The Habitat Type and Scale Dependences of Interspecific Associations in a Subtropical Evergreen Broad-Leaved Forest
Abstract
:1. Introduction
2. Materials and Methods
2.1. Study Site and Tree Census
2.2. Environmental Variables and Habitat Categories
2.3. Statistical Analysis
3. Results
3.1. Overall Interspecific Associations at Community Level
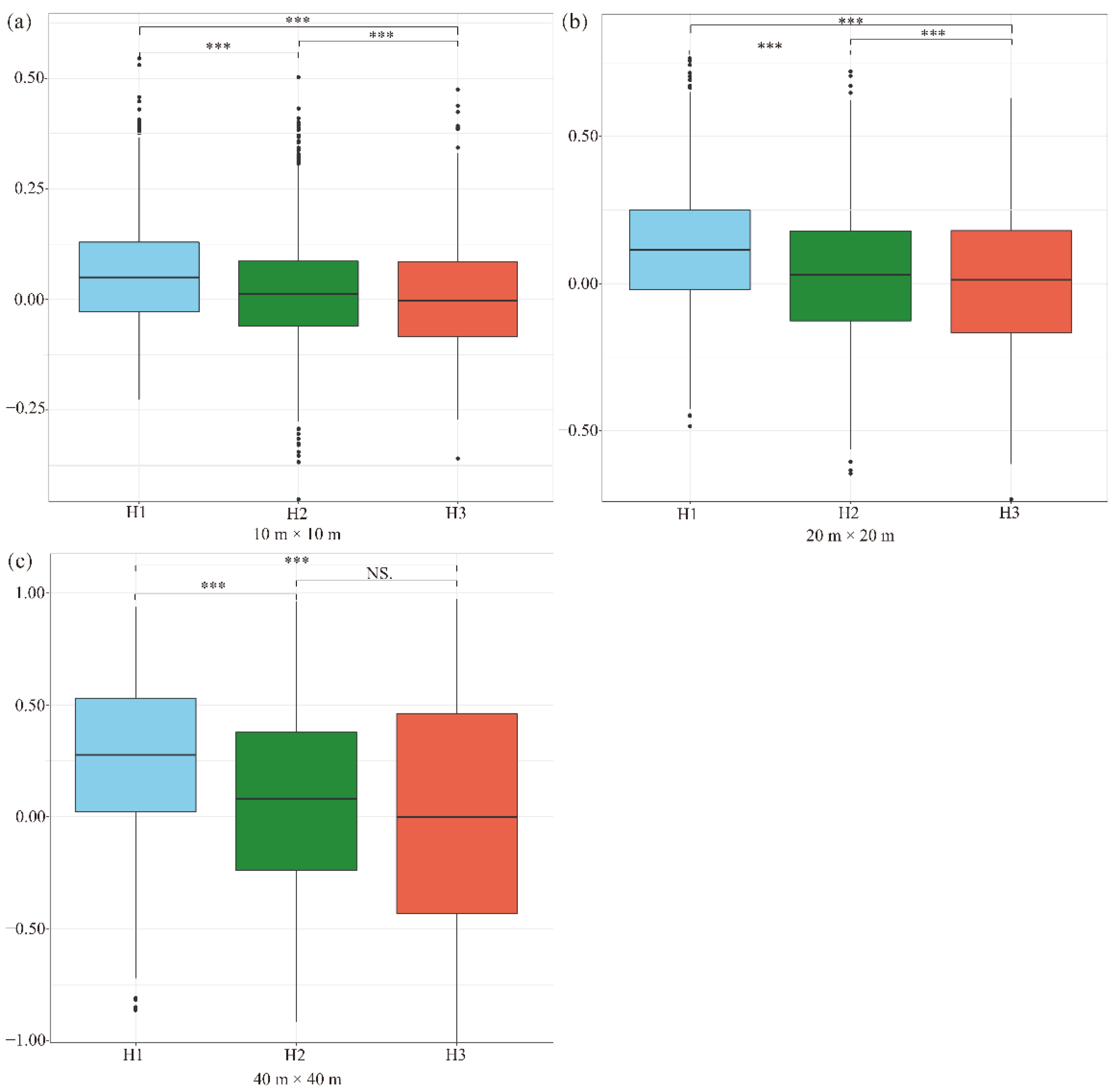
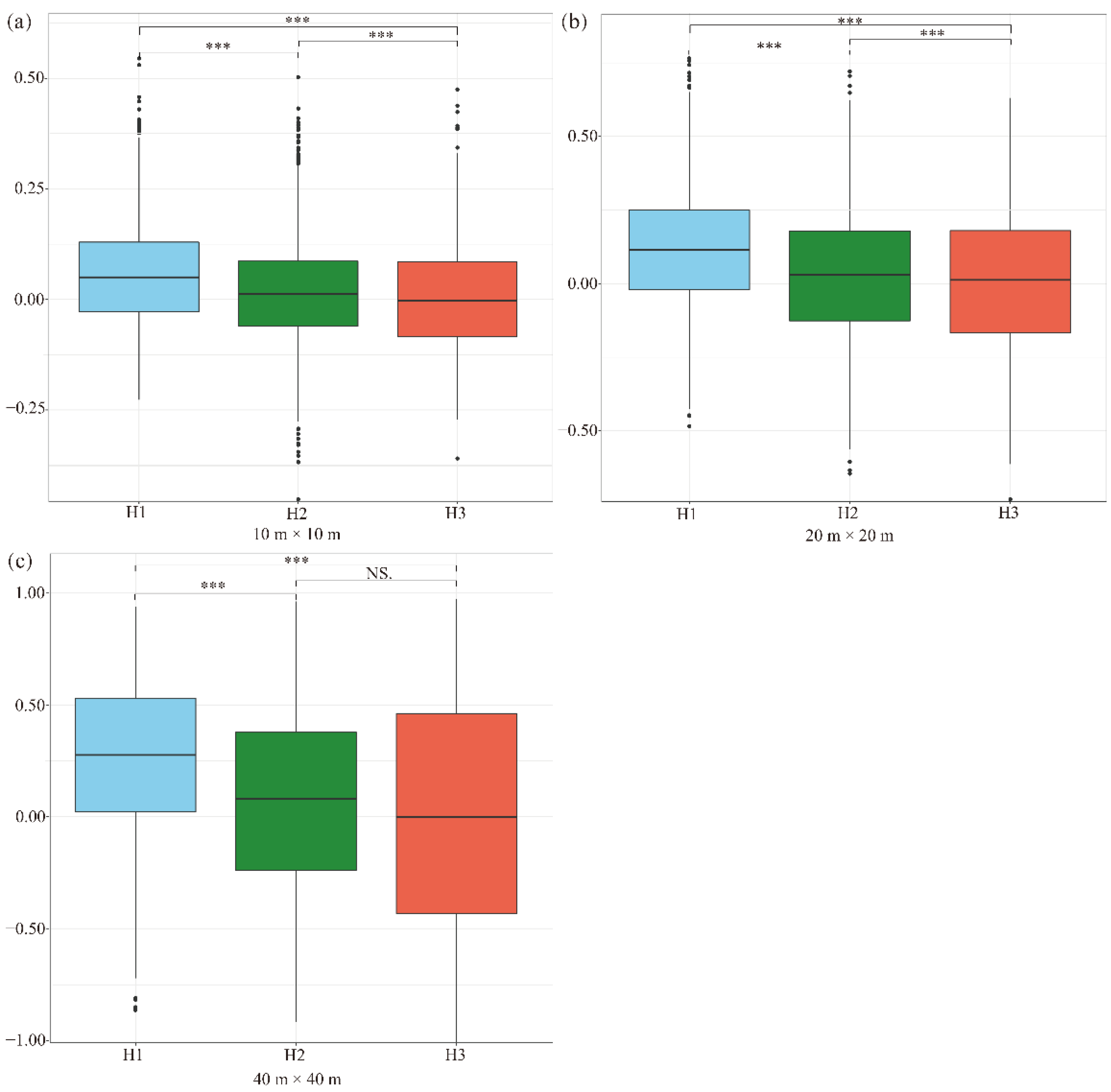
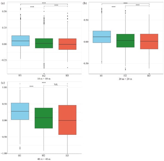
3.2. Habitat Dependence of Interspecific Associations for Pairwise Species
3.3. Scale Dependence of Interspecific Associations for Pairwise Species
4. Discussions
4.1. Overall Interspecific Associations in the Gutianshan Subtropical Forest
4.2. Habitat Dependences of Pairwise Interspecific Associations in the Subtropical Forest
4.3. Scale Dependence of Interspecific Associations for Pairwise Species
5. Conclusions
Supplementary Materials
Author Contributions
Funding
Institutional Review Board Statement
Informed Consent Statement
Data Availability Statement
Acknowledgments
Conflicts of Interest
References
- Schluter, D. A variance test for detecting species associations, with some example applications. Ecology 1984, 65, 998–1005. [Google Scholar] [CrossRef]
- Wiegand, T.; Gunatilleke, S.; Gunatilleke, N. Species associations in a heterogeneous Sri Lankan dipterocarp forest. Am. Nat. 2007, 170, E77–E95. [Google Scholar] [CrossRef] [PubMed]
- Liu, Z.W.; Zhu, Y.; Wang, J.J.; Ma, W.; Meng, J.H. Species association of the dominant tree species in an old-growth forest and implications for enrichment planting for the restoration of natural degraded forest in subtropical China. Forests 2019, 10, 957. [Google Scholar] [CrossRef]
- Keil, P.; Wiegand, T.; Tóth, A.B.; McGlinn, D.J.; Chase, J.M. Measurement and analysis of interspecific spatial associations as a facet of biodiversity. Ecol. Monogr. 2021, 91, e01452. [Google Scholar] [CrossRef]
- Maihaiti, M.; Zhang, W.J. A mini review on theories and measures of interspecific associations. Selforganizology 2014, 1, 206–210. [Google Scholar]
