Abstract
Wood has traditionally been used to make sports equipment and playing surfaces. While its use is outdated in several sports, in many others, wood remains well-established or even the material of choice, e.g., to make basketball floors or table tennis rackets. This study aims at evaluating the main drivers of web-based communication of wooden sport equipment. Six Olympic sports in which wood is still used were identified: baseball, skateboarding, skiing, snowboarding, surfboarding, and table tennis. For each sport, five websites of manufacturers were selected based on their page rank. Five evaluators assessed each website, rating the degree to which their discussion of wood intersected with four dimensions (and the related sub-dimensions): environment and ethics, design, wood technology, and communication. Significant differences (p < 0.05) are found among the dimensions, where communication and wood technology scored the higher ratings. Several differences are found among sub-dimensions, for instance in terms of attention given to environmental and social sustainability. Among the various findings, environmental and social sustainability, based on a proper commitment, is a relevant target for the web-based communication of manufacturers of wooden sport equipment. We argue that this is both for ethical reasons, and for market and image purposes.
1. Introduction
Most sports were originally played with wooden equipment. In fact, the interaction between wood and sport has centuries, even millennia, of history [1]. Wood remained the main material for sport equipment and playing courts until around the mid-20th century, when synthetic, high-performing materials began to replace it in many sports [2]. This process is today fully completed in some cases, e.g., tennis rackets, and still ongoing in many others, e.g., gymnastics equipment. However, wood and wood-based products continue to be well-established in many sports, such as mountain bike tracks and baseball bats, and in several others are still the materials of choice, such as basketball floors or table tennis rackets.
Today, wooden sport equipment (WSE) covers a large market share on a global scale. Manufacturing ranges from handicrafts to industrial production by multinational companies with budgets of several million dollars. This is the case, for example, with table tennis rackets, whose blades are made of plywood, as well as with some skis and snowboards, whose core layers typically remain made of wood. The number of units produced per year is staggering, such as in the case of skateboarding, which debuted as an Olympic sport in Tokyo 2020: it is estimated that millions of skateboards, whose decks are typically made of plywood, are manufactured every year [3].
It seems likely that WSE will continue to be widely used in the future. The rules of some sports federations expressly require the use of wood. For example, the International Table Tennis Federation (ITTF) prescribes that in table tennis rackets “at least 85% of the blade by thickness shall be of natural wood” [4]. The development of innovative, high-performing, wood-based composites also seems to have interesting outlooks [5]. Furthermore, wood can benefit from the increasing focus on sustainability by sport brands and organizations. The International Olympic Committee (IOC) has adopted a sustainability strategy [6] that also supports low-carbon solutions. This represents a relevant opportunity for wood-based products, whose value in terms of carbon storage is increasingly appreciated in all sectors [7], and could benefit from this focus through an emphasis on wood’s sustainability.
A few studies, such as [8], analyze website marketing strategies of specific sports, but, despite the economic impact of WSE, there is still a lack of studies on the trends in WSE web-based communication across different sports disciplines.
In this context, the aim of this study is to evaluate the main elements of web-based communication of WSE. To this purpose, a number of sports currently practiced using WSE were selected, based on the following criteria: the sport must be included in the summer or winter Olympic Games; the equipment must be intended for end customers (i.e., playgrounds are excluded); the wooden equipment must be used at all levels, from amateur up to professional; and wood must play a relevant role in determining the properties of the equipment. Based on these criteria, six sports were selected: baseball, skateboarding, skiing, snowboarding, surfing, and table tennis. For each of them, five WSE manufacturers’ websites were identified, according to their page rank. The chosen websites were analyzed to determine the extent to which four “dimensions” are emphasized, namely sustainability and ethics; design aspects; the particular role and properties of wood; and the intentions, focus, or communication trends of web-based marketing. The outcome of this study provides an outline of the current trends in WSE web-based communication, and suggests some possible developments.
2. Materials and Methods
Many studies deal with online content analysis, whether in marketing, social sciences, human–computer interaction, or in other disciplines. The definition of content analysis was given by Berelson in 1952 [9], as a method for an objective examination of the content of communication. Content analysis can be developed into qualitative studies, similar to textual analysis, often without statistics data analysis, or into quantitative content analysis, with structured and systematic data analysis [10,11].
The content analysis process follows multiple steps. Considering the research question: a set of variables and their definitions are demarcated; subsequently, categories and units of measurement are identified; a coding scheme and a code book are created; coders are trained; data are coded; and research findings are analyzed and interpreted [12,13].
Many authors [14,15,16] identify several advantages of content analysis: it provides insight into complex patterns of human thought and language use; it is an easy-to-understand and inexpensive research method; and the results can be analyzed statistically. However, disadvantages of content analysis can also be pointed out: it can be extremely time-consuming; it can be theoretically ungrounded, as it focuses on what is measurable rather than what is theoretically meaningful or important; and it can be difficult to automate or computerize.
In light of the theoretical background identified above, the qualitative content analysis was deemed suitable for the analysis of 30 websites of the six sports chosen, in order to determine the existence, frequency, level of in-depth analysis, and enhancement of the concept in the text.
2.1. Sport Selection
The selection of sports was based on the criteria illustrated in Figure 1.
Figure 1.
Criteria used for the selection of sports.
Applying the criteria described above, six sports that responded positively were identified and chosen for further analysis: baseball, skateboarding, skiing, snowboarding, surfboarding, and table tennis.
2.2. Websites Selection
The manufacturers’ websites were selected in a two-step procedure. First, preliminary lists of at least 20 candidate websites for each sport were compiled through a web search. The search was carried out via the Google Search engine, using keywords related to the sports and their wooden sport equipment (for instance ‘table tennis AND racket’). In some cases, specialized websites listing the main manufacturers were consulted to double-check the lists.
