosynthesis Gene GA20ox1 and the Growth-Promoting Genes HBI1 and PRE6 during Thermo-morphogenic Growth in Arabidopsis. Plant Cell Physiol. 2019, 60, 1633–1645. [Google Scholar] [CrossRef]
- Steiner, E.; Yanai, O.; Efroni, I.; Ori, N.; Eshed, Y.; Weiss, D.S. Class I TCPs modulate cytokinin-induced branching and meristematic activity in tomato. Plant Signal. Behav. 2012, 7, 807–810. [Google Scholar] [CrossRef]
- Ferrero, L.V.; Gastaldi, V.; Ariel, F.D.; Viola, I.L.; Gonzalez, D.H. Class I TCP proteins TCP14 and TCP15 are required for elongation and gene expression responses to auxin. Plant Mol. Biol. 2021, 105, 147–159. [Google Scholar] [CrossRef]
- Zhang, G.; Zhao, H.; Zhang, C.; Li, X.; Lyu, Y.; Qi, D.; Cui, Y.; Hu, L.; Wang, Z.; Liang, Z.; et al. TCP7 functions redundantly with several Class I TCPs and regulates endoreplication in Arabidopsis. J. Integr. Plant Biol. 2019, 61, 1151–1170. [Google Scholar] [CrossRef]
- Bao, S.; Zhang, Z.; Lian, Q.; Sun, Q.; Zhang, R. Evolution and expression of genes encoding TCP transcription factors in Solanum tuberosum reveal the involvement of StTCP23 in plant defence. BMC Genet. 2019, 20, 91. [Google Scholar] [CrossRef]
- Xu, Y.; Liu, H.; Gao, Y.; Xiong, R.; Wu, M.; Zhang, K.; Xiang, Y. The TCP transcription factor PeTCP10 modulates salt tolerance in transgenic Arabidopsis. Plant Cell Rep. 2021, 40, 1971–1987. [Google Scholar] [CrossRef]
- Sun, T. Unexpected Role of a TCP Transcription Factor in Seed Oil Biosynthesis. Plant Physiol. 2020, 184, 550–551. [Google Scholar] [CrossRef]
- Lan, J.; Qin, G. The Regulation of CIN-like TCP Transcription Factors. Int. J. Mol. Sci. 2020, 21, 4498. [Google Scholar] [CrossRef]
- Li, D.; Zhang, H.; Mou, M.; Chen, Y.; Xiang, S.; Chen, L.; Yu, D. Arabidopsis Class II TCP Transcription Factors Integrate with the FT–FD Module to Control Flowering. Plant Physiol. 2019, 181, 97–111. [Google Scholar] [CrossRef]
- He, Z.; Zhou, X.; Chen, J.; Yin, L.; Zeng, Z.; Xiang, J.; Liu, S. Identification of a consensus DNA-binding site for the TCP domain transcription factor TCP2 and its important roles in the growth and development of Arabidopsis. Mol. Biol. Rep. 2021, 48, 2223–2233. [Google Scholar] [CrossRef]
- Danisman, S.; van der Wal, F.; Dhondt, S.; Waites, R.; de Folter, S.; Bimbo, A.; van Dijk, A.D.; Muino, J.M.; Cutri, L.; Dornelas, M.C.; et al. Arabidopsis Class I and Class II TCP Transcription Factors Regulate Jasmonic Acid Metabolism and Leaf Development Antagonistically. Plant Physiol. 2012, 159, 1511–1523. [Google Scholar] [CrossRef]
- Crawford, T.; Karamat, F.; Lehotai, N.; Rentoft, M.; Blomberg, J.; Strand, A.; Björklund, S. Specific functions for Mediator complex subunits from different modules in the transcriptional response of Arabidopsis thaliana to abiotic stress. Sci. Rep. 2020, 10, 5073. [Google Scholar] [CrossRef]
- Leng, X.; Wei, H.; Xu, X.; Ghuge, S.A.; Jia, D.; Liu, G.; Wang, Y.; Yuan, Y. Genome-wide identification and transcript analysis of TCP transcription factors in grapevine. BMC Genom. 2019, 20, 786. [Google Scholar] [CrossRef] [Green Version]