- Dai, J.Y.; Liu, H.Y.; Xu, C.Y.; Qi, Y.; Zhu, X.R.; Zhou, M.; Liu, B.B.; Wu, Y.H. Divergent hydraulic strategies explain the interspecific associations of co-occurring trees in forest-steppe ecotone. Forests 2020, 11, 942. [Google Scholar] [CrossRef]
- Fridley, J.D.; Lynn, J.S.; Grime, J.P.; Askew, A.P. Longer growing seasons shift grassland vegetation towards more-productive species. Nat. Clim. Chang. 2016, 6, 865–868. [Google Scholar] [CrossRef]
- Ding, Z.Q.; Ma, K.M. Identifying changing interspecific associations along gradients at multiple scales using wavelet correlation networks. Ecology 2021, 102, e03360. [Google Scholar] [CrossRef]
- Jin, S.S.; Zhang, Y.Y.; Zhou, M.L.; Dong, X.M.; Chang, C.H.; Wang, T.; Yan, D.F. Interspecific Association and Community Stability of Tree Species in Natural Secondary Forests at Different Altitude Gradients in the Southern Taihang Mountains. Forests 2022, 13, 373. [Google Scholar] [CrossRef]
- Kim, T.N.; Underwood, N.; Inouye, B.D. Insect herbivores change the outcome of plant competition through both inter-and intraspecific processes. Ecology 2013, 94, 1753–1763. [Google Scholar] [CrossRef]
- Yuan, Z.L.; Wei, B.L.; Chen, Y.; Jia, H.R.; Wei, Q.N.; Ye, Y.Z. How do similarities in spatial distributions and interspecific associations affect the coexistence of Quercus species in the Baotianman National Nature Reserve, Henan, China. Ecol. Evol. 2018, 8, 2580–2593. [Google Scholar] [CrossRef] [PubMed]
- Wang, Y.Q.; Cadotte, M.W.; Chen, J.H.; Mi, X.C.; Ren, H.B.; Liu, X.J.; Yu, M.J.; Zhang, J.T.; Ma, K.P. Neighborhood interactions on seedling survival were greatly altered following an extreme winter storm. For. Ecol. Manag. 2020, 461, 117940. [Google Scholar] [CrossRef]
- Burke, I.C.; Lauenroth, W.K.; Riggle, R.; Brannen, P.; Madigan, B.; Beard, S. Spatial Variability of Soil Properties in the Shortgrass Steppe: The Relative Importance of Topography, Grazing, Microsite, and Plant Species in Controlling Spatial Patterns. Ecosystems 1999, 2, 422–438. [Google Scholar] [CrossRef]