Second, based on the method used by McCarthy et al. (2021) [17], candidate websites were searched on www.commoncrawl.org (accessed on 27 September 2021), which provides an open and regularly updated repository of approximately 88 million domains associated with their page rank. The latter is a value assigned to a webpage in order to measure its popularity, and is mainly related to the number of websites linking to that page [18].
The candidate websites for each sport were saved in files named brands.txt. The following bash script was run to find the domains listed in each brands.txt file in the commoncrawl.org repository:
#!/bin/bash
BRANDS = ‘tr ‘\n’ ‘|’ < brands.txt | rev | cut -c2- | rev‘; cat cc-main-2021-feb-apr-may-domain-ranks.txt | grep -E “$BRANDS” | awk ‘{ print $5”,”$3 }’ | sort -nk2 > results.csv
The search made it possible to select, from each preliminary list, the five top-ranked websites that were subsequently analyzed for the purpose of the present work.
2.3. Approach
The following approach was used to analyze the websites:
Step 1. Website inclusion criteria: the content analyzed was the entire website and the level of depth of the analysis chosen was comparable to that of an average user looking for information on a product he/she intends to purchase. The companies examined are located in different European countries, the United States, Australia, Japan, and Great Britain. However, to avoid bias in the interpretations, and to obtain the claim of versatility globally, the international websites of the manufacturers were examined. This choice was not always applicable, in particular for baseball, for which most of the sites examined came from the US market. For other sports, sites with an international profile were chosen primarily, followed by sites with a regional profile (e.g., for the European market) and in some cases national sites (Germany, Japan, Italy, Switzerland, United Kingdom);
Step 2. Parameters included in the analysis: the 16 parameters identified in this study (sub-dimensions), were collected into 4 categories (dimensions) (Table 1): environment and ethics; design; wood technology; communication. During the analysis process, several elements were evaluated for each sub-dimension: the singular word, the meaning of the sentences, the topic discussed, and the presence of evocative images;
Table 1.
Analyzed dimensions and sub-dimensions.
Step 3. Develop a set of coding rules: after identifying the sub-dimensions, coding rules were identified according to the principles of transparency, reliability, and replicability [19]. For each of the 16 sub-dimensions, the degree of emphasis on the website was assessed using a five-point Likert-type scale [20]. In order to help the evaluators adopt a systematic approach, a coding guideline was created to identify the aspects to be considered when evaluating the sub-dimension equal to “1”, which indicates the absence of the parameter; “3”, where the parameter is somewhat present; “5” where the parameter is emphasized; values “2 and 4” are considered intermediate;
Step 4. Code the text according to the rules: the last step consists of analyzing the websites by examining all relevant material and recording the relevant data in the appropriate dimensions. This activity was performed manually;
Step 5. Pre-test: the authors of the study pre-tested the model presented in Table 1 by independently evaluating a representative website. Subsequently, in accordance with Williams (2019) [21], a meeting was held to discuss the evaluations, identify an unambiguous evaluation scheme, and reduce variability;
Step 6. Evaluation: the collection and analysis of the information contained in the 30 websites was carried out by five authors of the study in a random manner: each of the coders was assigned a weekly quota of websites to analyze (10 sites), chosen at random. Data collection was completed within three weeks, in order to minimize the risk of major changes made to a website during the course of the study [22].
Note: for better readability, in the following text, the name of a sport is also used as a shortcut to indicate the websites of the manufacturers of equipment for that sport (e.g., skateboarding and table tennis have an intermediate profile […]).
2.4. Data Analysis
The statistical analysis was performed using the IBM SPSS 26.0 software (IBM Corp., Armonk, NY, USA). Statistical outliers were removed to align the behavior of the evaluators with the chosen methodology: for instance, an evaluator might have found rather hidden information by over-checking the website, which is not in line with Step 1 above (website navigation of an average user/purchaser). Differences among dimensions and sports were investigated by means of the Kruskal–Wallis test (also known as one-way non-parametric ANOVA) in accordance with Blanc et al. (2020) [23], with the Campbell–Skillings stepwise step-down comparison as a post hoc. Significance was always set at a level of 0.05.
3. Results and Discussion
Overall, it appears that sports companies devote most of their efforts to communication and brand awareness strategies (Figure 2). With regards to environmental and social sustainability efforts and their display, despite the occurrence of a few virtuous cases, there is generally room for improvement. The low score for design (second dimension) appears to be partly related to the fact that design requirements may vary depending on the sport considered. The wood technology aspects (third dimension), on the other hand, tend to be more cross-cutting and, with a few exceptions, most brands focus on them.
Figure 2.
Results of the evaluation of the four considered dimensions, and grouping (a–c) based on statistical analysis.