- Liu, H.-L.; Wu, M.; Li, F.; Gao, Y.-M.; Chen, F.; Xiang, Y. TCP Transcription Factors in Moso Bamboo (Phyllostachys edulis): Genome-Wide Identification and Expression Analysis. Front. Plant Sci. 2018, 9, 1263. [Google Scholar] [CrossRef]
- Feng, Z.-J.; Xu, S.-C.; Liu, N.; Zhang, G.-W.; Hu, Q.-Z.; Gong, Y.-M. Soybean TCP transcription factors: Evolution, classification, protein interaction and stress and hormone responsiveness. Plant Physiol. Biochem. 2018, 127, 129–142. [Google Scholar] [CrossRef] [PubMed]
- Parapunova, V.; Busscher, M.; Busscher-Lange, J.; Lammers, M.; Karlova, R.; Bovy, A.G.; Angenent, G.C.; de Maagd, R.A. Identification, cloning and characterization of the tomato TCP transcription factor family. BMC Plant Biol. 2014, 14, 157. [Google Scholar] [CrossRef] [PubMed]
- Chen, J.; Hao, Z.; Guang, X.; Zhao, C.; Wang, P.; Xue, L.; Zhu, Q.; Yang, L.; Sheng, Y.; Zhou, Y.; et al. Author Correction: Liriodendron genome sheds light on angiosperm phylogeny and species–pair differentiation. Nat. Plants 2019, 5, 328. [Google Scholar] [CrossRef] [PubMed]
- Xu, R.; Sun, P.; Jia, F.; Lu, L.; Li, Y.; Zhang, S.; Huang, J. Genome-wide analysis of TCP transcription factor gene family in Malus domestica. J. Genet. 2014, 93, 733–746. [Google Scholar] [CrossRef] [PubMed]
- Emanuelsson, O.; Nielsen, H.; Brunak, S.; von Heijne, G. Predicting Subcellular Localization of Proteins Based on their N-terminal Amino Acid Sequence. J. Mol. Biol. 2000, 300, 1005–1016. [Google Scholar] [CrossRef] [PubMed]
- Chen, C.J.; Chen, H.; Zhang, Y.; Thomas, H.R.; Frank, M.H.; He, Y.H.; Xia, R. TBtools: An Integrative Toolkit Developed for Interactive Analyses of Big Biological Data. Mol. Plant 2020, 13, 1194–1202. [Google Scholar] [CrossRef]
- Bailey, T.L.; Elkan, C. Fitting a mixture model by expectation maximization to discover motifs in biopolymers. Proc. Int. Conf. Intell. Syst. Mol. Biol. 1994, 2, 28–36. [Google Scholar]
- Hu, B.; Jin, J.; Guo, A.-Y.; Zhang, H.; Luo, J.; Gao, G. GSDS 2.0: An upgraded gene feature visualization server. Bioinformatics 2015, 31, 1296–1297. [Google Scholar] [CrossRef]
- Liu, M.-M.; Wang, M.-M.; Yang, J.; Wen, J.; Guo, P.-C.; Wu, Y.-W.; Ke, Y.-Z.; Li, P.-F.; Li, J.-N.; Du, H. Evolutionary and Comparative Expression Analyses of TCP Transcription Factor Gene Family in Land Plants. Int. J. Mol. Sci. 2019, 20, 3591. [Google Scholar] [CrossRef]
- Yu, L.; Chen, Q.; Zheng, J.; Xu, F.; Ye, J.; Zhang, W.; Liao, Y.; Yang, X. Genome-wide identification and expression pattern analysis of the TCP transcription factor family in Ginkgo biloba. Plant Signal. Behav. 2022, 17, 1994248. [Google Scholar] [CrossRef]
- Danisman, S. TCP Transcription Factors at the Interface between Environmental Challenges and the Plant’s Growth Responses. Front. Plant Sci. 2016, 7, 1930. [Google Scholar] [CrossRef]