- Zhang, C.S.; Xie, G.D.; Bao, W.K.; Chen, L.; Pei, S.; Fan, N. Effects of topographic factors on the plant species richness and distribution pattern of alpine meadow in source region of the Lancang River, Southwest China. Chin. J. Ecol. 2012, 31, 2767–2774. [Google Scholar]
- Yang, W.J.; Wang, Y.H.; Webb, A.A.; Li, Z.Y.; Tian, X.; Han, Z.T.; Wang, S.L.; Yu, P.T. Influence of climatic and geographic factors on the spatial distribution of Qinghai spruce forests in the dryland Qilian Mountains of Northwest China. Sci. Total Environ. 2018, 46, 1007–1017. [Google Scholar] [CrossRef]
- Chesson, P. Multispecies competition in variable environments. Theor. Popul. Biol. 1994, 45, 227–276. [Google Scholar] [CrossRef]
- Zhang, J.; Xi, Y.; Li, J. The relationships between environment and plant communities in the middle part of Taihang Mountain Range, North China. Community Ecol. 2006, 7, 155–163. [Google Scholar] [CrossRef]
- Long, J.S.; Tang, M.P. Relationship between spatial structure and terrain factors of evergreen broad-leaved forest in Mount Tianmu. J. Zhejiang AF Univ. 2021, 38, 47–57. [Google Scholar]
- Ovaskainen, O.; Abrego, N.; Halme, P.; Dunson, D. Using latent variable models to identify large networks of species-to-species associations at different spatial scales. Methods Ecol. Evol. 2016, 7, 549–555. [Google Scholar] [CrossRef]
- Xu, M.H.; Liu, M.; Zhai, D.T.; Liu, T. A review of contents and methods used to analyze various aspects of plant interspecific associations. Acta Ecol. Sin. 2016, 36, 8224–8233. [Google Scholar]
- Deng, H.J. Species diversity and interspecific association of Pinus tabuliformis mixed forest in Huanglong Mountain. M.D. Thesis, Northwest A&F University, Xianyang, China, 2015. [Google Scholar]
- Deng, L.P.; Bai, X.J.; Li, L.L.; Niu, S.S.; Han, M.N.; Qin, S.J.; Zhou, Y.B. Interspecific association and correlation among dominant woody plants of secondary forest in montane region of eastern Liaoning province, China. Chin. J. Ecol. 2015, 34, 1473–1479. [Google Scholar]