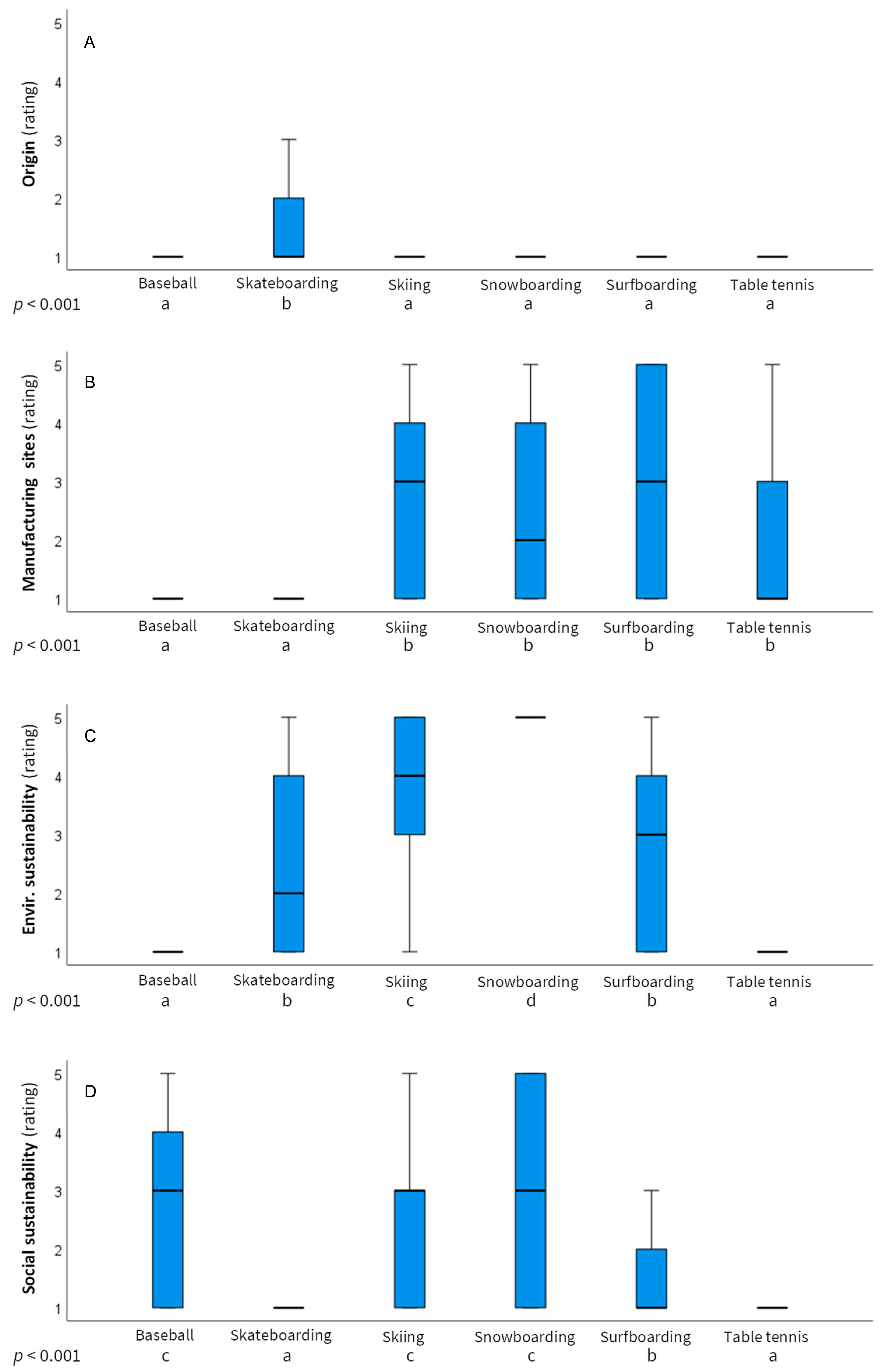
The “environment and ethics” dimension (Figure 3) shows that there is, in general, room for improvement in the environmental and social sustainability measures taken by brands, or at least in the way they communicate them. However, considerable differences emerge between the sports considered.
Figure 3.
Results of the evaluation of the “Environment and ethics” dimension, and grouping (a–d) based on statistical analysis. The subfigures show the results of the various Sub-Dimensions, namely Origin (A), Manufacturing sites (B), Environmental sustainability (C), and Social sustainability (D).
Within this dimension, lower results are found in the “origin” sub-dimension, where all sports but one do not provide information on the area of provenance of the wood used in their products. The one sport standing out, skateboarding, scores slightly better, with the origin declared by only a few companies, and even then on a very broad scale (at most at continent level). In general, this can be ascribed to the fact that, in several cases, wood is not the only or main material that constitutes the sport equipment (see also the “design” dimension). Nonetheless, geographical provenance is recognized as key information to ensure that wood is legally and sustainably sourced [24]. Therefore, it is highly recommended to add origin as a part of the information provided, to demonstrate a company’s environmental commitment.
More attention is paid instead to declaring the location of the manufacturing sites (second sub-dimension). Besides baseball and skateboarding, at least some brands give indications up to the country level (the highest score in the parameter). As for the “environmental sustainability” sub-dimension, the performance of the snowboard companies, among which the adoption of environmental certifications, programs, and brands is widespread, is noteworthy. In general terms, it is to recall that, as argued by Zubizarreta (2021) [25], “accessing new markets” and “improving corporate image” are relevant drivers for companies to join forest certification schemes. Eco-friendly policies are also adopted by ski brands, followed closely by skateboarding and surfing, which are more oriented towards general commitment actions. On the opposite side, baseball and table tennis show no attention to this topic.
The three sports, snowboarding, skateboarding, and surfing, that scored the highest in this dimension, are characterized by a strong sense of belonging to a community that, in addition to the passion for the sport itself, shares values and ethics [26]. The overall strong commitment of the brands of these sports to addressing environmental and climate issues, beyond a mere marketing strategy, can be ascribed to the “respect for nature” ethics of their founding figures, which still plays an important role in defining the identity of their communities. It should also be noted that snowboarding, skiing, and surfboarding are practiced in direct contact with nature, which is not the case for baseball and table tennis. The interaction with nature has many implications [27], and it is not surprising that the issue of protecting the environments in which such sports are played is often raised on websites.