- Szklarczyk, D.; Gable, A.L.; Nastou, K.C.; Lyon, D.; Kirsch, R.; Pyysalo, S.; Doncheva, N.T.; Legeay, M.; Fang, T.; Bork, P.; et al. The STRING database in 2021: Customizable protein-protein networks, and functional characterization of user-uploaded gene/measurement sets. Nucleic Acids Res 2021, 49, D605–D612. [Google Scholar] [CrossRef]
- Koyama, T.; Ohme-Takagi, M.; Sato, F. Generation of serrated and wavy petals by inhibition of the activity of TCP transcription factors in Arabidopsis thaliana. Plant Signal. Behav. 2011, 6, 697–699. [Google Scholar] [CrossRef]
- Aguilar-Martínez, J.A.; Poza-Carrión, C.; Cubas, P. Arabidopsis BRANCHED1 Acts as an Integrator of Branching Signals within Axillary Buds. Plant Cell 2007, 19, 458–472. [Google Scholar] [CrossRef]
- Moreno-Pachon, N.M.; Mutimawurugo, M.-C.; Heynen, E.; Sergeeva, L.; Benders, A.; Blilou, I.; Hilhorst, H.W.M.; Immink, R.G.H. Role of Tulipa gesneriana TEOSINTE BRANCHED1 (TgTB1) in the control of axillary bud outgrowth in bulbs. Plant Reprod. 2018, 31, 145–157. [Google Scholar] [CrossRef]
- Zheng, W.; Zhang, C.; Li, Y.; Pearce, R.; Bell, E.W.; Zhang, Y. Folding non-homologous proteins by coupling deep-learning contact maps with I-TASSER assembly simulations. Cell Rep. Methods 2021, 1, 100014. [Google Scholar] [CrossRef]
- Qiao, X.; Li, Q.; Yin, H.; Qi, K.; Li, L.; Wang, R.; Zhang, S.; Paterson, A.H. Gene duplication and evolution in recurring polyploidization–diploidization cycles in plants. Genome Biol. 2019, 20, 38. [Google Scholar] [CrossRef]
- Wang, D.; Liu, F.; Wang, L.; Huang, S.; Yu, J. Nonsynonymous substitution rate (Ka) is a relatively consistent parameter for defining fast-evolving and slow-evolving protein-coding genes. Biol. Direct 2011, 6, 13. [Google Scholar] [CrossRef]
- Hirayama, T.; Shinozaki, K. Research on plant abiotic stress responses in the post-genome era: Past, present and future. Plant J. 2010, 61, 1041–1052. [Google Scholar] [CrossRef] [PubMed]
- Akhtar, M.K.; Jaiswal, A.K.; Taj, G.; Jaiswal, J.P.; Qureshi, M.I.; Singh, N.K. DREB1/CBF transcription factors: Their structure, function and role in abiotic stress tolerance in plants. J. Genet. 2012, 91, 385–395. [Google Scholar] [CrossRef] [PubMed]
- Guan, Y.; Liu, S.; Wu, W.; Hong, K.; Li, R.; Zhu, L.; Liu, Y.; Lu, Y.; Chen, J.; Yang, L.; et al. Genome-wide identification and cold stress-induced expression analysis of the CBF gene family in Liriodendron chinense. J. For. Res. 2021, 32, 2531–2543. [Google Scholar] [CrossRef]
- Bowers, J.E.; Bachlava, E.; Brunick, R.L.; Rieseberg, L.H.; Knapp, S.J.; Burke, J.M. Development of a 10,000 Locus Genetic Map of the Sunflower Genome Based on Multiple Crosses. G3 Genes|Genomes|Genet. 2012, 2, 721–729. [Google Scholar] [CrossRef] [PubMed]
- Ling, L.; Zhang, W.; An, Y.; Du, B.; Wang, D.; Guo, C. Genome-wide analysis of the TCP transcription factor genes in five legume genomes and their response to salt and drought stresses. Funct. Integr. Genom. 2020, 20, 537–550. [Google Scholar] [CrossRef]