- Xu, X.N.; Hirata, E.; Tokashiki, Y.; Shinohara, T. Structure and species diversity of subtropical evergreen broad-leaved forest in northern Okinawa Island, Japan. J. For. Res. 2001, 6, 203–210. [Google Scholar] [CrossRef]
- Song, Y.C.; Chen, X.Y.; Wang, X.H. Studies on evergreen broad-leaved forests of China: A retrospect and prospect. J. East Chin. Norm. Univ. Nat. Sci. Edit. 2005, 1, 1–8. [Google Scholar]
- Zhu, H.; Zhou, S.S.; Yan, L.C.; Shi, J.P.; Shen, Y.X. Studies on the evergreen broad-leaved forests of Yunnan, southwestern China. Bot. Rev. 2019, 85, 131–148. [Google Scholar] [CrossRef]
- Li, Y.D.; Xu, H.; Chen, D.X.; Luo, T.S.; Mo, J.H.; Luo, W.; Chen, H.Q.; Jiang, Z.L. Division of ecological species groups and functional groups based on interspecific association—a case study of the tree layer in the tropical lowland rainforest of Jianfenling in Hainan Island, China. Frint. For. Chin. 2008, 3, 407–415. [Google Scholar] [CrossRef]
- Chen, L.; Swenson, N.G.; Ji, N.N.; Mi, X.C.; Ren, H.B.; Guo, L.D.; Ma, K.P. Differential soil fungus accumulation and density dependence of trees in a subtropical forest. Science 2019, 366, 124–128. [Google Scholar] [CrossRef]
- Hu, Z.H.; Yu, M.J.; Ding, B.Y.; Fang, T.; Qian, H.Y.; Chen, Q.C. Types of evergreen broad-leaved forests and their species diversity in Gutian Mountain National Nature Reserve. Chin. J. Appl. Environ. Biol. 2003, 9, 341–345. [Google Scholar]
- Yu, M.J.; Hu, Z.H.; Yu, J.P.; Ding, B.Y.; Fang, T. Forest vegetation types in Gutianshan Natural Reserve in Zhejiang. J. Zhejiang. Univ. Agric. Life Sci. 2001, 27, 375–380. [Google Scholar]
- Condit, R. Tropical Forest Census Plots: Methods and Results from Barro Colorado Island, Panama and a Comparison with Other Plots; Springer: New York, NY, USA, 1998. [Google Scholar]
- Wang, Y.H.; Mi, X.C.; Chen, S.W.; Li, M.H.; Yu, M.J. Regeneration dynamics of major tree species during 2002–2007 in a subtropical evergreen broad-leaved forest in Gutianshan National Nature Reserve in East China. Biodivers. Sci. 2011, 19, 178. [Google Scholar]