Snowboard brands also perform best in the “social sustainability” sub-dimension, with frequent adoption of programs and certifications to ensure human rights, justice, equity, diversity, and inclusion through their supply chains. Overall, snowboarding stands out as the sport more committed to addressing environmental and ethical issues. On the opposite end, table tennis brands do not provide information on these aspects. Finally, even if not consistently, a general commitment to social sustainability is also adopted by ski and surf companies, which can, therefore, be considered the two most receptive sports to environmental and ethical issues, after snowboarding. As already mentioned with regard to forest certification, it should be emphasized that market aspects and the improvement of corporate image are relevant factors driving companies to adopt social sustainability schemes [28].
The results of the “design” dimension (Figure 4) appear to be partly affected by the specific requirements of the different sports. This is the case, for instance, in the sub-dimension “gender”, where only skiing and snowboarding offer at least some, or even all, models differentiated by gender. This is probably because specific technical requirements for women’s equipment is more relevant in these sports than in the others considered. However, except for skateboarding, this seems to be counterbalanced by customization (second sub-dimension). In fact, ski and snowboard equipment, which is already mostly differentiated into men’s and women’s models, is scarcely, or not at all, customizable. Conversely, some surfboarding, table tennis, and baseball brands allow customization of most equipment features, and little gender differentiation.
Figure 4.
Results of the evaluation of the “Design” dimension, and grouping (a–c) based on statistical analysis. The subfigures show the results of the various Sub-Dimensions, namely Gender (A), Customization (B), Tradition (C), and Innovation (D).
The “tradition” sub-dimension scored low ratings across all sports, although there are some differences. Tradition is a strong point of wood and its derived products in various applications, and in some cases new technologies are also functional in preserving its traditional uses [29]. However, the manufacturing of sport equipment is characterized by a strong and continuous search for performance and innovation [30]. This probably makes it preferable to avoid excessive reference to tradition, in order to maintain an overall image related to performance, development, technological updating, etc. In fact, more attention, at least to some extent, has been paid to innovation, especially by table tennis, followed by skiing, baseball, and snowboarding. The aspects highlighted by manufacturers vary within a broad range, e.g., in terms of new combinations of species, innovative shapes, improved bonding, or treatments. However, most research and development efforts seem to focus on other materials, which are considered more innovative and capable of complementing or replacing wood, even in its more typical applications [1].
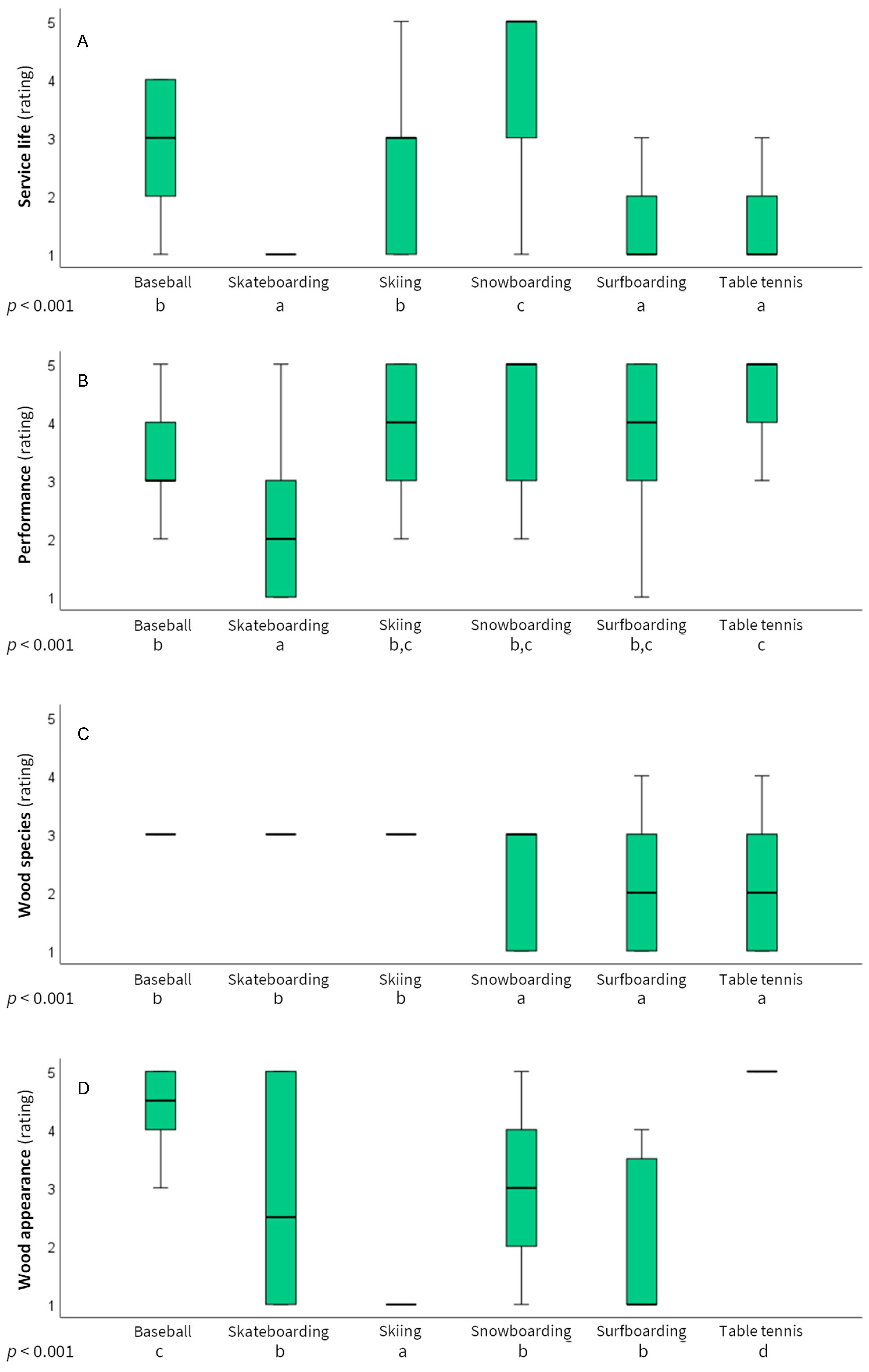
The “wood technology” dimension (Figure 5) shows that snowboard brands pay special attention to the lifespan of their products (first sub-dimension), and most of them provide more than a two-year warranty. On the opposite end, this topic is overlooked by skateboarding websites, while baseball and skiing, followed by surfboarding and table tennis, may provide a warranty or, at least, general information about maintenance. Skateboarding brands also seem to focus less on the technical performance of their equipment than other sports, which usually provide at least some general indication, or even a detailed technical datasheet. Overall, the considerable attention paid to performance can be ascribed to the above-mentioned aspects related to innovation.