- Karaaslan, E.S.; Wang, N.; Faiß, N.; Liang, Y.; Montgomery, S.A.; Laubinger, S.; Berendzen, K.W.; Berger, F.; Breuninger, H.; Liu, C. Marchantia TCP transcription factor activity correlates with three-dimensional chromatin structure. Nat. Plants 2020, 6, 1250–1261. [Google Scholar] [CrossRef]
- Liu, Y.; Guan, X.; Liu, S.; Yang, M.; Ren, J.; Guo, M.; Huang, Z.; Zhang, Y. Genome-Wide Identification and Analysis of TCP Transcription Factors Involved in the Formation of Leafy Head in Chinese Cabbage. Int. J. Mol. Sci. 2018, 19, 847. [Google Scholar] [CrossRef]
- Yao, X.; Ma, H.; Wang, J.; Zhang, D. Genome-Wide Comparative Analysis and Expression Pattern of TCP Gene Families in Arabidopsis thaliana and Oryza sativa. J. Integr. Plant Biol. 2007, 49, 885–897. [Google Scholar] [CrossRef]
- Wang, S.; Shen, Y.; Guo, L.; Tan, L.; Ye, X.; Yang, Y.; Zhao, X.; Nie, Y.; Deng, D.; Liu, S.; et al. Innovation and Emerging Roles of Populus trichocarpa TEOSINTE BRANCHED1/CYCLOIDEA/PROLIFERATING CELL FACTOR Transcription Factors in Abiotic Stresses by Whole-Genome Duplication. Front. Plant Sci. 2022, 13, 850064. [Google Scholar] [CrossRef]
- Riechmann, J.L.; Heard, J.; Martin, G.; Reuber, L.; Jiang, C.; Keddie, J.; Adam, L.; Pineda, O.; Ratcliffe, O.J.; Samaha, R.R.; et al. Arabidopsis Transcription Factors: Genome-Wide Comparative Analysis among Eukaryotes. Science 2000, 290, 2105–2110. [Google Scholar] [CrossRef]
- Nakano, T.; Suzuki, K.; Fujimura, T.; Shinshi, H. Genome-Wide Analysis of the ERF Gene Family in Arabidopsis and Rice. Plant Physiol. 2006, 140, 411–432. [Google Scholar] [CrossRef]
- Oliver, K.R.; McComb, J.A.; Greene, W. Transposable Elements: Powerful Contributors to Angiosperm Evolution and Diversity. Genome Biol. Evol. 2013, 5, 1886–1901. [Google Scholar] [CrossRef]
- Cannon, S.B.; Mitra, A.; Baumgarten, A.; Young, N.D.; May, G. The roles of segmental and tandem gene duplication in the evolution of large gene families in Arabidopsis thaliana. BMC Plant Biol. 2004, 4, 10. [Google Scholar] [CrossRef]
- Wang, Y.; Wang, X.; Paterson, A.H. Genome and gene duplications and gene expression divergence: A view from plants. Ann. N. Y. Acad. Sci. 2012, 1256, 1–14. [Google Scholar] [CrossRef]
- Xu, R.; Gao, H.; Zhang, S.; Liu, P.; Wang, X.; Hao, Y. Genome-wide identification and phylogenetic, comparative genomic, alternative splicing, and expression analyses of TCP genes in plants. Plant Gene 2017, 12, 23–32. [Google Scholar] [CrossRef]
- Ma, J.; Wang, Q.; Sun, R.; Xie, F.; Jones, D.C.; Zhang, B. Genome-wide identification and expression analysis of TCP transcription factors in Gossypium raimondii. Sci. Rep. 2014, 4, 6645. [Google Scholar] [CrossRef]
- Lei, N.; Yu, X.; LiangPing, Z.; Zeng, C.; Zou, L.; Liao, W.; Peng, M. Phylogeny and expression pattern analysis of TCP transcription factors in cassava seedlings exposed to cold and/or drought stress. Sci. Rep. 2017, 7, 10016. [Google Scholar] [CrossRef]
- Finlayson, S.A. Arabidopsis TEOSINTE BRANCHED1-LIKE 1 Regulates Axillary Bud Outgrowth and is Homologous to Monocot TEOSINTE BRANCHED1. Plant Cell Physiol. 2007, 48, 667–677. [Google Scholar] [CrossRef]