- Harms, K.E.; Condit, R.; Hubbell, S.P.; Foster, R.B. Habitat associations of trees and shrubs in a 50-ha neotropical forest plot. J. Ecol. 2001, 89, 947–959. [Google Scholar] [CrossRef]
- Valencia, R.; Foster, R.B.; Villa, G.; Condit, R.; Svenning, J.C.; Hernández, C.; Romoleroux, K.; Losos, E.; Magård, E.; Balslev, H. Tree species distributions and local habitat variation in the Amazon: Large forest plot in eastern ecuador. J. Ecol. 2004, 92, 214–229. [Google Scholar] [CrossRef]
- Therneau, T.; Atkinson, B. Mvpart: Multivariate Partitioning. R Package Version 1.6-2. 2014. Available online: https://cran.r-project.org/web/packages/mvpart/index.html (accessed on 24 June 2014).
- Chen, L.; Mi, X.C.; Comita, L.S.; Zhang, L.W.; Ren, H.B.; Ma, K.P. Community-level consequences of density dependence and habitat association in a subtropical broad-leaved forest. Ecol. Lett. 2010, 13, 695–704. [Google Scholar] [CrossRef] [PubMed]
- Bishara, A.J.; Hittner, J.B. Testing the significance of a correlation with nonnormal data: Comparison of Pearson, Spearman, transformation, and resampling approaches. Psychol. Methods 2012, 17, 399–417. [Google Scholar] [CrossRef]
- Zhang, J.L. Spaa: Species Association Analysis. R Package Version 0.2.2. 2016. Available online: https://cran.r-project.org/web/packages/spaa/index.html (accessed on 9 June 2016).
- Harrell, F.E., Jr. Hmisc: Harrell Miscellaneous. R Package Version 4.6-0. 2021. Available online: https://cran.r-project.org/web/packages/Hmisc/index.html (accessed on 13 October 2021).
- Peterson, B.G.; Carl, P.; Boudt, K.; Bennett, B.; Ulrich, J.; Zivo, E.; Cornilly, D.; Hung, E.; Lestel, M.; Balkissoon, K.; et al. PerformanceAnalytics: Econometric Tools for Performance and Risk Analysis. R Package Version 2.2.4. 2020. Available online: https://cran.r-project.org/web/packages/PerformanceAnalytics/index.html (accessed on 6 February 2020).