Figure 5.
Results of the evaluation of the “Wood technology” dimension, and grouping (a–d) based on statistical analysis. The subfigures show the results of the various Sub-Dimensions, namely Service life (A), Performance (B), Wood species (C), and Wood appearance (D).
When it comes to declaring the species of wood used, it is worth noting that all baseball, skateboarding, and ski websites list the commercial name of the woods, a practice that is also quite common in the other sports. However, it is also noticeable that the scientific name is seldom used. The common names of wood can actually be misleading [31], and this is the reason why scientific names are required by international timber import regulations that aim to guarantee the legal provenance of wood (e.g., the U.S. Lacey Act, and the European Timber Regulation) [32]. Adopting the use of scientific nomenclature can not only be a way to strengthen the environmental sustainability of a label, but also to enhance transparency towards end consumers. In this regard, some noticeable examples of names were found among the websites, such as “rosewood” and “ebenholz”, which may refer to several different botanical taxa with remarkable differences in value, affecting transparency and sustainability for consumers.
Finally, although the choice of wood species in sports equipment is mainly driven by their technological properties, the aesthetic features of wood may also play an important role. In general terms, the appearance of wood is found to be discussed in most of the equipment of the various websites considered, with the exception of skis. In this sense, it is well known that people’s response to wood appearance is broadly positive [33]. Among these, the link with nature and sustainability that wood conveys seems to be particularly relevant from the manufacturers’ point of view.
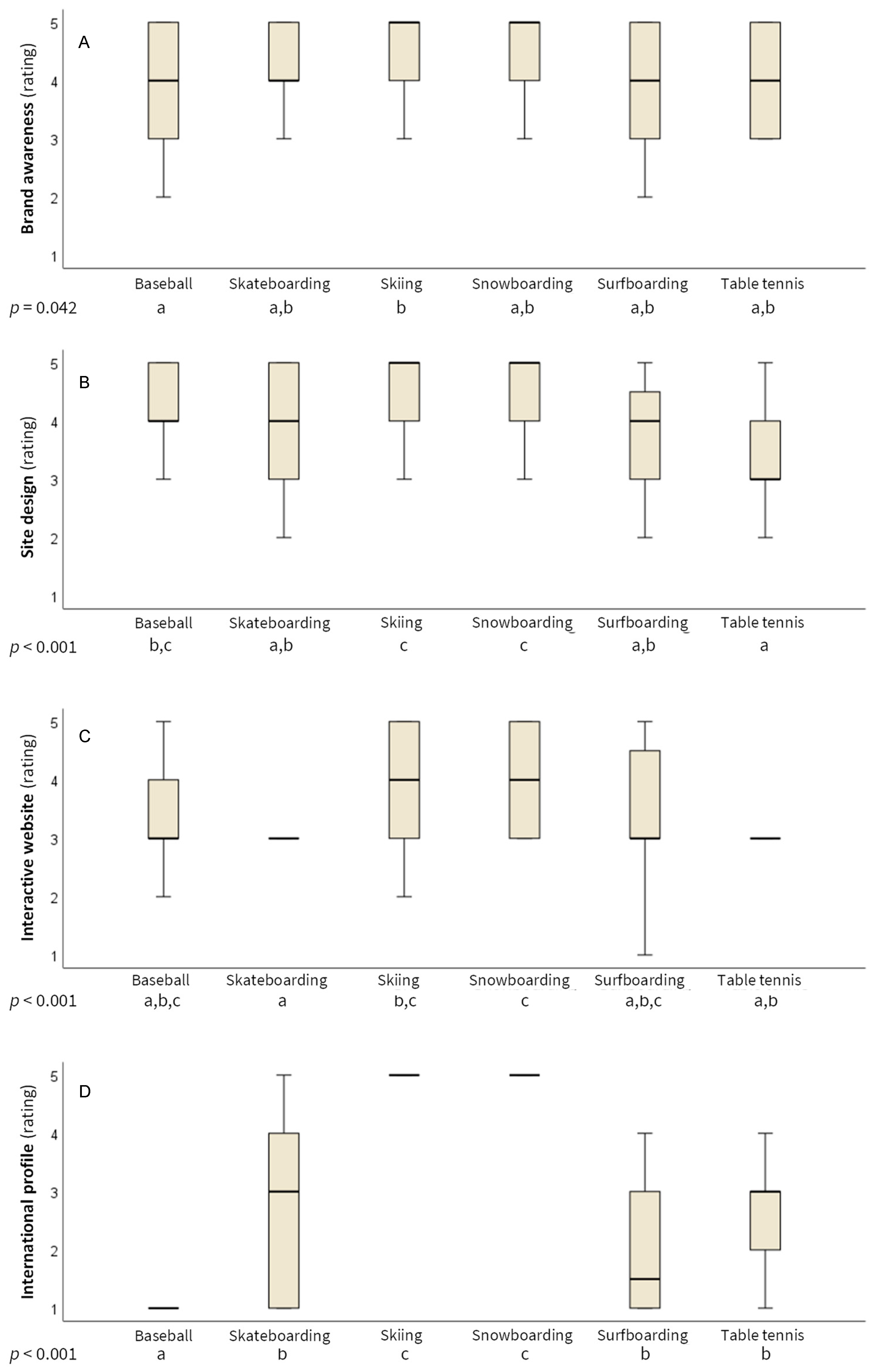
The results regarding forms of communication (Figure 6) show a strong propensity of companies in the various sports to communicate brand awareness with advertising campaigns and editorial plans, and sometimes with the involvement of influencers, testimonials, or bloggers, especially in the winter sports of skiing and snowboarding.