- Seven, M.; Akdemir, H. DOF, MYB and TCP transcription factors: Their possible roles on barley germination and seedling establishment. Gene Expr. Patterns 2020, 37, 119116. [Google Scholar] [CrossRef]
- Wang, Z.; Cui, D.; Liu, C.; Zhao, J.; Liu, J.; Liu, N.; Tang, D.; Hu, Y. TCP transcription factors interact with ZED1-related kinases as components of the temperature-regulated immunity. Plant Cell Environ. 2019, 42, 2045–2056. [Google Scholar] [CrossRef]
- Liu, H.; Ma, J.; Li, H. Transcriptomic and microstructural analyses in Liriodendron tulipifera Linn. reveal candidate genes involved in nectary development and nectar secretion. BMC Plant Biol. 2019, 19, 531. [Google Scholar] [CrossRef]
- Soma, F.; Takahashi, F.; Yamaguchi-Shinozaki, K.; Shinozaki, K. Cellular Phosphorylation Signaling and Gene Expression in Drought Stress Responses: ABA-Dependent and ABA-Independent Regulatory Systems. Plants 2021, 10, 756. [Google Scholar] [CrossRef] [PubMed]
- Ibraheem, O.; Botha, C.E.; Bradley, G. In silico analysis of cis-acting regulatory elements in 5′ regulatory regions of sucrose transporter gene families in rice (Oryza sativa Japonica) and Arabidopsis thaliana. Comput. Biol. Chem. 2010, 34, 268–283. [Google Scholar] [CrossRef] [PubMed]
- Larrieu, A.; Vernoux, T. Comparison of plant hormone signalling systems. Essays Biochem. 2015, 58, 165–181. [Google Scholar] [CrossRef] [PubMed]
- Hwarari, D.; Guan, Y.; Ahmad, B.; Movahedi, A.; Min, T.; Hao, Z.; Lu, Y.; Chen, J.; Yang, L. ICE-CBF-COR Signaling Cascade and Its Regulation in Plants Responding to Cold Stress. Int. J. Mol. Sci. 2022, 23, 1549. [Google Scholar] [CrossRef]
- Tian, C.; Zhai, L.; Zhu, W.; Qi, X.; Yu, Z.; Wang, H.; Chen, F.; Wang, L.; Chen, S. Characterization of the TCP Gene Family in Chrysanthemum nankingense and the Role of CnTCP4 in Cold Tolerance. Plants 2022, 11, 936. [Google Scholar] [CrossRef]
- Pandey, G.K.; Kanwar, P.; Singh, A.; Steinhorst, L.; Pandey, A.; Yadav, A.K.; Tokas, I.; Sanyal, S.K.; Kim, B.-G.; Lee, S.-C.; et al. Calcineurin B-Like Protein-Interacting Protein Kinase CIPK21 Regulates Osmotic and Salt Stress Responses in Arabidopsis. Plant Physiol. 2015, 169, 780–792. [Google Scholar] [CrossRef]
- Ding, S.; Cai, Z.; Du, H.; Wang, H. Genome-Wide Analysis of TCP Family Genes in Zea mays L. Identified a Role for ZmTCP42 in Drought Tolerance. Int. J. Mol. Sci. 2019, 20, 2762. [Google Scholar] [CrossRef]
- Horn, S.; Pabon-Mora, N.; Theuß, V.S.; Busch, A.; Zachgo, S. Analysis of the CYC/TB1 class of TCP transcription factors in basal angiosperms and magnoliids. Plant J. 2015, 81, 559–571. [Google Scholar] [CrossRef]
Publisher’s Note: MDPI stays neutral with regard to jurisdictional claims in published maps and institutional affiliations. |
© 2022 by the authors. Licensee MDPI, Basel, Switzerland. This article is an open access article distributed under the terms and conditions of the Creative Commons Attribution (CC BY) license (https://creativecommons.org/licenses/by/4.0/).