- Wickham, H.; Chang, W.; Henry, L.; Pedersen, T.L.; Takahashi, K.; Wilke, C.; Woo, K.; Yutani, H.; Dunnington, D. ggplot2: Create Elegant Data Visualisations Using the Grammar of Graphics. R Package Version 3.3.4. 2021. Available online: https://cran.r-project.org/web/packages/ggplot2/index.html (accessed on 16 June 2021).
- Ahlmann-Eltze, C.; Patil, I. Ggsignif: Significance Brackets for ‘ggplot2’. R Package Version 0.6.3. 2021. Available online: https://cran.r-project.org/web/packages/ggsignif/index.html (accessed on 9 September 2021).
- Gotzenberger, L.; Bello, F.D.; Bråthen, K.A.; Davison, J.; Dubuis, A.; Guisan, A.; Lepš, J.; Lindborg, R.; Moora, M.; Pärtel, M.; et al. Ecological assembly rules in plant communities-approaches, patterns and prospects. Biol. Rev. Camb. Philos. 2012, 87, 111–127. [Google Scholar] [CrossRef] [PubMed]
- Borah, B.; Quader, S.; Srinivasan, U. Responses of interspecific associations in mixed-species bird flocks to selective logging. J. Appl. Ecol. 2018, 55, 1637–1646. [Google Scholar] [CrossRef]
- Su, S.J.; Liu, J.F.; He, Z.S.; Zheng, S.Q.; Hong, W.; Xu, D.W. Ecological species groups and interspecific association of dominant tree species in Daiyun Mountain National Nature Reserve. J. Mt. Sci. 2015, 12, 637–646. [Google Scholar] [CrossRef]
- Gu, L.; Gong, Z.W.; Li, W.Z. Niches and interspecific associations of dominant populations in three changed stages of natural secondary forests on Loess Plateau, P.R. China. Sci. Rep. 2017, 7, 6604. [Google Scholar] [CrossRef]
- Haak, C.R.; Hui, F.K.C.; Cowles, G.W.; Danylchuk, A.J. Positive interspecific associations consistent with social information use shape juvenile fish assemblages. Ecology 2020, 101, e02920. [Google Scholar] [CrossRef]
- Hao, Z.Q.; Zhang, J.; Song, B.; Ye, J.; Li, B.H. Vertical structure and spatial associations of dominant tree species in an old-growth temperate forest. Forest Ecol. Manag. 2007, 252, 1–11. [Google Scholar] [CrossRef]
- Ma, Y.M.; Li, Q.H.; Pan, S.P.; Liu, C.; Han, M.S.; Brancelj, A. Niche and interspecific associations of Pseudoanabaena limnetica − Exploring the influencing factors of its succession stage. Ecol. Indic. 2022, 138, 108806. [Google Scholar] [CrossRef]
- Jin, Y.; Russo, S.E.; Yu, M.J. Effects of light and topography on regeneration and coexistence of evergreen and deciduous tree species in a Chinese subtropical forest. J. Ecol. 2018, 106, 1634–1645. [Google Scholar] [CrossRef]
- Zhou, Q.; Shi, H.; Shu, X.; Xie, F.L.; Zhang, K.R.; Zhang, Q.F.; Dang, H.S. Spatial distribution and interspecific associations in a deciduous broad-leaved forest in north-central China. J. Veg. Sci. 2019, 30, 1153–1163. [Google Scholar] [CrossRef]
- Guo, Y.; Wang, Y.Q.; Chen, L.; Mi, X.C.; Ren, H.B.; Chen, S.W.; Chen, J.H. Comparing tree seedling composition and distribution patterns under different sampling intensities in the 24 ha Gutianshan forest dynamics plot. Biodivers. Sci. 2016, 24, 1093. [Google Scholar] [CrossRef]
- Hubbell, S.P.; Ahumada, J.A.; Condit, R.; Foster, R.B. Local neighborhood effects on long-term survival of individual trees in a neotropical forest. Ecol. Res. 2001, 16, 859–875. [Google Scholar] [CrossRef]