Figure 6.
Results of the evaluation of the “Communication” dimension, and grouping (a–c) based on statistical analysis. The subfigures show the results of the various Sub-Dimensions, namely Brand awareness (A), Site design (B), Interactive website (C), and International profile (D).
Several authors in the literature argue that brand awareness is important in consumers’ purchase intentions. Divanoğlu et al. (2022), in their study on brand awareness and loyalty in sports marketing [34], state that consumers prefer familiar and well-known brands. Malik et al. (2013), in their study [35] on the importance of loyalty and brand awareness in assessing consumers’ purchase intentions, argue that there is a positive association between the factors. Moisescu (2009) [36] reports how brand awareness influences consumers’ assessment of perceived risk and their confidence in purchasing, for both durable and non-durable goods.
This trend is also confirmed for the “site design” sub-dimension, where it is again winter sports that highlight the sophistication of communication trends, with the use of social proof, experiential videos, and demos. The other sports are more oriented towards traditional design schemes, with the use of CTAs, presence of user areas, search filters, and continuity of navigation; table tennis seems to be the sport least interested in orienting its communication in this direction, preferring simple sites. An interactive site with good usability translates into better customer satisfaction, as argued by Napitupulu (2017) [37]; vice versa, there would be a negative impact on the company’s image. Other authors, such as Tumijan et al. (2022) [38] and Ronggang et al. (2018) [39] report the user-friendliness and navigability of a site among the main quality factors. This element should also be considered by manufacturers with more traditional design schemes: as Aljukhadar and Senecal (2015) state [40], this would allow them to survive in the digital age.
The interactivity of the websites is also in line with the above, with skiing and snowboarding showing more dynamism with websites equipped with chatbots and virtual assistants; however, surfboarding and baseball are also organizing themselves to increase interactivity. Skateboarding and table tennis are tied to tradition with the use of social networks, chat rooms, and forums. In this sense, Jenneboer et al. (2022) [41] argue how the integration of customer support systems into websites, such as chatbots, capable of responding in a punctual and timely manner, positively influences the user experience. However, as reported by Yen and Chiang (2021) [42], trust in chatbots also depends on their consumer perceptions, which may influence purchasing behavior.
Particularly polarized are the results of the analysis of the internationality of the sites. It clearly emerges that ski and snowboard manufacturers have a decidedly international profile, with more than three foreign languages and dedicated sections per geographical area. Skateboarding and table tennis have an intermediate profile, with multilingual websites, but no dedicated sections per geographic area. Baseball and surfing companies show a decidedly national or regional interest in their communication, with no multilingual sites or dedicated profiles for foreign countries. The importance of having a multilingual site increases opportunities for market expansion and the attraction of new potential users and customers. This statement is in line with findings of Daries et al. (2021) in a study on web marketing strategies in sports tourism [8].
4. Conclusions
Overall, the analyzed websites are particularly focused on communication and brand awareness. Although, to a lesser extent, wood technology aspects are also well represented, references to design, and environmental and social sustainability are significantly less frequent. It should be noted that the current climate crisis is strongly increasing customer focus on sustainability, in all sectors, including sports. In this sense, wood, if sustainably sourced, can benefit from its favorable environmental impacts, which are considerably lower than those of many alternative materials. An increased emphasis on environmental and social sustainability, clearly based on appropriate commitment, can, therefore, be a relevant objective for the web-based communication of manufacturers of wooden sport equipment, both for ethical, market, and image reasons.
Several differences emerge between the ratings obtained from the various sub-dimensions considered by this study. This information may provide useful input on how and where to improve the web-based communication of wooden sport equipment.
Furthermore, some limitations emerge. A company’s environmental commitment and attitude are significantly influenced by the environmental policies and regulations of the country in which the company is located. This aspect was not considered in this paper, however, the study considered brands with an international profile, and globally known groups operating in countries with restrictive and comparable regulations. Furthermore, these companies generally refer to the concept of corporate social responsibility (CSR) and include responsibility towards society in their business processes. Future research could be directed precisely at analyzing public CSR documents to assess the sustainability choices and solutions undertaken by companies operating in the sports sector.
Author Contributions
Conceptualization, S.B. (Simone Blanc) and F.N.; methodology, S.B. (Simone Blanc), F.B., S.B. (Stefano Bruzzese), F.N., A.F., F.R. and R.Z.; software, A.F.; formal analysis, S.B. (Simone Blanc) and F.N.; investigation, S.B. (Simone Blanc), S.B. (Stefano Bruzzese), A.F., F.N. and F.R.; data curation, S.B. (Simone Blanc), A.F. and F.N.; writing—original draft preparation, S.B. (Simone Blanc), F.B., S.B. (Stefano Bruzzese), A.F., F.N., F.R. and R.Z.; writing—review and editing, S.B. (Simone Blanc), F.B., S.B. (Stefano Bruzzese), A.F., F.N., F.R. and R.Z. All authors have read and agreed to the published version of the manuscript.