| Research Scales | Habitat Categories | Habitat Types | No. of Plots | Total Area (ha) | No. of Species | No. of Co-Occurring Species | Individuals /Plot |
|---|---|---|---|---|---|---|---|
| H1 | Low-valleys | 200 | 2 | 146 | 74 | 36.58 | |
| 10 m × 10 m | H2 | Mid-hillsides | 180 | 1.8 | 134 | 74 | 29.37 |
| H3 | High-ridges | 100 | 1 | 82 | 74 | 24.73 | |
| H1 | Low-valleys | 50 | 2 | 146 | 74 | 146.30 | |
| 20 m × 20 m | H2 | Mid-hillsides | 45 | 1.8 | 134 | 74 | 117.49 |
| H3 | High-ridges | 25 | 1 | 82 | 74 | 98.92 | |
| H1 | Low-valleys | 11 | 1.76 | 144 | 74 | 580.36 | |
| 40 m × 40 m | H2 | Mid-hillsides | 10 | 1.6 | 130 | 74 | 454.50 |
| H3 | High-ridges | 5 | 0.8 | 80 | 74 | 383.20 |
| Research Scales | Habitat Categories | Variance Ratio (VR) | W Statistic | Test Results | |
|---|---|---|---|---|---|
| H1 | 2.278 | 410.006 | 149.969, 212.304 | significant positive correlation | |
| 10 m × 10 m | H2 | 5.017 | 993.402 | 166.444, 231.829 | significant positive correlation |
| H3 | 1.478 | 147.804 | 77.929, 124.324 | significant positive correlation | |
| H1 | 2.506 | 112.757 | 30.612, 61.656 | significant positive correlation | |
| 20 m × 20 m | H2 | 6.378 | 318.903 | 34.764, 67.505 | significant positive correlation |
| H3 | 0.846 | 21.139 | 14.611, 37.652 | Nonsignificant negative correlation | |
| H1 | 2.644 | 26.439 | 3.940, 18.307 | significant positive correlation | |
| 40 m × 40 m | H2 | 4.797 | 52.772 | 4.575, 19.675 | significant positive correlation |
| H3 | 1.148 | 5.741 | 1.145, 11.070 | Nonsignificant positive correlation |
Publisher’s Note: MDPI stays neutral with regard to jurisdictional claims in published maps and institutional affiliations. |
© 2022 by the authors. Licensee MDPI, Basel, Switzerland. This article is an open access article distributed under the terms and conditions of the Creative Commons Attribution (CC BY) license (https://creativecommons.org/licenses/by/4.0/).
Share and Cite
Jiang, C.; Fu, J.; Wang, Y.; Chai, P.; Yang, Y.; Mi, X.; Yu, M.; Ma, K.; Chen, J. The Habitat Type and Scale Dependences of Interspecific Associations in a Subtropical Evergreen Broad-Leaved Forest. Forests 2022, 13, 1334. https://doi.org/10.3390/f13081334
Jiang C, Fu J, Wang Y, Chai P, Yang Y, Mi X, Yu M, Ma K, Chen J. The Habitat Type and Scale Dependences of Interspecific Associations in a Subtropical Evergreen Broad-Leaved Forest. Forests. 2022; 13(8):1334. https://doi.org/10.3390/f13081334
Chicago/Turabian StyleJiang, Changchun, Jiaqin Fu, Yunquan Wang, Pengtao Chai, Yidan Yang, Xiangcheng Mi, Mingjian Yu, Keping Ma, and Jianhua Chen. 2022. "The Habitat Type and Scale Dependences of Interspecific Associations in a Subtropical Evergreen Broad-Leaved Forest" Forests 13, no. 8: 1334. https://doi.org/10.3390/f13081334
APA StyleJiang, C., Fu, J., Wang, Y., Chai, P., Yang, Y., Mi, X., Yu, M., Ma, K., & Chen, J. (2022). The Habitat Type and Scale Dependences of Interspecific Associations in a Subtropical Evergreen Broad-Leaved Forest. Forests, 13(8), 1334. https://doi.org/10.3390/f13081334