Funding
This research was carried out as part of the project “Wood in sport equipment—Heritage, present, perspective” funded in 2021 by the World Wood Day Foundation (www.worldwoodday.org, accessed on 23 August 2022).
Data Availability Statement
The raw data presented in this study are available on request from the corresponding author (simone.blanc@unito.it).
Acknowledgments
Davide Palmisano is thanked for his support in setting the sorting script.
Conflicts of Interest
The authors declare no conflict of interest.
References
- Negro, F. (Ed.) Wood in sport equipment. In Heritage, Present, Perspective; DISAFA: Torino, Italy, 2022; p. 190. [Google Scholar] [CrossRef]
- Taraborrelli, L.; Grant, R.; Sullivan, M.; Choppin, S.; Spurr, J.; Haake, S.; Allen, T. Materials have driven the historical development of the tennis racket. Appl. Sci. 2019, 9, 4352. [Google Scholar] [CrossRef]
- Willard, D.T.; Loferski, J.R. Skateboards as a sustainable recyclable material. Recycling 2018, 3, 20. [Google Scholar] [CrossRef]
- ITTF. ITTF Handbook; International Table Tennis Federation: Lausanne, Switzerland, 2022; p. 35. Available online: https://documents.ittf.sport/document/284 (accessed on 1 July 2022).
- Zanuttini, R.; Negro, F. Wood-Based Composites: Innovation towards a sustainable future. Forests 2021, 12, 1717. [Google Scholar] [CrossRef]
- IOC. IOC Sustainability Report 2021; IOC: Lausanne, Switzerland, 2021; p. 32. Available online: https://olympics.com/ioc/sustainability (accessed on 1 July 2022).
- Negro, F.; Bergman, R. Carbon stored by furnishing wood-based products: An Italian case study. Maderas. Cienc. Tecnol. 2019, 21, 65–76. [Google Scholar] [CrossRef]
- Daries, N.; Cristobal-Fransi, E.; Ferrer-Rosell, B. Implementation of Website Marketing Strategies in Sports Tourism: Analysis of the Online Presence and E-Commerce of Golf Courses. J. Theor. Appl. Electron. Commer. Res. 2021, 16, 542–561. [Google Scholar] [CrossRef]
- Berelson, B. Content Analysis in Communication Research; Free Press: New York, NY, USA, 1952. [Google Scholar]
- Devi, N.B. Understanding the qualitative and quantitative methods in the context of content analysis. In Proceedings of the Qualitative and Quantitative Methods in Libraries, International Conference Organised by International Federation of Library Associations, Chania, Crete, Greece, 26–29 May 2009. [Google Scholar]
- Krippendorff, K. Content Analysis: An Introduction to Its Methodology; Sage Publications: London, UK, 1980. [Google Scholar]
- Neuendorf, K.A. The Content Analysis Guidebook; Sage Publications: London, UK, 2002. [Google Scholar]
- Neuendorf, K.A. Content analysis and thematic analysis. In Research Methods for Applied Psychologists: Design, Analysis and Reporting; Brough, P., Ed.; Routledge: New York, NY, USA, 2019; pp. 211–223. [Google Scholar]
- Lindgren, B.M.; Lundman, B.; Graneheim, U.H. Abstraction and interpretation during the qualitative content analysis process. Int. J. Nurs. Stud. 2020, 108, 103632. [Google Scholar] [CrossRef]
- Short, J.C.; McKenny, A.F.; Reid, S.W. More than words? Computer-aided text analysis in organizational behavior and psychology research. Annu. Rev. Organ. Psychol. Organ. Behav. 2018, 5, 415–435. [Google Scholar] [CrossRef]
- Drisko, J.; Maschi, T. Content Analysis; Oxford University Press: Oxford, UK, 2015; p. 208. [Google Scholar] [CrossRef]
- McCarthy, P.X.; Gong, X.; Eghbal, S.; Falster, D.S.; Rizoiu, M.A. Evolution of diversity and dominance of companies in online activity. PLoS ONE 2021, 16, e0249993. [Google Scholar] [CrossRef]
- Page, L.; Brin, S.; Motwani, R.; Winograd, T. The PageRank Citation Ranking: Bringing Order to the Web. Technical Report SIDL-WP-1999-0120, Stanford Digital Library Technologies Project. 1998. Available online: http://ilpubs.stanford.edu:8090/422/1/1999-66.pdf (accessed on 13 July 2022).
- Evans, G.; Lusher, J.; Day, S. Completeness of the qualitative characteristics using Foucauldian critical discourse analysis and content analysis paradigms: Towards a revised conceptual framework. J. Financ. Report. Account. 2022, 20, 334–351. [Google Scholar] [CrossRef]
- Blanc, S.; Merlino, V.M.; Versino, A.; Mastromonaco, G.; Sparacino, A.; Massaglia, S.; Borra, D. The role of chocolate web-based communication in a regional context: Its implication for open innovation. J. Open Innov. Technol. Mark. Complex. 2022, 8, 84. [Google Scholar] [CrossRef]
- Williams, Z.; Lueg, J.E.; Hancock, T.; Goffnett, S.P. Positioning through B2B carrier signals: Understanding how service quality is communicated via websites. Ind. Mark. Manag. 2019, 81, 54–64. [Google Scholar] [CrossRef]
- Ellinger, A.E.; Lynch, D.F.; Andzulis, J.K.; Smith, R.J. B-to-B e-commerce: A content analytical assessment of motor carrier websites. J. Bus. Logist. 2003, 24, 199–220. [Google Scholar] [CrossRef]
- Blanc, S.; Massaglia, S.; Borra, D.; Mosso, A.; Merlino, V.M. Animal welfare and gender: A Nexus in awareness and preference when choosing fresh beef meat? Ital. J. Anim. Sci. 2020, 19, 410–420. [Google Scholar] [CrossRef]
- Gasson, P.E.; Lancaster, C.A.; Young, R.; Redstone, S.; Miles-Bunch, I.A.; Rees, G.; Guillery, R.P.; Parker-Forney, M.; Lebow, E.T. WorldForestID: Addressing the need for standardized wood reference collections to support authentication analysis technologies; a way forward for checking the origin and identity of traded timber. Plants People Planet 2021, 3, 130–141. [Google Scholar] [CrossRef]
- Zubizarreta, M.; Arana-Landín, G.; Cuadrado, J. Forest certification in Spain: Analysis of certification drivers. J. Clean. Prod. 2021, 294, 126267. [Google Scholar] [CrossRef]
- Thorpe, H. Embodied boarders: Snowboarding, status and style. Waikato J. Educ. 2004, 10, 181–201. [Google Scholar] [CrossRef][Green Version]
- Krein, K. Reflections on Competition and Nature Sports. Sport Ethics Philos. 2015, 9, 271–286. [Google Scholar] [CrossRef]
- Alizadeh, A. The Drivers and Barriers of Corporate Social Responsibility: A Comparison of the MENA Region and Western Countries. Sustainability 2022, 14, 909. [Google Scholar] [CrossRef]
- Brunetti, M.; Burato, P.; Cremonini, C.; Negro, F.; Nocetti, M.; Zanuttini, R. Visual and machine grading of larch (Larix decidua Mill.) structural timber from the Italian. Alp. Mater. Struct. 2016, 49, 2681–2688. [Google Scholar] [CrossRef]
- Qiu, Z. The influence of the design and manufacture of sport equipment on sports. J. Phys. Conf. Ser. 2020, 1549, 032039. [Google Scholar] [CrossRef]
- Ruffinatto, F.; Crivellaro, A. Atlas of Macroscopic Wood Identification. With a Special Focus on Timbers Used in Europe and CITES-listed Species; Springer International Publishing: New York, NY, USA, 2019; p. 439. [Google Scholar] [CrossRef]
- Noguerón, R.; Cheung, L.; Mason, J.; Li, B. Sourcing Legally Produced Wood. In A Guide for Businesses—2018 Edition; World Resources Institute: Washington, DC, USA, 2018; p. 38. [Google Scholar]
- Rice, J.; Kozak, R.A.; Meitner, M.J.; Cohen, D.H. Appearance wood products and pshycological well-being. Wood Fiber Sci. 2006, 38, 644–659. [Google Scholar]
- Uslu Dìvanoğlu, S.; Uslu, T.; Çelìk, R. Brand awareness and loyalty in sports marketing: An implementation in Aksaray University faculty of sport sciences. J. Posit. Psychol. 2022, 6, 2265–2274. [Google Scholar]
- Malik, M.E.; Ghafoor, M.M.; Hafiz, K.I.; Riaz, U.; Hassan, N.U.; Mustafa, M.; Shahbaz, S. Importance of brand awareness and brand loyalty in assessing purchase intentions of consumer. Int. J. Soc. Sci. Bus. 2013, 4, 167–171. [Google Scholar]
- Moisescu, O.I. The importance of brand awareness in consumers’ buying decision and perceived risk assessment. Manag. Mark. J. 2009, 7, 103–110. [Google Scholar]
- Napitupulu, D. Analysis of factors affecting the website quality based on WebQual approach (study case: X.Y.Z. University). Int. J. Adv. Sci. Eng. Inf. Technol. 2017, 7, 792–798. [Google Scholar] [CrossRef]
- Tumijan, W.; Rapaiee, K.; Latif, R. Relationship Between Sports’ Club Website Quality and Users’ Satisfaction. Malays. J. Soc. Sci. Humanit. 2022, 7, e001423. [Google Scholar] [CrossRef]
- Ronggang, Z.; Xiaorui, W.; Yuhan, S.; Renqian, Z.; Leyuan, Z.; Haiyan, G. Measuring e-service quality and its importance to customer satisfaction and loyalty: An empirical study in a telecom setting. Electron. Commer. Res. 2019, 19, 477–499. [Google Scholar] [CrossRef]
- Aljukhadar, M.; Senecal, S. Determinants of an organisation’s website ease of use: The moderating role of product tangibility. J. Organ. Comput. Electron. Commer. 2015, 25, 337–359. [Google Scholar] [CrossRef]
- Jenneboer, L.; Herrando, C.; Constantinides, E. The Impact of Chatbots on Customer Loyalty: A Systematic Literature Review. J. Theor. Appl. Electron. Commer. Res. 2022, 17, 212–229. [Google Scholar] [CrossRef]
- Yen, C.; Chiang, M.-C. Trust me, if you can: A study on the factors that influence consumers’ purchase intention triggered by chatbots based on brain image evidence and self-reported assessments. Behav. Inf. Technol. 2021, 40, 1177–1194. [Google Scholar] [CrossRef]
Publisher’s Note: MDPI stays neutral with regard to jurisdictional claims in published maps and institutional affiliations. |
© 2022 by the authors. Licensee MDPI, Basel, Switzerland. This article is an open access article distributed under the terms and conditions of the Creative Commons Attribution (CC BY) license (https://creativecommons.org/licenses/by/4.0/).





